Detailing Protein-Bound Uremic Toxin Interaction Mechanisms with Human Serum Albumin in the Pursuit of Designing Competitive Binders
Abstract
1. Introduction
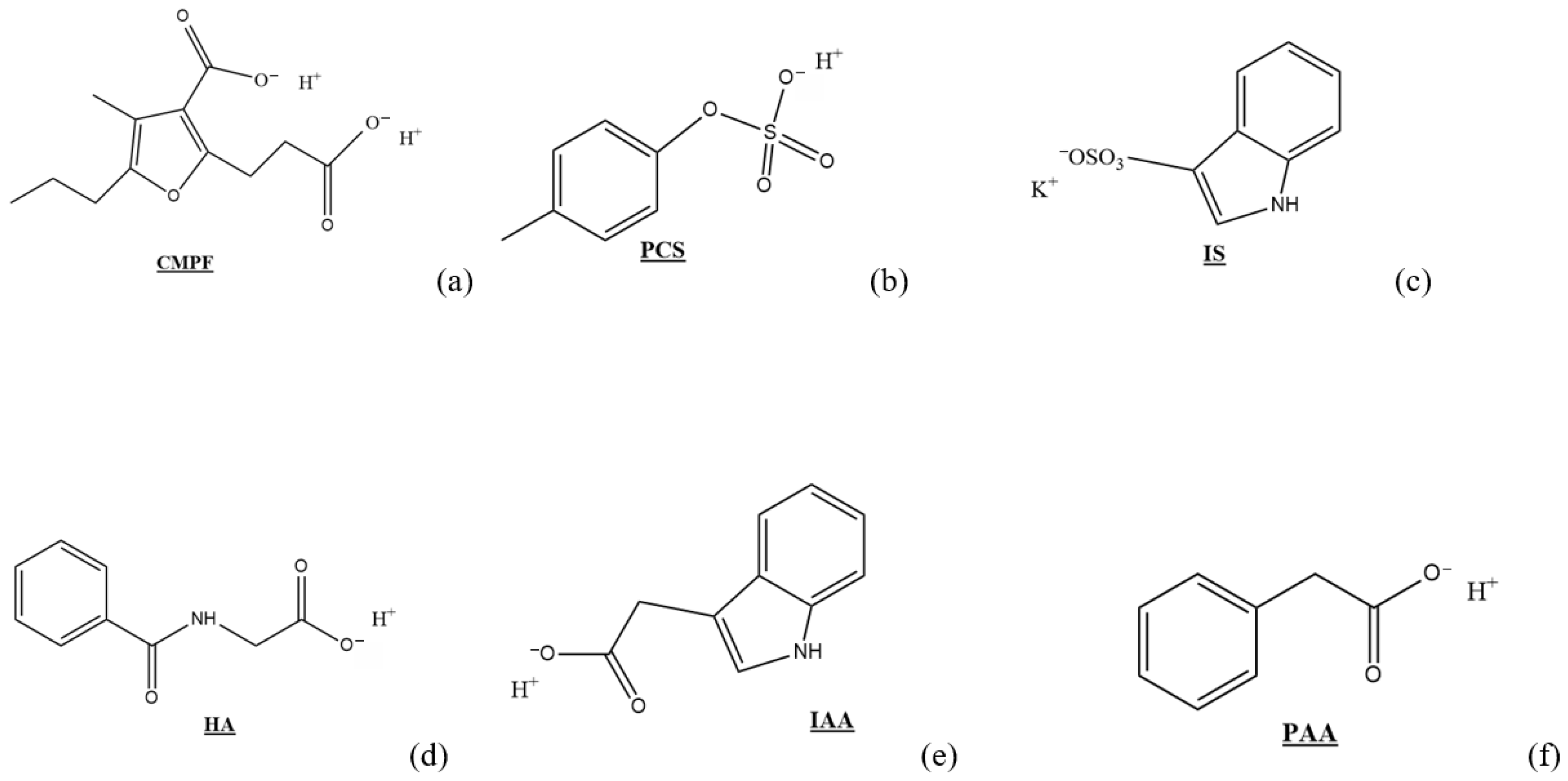
| PBUT | Chemical Group | Molecular Weight (Da) | Average Normal Concentration (mg/L) | Average Uremic Concentration (mg/L) | Average Hemodialysis Reduction (%) | Major Co-Morbidities | Refs. |
|---|---|---|---|---|---|---|---|
| 3-Carboxyl-4-Methyl-5-Propyl-2-Furan Propanoic Acid (CMPF) | Furan Dicarboxylic Acids | 240 | 4.6 (±1.80) | 25.95 (±10.23) | 20 | Altered drug pharmacokinetics, increased intestinal permeability, neurological abnormalities, renal tubule damage, anemia | [4,17,18,19,20] |
| Indoxyl Sulfate (IS) | Indoles | 212 | 0.53 (±0.29) | 3.83 (±2.46) | 36 | Altered drug pharmacokinetics, bone and cardiovascular diseases, oxidative stress, muscle weakness, endothelial cell, wound repair inhibition | [15,17,18,21,22] |
| p-Cresyl sulfate (PCS) | Phenols | 187 | 0.08 (±0.09) | 2.60 (±5.10) | 31 | All-cause mortality, oxidative stress, inflammation, cardiovascular disease | [17,18,22,23] |
| Hippuric Acid (HA) | Hippurates | 179 | 3.00 (±2.00) | 109.43 (±64.66) | 67 | Endothelial dysfunction, renal tubule damage | [17,18,24,25] |
| Phenylacetic Acid (PAA) | Others | 136 | 1.4 | 474.64 (±44.88) | 35 | All-cause mortality, oxidative stress, inflammation, atherosclerosis, cardiovascular disease, increased immunodeficiency | [17,18,26,27,28] |
| Indole-3-acetic acid (IAA) | Indoles | 174 | 0.50 (±0.30) | 1.26 (±0.83) | 45 | Altered drug pharmacokinetics, bone and cardiovascular diseases, oxidative stress, muscle weakness, neuropathy, cytotoxicity, cognitive impairment | [4,17,18,29,30] |
2. Experimental Techniques Commonly Employed
3. Insights into PBUT-HSA Interactions
4. Insights into Indoxyl Sulfate and p-Cresol Sulfate Binding to HSA
5. Competitive Binders to Inhibit HSA Uptake of PBUTs
6. Conclusions
Author Contributions
Funding
Institutional Review Board Statement
Informed Consent Statement
Data Availability Statement
Conflicts of Interest
References
- Ma, Y.; Li, S.; Tonelli, M.; Unsworth, L. Adsorption-Based Strategies for Removing Uremic Toxins from Blood. SSRN Electron. J. 2020, 319, 111035. [Google Scholar] [CrossRef]
- William, R.C.; Nader, L.D.; Narsimhan, V.; Ronco, C. Uremic Toxins and Their Relation to Dialysis Efficacy. Blood Purif. 2019, 48, 299–314. [Google Scholar] [CrossRef]
- Kalantar-Zadeh, K.; Jafar, T.H.; Nitsch, D.; Neuen, B.L.; Perkovic, V. Chronic kidney disease. Lancet 2021, 398, 786–802. [Google Scholar] [CrossRef] [PubMed]
- Daneshamouz, S.; Eduok, U.; Abdelrasoul, A.; Shoker, A. Protein-bound uremic toxins (PBUTs) in chronic kidney disease (CKD) patients: Production pathway, challenges and recent advances in renal PBUTs clearance. NanoImpact 2021, 21, 100299. [Google Scholar] [CrossRef] [PubMed]
- Hall, E.D.; Pazara, K.E.; Linseman, K.L. Sex differences in postischemic neuronal necrosis in gerbils. J. Cereb. Blood Flow Metab. 1991, 11, 292–298. [Google Scholar] [CrossRef] [PubMed]
- Agarwal, R.; Burton, J.; Gallieni, M.; Kalantar-Zadeh, K.; Mayer, G.; Pollock, C.; Szepietowski, J.C. Alleviating symptoms in patients undergoing long-term hemodialysis: A focus on chronic kidney disease-associated pruritus. Clin. Kidney J. 2022, 16, 30–40. [Google Scholar] [CrossRef]
- Stokes, J.B. Consequences of frequent hemodialysis: Comparison to conventional hemodialysis and transplantation. Trans. Am. Clin. Climatol. Assoc. 2011, 122, 124–136. [Google Scholar]
- Magnani, S.; Atti, M. Uremic Toxins and Blood Purification: A Review of Current Evidence and Future Perspectives. Toxins 2021, 13, 246. [Google Scholar] [CrossRef]
- Ludwig, J.; Smith, J.; Pfaendtner, J. Analyzing the Long Time-Scale Dynamics of Uremic Toxins Bound to Sudlow Site II in Human Serum Albumin. J. Phys. Chem. B 2021, 125, 2910–2920. [Google Scholar] [CrossRef]
- Varshney, A.; Sen, P.; Ahmad, E.; Rehan, M.; Subbarao, N.; Khan, R.H. Ligand binding strategies of human serum albumin: How can the cargo be utilized? Chirality 2010, 22, 77–87. [Google Scholar] [CrossRef]
- Ahmed-Ouameur, A.; Diamantoglou, S.; Sedaghat-Herati, M.R.; Nafisi, S.; Carpentier, R.; Tajmir-Riahi, H.A. The Effects of Drug Complexation on the Stability and Conformation of Human Serum Albumin: Protein Unfolding. Cell Biochem. Biophys. 2006, 45, 203–214. [Google Scholar] [CrossRef] [PubMed]
- Mapiour, M.; Abdelrasoul, A. Critical Influences of Plasma pH on Human Protein Properties for Modeling Considerations: Size, Charge, Conformation, Hydrophobicity, and Denaturation. J. Compos. Sci. 2023, 7, 28. [Google Scholar] [CrossRef]
- Davilas, A.; Koupparis, M.; Macheras, P.; Valsami, G. In-vitro study on the competitive binding of diflunisal and uraemic toxins to serum albumin and human plasma using a potentiometric ion-probe technique. J. Pharm. Pharmacol. 2006, 58, 1467–1474. [Google Scholar] [CrossRef] [PubMed]
- Sakai, T.; Takadate, A.; Otagiri, M. Characterization of Binding Site of Uremic Toxins on Human Serum Albumin. Biol. Pharm. Bull. 1995, 18, 1755–1761. [Google Scholar] [CrossRef] [PubMed]
- Devine, E.; Krieter, D.; Rüth, M.; Jankovski, J.; Lemke, H.-D. Binding Affinity and Capacity for the Uremic Toxin Indoxyl Sulfate. Toxins 2014, 6, 416–429. [Google Scholar] [CrossRef]
- Zhang, Y.; Wu, S.; Qin, Y.; Liu, J.; Liu, J.; Wang, Q.; Ren, F.; Zhang, H. Interaction of phenolic acids and their derivatives with human serum albumin: Structure–affinity relationships and effects on antioxidant activity. Food Chem. 2018, 240, 1072–1080. [Google Scholar] [CrossRef]
- Faria, M.; de Pinho, M.N. Challenges of reducing protein-bound uremic toxin levels in chronic kidney disease and end stage renal disease. Transl. Res. 2021, 229, 115–134. [Google Scholar] [CrossRef]
- Graboski, A.L.; Redinbo, M.R. Gut-Derived Protein-Bound Uremic Toxins. Toxins 2020, 12, 590. [Google Scholar] [CrossRef]
- Henderson, S.J.; Lindup, W.E. Interaction of 3-Carboxy-4-Methyl-5-Propyl-2-Furanpropanoic ACID, an Inhibitor of Plasma Protein Binding in Uraemia, with Human Albumin. Biochem. Pharmacol. 1990, 40, 2543–2548. [Google Scholar] [CrossRef]
- Sassa, T.; Matsuno, H.; Niwa, M.; Kozawa, O.; Takeda, N.; Niwa, T.; Kumada, T.; Uematsu, T. Measurement of furancarboxylic acid, a candidate for uremic toxin, in human serum, hair, and sweat, and analysis of pharmacological actions in vitro. Arch. Toxicol. 2000, 73, 649–654. [Google Scholar] [CrossRef]
- Ujhelyi, L.; Balla, G.; Jeney, V.; Varga, Z.; Nagy, E.; Vercellotti, G.M.; Agarwal, A.; Eaton, J.W.; Balla, J. Hemodialysis reduces inhibitory effect of plasma ultrafiltrate on LDL oxidation and subsequent endothelial reactions. Kidney Int. 2006, 69, 144–151. [Google Scholar] [CrossRef] [PubMed][Green Version]
- Mair, R.; Sirich, T.; Meyer, T. Uremic Toxin Clearance and Cardiovascular Toxicities. Toxins 2018, 10, 226. [Google Scholar] [CrossRef] [PubMed]
- Liabeuf, S.; Barreto, D.V.; Barreto, F.C.; Meert, N.; Glorieux, G.; Schepers, E.; Temmar, M.; Choukroun, G.; Vanholder, R.; Massy, Z.A. Free p-cresylsulphate is a predictor of mortality in patients at different stages of chronic kidney disease. Nephrol. Dial. Transplant. 2010, 25, 1183–1191. [Google Scholar] [CrossRef]
- Aronov, P.A.; Luo, F.J.G.; Plummer, N.S.; Quan, Z.; Holmes, S.; Hostetter, T.H.; Meyer, T.W. Colonic Contribution to Uremic Solutes. J. Am. Soc. Nephrol. 2011, 22, 1769–1776. [Google Scholar] [CrossRef] [PubMed]
- Brunet, P.; Dou, L.; Cerini, C.; Berland, Y. Protein-bound uremic retention solutes. Adv. Ren. Replace 2003, 10, 310–320. [Google Scholar] [CrossRef]
- Jankowski, J.; van der Giet, M.; Jankowski, V.; Schmidt, S.; Hemeier, M.; Mahn, B.; Giebing, G.; Tölle, M.; Luftmann, H.; Schlüter, H.; et al. Increased plasma phenylacetic acid in patients with end-stage renal failure inhibits iNOS expression. J. Clin. Investig. 2003, 112, 256–264. [Google Scholar] [CrossRef]
- Schmidt, S.; Westhoff, T.H.; Krauser, P.; Ignatius, R.; Jankowski, J.; Jankowski, V.; Zidek, W.; van der Giet, M. The uraemic toxin phenylacetic acid impairs macrophage function. Nephrol. Dial. Transplant. 2008, 23, 3485–3493. [Google Scholar] [CrossRef]
- Saldanha, J.F.; Yi, D.; Stockler-Pinto, M.B.; Soula, H.A.; Chambert, S.; Fouque, D.; Mafra, D.; Soulage, C.O. Determination of the binding properties of the uremic toxin phenylacetic acid to human serum albumin. Biochimie 2016, 125, 53–58. [Google Scholar] [CrossRef]
- Jourde-Chiche, N.; Dou, L.; Sabatier, F.; Calaf, R.; Cerini, C.; Robert, S.; Camoin-Jau, L.; Charpiot, P.; Argiles, A.; Dignat-George, F.; et al. Levels of circulating endothelial progenitor cells are related to uremic toxins and vascular injury in hemodialysis patients. J. Thromb. Haemost. 2009, 7, 1576–1584. [Google Scholar] [CrossRef]
- Dou, L.; Sallee, M.; Cerini, C.; Poitevin, S.; Gondouin, B.; Jourde-Chiche, N.; Fallague, K.; Brunet, P.; Calaf, R.; Dussol, B.; et al. The cardiovascular effect of the uremic solute indole-3 acetic acid. J. Am. Soc. Nephrol. 2015, 26, 876–887. [Google Scholar] [CrossRef]
- Kabiri, M.; Unsworth, L.D. Application of Isothermal Titration Calorimetry for Characterizing Thermodynamic Parameters of Biomolecular Interactions: Peptide Self-Assembly and Protein Adsorption Case Studies. Biomacromolecules 2014, 15, 3463–3473. [Google Scholar] [CrossRef] [PubMed]
- Li, S.; Tonelli, M.; Unsworth, L.D. Indoxyl and p-cresol sulfate binding with human serum albumin. Colloids Surf. A Physicochem. Eng. Asp. 2022, 635, 128042. [Google Scholar] [CrossRef]
- Falconer, R.J.; Schuur, B.; Mittermaier, A.K. Applications of isothermal titration calorimetry in pure and applied research from 2016 to 2020. J. Mol. Recognit. 2021, 34, e2901. [Google Scholar] [CrossRef] [PubMed]
- Kato, S.; Drout, R.J.; Farha, O.K. Isothermal Titration Calorimetry to Investigate Uremic Toxins Adsorbing onto Metal-Organic Frameworks. Cell Rep. Phys. Sci. 2020, 1, 100006. [Google Scholar] [CrossRef]
- Zaidi, N.; Ajmal, M.R.; Rabbani, G.; Ahmad, E.; Khan, R.H. A Comprehensive Insight into Binding of Hippuric Acid to Human Serum Albumin: A Study to Uncover Its Impaired Elimination through Hemodialysis. PLoS ONE 2013, 8, e71422. [Google Scholar] [CrossRef]
- Falconer, R.J. Applications of isothermal titration calorimetry—The research and technical developments from 2011 to 2015. J. Mol. Recognit. 2016, 29, 504–515. [Google Scholar] [CrossRef]
- Yu, S.; Schuchardt, M.; Tölle, M.; van der Giet, M.; Zidek, W.; Dzubiella, J.; Ballauff, M. Interaction of human serum albumin with uremic toxins: A thermodynamic study. RSC Adv. 2017, 7, 27913–27922. [Google Scholar] [CrossRef]
- Zaidi, N.; Khan, R.H. A biophysical insight into structural and functional state of human serum albumin in uremia mimic milieu. Int. J. Biol. Macromol. 2019, 131, 697–705. [Google Scholar] [CrossRef]
- Langmuir, I. The Adsorption of Gases on Plane Surfaces of Glass, Mica and Platinum. J. Am. Chem. Soc. 2002, 40, 1361–1403. [Google Scholar] [CrossRef]
- Bergé-Lefranc, D.; Chaspoul, F.; Cérini, C.; Brunet, P.; Gallice, P. Thermodynamic study of indoxylsulfate interaction with human serum albumin and competitive binding with p-cresylsulfate. J. Therm. Anal. Calorim. 2014, 115, 2021–2026. [Google Scholar] [CrossRef]
- Monod, J.; Wyman, J.; Changeux, J.P. On the Nature of Allosteric Transitions: A Plausible Model. J. Mol. Biol. 1965, 12, 88–118. [Google Scholar] [CrossRef] [PubMed]
- Nerusu, A.; Vaikuntapu, P.R.; Chinthapalli, D.K.; Podile, A.R.; Subramanyam, R. Truncated domains of human serum albumin improves the binding efficiency of uremic toxins: A surface plasmon resonance and computational approach. Int. J. Biol. Macromol. 2020, 155, 1216–1225. [Google Scholar] [CrossRef] [PubMed]
- Pethica, B.A. Misuse of thermodynamics in the interpretation of isothermal titration calorimetry data for ligand binding to proteins. Anal. Biochem. 2015, 472, 21–29. [Google Scholar] [CrossRef]
- Ghisaidoobe, A.B.T.; Chung, S.J. Intrinsic Tryptophan Fluorescence in the Detection and Analysis of Proteins: A Focus on Förster Resonance Energy Transfer Techniques. Int. J. Mol. Sci. 2014, 15, 22518–22538. [Google Scholar] [CrossRef] [PubMed]
- Sudlow, G.; Birkett, D.J.; Wade, D.N. The Characterization of Two Specific Drug Binding Sites on Human Serum Albumin. Mol. Pharmacol. 1975, 11, 824–832. [Google Scholar]
- Royer, C.A. Probing protein folding and conformational transitions with fluorescence. Chem. Rev. 2006, 106, 1769–1784. [Google Scholar] [CrossRef]
- N’Soukpoé-Kossi, C.N.; Sedaghat-Herati, R.; Ragi, C.; Hotchandani, S.; Tajmir-Riahi, H.A. Retinol and retinoic acid bind human serum albumin: Stability and structural features. Int. J. Biol. Macromol. 2007, 40, 484–490. [Google Scholar] [CrossRef]
- Ross, J.A.; Jameson, D.M. Time-resolved methods in biophysics. 8. Frequency domain fluorometry: Applications to intrinsic protein fluorescence. Photochem. Photobiol. Sci. 2008, 7, 1301–1312. [Google Scholar] [CrossRef]
- Alarcón, E.; Aspée, A.; Abuin, E.B.; Lissi, E.A. Evaluation of solute binding to proteins and intra-protein distances from steady state fluorescence measurements. J. Photochem. Photobiol. B Biol. 2012, 106, 1–17. [Google Scholar] [CrossRef]
- Tsutsumi, Y.; Maruyama, T.; Takadate, A.; Goto, M.; Matsunaga, H.; Otagiri, M. Interaction Between Two Dicarboxylate Endogenous Substances, Bilirubin and an Uremic Toxin, 3-Carboxy-4-Methyl-5-Propyl-2-Furanpropanoic Acid, on Human Serum Albumin. Pharm. Res. 1999, 16, 916–923. [Google Scholar] [CrossRef]
- Watanabe, H.; Noguchi, T.; Miyamoto, Y.; Kadowaki, D.; Kotani, S.; Nakajima, M.; Miyamura, S.; Ishima, Y.; Otagiri, M.; Maruyama, T. Interaction between Two Sulfate-Conjugated Uremic Toxins, p-Cresyl Sulfate and Indoxyl Sulfate, during Binding with Human Serum Albumin. Drug Metab. Dispos. 2012, 40, 1423–1428. [Google Scholar] [CrossRef] [PubMed]
- Ranjbar, B.; Gill, P. Circular Dichroism Techniques: Biomolecular and Nanostructural Analyses—A Review. Chem. Biol. Drug Des. 2009, 74, 101–120. [Google Scholar] [CrossRef] [PubMed]
- Hornok, V.; Juhász, Á.; Paragi, G.; Kovács, A.N.; Csapó, E. Thermodynamic and kinetic insights into the interaction of kynurenic acid with human serum albumin: Spectroscopic and calorimetric approaches. J. Mol. Liq. 2020, 313, 112869. [Google Scholar] [CrossRef]
- Heitz, F.; Van Mau, N. Protein structural changes induced by their uptake at interfaces. Biochim. Et Biophys. Acta (BBA)—Protein Struct. Mol. Enzymol. 2002, 1597, 1–11. [Google Scholar] [CrossRef]
- Yamamoto, S.; Sasahara, K.; Domon, M.; Yamaguchi, K.; Ito, T.; Goto, S.; Goto, Y.; Narita, I. pH-Dependent Protein Binding Properties of Uremic Toxins In Vitro. Toxins 2021, 13, 116. [Google Scholar] [CrossRef]
- Chuang, V.T.G.; Maruyama, T.; Otagiri, M. Updates on Contemporary Protein Binding Techniques. Drug Metab. Pharmacokinet. 2009, 24, 358–364. [Google Scholar] [CrossRef] [PubMed]
- Fielding, L.; Rutherford, S.; Fletcher, D. Determination of protein-ligand binding affinity by NMR: Observations from serum albumin model systems. Magn. Reson. Chem. 2005, 43, 463–470. [Google Scholar] [CrossRef]
- Sun, C.; Huth, J.R.; Hajduk, P.J. NMR in Pharmacokinetic and Pharmacodynamic Profiling. ChemBioChem 2005, 6, 1592–1600. [Google Scholar] [CrossRef] [PubMed]
- Jacobsen, N.E. NMR Spectroscopy Explained: Simplified Theory, Applications and Examples for Organic Chemistry and Structural Biology; John Wiley & Sons: Hoboken, NJ, USA, 2007; p. 668. [Google Scholar]
- Sakai, T.; Yamasaki, K.; Sako, T.; Kragh-Hansen, U.; Suenaga, A.; Otagiri, M. Interaction Mechanism between Indoxyl Sulfate, a Typical Uremic Toxin Bound to Site II, and Ligands Bound to Site I of Human Serum Albumin. Pharm. Res. 2001, 18, 520–524. [Google Scholar] [CrossRef] [PubMed]
- Li, X.; Wang, S. Binding of glutathione and melatonin to human serum albumin: A comparative study. Colloids Surf. B Biointerfaces 2015, 125, 96–103. [Google Scholar] [CrossRef]
- Smith, J.; Pfaendtner, J. Elucidating the Molecular Interactions between Uremic Toxins and the Sudlow II Binding Site of Human Serum Albumin. J. Phys. Chem. B 2020, 124, 3922–3930. [Google Scholar] [CrossRef]
- Kragh-Hansen, U.; Dørge, E.; Pedersen, A.O. Rate-of-dialysis technique: Theoretical and practical aspects. Anal. Biochem. 2005, 340, 145–153. [Google Scholar] [CrossRef]
- Czaplicki, S. Chromatography in Bioactivity Analysis of Compounds. In Column Chromatography; InTech: London, UK, 2013. [Google Scholar] [CrossRef]
- Hage, D.S.; Anguizola, J.A.; Jackson, A.J.; Matsuda, R.; Papastavros, E.; Pfaunmiller, E.; Tong, Z.; Vargas-Badilla, J.; Yoo, M.J.; Zheng, X. Chromatographic analysis of drug interactions in the serum proteome. Anal. Methods 2011, 3, 1449. [Google Scholar] [CrossRef]
- Daneshamouz, S.; Saadati, S.; Abdelrasoul, A. Molecular docking study of biocompatible enzyme interactions for removal of indoxyl sulfate (IS), indole-3-acetic acid (IAA), and p-cresyl sulfate (PCS) protein bound uremic toxins. Struct. Chem. 2022, 33, 1133–1148. [Google Scholar] [CrossRef]
- Di Muzio, E.; Polticelli, F.; di Masi, A.; Fanali, G.; Fasano, M.; Ascenzi, P. All-trans-retinoic acid and retinol binding to the FA1 site of human serum albumin competitively inhibits heme-Fe(III) association. Arch. Biochem. Biophys. 2016, 590, 56–63. [Google Scholar] [CrossRef] [PubMed]
- Sudlow, G.; Birkett, D.J.; Wade, D.N. Further Characterization of Specific Drug Binding Sites on Human Serum Albumin. Mol. Pharmacol. 1976, 12, 1052–1061. [Google Scholar] [PubMed]
- Tsutsumi, Y.; Maruyama, T.; Takadate, A.; Shimada, H.; Otagiri, M. Decreased Bilirubin-Binding Capacity in Uremic Serum Caused by an Accumulation of Furan Dicarboxylic Acid. Nephron 2000, 85, 60–64. [Google Scholar] [CrossRef] [PubMed]
- Vanholder, R.; Argilés, A.; Baurmeister, U.; Brunet, P.; Clark, W.; Cohen, G.; Dedeyn, P.P.; Deppisch, R.; Descamps-Latscha, B.; Henle, T.; et al. Uremic Toxicity: Present State of the Art. Int. J. Artif. Organs 2001, 24, 695–725. [Google Scholar] [CrossRef]
- Deltombe, O.; de Loor, H.; Glorieux, G.; Dhondt, A.; Van Biesen, W.; Meijers, B.; Eloot, S. Exploring binding characteristics and the related competition of different protein-bound uremic toxins. Biochimie 2017, 139, 20–26. [Google Scholar] [CrossRef]
- Bertuzzi, A.; Mingrone, G.; Gandolfi, A.; Greco, A.V.; Ringoir, S.; Vanholder, R. Binding of indole-3-acetic acid to human serum albumin and competition with l-tryptophan. Clin. Chim. Acta 1997, 265, 183–192. [Google Scholar] [CrossRef]
- Madero, M.; Cano, K.B.; Campos, I.; Tao, X.; Maheshwari, V.; Brown, J.; Cornejo, B.; Handelman, G.; Thijssen, S.; Kotanko, P. Removal of Protein-Bound Uremic Toxins during Hemodialysis Using a Binding Competitor. Clin. J. Am. Soc. Nephrol. 2019, 14, 394–402. [Google Scholar] [CrossRef]
- Shi, Y.; Zhang, Y.; Tian, H.; Wang, Y.; Shen, Y.; Zhu, Q.; Ding, F. Improved dialytic removal of protein-bound uremic toxins by intravenous lipid emulsion in chronic kidney disease rats. Nephrol. Dial. Transplant. 2019, 34, 1842–1852. [Google Scholar] [CrossRef] [PubMed]
- Nishio, T.; Takamura, N.; Nishii, R.; Tokunaga, J.; Yoshimoto, M.; Kawai, K. Influences of haemodialysis on the binding sites of human serum albumin: Possibility of an efficacious administration plan using binding inhibition. Nephrol. Dial. Transplant. 2008, 23, 2304–2310. [Google Scholar] [CrossRef] [PubMed]
- Florens, N.; Yi, D.; Juillard, L.; Soulage, C.O. Using binding competitors of albumin to promote the removal of protein-bound uremic toxins in hemodialysis: Hope or pipe dream? Biochimie 2018, 144, 1–8. [Google Scholar] [CrossRef] [PubMed]

| Toxin | Protein Buffer | pH | T (°C) | Methodology | Results | Discussed Competitors | Ref. | |||||
|---|---|---|---|---|---|---|---|---|---|---|---|---|
| Binding Site | Ka (M−1) | ΔH (kcal mol−1) | TΔS (kcal mol−1) | ΔG (kcal mol−1) | n | |||||||
| CMPF | HSA Sodium Phosphate | 7.4 | 25 | ITC, Far-UV CD, FT-IR, X-ray crystallography, DSC | High affinity Low affinity | 5.76 × 106 4.57 × 103 | −12.89 −14.89 | −3.70 −10.21 | −9.19 −4.68 | - | - | [38] |
| HSA (defatted) HSA modifications: HNB-HSA, TNM-HSA, SA-HSA, DEP-HAS Sodium phosphate (dibasic) | 6.8–8.2 | 25 | X-ray crystallography, fluorescence quenching, and probe displacement | Site I | 130 × 105 | - | - | - | 1 | Bilirubin, warfarin, phenylbutazone | [50] | |
| HSA BSA Isotonic sodium phosphate-chloride | 6.4–8.3 | 10, 25, 37 | Equilibrium dialysis, HPLC | High affinity (at 37 °C, pH 7.4) Low affinity (at 37 °C, pH 7.4) | 4.8 × 106 0.6 × 103 | (Ref data, 25 °C) –2.15 | 4.78 | −6.93 | 0.6 10.3 | o-methyl red | [19] | |
| HSA (defatted) Deionized and distilled water, phosphate buffer | 7.4 | 25 | Fluorescent probe displacement, ultrafiltration, equilibrium dialysis | High affinity Low affinity | 130.5 × 105 33.4 × 104 | - | - | - | 1 2 | Warfarin, DNSS | [14] | |
| IS | HSA (defatted) Deionized and distilled water, phosphate buffer | 7.4 | 25 | Fluorescent probe displacement, ultrafiltration, equilibrium dialysis | High affinity Low affinity | 16.1 × 105 8.3 × 103 | - | - | - | 1 3 | Warfarin, DNSS | [14] |
| HSA Phosphate buffer | 7.2 | 25, 30, 37 | ITC, fluorescence quenching, CD, STD NMR | Overall interaction with HSA (at 25 °C, pH 7.2) | 10.06 × 103 | −16.8 | −11.96 | −4.81 | 1.08 | Ibuprofen, warfarin | [32] | |
| HSA Phosphate buffer | 7.4 | 25 | HPLC, fluorescent probe displacement | High affinity Low affinity | 0.98 × 105 8.0 × 103 | - | - | - | 1 1.6 | Warfarin, dansylsarcosine | [51] | |
| HSA (defatted) Deionized and distilled water Phosphate buffer | 6.5, 7.4, 8.5 | 25 | Equilibrium dialysis | High affinity (at pH 7.4) Low affinity (at pH 7.4) | 9.1 × 105 0.8 × 103 | - | - | - | 1 3 | Warfarin, DNSA, DNSS | [60] | |
| HSA (defatted) Modified HSA morpholine-N-oxide | 7.4 | 25, 30, 37 | ITC | High affinity (at 25 °C and ionic strength 20—native HSA) Low affinity (at 25 °C and ionic strength 20—native HSA) | - | - | - | −7.55 −4.94 | - | - | [37] | |
| Modeled—HSA | Molecular docking | Overall interaction with HSA | - | −7.5 | - | - | - | Laccase 1KYA and 3FU9 | [66] | |||
| HSA Phosphate buffer | 1.9–12.9 | 37 | CD, ITC | Overall interaction with HSA (at pH 7.1) | 1.27 × 105 | −20.23 | −15.63 | −7.25 | [55] | |||
| HSA 2-(N-morpholino) ethane sulfonic acid) buffer | 7.4 | 15, 20, 25, 37 | ITC | Overall interaction with HSA (at 25 °C) | 1750 | −8.65 | −4.63 | −4.35 | 0.98 | [40] | ||
| HSA Sodium phosphate | 7.4 | 25 | ITC, Far-UV CD, FT-IR, X-ray crystallography, DSC | High affinity Low affinity | 1.04 × 106 6.59 × 105 | −20.05 −14.39 | −11.80 −6.90 | −8.25 −7.49 | - | - | [38] | |
| IAA | HSA (defatted) Deionized and distilled water, phosphate buffer | 7.4 | 25 | Fluorescent probe displacement, ultrafiltration, equilibrium dialysis | High affinity Low affinity | 2.1 × 105 0.8 × 104 | - | - | - | 1 5 | Warfarin, DNSS | [14] |
| Modeled—HSA | Molecular docking | Overall interaction with HSA | - | −6.8 | - | - | - | Laccase 1KYA and 3FU9 | [66] | |||
| HSA in experiments Model samples—HSA | CD, SPR, molecular docking | Domain 2 Domain 3 Domain 2-3 HSA | 5.92 × 103 4.65 × 105 1.25 × 105 2.75 × 104 | [42] | ||||||||
| HSA Sodium phosphate | 7.4 | 25 | ITC, Far-UV CD, FT-IR, X-ray crystallography, DSC | High affinity Low affinity | 1.78 × 105 8.27 × 104 | −13.94 −3.8 | −6.40 2.8 | −7.45 −6.60 | - | - | [38] | |
| HA | HSA (defatted) Deionized and distilled water, phosphate buffer | 7.4 | 25 | Fluorescent probe displacement, ultrafiltration, equilibrium dialysis | High affinity Low affinity | 0.1 × 105 0.3 × 104 | - | - | - | 1 7 | Warfarin, DNSS | [14] |
| HSA Sodium phosphate | 7.4 | 25, 30, 37 | ITC, DSC, molecular docking, CD, fluorescence quenching | High affinity (at 25 °C) Low affinity (at 25 °C) | 2.75 × 104 2.8 × 103 | −4.41 −7.58 | 1.90 2.88 | −6.05 −4.69 | 0.97 | - | [35] | |
| HSA in experiments Model samples—HSA | CD, SPR, molecular docking | Domain 2 Domain 3 Domain 2-3 HSA | 9.52 × 103 5.78 × 104 9.26 × 103 2.11 × 104 | [42] | ||||||||
| PAA | HSA (defatted) Modified HSA morpholine-N-oxide | 7.4 | 25, 30, 37 | ITC | High affinity (at 25 °C and ionic strength 20—native HSA) Low affinity (at 25 °C and ionic strength 20—native HSA) | - | - | - | −5.90 −4.04 | - | - | [37] |
| BSA HSA (with fatty acids) | 7.4 | 37 | Ultrafiltration, fluorescent probe displacement | High affinity Low affinity | 3.66 × 105 3.86 × 104 | 0.07 1.83 | [28] | |||||
| PCS | HSA Phosphate buffer | 7.4 | 25 | HPLC, fluorescent probe displacement | High affinity Low affinity | 1 × 105 19.6 × 103 | - | - | - | 1 1.2 | Warfarin, dansylsarcosine | [51] |
| Modeled—HSA | Molecular docking | Overall interaction with HSA | - | −6.3 | - | - | - | Laccase 1KYA and 3FU9 | [66] | |||
| HSA Phosphate buffer | 7.2 | 25, 30, 37 | ITC, fluorescence quenching, CD, STD NMR | Overall interaction with HSA (at 25 °C, pH 7.2) | 1.39 × 103 | −27.5 | −23.29 | −4.23 | 1.03 | Ibuprofen, warfarin | [32] | |
Disclaimer/Publisher’s Note: The statements, opinions and data contained in all publications are solely those of the individual author(s) and contributor(s) and not of MDPI and/or the editor(s). MDPI and/or the editor(s) disclaim responsibility for any injury to people or property resulting from any ideas, methods, instructions or products referred to in the content. |
© 2023 by the authors. Licensee MDPI, Basel, Switzerland. This article is an open access article distributed under the terms and conditions of the Creative Commons Attribution (CC BY) license (https://creativecommons.org/licenses/by/4.0/).
Share and Cite
Dehghan Niestanak, V.; Unsworth, L.D. Detailing Protein-Bound Uremic Toxin Interaction Mechanisms with Human Serum Albumin in the Pursuit of Designing Competitive Binders. Int. J. Mol. Sci. 2023, 24, 7452. https://doi.org/10.3390/ijms24087452
Dehghan Niestanak V, Unsworth LD. Detailing Protein-Bound Uremic Toxin Interaction Mechanisms with Human Serum Albumin in the Pursuit of Designing Competitive Binders. International Journal of Molecular Sciences. 2023; 24(8):7452. https://doi.org/10.3390/ijms24087452
Chicago/Turabian StyleDehghan Niestanak, Vida, and Larry D. Unsworth. 2023. "Detailing Protein-Bound Uremic Toxin Interaction Mechanisms with Human Serum Albumin in the Pursuit of Designing Competitive Binders" International Journal of Molecular Sciences 24, no. 8: 7452. https://doi.org/10.3390/ijms24087452
APA StyleDehghan Niestanak, V., & Unsworth, L. D. (2023). Detailing Protein-Bound Uremic Toxin Interaction Mechanisms with Human Serum Albumin in the Pursuit of Designing Competitive Binders. International Journal of Molecular Sciences, 24(8), 7452. https://doi.org/10.3390/ijms24087452

