Nd-Doped ZnO Nanostructures with Enhanced Photocatalytic Performance for Environmental Protection
Abstract
1. Introduction
2. Results
2.1. XRD Analysis
2.2. Morphological Characterization
2.3. Optical Analysis
2.4. Photoluminescence
2.5. Photocatalytic Activity
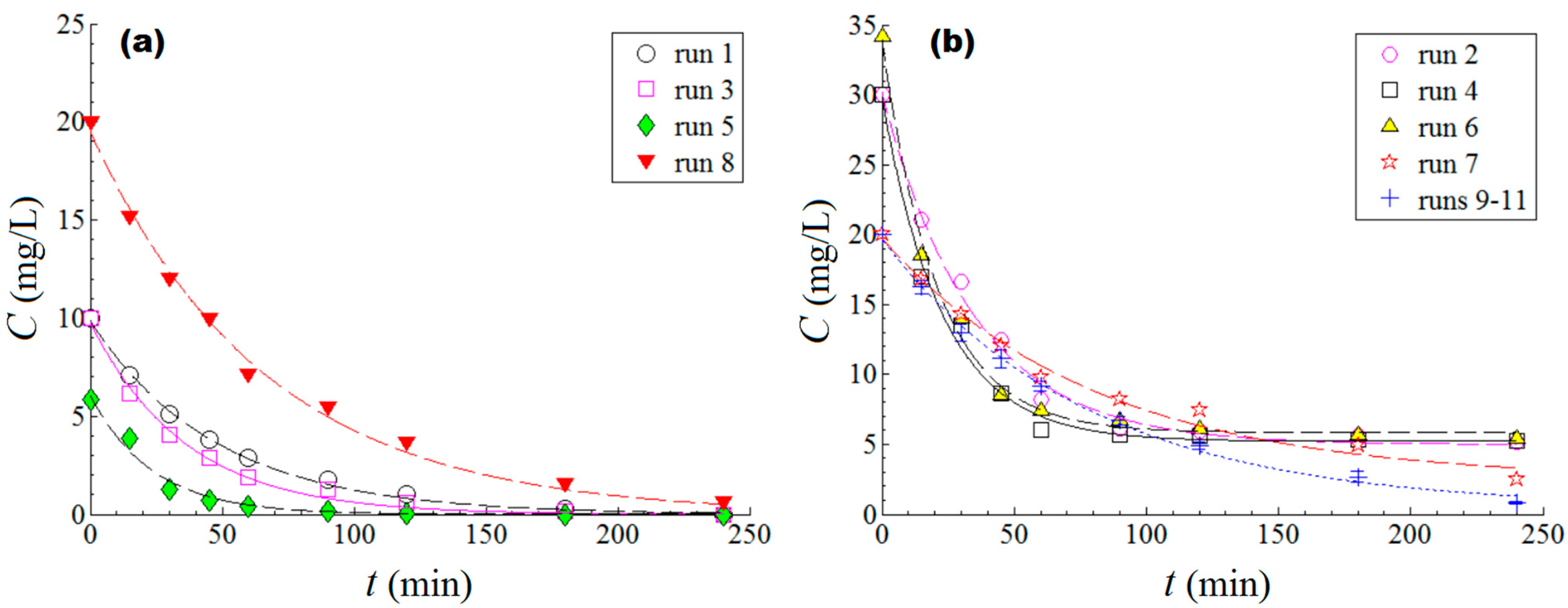
2.5.1. Photodegradation Kinetics under Visible Light Irradiation
2.5.2. Design of Experiments (DoE) for Empirical Modeling and Optimization of the Process
3. Materials and Methods
3.1. Materials
3.2. Preparation of Nd-Doped ZnO Nanostructures
Anctionte ofanthanides
3.3. Characterization of the Prepared Materials
3.4. Photocatalytic Tests
4. Conclusions
Supplementary Materials
Author Contributions
Funding
Institutional Review Board Statement
Informed Consent Statement
Data Availability Statement
Conflicts of Interest
References
- Aftab, S.; Shabir, T.; Shah, A.; Nisar, J.; Shah, I.; Muhammad, H.; Shah, N.S. Highly efficient visible light active doped ZnO photocatalysts for the treatment of wastewater contaminated with dyes and pathogens of emerging concern. Nanomaterials 2022, 12, 486. [Google Scholar] [CrossRef]
- Pascariu, P.; Homocianu, M. ZnO-based ceramic nanofibers: Preparation, properties and applications. Ceram. Int. 2019, 45, 11158–11173. [Google Scholar] [CrossRef]
- Ramos, P.G.; Sánchez, L.A.; Rodriguez, J.M. A review on improving the efficiency of photocatalytic water decontamination using ZnO nanorods. J. Sol Gel Sci. Technol. 2022, 102, 105–124. [Google Scholar] [CrossRef]
- Sheikh, M.; Pazirofteh, M.; Dehghani, M.; Asghari, M.; Rezakazemi, M.; Valderrama, C.; Cortina, J.L. Application of ZnO nanostructures in ceramic and polymeric membranes for water and wastewater technologies: A review. J. Chem. Eng. 2020, 391, 123475. [Google Scholar] [CrossRef]
- Ong, C.B.; Ng, L.Y.; Mohammad, A.W. A review of ZnO nanoparticles as solar photocatalysts: Synthesis, mechanisms and applications. Renew. Sustain. Energy Rev. 2018, 81, 536–551. [Google Scholar] [CrossRef]
- Chidichimo, G.; Cupelli, D.; De Filpo, G.; Formoso, P.; Nicoletta, F.P. Nanoparticles as a smart technology for remediation. In Sustainable Development in Chemical Engineering: Innovative Technologies; John Wiley & Sons: Hoboken, NJ, USA, 2013; pp. 297–348. [Google Scholar] [CrossRef]
- De Filpo, G.; Pantuso, E.; Armentano, K.; Formoso, P.; Di Profio, G.; Poerio, T.; Fontananova, E.; Meringolo, C.; Mashin, A.I.; Nicoletta, F.P. Chemical vapor deposition of photocatalyst nanoparticles on PVDF membranes for advanced oxidation processes. Membranes 2018, 8, 35. [Google Scholar] [CrossRef] [PubMed]
- Homocianu, M.; Pascariu, P. Electrospun polymer-inorganic nanostructured materials and their applications. Polym. Rev. 2020, 60, 493–541. [Google Scholar] [CrossRef]
- Lahmer, M.A. The effect of doping with rare earth elements (Sc, Y, and La) on the stability, structural, electronic and photocatalytic properties of the O-terminated ZnO surface; A first-principles study. Appl. Surf. Sci. 2018, 457, 315–322. [Google Scholar] [CrossRef]
- Ahmad, I.; Akhtar, M.S.; Ahmed, E.; Ahmad, M.; Keller, V.; Khan, W.Q.; Khalid, N.R. Rare earth co-doped ZnO photocatalysts: Solution combustion synthesis and environmental applications. Sep. Purif. Technol. 2020, 237, 116328. [Google Scholar] [CrossRef]
- Pascariu, P.; Cojocaru, C.; Olaru, N.; Samoila, P.; Airinei, A.; Ignat, M.; Sacarescu, L.; Timpu, D. Novel rare earth (RE-La, Er, Sm) metal doped ZnO photocatalysts for degradation of Congo-Red dye: Synthesis, characterization and kinetic studies. J. Environ. Manag. 2019, 239, 225–234. [Google Scholar] [CrossRef]
- Divya, N.K.; Pradyumnan, P.P. Enhancement of photocatalytic activity in Nd doped ZnO with an increase in dielectric constant. J. Mater. Sci. Mater. Electron. 2017, 28, 2147–2156. [Google Scholar] [CrossRef]
- Kumar, M.; Chauhan, M.S.; Akhtar, M.S.; Umar, A. Effect of cerium ions in Ce-Doped ZnO nanostructures on their photocatalytic and picric acid chemical sensing. Ceram. Int. 2021, 47, 3089–3098. [Google Scholar] [CrossRef]
- Fenton, K.A.; Ison, C.; Johnson, A.P.; Rudd, E.; Soltani, M.; Martin, I.; Nichols, T.; Livermore, D.M. Ciprofloxacin resistance in Neisseria gonorrhoeae in England and Wales in 2002. Lancet 2003, 361, 1867–1869. [Google Scholar] [CrossRef] [PubMed]
- Alahmadi, N.; Amin, M.S.; Mohamed, R.M. Superficial visible-light-responsive Pt@ZnO nanorods photocatalysts for effective remediation of ciprofloxacin in water. J. Nanoparticle Res. 2020, 22, 230. [Google Scholar] [CrossRef]
- Williamson, G.K.; Hall, W.H. X-ray line broadening from filed aluminium and wolfram. Acta Metall. 1953, 1, 22–31. [Google Scholar] [CrossRef]
- Birkholz, M. Thin Film Analysis by X-Ray Scattering; John Wiley & Sons: Hoboken, NJ, USA, 2005. [Google Scholar]
- Khorsand Zak, A.; Majid, W.H.; Abrishami, M.E.; Yousefi, R. X-ray analysis of ZnO nanoparticles by Williamson-Hall and size-strain plot methods. Solid State Sci. 2011, 13, 251–256. [Google Scholar] [CrossRef]
- Paulson, A.; Muhammed Sabeer, N.A.; Pradyumnan, P.P. A synergetic approach of band gap engineering and reduced lattice thermal conductivity for the enhanced thermoelectric property in Dy ion doped ZnO. J. Alloys Compd. 2019, 786, 581–587. [Google Scholar] [CrossRef]
- Pascariu, P.; Cojocaru, C.; Samoila, P.; Airinei, A.; Olaru, N.; Rusu, D.; Rosca, I.; Suchea, M. Photocatalytic and antimicrobial activity of electrospun ZnO:Ag nanostructures. J. Alloys Compd. 2020, 834, 155144. [Google Scholar] [CrossRef]
- Ghrib, T.; Al-Otaibi, A.L.; Massoudi, I.; Alsagry, A.M.; Aljaber, A.S.; Alhussain, E.A.; Alrubian, W.S.; Brini, S.; Gondal, M.A.; Elsayed, K.A.; et al. Effect of europium doping on the microstructural, optical and photocatalytic properties of ZnO nanopowders. Arab. J. Basic Appl. Sci. 2022, 29, 138–149. [Google Scholar] [CrossRef]
- Makuła, P.; Pacia, M.; Macyk, W. How to correctly determine the band gap energy of modified semiconductor photocatalysts based on UV–Vis spectra. J. Phys. Chem. Lett. 2018, 9, 6814–6817. [Google Scholar] [CrossRef]
- Pascariu, P.; Cojocaru, C.; Homocianu, M.; Samoila, P.; Dascalu, A.; Suchea, M. New La3+ doped TiO2 nanofibers for photocatalytic degradation of organic pollutants: Effects of thermal treatment and doping loadings. Ceram. Int. 2022, 48, 4953–4964. [Google Scholar] [CrossRef]
- Franco, P.; Sacco, O.; De Marco, I.; Sannino, D.; Vaiano, V. Photocatalytic degradation of eriochrome Black-T Azo dye using Eu-doped ZnO prepared by supercritical antisolvent precipitation route: A preliminary investigation. Top. Catal. 2020, 63, 1193–1205. [Google Scholar] [CrossRef]
- Ajala, F.; Hamrouni, A.; Houas, A.; Lachheb, H.; Megna, B.; Palmisano, L.; Parrino, F. The influence of Al doping on the photocatalytic activity of nanostructured ZnO: The role of adsorbed water. Appl. Surf. Sci. 2018, 445, 376–382. [Google Scholar] [CrossRef]
- Pascariu, P.; Tudose, I.V.; Suchea, M.; Koudoumas, E.; Fifere, N.; Airinei, A. Preparation and characterization of Ni, Co doped ZnO nanoparticles for photocatalytic applications. Appl. Surf. Sci. 2018, 448, 481–488. [Google Scholar] [CrossRef]
- Alatawi, N.M.; Ben Saad, L.; Soltane, L.; Moulahi, A.; Mjejri, I.; Sediri, F. Enhanced solar photocatalytic performance of Cu-doped nanosized ZnO. Polyhedron 2021, 197, 115022. [Google Scholar] [CrossRef]
- Wang, X.; Sø, L.; Su, R.; Wendt, S.; Hald, P.; Mamakhel, A.; Yang, C.; Huang, Y.; Iversen, B.B.; Besenbacher, F. The influence of crystallite size and crystallinity of anatase nanoparticles on the photo-degradation of phenol. J. Catal. 2014, 310, 100–108. [Google Scholar] [CrossRef]
- Nandiyanto, A.B.D.; Zaen, R.; Oktiani, R. Correlation between crystallite size and photocatalytic performance of micrometer-sized monoclinic WO3 particles. Arab. J. Chem. 2020, 13, 1283–1296. [Google Scholar] [CrossRef]
- Kusiak-Nejman, E.; Wojnarowicz, J.; Morawski, A.W.; Narkiewicz, U.; Sobczak, K.; Gierlotka, S.; Lojkowski, W. Size-dependent effects of ZnO nanoparticles on the photocatalytic degradation of phenol in a water solution. Appl. Surf. Sci. 2021, 541, 148416. [Google Scholar] [CrossRef]
- Lei, J.; Tian, B.; Zhang, J.; Xing, M.; Wang, L. Photocatalysis: Fundamentals, Materials, and Applications; Springer: Singapore, 2018. [Google Scholar]
- Bezerra, M.A.; Santelli, R.E.; Oliveira, E.P.; Villar, L.S.; Escaleira, L.A. Response surface methodology (RSM) as a tool for optimization in analytical chemistry. Talanta 2008, 76, 965–977. [Google Scholar] [CrossRef]
- Mäkelä, M. Experimental design and response surface methodology in energy applications: A tutorial review. Energy Convers. Manag. 2017, 151, 630–640. [Google Scholar] [CrossRef]
- March, J.G.; Gual, M.; Ramonell, J. A kinetic model for chlorine consumption in grey water. Desalination 2005, 181, 267–273. [Google Scholar] [CrossRef]
- Bezerra, M.A.; Oliveira dos Santos, Q.; Santos, A.G.; Novaes, C.G.; Costa Ferreira, S.L.; Santos de Souza, V. Simplex optimization: A tutorial approach and recent applications in analytical chemistry. Microchem. J. 2016, 124, 45–54. [Google Scholar] [CrossRef]
- Pascariu, P.; Homocianu, M.; Cojocaru, C.; Samoila, P.; Airinei, A.; Suchea, M. Preparation of La doped ZnO ceramic nanostructures by electrospinning–calcination method: Effect of La3+ doping on optical and photocatalytic properties. Appl. Surf. Sci. 2019, 476, 16–27. [Google Scholar] [CrossRef]
- Zheng, W.; Miao, Q.; Tang, Y.; Wei, W.; Xu, J.; Liu, X.; Qian, Q.; Xiao, L.; Huang, B.; Chen, Q. La(III)-doped ZnO/C nanofibers with core–shell structure by electrospinning–calcination technology. Mater. Lett. 2013, 98, 94–97. [Google Scholar] [CrossRef]
- Nguyen, T.H.A.; Le, V.T.; Doan, V.D.; Tran, A.V.; Nguyen, V.C.; Nguyen, A.T.; Vasseghian, Y. Green synthesis of Nb-doped ZnO nanocomposite for photocatalytic degradation of tetracycline antibiotic under visible light. Mater. Lett. 2022, 308, 131129. [Google Scholar] [CrossRef]
- Alam, U.; Khan, A.; Ali, D.; Bahnemann, D.; Muneer, M. Comparative photocatalytic activity of sol–gel derived rare earth metal (La, Nd, Sm and Dy)-doped ZnO photocatalysts for degradation of dyes. RSC Adv. 2018, 8, 17582–17594. [Google Scholar] [CrossRef] [PubMed]
- Jia, T.; Wang, W.; Long, F.; Fu, Z.; Wang, H.; Zhang, Q. Fabrication, characterization and photocatalytic activity of La-doped ZnO nanowires. J. Alloys Compd. 2009, 484, 410–415. [Google Scholar] [CrossRef]
- Velempini, T.; Prabakaran, E.; Pillay, K. Recent developments in the use of metal oxides for photocatalytic degradation of pharmaceutical pollutants in water—A review. Mater. Today Chem. 2021, 19, 100380. [Google Scholar] [CrossRef]
- Kaliraj, L.; Ahn, J.C.; Rupa, E.J.; Abid, S.; Lu, J.; Yang, D.C. Synthesis of panos extract mediated ZnO nano-flowers as photocatalyst for industrial dye degradation by UV illumination. J. Photochem. Photobiol. B 2019, 199, 111588. [Google Scholar] [CrossRef]
- Verma, G.; Gupta, A. Superhydrophobic ZnO-Au nanocomposite over polydimethylsiloxane tubes for efficient photocatalytic dye degradation. Appl. Nanosci. 2022, 12, 2091–2102. [Google Scholar] [CrossRef]
- Verma, G.; Rai, P.K.; Korvink, J.G.; Islam, M.; Gupta, A. Integrated electrochemical and photocatalytic degradation using ZnO caterpillars photocatalyst: Two-step approach for textile industry based wastewater recovery. J. Mater. Sci. Eng. B 2022, 286, 116078. [Google Scholar] [CrossRef]













| Samples | Eg (eV) | |
|---|---|---|
| n = ½ | n = 2 | |
| ZnO | 3.03 | 3.13 |
| ZnO:Nd (0.05%) → ZNd1 | 3.05 | 3.16 |
| ZnO:Nd(0.1%) → ZNd2 | 3.01 | 3.14 |
| ZnO:Nd(0.5%) → ZNd3 | 3.05 | 3.18 |
| ZnO:Nd(1.0%) → ZNd4 | 3.08 | 3.16 |
| Material Code | Material Formulation | Pseudo-First-Order of the Reaction Rate Constant, k (min−1) | Error Function (ε2) |
|---|---|---|---|
| -- | --/Photolysis | 3.339 × 10−4 | 0.028 |
| ZnO | ZnO | 1.817 × 10−2 | 0.907 |
| ZNd1 | ZnO:Nd (0.05%) | 3.174 × 10−2 | 0.290 |
| ZNd2 | ZnO:Nd (0.1%) | 3.482 × 10−2 | 0.272 |
| ZNd3 | ZnO:Nd (0.5%) | 2.235 × 10−2 | 0.432 |
| ZNd4 | ZnO:Nd (1.0%) | 2.579 × 10−2 | 0.977 |
| Run | Initial Concentration of Pollutant (mg/L) | Catalyst Dose (% w/v) | Removal Efficiency (Response), Recorded After 120 min Irradiation Time | ||
|---|---|---|---|---|---|
| Coded | Actual | Coded | Actual | ||
| x1 | C0, mg/L | x2 | CatDose, % w/v | Y (%) | |
| 1 | −1 | 10.0 | −1 | 0.10 | 89.70 |
| 2 | +1 | 30.0 | −1 | 0.10 | 80.03 |
| 3 | −1 | 10.0 | +1 | 0.20 | 93.91 |
| 4 | +1 | 30.0 | +1 | 0.20 | 81.43 |
| 5 | −1.414 | 5.9 | 0 | 0.15 | 99.60 |
| 6 | +1.414 | 34.1 | 0 | 0.15 | 82.08 |
| 7 | 0 | 20.0 | −1.414 | 0.08 | 62.93 |
| 8 | 0 | 20.0 | +1.414 | 0.22 | 81.66 |
| 9 | 0 | 20.0 | 0 | 0.15 | 74.53 |
| 10 | 0 | 20.0 | 0 | 0.15 | 74.90 |
| 11 | 0 | 20.0 | 0 | 0.15 | 74.89 |
| Source | DF (a) | SS (b) | MS (c) | F-Value (d) | p-Value (e) | R2 (f) | Radj 2 (g) |
|---|---|---|---|---|---|---|---|
| Model | 4 | 932.36 | 233.09 | 14.05 | 0.0033 | 0.903 | 0.839 |
| Residual | 6 | 99.56 | 16.59 | ||||
| Total | 10 | 1031.92 |
| Catalyst, Dose | Synthesis Method | Pollutant, Initial Concentration | Light Source | k (min−1) | References |
|---|---|---|---|---|---|
| ZnO:Ag (1%) 0.2 g/L | electrospinning–calcination | Amaranth, 11 mg/L | Vis (400 W) | 3.229 × 10−2 | [20] |
| ZnO:La (2%) 0.2 g/L | electrospinning–calcination | CR, 10 mg/L | UV | 2.734 × 10−2 | [36] |
| ZnO:Sm (1%) 0.2 g/L | electrospinning–calcination | CR, 10 mg/L | UV | 1.337 × 10−2 | [11] |
| ZnO:La (2%)/C 0.1 g/L | electrospinning–calcination | RhB [na] | UV | 4.270 × 10−2 | [37] |
| ZnO:Nd (1%) 0.25 g/L | sol–gel | TC, 15 mg/L | Vis | 7.3 × 10−3 | [38] |
| ZnO:Nd (1%) 2 g/L | sol–gel | MB, 10 mg/L | UV (125 W) | 0.158 | [39] |
| ZnO:La (2%) 5 g/L | solvothermal | RhB 1.0 × 10−5 M | UV (15 W) | - | [40] |
| ZnO:Pt (0.6%) 1.6 g/L | - | CIP | Vis (300 W) | - | [15] |
| ZnO:Nd (0.1%) 2 g/L | electrospinning–calcination | MB, 6 mg/L | Vis (400 W) | 4.780 × 10−2 | This work |
| ZnO:Nd (0.1%) 2 g/L | electrospinning–calcination | CIP, 6 mg/L | Vis (400 W) | 5.291 × 10−2 | This work |
Disclaimer/Publisher’s Note: The statements, opinions and data contained in all publications are solely those of the individual author(s) and contributor(s) and not of MDPI and/or the editor(s). MDPI and/or the editor(s) disclaim responsibility for any injury to people or property resulting from any ideas, methods, instructions or products referred to in the content. |
© 2023 by the authors. Licensee MDPI, Basel, Switzerland. This article is an open access article distributed under the terms and conditions of the Creative Commons Attribution (CC BY) license (https://creativecommons.org/licenses/by/4.0/).
Share and Cite
Pascariu, P.; Cojocaru, C.; Samoila, P.; Romanitan, C. Nd-Doped ZnO Nanostructures with Enhanced Photocatalytic Performance for Environmental Protection. Int. J. Mol. Sci. 2023, 24, 6436. https://doi.org/10.3390/ijms24076436
Pascariu P, Cojocaru C, Samoila P, Romanitan C. Nd-Doped ZnO Nanostructures with Enhanced Photocatalytic Performance for Environmental Protection. International Journal of Molecular Sciences. 2023; 24(7):6436. https://doi.org/10.3390/ijms24076436
Chicago/Turabian StylePascariu, Petronela, Corneliu Cojocaru, Petrisor Samoila, and Cosmin Romanitan. 2023. "Nd-Doped ZnO Nanostructures with Enhanced Photocatalytic Performance for Environmental Protection" International Journal of Molecular Sciences 24, no. 7: 6436. https://doi.org/10.3390/ijms24076436
APA StylePascariu, P., Cojocaru, C., Samoila, P., & Romanitan, C. (2023). Nd-Doped ZnO Nanostructures with Enhanced Photocatalytic Performance for Environmental Protection. International Journal of Molecular Sciences, 24(7), 6436. https://doi.org/10.3390/ijms24076436

