Antibiotic Resistance Genes in Aerosols: Baseline from Kuwait
Abstract
1. Introduction
2. Results
2.1. Number of ARGs
2.2. Drug Classes and Gene IDs
2.3. Spatio-Temporal Variations in the Distribution of ARGs
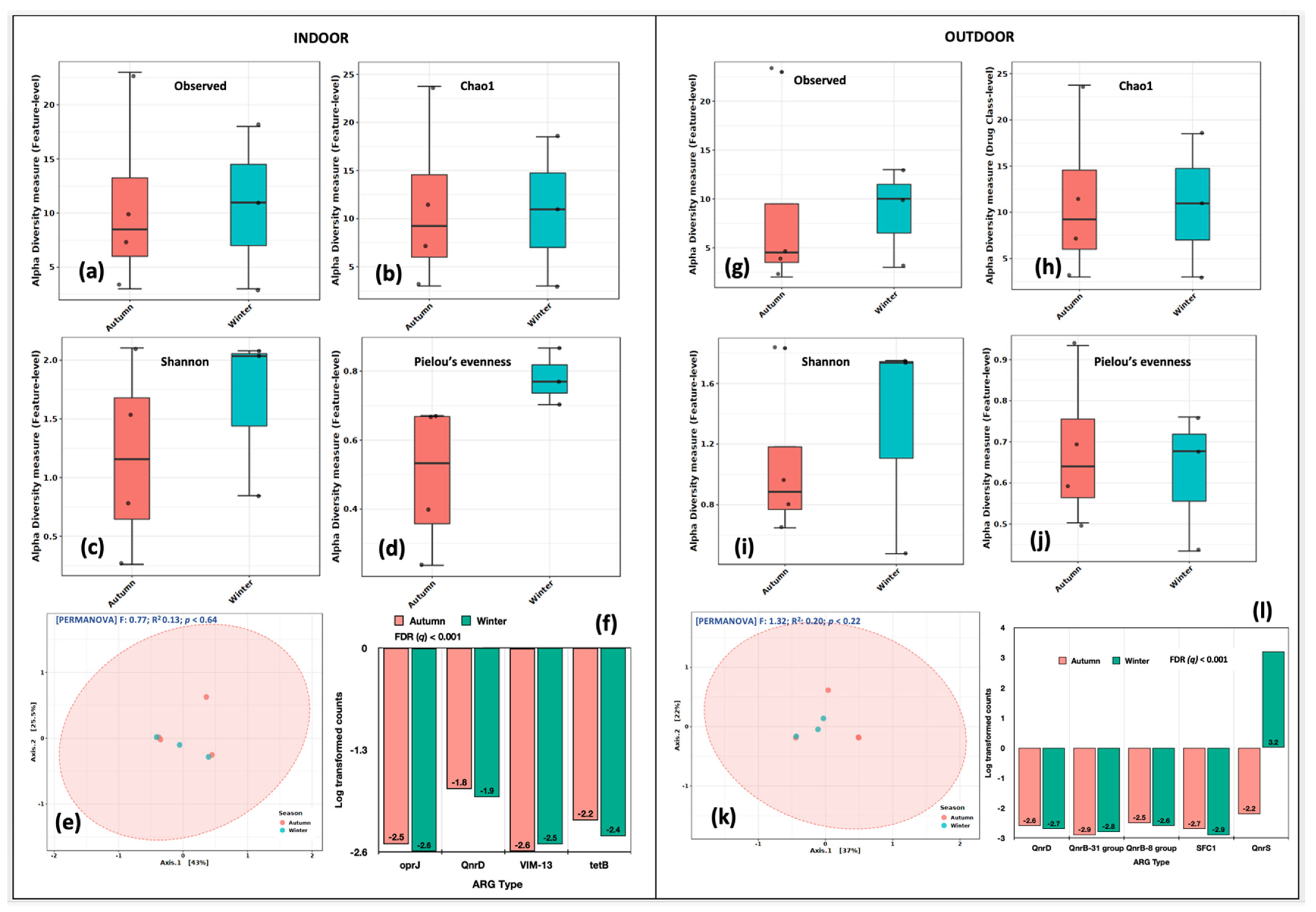
2.4. ARG Richness, Evenness and Ordination Analysis
2.5. Evidence of ARGs in Indoor Aerosols of Clinical Settings
3. Discussion
4. Materials and Methods
4.1. Sampling
4.2. Isolation of Nucleic Acids
4.3. Quantitative Estimation of Bacterial Cells
4.4. Microbial qPCR Arrays for ARG Detection
4.5. SmartChipTM HT-qPCR Analysis
4.6. Statistical Analysis
5. Conclusions
Supplementary Materials
Author Contributions
Funding
Institutional Review Board Statement
Informed Consent Statement
Data Availability Statement
Acknowledgments
Conflicts of Interest
References
- Kim, D.-W.; Cha, C.-J. Antibiotic resistome from the One-Health perspective: Understanding and controlling antimicrobial resistance transmission. Exp. Mol. Med. 2021, 53, 301–309. [Google Scholar] [CrossRef]
- Zhou, Z.-C.; Shuai, X.-Y.; Lin, Z.-J.; Liu, Y.; Zhu, L.; Chen, H. Prevalence of multi-resistant plasmids in hospital inhalable particulate matter (PM) and its impact on horizontal gene transfer. Environ. Pollut. 2021, 270, 116296. [Google Scholar] [CrossRef]
- Desai, B.H. 14. United Nations Environment Program (UNEP). Yearb. Int. Environ. Law 2017, 28, 498–505. [Google Scholar] [CrossRef]
- World Health Organization. Antimicrobial Resistance: Global Report on Surveillance; World Health Organization: Geneva, Switzerland, 2014. [Google Scholar]
- Xu, H.; Chen, Z.; Huang, R.; Cui, Y.; Li, Q.; Zhao, Y.; Wang, X.; Mao, D.; Luo, Y.; Ren, H. Antibiotic resistance gene-carrying plasmid spreads into the plant endophytic bacteria using soil bacteria as carriers. Environ. Sci. Technol. 2021, 55, 10462–10470. [Google Scholar] [CrossRef] [PubMed]
- Xu, Y.; Li, H.; Shao, Z.; Li, X.; Zheng, X.; Xu, J. Fate of antibiotic resistance genes in farmland soil applied with three different fertilizers during the growth cycle of pakchoi and after harvesting. J. Environ. Manag. 2021, 289, 112576. [Google Scholar] [CrossRef]
- Wu, J.; Wang, J.; Li, Z.; Guo, S.; Li, K.; Xu, P.; Ok, Y.S.; Jones, D.L.; Zou, J. Antibiotics and antibiotic resistance genes in agricultural soils: A systematic analysis. Crit. Rev. Environ. Sci. Technol. 2023, 53, 847–864. [Google Scholar] [CrossRef]
- Habibi, N.; Uddin, S.; Lyons, B.; Al-Sarawi, H.A.; Behbehani, M.; Shajan, A.; Razzack, N.A.; Zakir, F.; Alam, F. Antibiotic resistance genes associated with marine surface sediments: A baseline from the shores of Kuwait. Sustainability 2022, 14, 8029. [Google Scholar] [CrossRef]
- Habibi, N.; Uddin, S.; Al-Sarawi, H.; Aldhameer, A.; Shajan, A.; Zakir, F.; Abdul Razzack, N.; Alam, F. Metagenomes from coastal sediments of Kuwait: Insights into the microbiome, metabolic functions and resistome. Microorganisms 2023, 11, 531. [Google Scholar] [CrossRef] [PubMed]
- Al-Sarawi, H.A.; Najem, A.B.; Lyons, B.P.; Uddin, S.; Al-Sarawi, M.A. Antimicrobial resistance in Escherichia coli isolated from marine sediment samples from Kuwait bay. Sustainability 2022, 14, 11325. [Google Scholar] [CrossRef]
- Amarasiri, M.; Sano, D.; Suzuki, S. Understanding human health risks caused by antibiotic resistant bacteria (ARB) and antibiotic resistance genes (ARG) in water environments: Current knowledge and questions to be answered. Crit. Rev. Environ. Sci. Technol. 2020, 50, 2016–2059. [Google Scholar] [CrossRef]
- Al-Sarawi, H.A.; Jha, A.N.; Al-Sarawi, M.A.; Lyons, B.P. Historic and contemporary contamination in the marine environment of Kuwait: An overview. Mar. Pollut. Bull. 2015, 100, 621–628. [Google Scholar] [CrossRef]
- Al-Sarawi, H.A.; Jha, A.N.; Baker-Austin, C.; Al-Sarawi, M.A.; Lyons, B.P. Baseline screening for the presence of antimicrobial resistance in E. coli isolated from Kuwait’s marine environment. Mar. Pollut. Bull. 2018, 129, 893–898. [Google Scholar] [CrossRef] [PubMed]
- Chakraborty, J.; Sapkale, V.; Rajput, V.; Shah, M.; Kamble, S.; Dharne, M. Shotgun metagenome guided exploration of anthropogenically driven resistomic hotspots within Lonar soda lake of India. Ecotoxicol. Environ. Saf. 2020, 194, 110443. [Google Scholar] [CrossRef] [PubMed]
- Yang, X.; Yan, L.; Yang, Y.; Zhou, H.; Cao, Y.; Wang, S.; Xue, B.; Li, C.; Zhao, C.; Zhang, X. The occurrence and distribution pattern of antibiotic resistance genes and bacterial community in the Ili river. Front. Environ. Sci. 2022, 212, 840428. [Google Scholar] [CrossRef]
- Chen, P.; Guo, X.; Li, F. Antibiotic resistance genes in bioaerosols: Emerging, non-ignorable and pernicious pollutants. J. Clean. Prod. 2022, 348, 131094. [Google Scholar] [CrossRef]
- Habibi, N.; Uddin, S.; Al Salameen, F.; Behbehani, M.; Shirshikhar, F.; Abdul Razzack, N.; Shajan, A.; Hussain, F.Z. Collection of bacterial community associated with size fractionated aerosols from Kuwait. Data 2021, 6, 123. [Google Scholar] [CrossRef]
- Habibi, N.; Uddin, S.; Al Salameen, F.; Al Amad, S.; Kumar, V.; Al Otaibi, M. Identification and Characterization of Novel Corona and Associated Respiratory Viruses in Aerosols; Final Report FB157C; Kuwait Institute for Scientific Research: Safat, Kuwait, 2021. [Google Scholar]
- Habibi, N.; Uddin, S.; Al-Salameen, F.; Al-Amad, S.; Kumar, V.; Al-Otaibi, M.; Razzack, N.A.; Shajan, A.; Shirshikar, F. SARS-CoV-2, other respiratory viruses and bacteria in aerosols: Report from Kuwait’s hospitals. Indoor Air 2021, 31, 1815–1825. [Google Scholar] [CrossRef]
- Habibi, N.; Uddin, S.; Behbehani, M.; Al Salameen, F.; Razzack, N.A.; Zakir, F.; Shajan, A.; Alam, F. Bacterial and fungal communities in indoor aerosols from two Kuwaiti hospitals. Front. Microbiol. 2022, 13, 955913. [Google Scholar] [CrossRef]
- Habibi, N.; Uddin, S.; Behbehani, M.; Abdul Razzack, N.; Hussain, F.Z.; Shajan, A. SARS-CoV-2 in hospital air as revealed by comprehensive respiratory viral panel sequencing. Infect. Prev. Pract. 2022, 4, 100199. [Google Scholar] [CrossRef]
- Xie, J.; Jin, L.; He, T.; Chen, B.; Luo, X.; Feng, B.; Huang, W.; Li, J.; Fu, P.; Li, X. Bacteria and antibiotic resistance genes (ARGs) in PM2. 5 from China: Implications for human exposure. Environ. Sci. Technol. 2018, 53, 963–972. [Google Scholar] [CrossRef]
- He, P.; Wu, Y.; Huang, W.; Wu, X.; Lv, J.; Liu, P.; Bu, L.; Bai, Z.; Chen, S.; Feng, W. Characteristics of and variation in airborne ARGs among urban hospitals and adjacent urban and suburban communities: A metagenomic approach. Environ. Int. 2020, 139, 105625. [Google Scholar] [CrossRef] [PubMed]
- Li, L.; Wang, Q.; Bi, W.; Hou, J.; Xue, Y.; Mao, D.; Das, R.; Luo, Y.; Li, X. Municipal solid waste treatment system increases ambient airborne bacteria and antibiotic resistance genes. Environ. Sci. Technol. 2020, 54, 3900–3908. [Google Scholar] [CrossRef] [PubMed]
- McEachran, A.D.; Blackwell, B.R.; Hanson, J.D.; Wooten, K.J.; Mayer, G.D.; Cox, S.B.; Smith, P.N. Antibiotics, bacteria, and antibiotic resistance genes: Aerial transport from cattle feed yards via particulate matter. Environ. Health Perspect. 2015, 123, 337–343. [Google Scholar] [CrossRef] [PubMed]
- Jin, L.; Xie, J.; He, T.; Wu, D.; Li, X. Airborne transmission as an integral environmental dimension of antimicrobial resistance through the “One Health” lens. Crit. Rev. Environ. Sci. Technol. 2022, 52, 4172–4193. [Google Scholar] [CrossRef]
- Ginn, O.; Lowry, S.; Brown, J. A systematic review of enteric pathogens and antibiotic resistance genes in outdoor urban aerosols. Environ. Res. 2022, 212, 113097. [Google Scholar] [CrossRef]
- Rocha-Melogno, L.; Crank, K.C.; Ginn, O.; Bergin, M.H.; Brown, J.; Gray, G.C.; Hamilton, K.A.; Bibby, K.; Deshusses, M.A. Quantitative microbial risk assessment of outdoor aerosolized pathogens in cities with poor sanitation. Sci. Total Environ. 2022, 827, 154233. [Google Scholar] [CrossRef]
- Liang, Z.; Yu, Y.; Ye, Z.; Li, G.; Wang, W.; An, T. Pollution profiles of antibiotic resistance genes associated with airborne opportunistic pathogens from typical area, Pearl River Estuary and their exposure risk to human. Environ. Int. 2020, 143, 105934. [Google Scholar] [CrossRef]
- Gat, D.; Mazar, Y.; Cytryn, E.; Rudich, Y. Origin-dependent variations in the atmospheric microbiome community in Eastern Mediterranean dust storms. Environ. Sci. Technol. 2017, 51, 6709–6718. [Google Scholar] [CrossRef]
- Li, N.; Liu, C.; Zhang, Z.; Li, H.; Song, T.; Liang, T.; Li, B.; Li, L.; Feng, S.; Su, Q. Research and technological advances regarding the study of the spread of antimicrobial resistance genes and antimicrobial-resistant bacteria related to animal husbandry. Int. J. Environ. Res. Public Health 2019, 16, 4896. [Google Scholar] [CrossRef]
- Brooks, J.; McLaughlin, M.; Scheffler, B.; Miles, D. Microbial and antibiotic resistant constituents associated with biological aerosols and poultry litter within a commercial poultry house. Sci. Total Environ. 2010, 408, 4770–4777. [Google Scholar] [CrossRef]
- Xie, J.; Jin, L.; Wu, D.; Pruden, A.; Li, X. Inhalable antibiotic resistome from wastewater treatment plants to urban areas: Bacterial hosts, dissemination risks, and source contributions. Environ. Sci. Technol. 2022, 56, 7040–7051. [Google Scholar] [CrossRef] [PubMed]
- Zhou, Z.-C.; Liu, Y.; Lin, Z.-J.; Shuai, X.-Y.; Zhu, L.; Xu, L.; Meng, L.-X.; Sun, Y.-J.; Chen, H. Spread of antibiotic resistance genes and microbiota in airborne particulate matter, dust, and human airways in the urban hospital. Environ. Int. 2021, 153, 106501. [Google Scholar] [CrossRef] [PubMed]
- Zhang, T.; Li, X.; Wang, M.; Chen, H.; Yang, Y.; Chen, Q.-l.; Yao, M. Time-resolved spread of antibiotic resistance genes in highly polluted air. Environ. Int. 2019, 127, 333–339. [Google Scholar] [CrossRef] [PubMed]
- Zhen, Q.; Deng, Y.; Wang, Y.; Wang, X.; Zhang, H.; Sun, X.; Ouyang, Z. Meteorological factors had more impact on airborne bacterial communities than air pollutants. Sci. Total Environ. 2017, 601, 703–712. [Google Scholar] [CrossRef] [PubMed]
- Lee, G.; Yoo, K. A review of the emergence of antibiotic resistance in bioaerosols and its monitoring methods. Rev. Environ. Sci. Bio/Technol. 2022, 21, 799–827. [Google Scholar] [CrossRef]
- Franklin, A.; Brinkman, N.; Jahne, M.; Keely, S. Twenty-first century molecular methods for analyzing antimicrobial resistance in surface waters to support One Health assessments. J. Microbiol. Methods 2021, 184, 106174. [Google Scholar] [CrossRef]
- Yadav, B.; Tyagi, R. Development of molecular methods to detect and control emerging drug-resistance pathogens. In Current Developments in Biotechnology and Bioengineering; Elsevier: Amsterdam, The Netherlands, 2020; pp. 377–419. [Google Scholar]
- Luby, E.; Ibekwe, A.M.; Zilles, J.; Pruden, A. Molecular methods for assessment of antibiotic resistance in agricultural ecosystems: Prospects and challenges. J. Environ. Qual. 2016, 45, 441–453. [Google Scholar] [CrossRef]
- Waseem, H.; Jameel, S.; Ali, J.; Saleem Ur Rehman, H.; Tauseef, I.; Farooq, U.; Jamal, A.; Ali, M.I. Contributions and challenges of high throughput qPCR for determining antimicrobial resistance in the environment: A critical review. Molecules 2019, 24, 163. [Google Scholar] [CrossRef]
- Waseem, H.; ur Rehman, H.S.; Ali, J.; Iqbal, M.J.; Ali, M.I. Global trends in ARGs measured by HT-qPCR platforms. In Antibiotics and Antimicrobial Resistance Genes in the Environment; Elsevier: Amsterdam, The Netherlands, 2020; pp. 206–222. [Google Scholar]
- Lai, F.Y.; Muziasari, W.; Virta, M.; Wiberg, K.; Ahrens, L. Profiles of environmental antibiotic resistomes in the urban aquatic recipients of Sweden using high-throughput quantitative PCR analysis. Environ. Pollut. 2021, 287, 117651. [Google Scholar] [CrossRef]
- Muziasari, W.I.; Pitkänen, L.K.; Sørum, H.; Stedtfeld, R.D.; Tiedje, J.M.; Virta, M. Corrigendum: The resistome of farmed fish feces contributes to the enrichment of antibiotic resistance genes in sediments below Baltic Sea fish farms. Front. Microbiol. 2017, 8, 1491. [Google Scholar] [CrossRef]
- Owayed, A.F.; Husain, E.H.; Al-Khabaz, A.; Al-Qattan, H.Y.; Al-Shammari, N. Epidemiology and clinical presentation of pandemic influenza A (H1N1) among hospitalized children in Kuwait. Med. Princ. Pract. 2012, 21, 254–258. [Google Scholar] [CrossRef] [PubMed]
- Gupta, M.; Lee, S.; Bisesi, M.; Lee, J. Indoor microbiome and antibiotic resistance on floor surfaces: An exploratory study in three different building types. Int. J. Environ. Res. Public Health 2019, 16, 4160. [Google Scholar] [CrossRef]
- Perkins, S.D.; Mayfield, J.; Fraser, V.; Angenent, L.T. Potentially pathogenic bacteria in shower water and air of a stem cell transplant unit. Appl. Environ. Microbiol. 2009, 75, 5363–5372. [Google Scholar] [CrossRef]
- Prussin, A.J.; Garcia, E.B.; Marr, L.C. Total concentrations of virus and bacteria in indoor and outdoor air. Environ. Sci. Technol. Lett. 2015, 2, 84–88. [Google Scholar] [CrossRef] [PubMed]
- Habibi, N.; Behbehani, M.; Uddin, S.; AL Salameen, F.; Shajan, A.; Zakir, F. A safe and effective sample collection method for assessment of SARS-CoV-2 in aerosol samples. In Environmental Resilience and Transformation in Times of COVID-19; Ramanathan, A.L., Chidambaram, S., Jonathan, M.P., Munoz-Arriola, F., Prasanna, M.V., Kumar, P., Eds.; Elsevier: Amsterdam, The Netherlands, 2021. [Google Scholar]
- Uddin, S.; Habibi, N.; Fowler, S.W.; Behbehani, M.; Gevao, B.; Faizuddin, M.; Gorgun, A.U. Aerosols as vectors for contaminants: A perspective based on outdoor aerosol data from Kuwait. Atmosphere 2023, 14, 470. [Google Scholar] [CrossRef]
- Ma, L.; Yabo, S.D.; Lu, L.; Jiang, J.; Meng, F.; Qi, H. Seasonal variation characteristics of inhalable bacteria in bioaerosols and antibiotic resistance genes in Harbin. J. Hazard. Mater. 2023, 446, 130597. [Google Scholar] [CrossRef]
- Behbehani, M.; Uddin, S.; Habibi, N.; Al Salameen, F.; Sajid, S.; Abdulrazzack, N.; Zakir, F.; Shirshikhar, F. 210Po in Ultrafine Aerosol Particles and Its Likelihood to Mutate the Microbial Community.; Final Report FB160C; Kuwait Institute for Scientific Research: Safat, Kuwait, 2021. [Google Scholar]
- Al Salameen, F.; Habibi, N.; Uddin, S.; Al Mataqi, K.; Kumar, V.; Al Doaij, B.; Al Amad, S.; Al Ali, E.; Shirshikhar, F. Spatio-temporal variations in bacterial and fungal community associated with dust aerosol in Kuwait. PLoS ONE 2020, 15, e0241283. [Google Scholar] [CrossRef]
- Al-Salameen, F.; Habibi, N.; Uddin, S.; Al-Mataqi, K.; Al-Doaij, B.; Al-Amad, S.; Al-Ali, E. Characterization and Identification of Microorganisms Associated with Airborne Dust in Kuwait; Final Report EM075C; Kuwait Institute for Scientific Research: Safat, Kuwait, 2021. [Google Scholar]
- Behbehani, M.; Carvalho, F.P.; Uddin, S.; Habibi, N. Enhanced polonium concentrations in aerosols from the Gulf oil producing region and the role of microorganisms. Int. J. Environ. Res. Public Health 2021, 18, 13309. [Google Scholar] [CrossRef]
- Cao, C.; Jiang, W.; Wang, B.; Fang, J.; Lang, J.; Tian, G.; Jiang, J.; Zhu, T.F. Inhalable microorganisms in Beijing’s PM2. 5 and PM10 pollutants during a severe smog event. Environ. Sci. Technol. 2014, 48, 1499–1507. [Google Scholar] [CrossRef]
- Prussin, A.J.; Marr, L.C. Sources of airborne microorganisms in the built environment. Microbiome 2015, 3, 78. [Google Scholar] [CrossRef]
- Zhao, Y.; Wang, Q.; Chen, Z.; Mao, D.; Luo, Y. Significant higher airborne antibiotic resistance genes and the associated inhalation risk in the indoor than the outdoor. Environ. Pollut. 2021, 268, 115620. [Google Scholar] [CrossRef] [PubMed]
- Adams, R.I.; Bateman, A.C.; Bik, H.M.; Meadow, J.F. Microbiota of the indoor environment: A meta-analysis. Microbiome 2015, 3, 49. [Google Scholar] [CrossRef] [PubMed]
- Gilbert, Y.; Veillette, M.; Duchaine, C. Airborne bacteria and antibiotic resistance genes in hospital rooms. Aerobiologia 2010, 26, 185–194. [Google Scholar] [CrossRef]
- Miletto, M.; Lindow, S.E. Relative and contextual contribution of different sources to the composition and abundance of indoor air bacteria in residences. Microbiome 2015, 3, 61. [Google Scholar] [CrossRef]
- Chen, M.; Qiu, T.; Sun, Y.; Song, Y.; Wang, X.; Gao, M. Diversity of tetracycline-and erythromycin-resistant bacteria in aerosols and manures from four types of animal farms in China. Environ. Sci. Pollut. Res. 2019, 26, 24213–24222. [Google Scholar] [CrossRef] [PubMed]
- Gevao, B.; Uddin, S.; Krishnan, D.; Rajagopalan, S.; Habibi, N. Antibiotics in wastewater: Baseline of the influent and effluent Streams in Kuwait. Toxics 2022, 10, 174. [Google Scholar] [CrossRef]
- Yang, T.; Jiang, L.; Bi, X.; Cheng, L.; Zheng, X.; Wang, X.; Zhou, X. Submicron aerosols share potential pathogens and antibiotic resistomes with wastewater or sludge. Sci. Total Environ. 2022, 821, 153521. [Google Scholar] [CrossRef] [PubMed]
- Wei, K.; Zou, Z.; Zheng, Y.; Li, J.; Shen, F.; Wu, C.-Y.; Wu, Y.; Hu, M.; Yao, M. Ambient bioaerosol particle dynamics observed during haze and sunny days in Beijing. Sci. Total Environ. 2016, 550, 751–759. [Google Scholar] [CrossRef]
- Waśko, I.; Kozińska, A.; Kotlarska, E.; Baraniak, A. Clinically Relevant β-Lactam Resistance Genes in Wastewater Treatment Plants. Int. J. Environ. Res. Public Health 2022, 19, 13829. [Google Scholar] [CrossRef]
- Tooke, C.L.; Hinchliffe, P.; Bragginton, E.C.; Colenso, C.K.; Hirvonen, V.H.; Takebayashi, Y.; Spencer, J. β-Lactamases and β-Lactamase Inhibitors in the 21st Century. J. Mol. Biol. 2019, 431, 3472–3500. [Google Scholar] [CrossRef]
- Pongchaikul, P.; Mongkolsuk, P. Comprehensive Analysis of Imipenemase (IMP)-Type Metallo-β-Lactamase: A global distribution threatening Asia. Antibiotics 2022, 11, 236. [Google Scholar] [CrossRef] [PubMed]
- Philippon, A.; Slama, P.; Dény, P.; Labia, R. A structure-based classification of class A β-lactamases, a broadly diverse family of enzymes. Clin. Microbiol. Rev. 2016, 29, 29–57. [Google Scholar] [CrossRef] [PubMed]
- Evans, B.A.; Amyes, S.G. OXA β-lactamases. Clin. Microbiol. Rev. 2014, 27, 241–263. [Google Scholar] [CrossRef] [PubMed]
- Kunhikannan, S.; Thomas, C.J.; Franks, A.E.; Mahadevaiah, S.; Kumar, S.; Petrovski, S. Environmental hotspots for antibiotic resistance genes. Microbiologyopen 2021, 10, e1197. [Google Scholar] [CrossRef] [PubMed]
- Lautenbach, E.; Marsicano, R.; Tolomeo, P.; Heard, M.; Serrano, S.; Stieritz, D.D. Epidemiology of Gram-negative antimicrobial resistance in a multi-state network of long-term care facilities. Infect. Control Hosp. Epidemiol. Off. J. Soc. Hosp. Epidemiol. Am. 2009, 30, 790. [Google Scholar] [CrossRef]
- Habibi, N.; Mustafa, A.S.; Khan, M.W. Composition of nasal bacterial community and its seasonal variation in health care workers stationed in a clinical research laboratory. PLoS ONE 2021, 16, e0260314. [Google Scholar] [CrossRef]
- Verhoeven, P.O.; Gagnaire, J.; Botelho-Nevers, E.; Grattard, F.; Carricajo, A.; Lucht, F.; Pozzetto, B.; Berthelot, P. Detection and clinical relevance of Staphylococcus aureus nasal carriage: An update. Expert Rev. Anti-Infect. Ther. 2014, 12, 75–89. [Google Scholar] [CrossRef]
- Reyes, N.; Montes, O.; Figueroa, S.; Tiwari, R.; Sollecito, C.C.; Emmerich, R.; Usyk, M.; Geliebter, J.; Burk, R.D. Staphylococcus aureus nasal carriage and microbiome composition among medical students from Colombia: A cross-sectional study. F1000Research 2020, 9, 78. [Google Scholar] [CrossRef]
- Habibi, N.; Uddin, S.; Fowler, S.W.; Behbehani, M. Microplastics in the atmosphere: A review. J. Environ. Expo. Assess. 2022, 1, 6. [Google Scholar] [CrossRef]
- Habibi, N.; Uddin, S.; Al-Salameen, F.; Al-Amad, S.; Abdul Razzack, N.; Shajan, A. Evidences of airborne spread of SARS CoV2 in indoor air. In Proceedings of the Scientific Poster Day 2020–2021; Kuwait University: Kuwait City, Kuwait, 2021. [Google Scholar]
- Uddin, S.; Al-Ghadban, A.; Gevao, B.; Al-Shamroukh, D.; Al-Khabbaz, A. Estimation of suspended particulate matter in Gulf using MODIS data. Aquat. Ecosyst. Health Manag. 2012, 15, 41–44. [Google Scholar] [CrossRef]
- Uddin, S.; Fowler, S.W.; Habibi, N.; Sajid, S.; Dupont, S.; Behbehani, M. A preliminary assessment of size-fractionated microplastics in indoor aerosol—Kuwait’s baseline. Toxics 2022, 10, 71. [Google Scholar] [CrossRef] [PubMed]
- Gevao, B.; Al-Bahloul, M.; Zafar, J.; Al-Matrouk, K.; Helaleh, M. Polycyclic aromatic hydrocarbons in indoor air and dust in Kuwait: Implications for sources and nondietary human exposure. Arch. Environ. Contam. Toxicol. 2007, 53, 503–512. [Google Scholar] [CrossRef] [PubMed]
- Gevao, B.; Uddin, S.; Al-Bahloul, M.; Al-Mutairi, A. Persistent organic pollutants on human and sheep hair and comparison with POPs in indoor and outdoor air. J. Environ. Expo. Assess. 2022, 1, 5. [Google Scholar] [CrossRef]
- Madi, N.; Al-Nakib, W.; Mustafa, A.S.; Habibi, N. Metagenomic analysis of viral diversity in respiratory samples from patients with respiratory tract infections in Kuwait. J. Med. Virol. 2018, 90, 412–420. [Google Scholar] [CrossRef] [PubMed]
- Zaheer, R.; Noyes, N.; Ortega Polo, R.; Cook, S.R.; Marinier, E.; Van Domselaar, G.; Belk, K.E.; Morley, P.S.; McAllister, T.A. Impact of sequencing depth on the characterization of the microbiome and resistome. Sci. Rep. 2018, 8, 5890. [Google Scholar] [CrossRef] [PubMed]
- Núñez, A.; de Paz, G.A.; Rastrojo, A.; Ferencova, Z.; Gutiérrez-Bustillo, A.M.; Alcamí, A.; Moreno, D.A.; Guantes, R. Temporal patterns of variability for prokaryotic and eukaryotic diversity in the urban air of Madrid (Spain). Atmos. Environ. 2019, 217, 116972. [Google Scholar] [CrossRef]
- Tignat-Perrier, R.; Dommergue, A.; Thollot, A.; Magand, O.; Amato, P.; Joly, M.; Sellegri, K.; Vogel, T.M.; Larose, C. Seasonal shift in airborne microbial communities. Sci. Total Environ. 2020, 716, 137129. [Google Scholar] [CrossRef]
- Gevao, B.; Uddin, S.; Dupont, S. Baseline concentrations of pharmaceuticals in Kuwait’s coastal marine environment. Mar. Pollut. Bull. 2021, 173, 113040. [Google Scholar] [CrossRef]
- Alper, E.; Elkilani, A.; Bouhamra, W. Estimation of air exchange rates in Kuwaiti residential buildings. In Proceedings of the 20th AIVC and Indoor Air 99 Conference “Ventilation and Indoor Air Quality in Buildings, Edinburgh, Scotland, 9–13 August 1999. [Google Scholar]
- Gaviria-Figueroa, A.; Preisner, E.C.; Hoque, S.; Feigley, C.E.; Norman, R.S. Emission and dispersal of antibiotic resistance genes through bioaerosols generated during the treatment of municipal sewage. Sci. Total Environ. 2019, 686, 402–412. [Google Scholar] [CrossRef]
- Dhariwal, A.; Junges, R.; Chen, T.; Petersen, F.C. ResistoXplorer: A web-based tool for visual, statistical and exploratory data analysis of resistome data. NAR Genom. Bioinform. 2021, 3, lqab018. [Google Scholar] [CrossRef]
- Schauberger, P.; Walker, A.; Braglia, L.; Sturm, J.; Garbuszus, J.M.; Barbone, J.M. Openxlsx: Read, Write and Edit XLSX Files. R Package Rersion 4.1.0. 2018. Available online: https://CRAN.R-project.org/package=openxlsx (accessed on 25 March 2023).
- Cohen, I.; Huang, Y.; Chen, J.; Benesty, J. Pearson correlation coefficient. In Noise Reduction in Speech Processing; Springer: Berlin/Heidelberg, Germany, 2009; pp. 1–4. [Google Scholar]
- Bengtsson-Palme, J. The diversity of uncharacterized antibiotic resistance genes can be predicted from known gene variants—But not always. Microbiome 2018, 6, 125. [Google Scholar] [CrossRef] [PubMed]
- Anderson, M.J.; Walsh, D.C. PERMANOVA, ANOSIM, and the Mantel test in the face of heterogeneous dispersions: What null hypothesis are you testing? Ecol. Monogr. 2013, 83, 557–574. [Google Scholar] [CrossRef]
- Love, M.I.; Huber, W.; Anders, S. Moderated estimation of fold change and dispersion for RNA-seq data with DESeq2. Genome Biol. 2014, 15, 550. [Google Scholar] [CrossRef] [PubMed]







| Drug Class | Gene ID | ||
|---|---|---|---|
| HI-1 | HI-2 | HI-3 | |
| Aminoglycoside | - | aadA1 | aadA; strB; aadA_1; aadA2_3 |
| Beta-lactams | CTX-M-9 Group; GES; IMI & NMC-A; SFC1; SHV (156G); SHV (238S240E); IMP-2 group; IMP-5 group; OXA-10 group; OXA-48 group; OXA-55; BES-1; Vim-1 group; OXA-18; OXA-58 group | SFC; IMP-5 group; OXA-24 group; OXA-58 group | - |
| Fluroquinolones | QnrB-31 group; QnrB-5 group; QnrB-8 group; QnrC; QnrD | QnrC | qepA |
| MDR | oprJ | oprJ | cefa_qacelta; ttgA; sugE |
| MLSB | ermB; ermC; ermA | mefA; msrA | ermX_1; ermX_2 |
| Tetracycline | tetA | - | tetPA |
| Sulfonamide | - | sul1_1 | |
| Vancomycin | VanB | - | |
| Other | - | - | qacE∆1_3; ttgB; merA |
| Location | Sample Type | Sample Code | No. of Samples | Volume of Air (m3) | Size Fraction (µm) | Medium of Collection |
|---|---|---|---|---|---|---|
| KISR | Indoor | K-I | 7 (pool of 4 samples) | 10,800 (43,200) | <0.3 | Sterile phosphate-buffered saline |
| Outdoor | K-O | 7 (pool of 4 samples) | 10,800 (43,200) | <0.3 | ||
| * Hospital 1 | Indoor | HI-1 | 2 (pool of 2 samples) | 3600 (7200) | Whole | Trizol® |
| * Hospital 2 | Indoor | HI-2 | 2 (pool of 2 samples) | 3600 (7200) | Whole | |
| Hospital 3 | Indoor | HI-3 | 12 (n = 2 × 6 stages) | 10,800 | >0.30 to 10.2 μm | Anderson Discs |
Disclaimer/Publisher’s Note: The statements, opinions and data contained in all publications are solely those of the individual author(s) and contributor(s) and not of MDPI and/or the editor(s). MDPI and/or the editor(s) disclaim responsibility for any injury to people or property resulting from any ideas, methods, instructions or products referred to in the content. |
© 2023 by the authors. Licensee MDPI, Basel, Switzerland. This article is an open access article distributed under the terms and conditions of the Creative Commons Attribution (CC BY) license (https://creativecommons.org/licenses/by/4.0/).
Share and Cite
Habibi, N.; Uddin, S.; Behbehani, M.; Kishk, M.; Abdul Razzack, N.; Zakir, F.; Shajan, A. Antibiotic Resistance Genes in Aerosols: Baseline from Kuwait. Int. J. Mol. Sci. 2023, 24, 6756. https://doi.org/10.3390/ijms24076756
Habibi N, Uddin S, Behbehani M, Kishk M, Abdul Razzack N, Zakir F, Shajan A. Antibiotic Resistance Genes in Aerosols: Baseline from Kuwait. International Journal of Molecular Sciences. 2023; 24(7):6756. https://doi.org/10.3390/ijms24076756
Chicago/Turabian StyleHabibi, Nazima, Saif Uddin, Montaha Behbehani, Mohamed Kishk, Nasreem Abdul Razzack, Farhana Zakir, and Anisha Shajan. 2023. "Antibiotic Resistance Genes in Aerosols: Baseline from Kuwait" International Journal of Molecular Sciences 24, no. 7: 6756. https://doi.org/10.3390/ijms24076756
APA StyleHabibi, N., Uddin, S., Behbehani, M., Kishk, M., Abdul Razzack, N., Zakir, F., & Shajan, A. (2023). Antibiotic Resistance Genes in Aerosols: Baseline from Kuwait. International Journal of Molecular Sciences, 24(7), 6756. https://doi.org/10.3390/ijms24076756

