Genetic Variation among Heterodera schachtii Populations Coincided with Differences in Invasion and Propagation in Roots of a Set of Cruciferous Plants
Abstract
1. Introduction
2. Results
2.1. Egg Hatch of H. schachtii Populations
2.2. Penetration of H. schachtii Populations into the Roots of Three Cruciferous Species
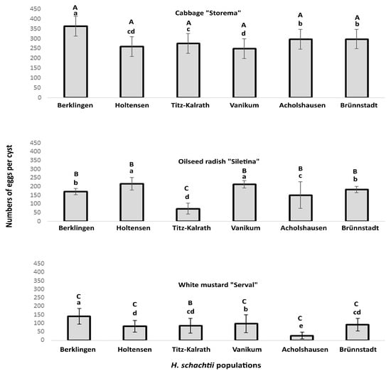
2.3. Propagation of H. schachtii Populations on Three Cruciferous Species
2.4. Variability of the Parasitism Gene vap1 among H. schachtii Populations
3. Discussion
4. Materials and Methods
4.1. Nematode Materials
4.2. Hatching Assay
4.3. Bioassays to Estimate the Root Penetration and Propagation of H. schachtii Populations on Three Cruciferous Species
4.4. Analyzing the vap1 Gene Variants of H. schachtii Populations
4.5. Data Analysis
5. Conclusions
Author Contributions
Funding
Institutional Review Board Statement
Informed Consent Statement
Data Availability Statement
Acknowledgments
Conflicts of Interest
References
- Griffin, G.D. Pathological differences in Heterodera schachtii populations. J. Nematol. 1981, 13, 191–195. [Google Scholar] [PubMed]
- Griffin, G.D. Differential pathogenicity of four Pratylenchus neglectus populations on alfalfa. J. Nematol. 1991, 23, 380–385. [Google Scholar] [PubMed]
- Müller, J. Detection of pathotypes by assessing the virulence of Heterodera schachtii populations. Nematologica 1992, 38, 50–64. [Google Scholar] [CrossRef]
- Müller, J. New pathotypes of the beet cyst nematode (Heterodera schachtii) differentiated on alien genes for resistance in beet (Beta vulgaris). Fundam. Appl. Nematol. 1998, 21, 519–526. [Google Scholar]
- Nuaima, R.H.; Roeb, J.; Hallmann, J.; Daub, M.; Otte, S.; Heuer, H. Effector gene vap1 based DGGE fingerprinting to assess variation within and among Heterodera schachtii populations. J. Nematol. 2018, 50, 517–528. [Google Scholar] [CrossRef]
- Nuaima, R.H.; Mwangi, J.M.; Kiewnick, S.; Heuer, H. Effector gene vap1-based DGGE fingerprinting to assess variation within and among Globodera species and populations. Nematol. 2019, 21, 1023–1036. [Google Scholar] [CrossRef]
- Nuaima, R.H.; Roeb, J.; Hallmann, J.; Daub, M.; Heuer, H. Significant genetic differences among Heterodera schachtii populations within and among sugar beet production areas. Nematol. 2019, 22, 165–177. [Google Scholar] [CrossRef]
- Al-Khafaji, R.T.; Gunnink Troth, E.E.; Lambert, K.N.; Johnston, J.A.; Dyer, A.T. Pathotypes detected among populations of Pratylenchus neglectus collected from Montana. Plant Dis. 2019, 103, 3259–3264. [Google Scholar] [CrossRef]
- Nuaima, R.H. The Difference in the Bacterial Attachment among Pratylenchus neglectus Populations and Its Effect on the Nematode Infection. Microorganisms 2022, 10, 1524. [Google Scholar] [CrossRef]
- Müller, J. The economic importance of Heterodera schachtii in Europe. Helminthologia 1999, 36, 205–213. [Google Scholar]
- Kaplan, M.; Caswell-Chen, E.P.; Williamson, V.M. Assessment of host-induced selection on three geographic isolates of Heterodera schachtii using RAPD and AFLP markers. Phytopathology 1999, 89, 68–73. [Google Scholar] [CrossRef]
- Cantacessi, C.; Campbell, B.E.; Visser, A.; Geldhof, P.; Nolan, M.J.; Nisbet, A.J.; Matthews, J.B.; Loukas, A.; Hofmann, A.; Otranto, D.; et al. A portrait of the “SCP/TAPS” proteins of eukaryotes--developing a framework for fundamental research and biotechnological outcomes. Biotechnol. Adv. 2009, 27, 376–388. [Google Scholar] [CrossRef] [PubMed]
- Lozano-Torres, J.L.; Wilbers, R.H.P.; Gawronski, P.; Boshoven, J.C.; Finkers-Tomczak, A.; Cordewener, J.H.G.; America, A.H.P.; Overmars, H.A.; van ‘t Klooster, J.W.; Baranowski, L.; et al. Dual disease resistance mediated by the immune receptor Cf-2 in tomato requires a common virulence target of a fungus and a nematode. Proc. Natl. Acad. Sci. USA 2012, 109, 10119–10124. [Google Scholar] [CrossRef] [PubMed]
- Lozano-Torres, J.L.; Wilbers, R.H.P.; Warmerdam, S.; Finkers-Tomczak, A.; Diaz-Granados, A.; van Schaik, C.C.; Helder, J.; Bakker, J.; Goverse, A.; Schots, A.; et al. Apoplastic venom allergen-like proteins of cyst nematodes modulate the activation of basal plant innate immunity by cell surface receptors. PLoS Pathog. 2014, 10, e1004569. [Google Scholar] [CrossRef]
- Misas-Villamil, J.C.; van der Hoorn, R.A.L.; Doehlemann, G. Papain-like cysteine proteases as hubs in plant immunity. New Phytol. 2016, 212, 902–907. [Google Scholar] [CrossRef] [PubMed]
- Nuaima, R.H.; Heuer, H.; Westphal, A. Effects of cover cropping on microbial communities associated with Heterodera schachtii and nematode virulence. Soil Syst. 2019, 3, 67. [Google Scholar] [CrossRef]
- Mkandawire, T.T.; Grencis, R.K.; Berriman, M.; Duque-Correa, M.A. Hatching of parasitic nematode eggs: A crucial step determining infection. Trends Parasitol. 2022, 38, 174–187. [Google Scholar] [CrossRef] [PubMed]
- Bell, C.A.; Lilley, C.J.; McCarthy, J.; Atkinson, H.J.; Urwin, P.E. Plant-parasitic nematodes respond to root exudate signals with host-specific gene expression patterns. PLoS Pathog. 2019, 15, e1007503. [Google Scholar] [CrossRef]
- Doncaster, C.C.; Shepherd, A.M. The behaviour of second-stage Heterodera rostochiensis larvae leading to their emergence from the egg. Nematologica 1967, 13, 476–478. [Google Scholar] [CrossRef]
- Masler, E.P.; Perry, R.N. Hatch, survival and sensory perception. In Cyst Nematodes; Perry, R.N., Moens, M., Jones, J.T., Eds.; CAB International: Oxfordshire, UK; CAB International: Boston, MA, USA, 2018; pp. 44–73. ISBN 9781786390837. [Google Scholar]
- Bohlmann, H.; Sobczak, M. The plant cell wall in the feeding sites of cyst nematodes. Front. Plant Sci. 2014, 5, 89. [Google Scholar] [CrossRef]
- Zhong-ling, T.; Hong-li, S.; Munawar, M.; Jing-wu, Z. Pectate lyase is a factor in the adaptability for Heterodera glycines infecting tobacco. J. Integr. Agric. 2019, 18, 618–626. [Google Scholar] [CrossRef]
- Vanholme, B.; van Thuyne, W.; Vanhouteghem, K.; de Meutter, J.; Cannoot, B.; Gheysen, G. Molecular characterization and functional importance of pectate lyase secreted by the cyst nematode Heterodera schachtii. Mol. Plant Pathol. 2007, 8, 267–278. [Google Scholar] [CrossRef] [PubMed]
- Keegstra, K. Plant cell walls. Plant Physiol. 2010, 154, 483–486. [Google Scholar] [CrossRef] [PubMed]
- Hewezi, T.; Howe, P.; Maier, T.R.; Hussey, R.S.; Mitchum, M.G.; Davis, E.L.; Baum, T.J. Cellulose binding protein from the parasitic nematode Heterodera schachtii interacts with Arabidopsis pectin methylesterase: Cooperative cell wall modification during parasitism. Plant Cell 2008, 20, 3080–3093. [Google Scholar] [CrossRef]
- Manmohit Kalia, P.K. Pectin Methylesterases: A Review. J. Bioprocess. Biotech. 2015, 5, 227. [Google Scholar] [CrossRef]
- Klink, V.P.; Hosseini, P.; MacDonald, M.H.; Alkharouf, N.W.; Matthews, B.F. Population-specific gene expression in the plant pathogenic nematode Heterodera glycines exists prior to infection and during the onset of a resistant or susceptible reaction in the roots of the Glycine max genotype Peking. BMC Genom. 2009, 10, 111. [Google Scholar] [CrossRef]
- Klink, V.P.; Hosseini, P.; Matsye, P.D.; Alkharouf, N.W.; Matthews, B.F. Differences in gene expression amplitude overlie a conserved transcriptomic program occurring between the rapid and potent localized resistant reaction at the syncytium of the Glycine max genotype Peking (PI 548402) as compared to the prolonged and potent resistant reaction of PI 88788. Plant Mol. Biol. 2011, 75, 141–165. [Google Scholar] [CrossRef]
- Jenkins, J.; Pickersgill, R. The architecture of parallel beta-helices and related folds. Prog. Biophys. Mol. Biol. 2001, 77, 111–175. [Google Scholar] [CrossRef]
- Clarke, A.J.; Shepherd, A.M. Zinc and Other Metallic Ions as Hatching Agents for the Beet Cyst Nematode, Heterocdera schachtii Schm. Nature 1965, 208, 502. [Google Scholar] [CrossRef]
- Kropf, S.; Heuer, H.; Grüning, M.; Smalla, K. Significance test for comparing complex microbial community fingerprints using pairwise similarity measures. J. Microbiol. Methods 2004, 57, 187–195. [Google Scholar] [CrossRef]




| Compared Populations | vap1 Similarity | p-Value |
|---|---|---|
| Berklingen-Holtensen | 13.48% | 0.02 * |
| Berklingen-Titz-Kalrath | 23.33% | 0.02 * |
| Berklingen-Vanikum | 20.47% | 0.03 * |
| Berklingen-Acholshausen | 35.91% | 0.0 * |
| Berklingen-Brünnstadt | 16.59% | 0.02 * |
| Holtensen-Titz Kalrath | 11.11% | 0.02 * |
| Holtensen-Vanikum | 65.88% | 0.02 * |
| Holtensen-Acholshausen | 7.9% | 0.0 * |
| Holtensen-Brünnstadt | 24.99% | 0.02 * |
| Titz Kalrath-Vanikum | 18.68% | 0.02 * |
| Titz Kalrath-Acholshausen | 34.27% | 0.0 * |
| Titz Kalrath-Brünnstadt | 20.52% | 0.02 * |
| Vanikum-Acholshausen | 19.45% | 0.0 * |
| Vanikum-Brünnstadt | 21.65% | 0.02 * |
| Acholshausen-Brünnstadt | 14.1% | 0.0 * |
Disclaimer/Publisher’s Note: The statements, opinions and data contained in all publications are solely those of the individual author(s) and contributor(s) and not of MDPI and/or the editor(s). MDPI and/or the editor(s) disclaim responsibility for any injury to people or property resulting from any ideas, methods, instructions or products referred to in the content. |
© 2023 by the authors. Licensee MDPI, Basel, Switzerland. This article is an open access article distributed under the terms and conditions of the Creative Commons Attribution (CC BY) license (https://creativecommons.org/licenses/by/4.0/).
Share and Cite
Nuaima, R.H.; Heuer, H. Genetic Variation among Heterodera schachtii Populations Coincided with Differences in Invasion and Propagation in Roots of a Set of Cruciferous Plants. Int. J. Mol. Sci. 2023, 24, 6848. https://doi.org/10.3390/ijms24076848
Nuaima RH, Heuer H. Genetic Variation among Heterodera schachtii Populations Coincided with Differences in Invasion and Propagation in Roots of a Set of Cruciferous Plants. International Journal of Molecular Sciences. 2023; 24(7):6848. https://doi.org/10.3390/ijms24076848
Chicago/Turabian StyleNuaima, Rasha Haj, and Holger Heuer. 2023. "Genetic Variation among Heterodera schachtii Populations Coincided with Differences in Invasion and Propagation in Roots of a Set of Cruciferous Plants" International Journal of Molecular Sciences 24, no. 7: 6848. https://doi.org/10.3390/ijms24076848
APA StyleNuaima, R. H., & Heuer, H. (2023). Genetic Variation among Heterodera schachtii Populations Coincided with Differences in Invasion and Propagation in Roots of a Set of Cruciferous Plants. International Journal of Molecular Sciences, 24(7), 6848. https://doi.org/10.3390/ijms24076848

