Long-Term Cryopreservation of Nasal Polyp Tissue in a Biobank for the Isolation and Culture of Primary Epithelial Cells
Abstract
1. Introduction
2. Results
2.1. Isolation of Epithelial Cells from Cryopreserved Nasal Polyp Tissues
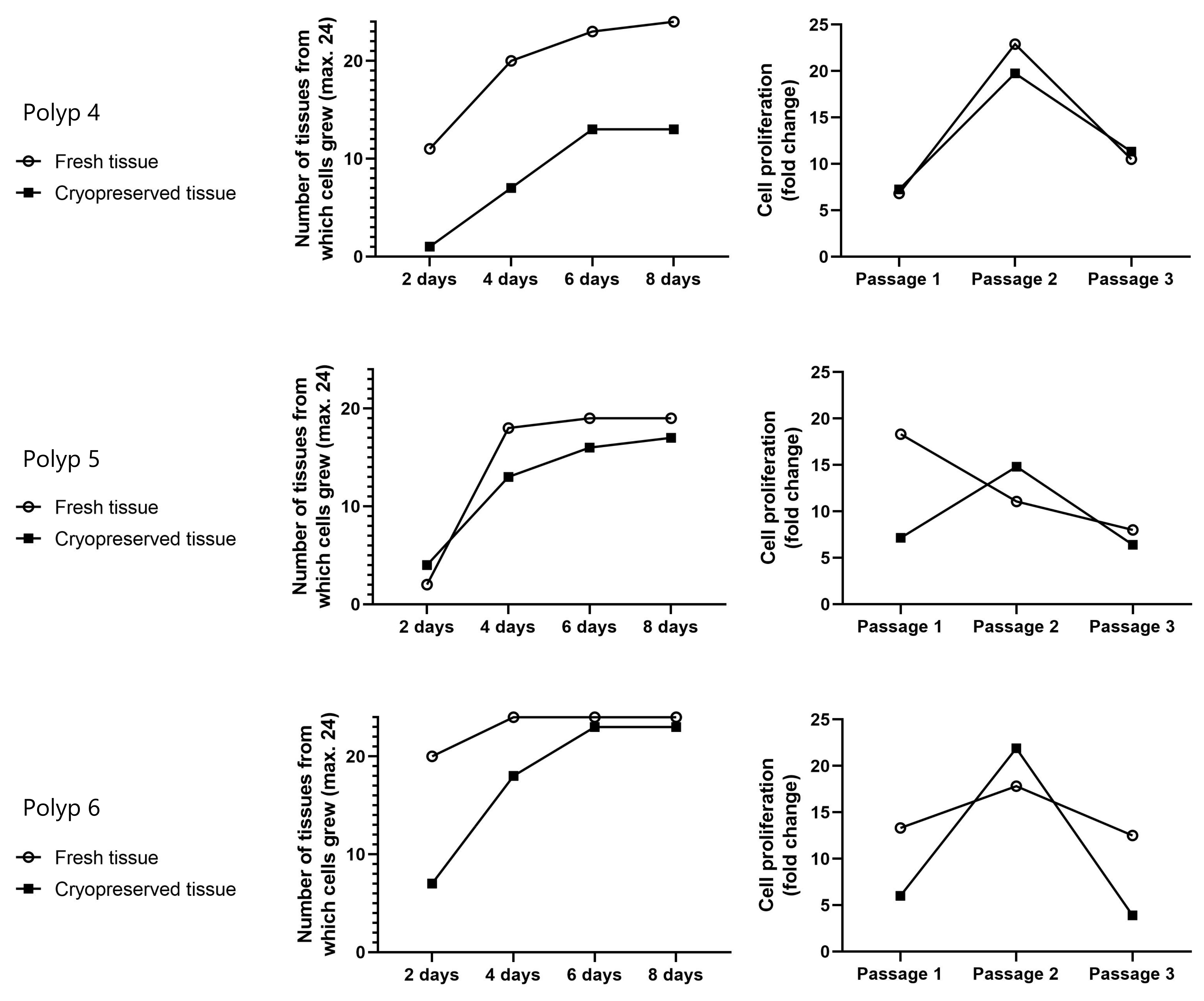
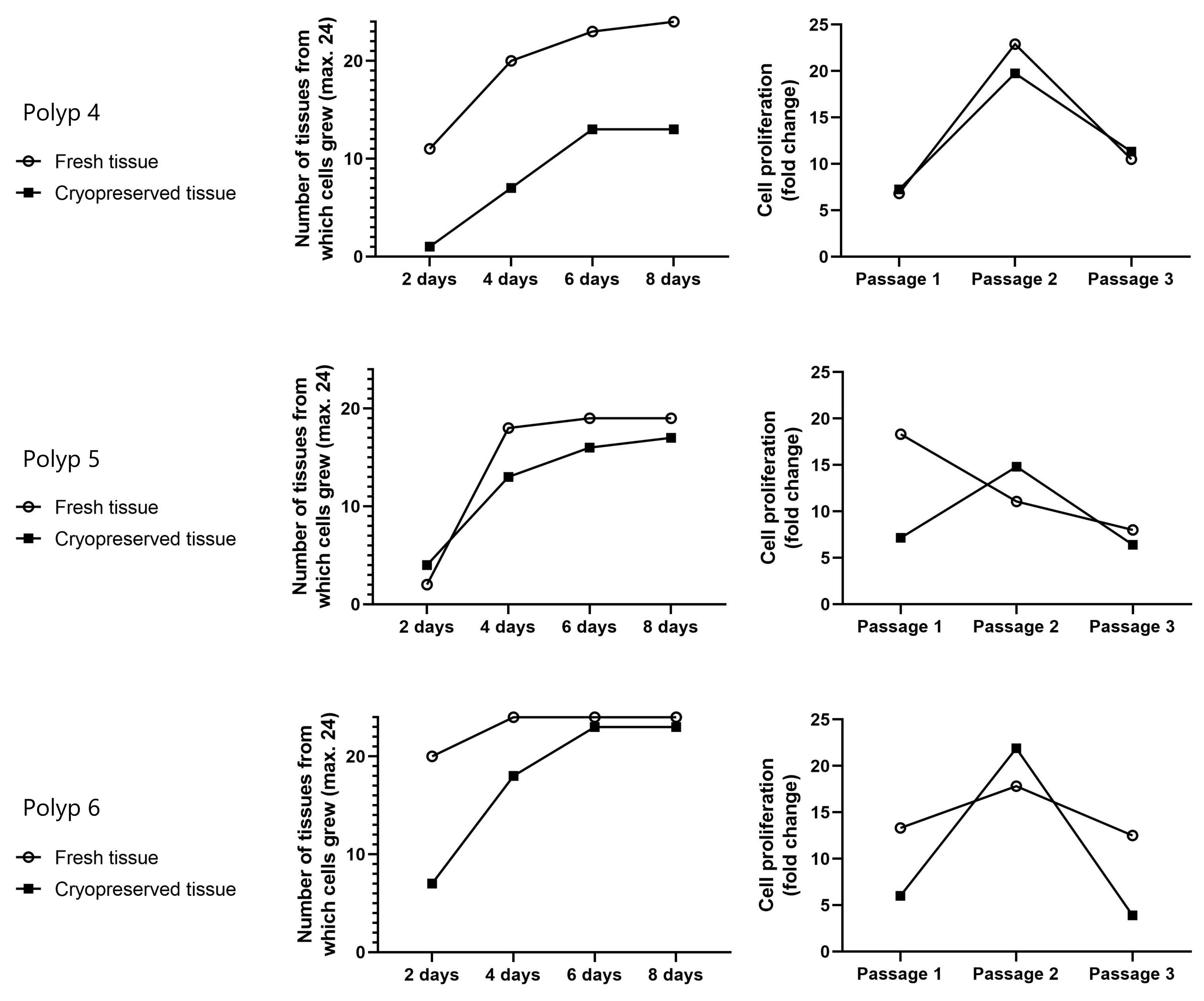
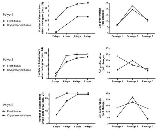
2.2. Comparison of Both Outgrowth and Proliferation Rate of the Epithelial Cells from Fresh Tissue and from Cryopreserved Tissue
2.3. Flow Cytometric Analysis to Identify Epithelial Cells and Evaluate Differentiation and Proliferation
2.4. Functionality Test by Determining Type 2–Relevant Proteins Using Enzyme-Linked Immunosorbent Assay (ELISA)
3. Discussion
4. Materials and Methods
4.1. Ethics Statement and Patient Materials
4.2. Cryopreservation of Nasal Polyp Tissue
4.3. Isolation of Epithelial Cells from Nasal Polyp Tissue
4.4. Flow Cytometry
4.5. Enzyme-Linked Immunosorbent Assay
4.6. Statistical Analysis
Author Contributions
Funding
Institutional Review Board Statement
Informed Consent Statement
Data Availability Statement
Acknowledgments
Conflicts of Interest
Appendix A
References
- Bachert, C.; Marple, B.; Schlosser, R.J.; Hopkins, C.; Schleimer, R.P.; Lambrecht, B.N.; Bröker, B.M.; Laidlaw, T.; Song, W.-J. Adult Chronic Rhinosinusitis. Nat. Rev. Dis. Prim. 2020, 6, 86. [Google Scholar] [CrossRef] [PubMed]
- Tomassen, P.; Vandeplas, G.; Van Zele, T.; Cardell, L.-O.; Arebro, J.; Olze, H.; Förster-Ruhrmann, U.; Kowalski, M.L.; Olszewska-Ziąber, A.; Holtappels, G.; et al. Inflammatory Endotypes of Chronic Rhinosinusitis Based on Cluster Analysis of Biomarkers. J. Allergy Clin. Immunol. 2016, 137, 1449–1456.e4. [Google Scholar] [CrossRef] [PubMed]
- Bachert, C.; Han, J.K.; Desrosiers, M.; Hellings, P.W.; Amin, N.; Lee, S.E.; Mullol, J.; Greos, L.S.; Bosso, J.V.; Laidlaw, T.M.; et al. Efficacy and Safety of Dupilumab in Patients with Severe Chronic Rhinosinusitis with Nasal Polyps (LIBERTY NP SINUS-24 and LIBERTY NP SINUS-52): Results from Two Multicentre, Randomised, Double-Blind, Placebo-Controlled, Parallel-Group Phase 3 Trials. Lancet 2019, 394, 1638–1650. [Google Scholar] [CrossRef] [PubMed]
- Gevaert, P.; Omachi, T.A.; Corren, J.; Mullol, J.; Han, J.; Lee, S.E.; Kaufman, D.; Ligueros-Saylan, M.; Howard, M.; Zhu, R.; et al. Efficacy and Safety of Omalizumab in Nasal Polyposis: 2 Randomized Phase 3 Trials. J. Allergy Clin. Immunol. 2020, 146, 595–605. [Google Scholar] [CrossRef] [PubMed]
- Han, J.K.; Bachert, C.; Fokkens, W.; Desrosiers, M.; Wagenmann, M.; Lee, S.E.; Smith, S.G.; Martin, N.; Mayer, B.; Yancey, S.W.; et al. Mepolizumab for Chronic Rhinosinusitis with Nasal Polyps (SYNAPSE): A Randomised, Double-Blind, Placebo-Controlled, Phase 3 Trial. Lancet Respir. Med. 2021, 9, 1141–1153. [Google Scholar] [CrossRef] [PubMed]
- Shaw, J.L.; Fakhri, S.; Citardi, M.J.; Porter, P.C.; Corry, D.B.; Kheradmand, F.; Liu, Y.-J.; Luong, A. IL-33–Responsive Innate Lymphoid Cells Are an Important Source of IL-13 in Chronic Rhinosinusitis with Nasal Polyps. Am. J. Respir. Crit. Care Med. 2013, 188, 432–439. [Google Scholar] [CrossRef] [PubMed]
- Kimura, S.; Pawankar, R.; Mori, S.; Nonaka, M.; Masuno, S.; Yagi, T.; Okubo, K. Increased Expression and Role of Thymic Stromal Lymphopoietin in Nasal Polyposis. Allergy Asthma Immunol. Res. 2011, 3, 186–193. [Google Scholar] [CrossRef] [PubMed]
- Bankova, L.G.; Barrett, N.A. Epithelial Cell Function and Remodeling in Nasal Polyposis. Ann. Allergy Asthma Immunol. 2020, 124, 333–341. [Google Scholar] [CrossRef] [PubMed]
- Chiarella, E.; Lombardo, N.; Lobello, N.; Aloisio, A.; Aragona, T.; Pelaia, C.; Scicchitano, S.; Bond, H.M.; Mesuraca, M. Nasal Polyposis: Insights in Epithelial-Mesenchymal Transition and Differentiation of Polyp Mesenchymal Stem Cells. Int. J. Mol. Sci. 2020, 21, E6878. [Google Scholar] [CrossRef] [PubMed]
- Ordovas-Montanes, J.; Dwyer, D.F.; Nyquist, S.K.; Buchheit, K.M.; Vukovic, M.; Deb, C.; Wadsworth, M.H.; Hughes, T.K.; Kazer, S.W.; Yoshimoto, E.; et al. Allergic Inflammatory Memory in Human Respiratory Epithelial Progenitor Cells. Nature 2018, 560, 649–654. [Google Scholar] [CrossRef] [PubMed]
- Stokes, A.B.; Kieninger, E.; Schögler, A.; Kopf, B.S.; Casaulta, C.; Geiser, T.; Regamey, N.; Alves, M.P. Comparison of Three Different Brushing Techniques to Isolate and Culture Primary Nasal Epithelial Cells from Human Subjects. Exp. Lung Res. 2014, 40, 327–332. [Google Scholar] [CrossRef] [PubMed]
- Fulcher, M.L.; Gabriel, S.; Burns, K.A.; Yankaskas, J.R.; Randell, S.H. Well-Differentiated Human Airway Epithelial Cell Cultures. Methods Mol. Med. 2005, 107, 183–206. [Google Scholar] [CrossRef] [PubMed]
- Manna, V.; Caradonna, S. Isolation, Expansion, Differentiation, and Histological Processing of Human Nasal Epithelial Cells. STAR Protoc. 2021, 2, 100782. [Google Scholar] [CrossRef] [PubMed]
- Hussain, R.; Hugosson, S.; Roomans, G.M. Isolation and Culture of Primary Human Nasal Epithelial Cells from Anesthetized Nasal Epithelia. Acta Otolaryngol. 2014, 134, 296–299. [Google Scholar] [CrossRef] [PubMed]
- Kim, J.; Hegener, K.; Hagedorn, C.; Jamal Jameel, K.; Weidinger, D.; Seuthe, I.M.C.; Eichhorn, S.; Kreppel, F.; Park, J.J.-H.; Knobloch, J. Simple, Low-Cost, and Well-Performing Method, the Outgrowth Technique, for the Isolation of Epithelial Cells from Nasal Polyps. bioRxiv 2023, 2023.01.10.522992. [Google Scholar] [CrossRef]
- Bar, I.; Theate, I.; Haussy, S.; Beniuga, G.; Carrasco, J.; Canon, J.-L.; Delrée, P.; Merhi, A. MiR-210 Is Overexpressed in Tumor-Infiltrating Plasma Cells in Triple-Negative Breast Cancer. J. Histochem. Cytochem. 2020, 68, 25–32. [Google Scholar] [CrossRef] [PubMed]
- Kim, T.-H.; Lee, J.-Y.; Park, J.-S.; Park, S.-W.; Jang, A.-S.; Lee, J.-Y.; Byun, J.-Y.; Uh, S.-T.; Koh, E.-S.; Chung, I.Y.; et al. Fatty Acid Binding Protein 1 Is Related with Development of Aspirin-Exacerbated Respiratory Disease. PLoS ONE 2011, 6, e22711. [Google Scholar] [CrossRef] [PubMed]
- Kim, J.-H.; Cha, J.-Y.; Cheong, H.S.; Park, J.S.; Jang, A.S.; Uh, S.-T.; Kim, M.-K.; Choi, I.S.; Cho, S.H.; Park, B.-L.; et al. KIF3A, a Cilia Structural Gene on Chromosome 5q31, and Its Polymorphisms Show an Association with Aspirin Hypersensitivity in Asthma. J. Clin. Immunol. 2011, 31, 112–121. [Google Scholar] [CrossRef] [PubMed]
- Kristjansson, R.P.; Benonisdottir, S.; Davidsson, O.B.; Oddsson, A.; Tragante, V.; Sigurdsson, J.K.; Stefansdottir, L.; Jonsson, S.; Jensson, B.O.; Arthur, J.G.; et al. A Loss-of-Function Variant in ALOX15 Protects against Nasal Polyps and Chronic Rhinosinusitis. Nat. Genet. 2019, 51, 267–276. [Google Scholar] [CrossRef] [PubMed]
- Coles, J.L.; Thompson, J.; Horton, K.L.; Hirst, R.A.; Griffin, P.; Williams, G.M.; Goggin, P.; Doherty, R.; Lackie, P.M.; Harris, A.; et al. A Revised Protocol for Culture of Airway Epithelial Cells as a Diagnostic Tool for Primary Ciliary Dyskinesia. J. Clin. Med. 2020, 9, E3753. [Google Scholar] [CrossRef] [PubMed]







| Polyp 1 | Polyp 2 | Polyp 3 | Polyp 4 | Polyp 5 | Polyp 6 | |
|---|---|---|---|---|---|---|
| Cryopreservation (days) | 262 | 196 | 191 | 0 vs. 89 | 0 vs. 77 | 0 vs. 75 |
| Age | 59 | 47 | 58 | 45 | 65 | 45 |
| Sex | Male | Male | Male | Female | Male | Male |
| Nasal polyp score (right/left) | 3/1 | 3/3 | 3/3 | 2/3 | 3/1 | 3/4 |
| Prior sinus surgeries | No | No | Yes | No | No | No |
| Tissue eosinophilia | Yes | Yes | Yes | Yes | Yes | Yes |
| Asthma | No | No | No | No | No | No |
| Non-steroidal anti-inflammatory drug exacerbated respiratory disease | Uncertain | No | No | No | No | Yes |
Disclaimer/Publisher’s Note: The statements, opinions and data contained in all publications are solely those of the individual author(s) and contributor(s) and not of MDPI and/or the editor(s). MDPI and/or the editor(s) disclaim responsibility for any injury to people or property resulting from any ideas, methods, instructions or products referred to in the content. |
© 2023 by the authors. Licensee MDPI, Basel, Switzerland. This article is an open access article distributed under the terms and conditions of the Creative Commons Attribution (CC BY) license (https://creativecommons.org/licenses/by/4.0/).
Share and Cite
Kim, J.; Hegener, K.; Hagedorn, C.; Jamal Jameel, K.; Weidinger, D.; Seuthe, I.M.C.; Eichhorn, S.; Kreppel, F.; Knobloch, J.; Park, J.J.-H. Long-Term Cryopreservation of Nasal Polyp Tissue in a Biobank for the Isolation and Culture of Primary Epithelial Cells. Int. J. Mol. Sci. 2023, 24, 6383. https://doi.org/10.3390/ijms24076383
Kim J, Hegener K, Hagedorn C, Jamal Jameel K, Weidinger D, Seuthe IMC, Eichhorn S, Kreppel F, Knobloch J, Park JJ-H. Long-Term Cryopreservation of Nasal Polyp Tissue in a Biobank for the Isolation and Culture of Primary Epithelial Cells. International Journal of Molecular Sciences. 2023; 24(7):6383. https://doi.org/10.3390/ijms24076383
Chicago/Turabian StyleKim, Jonghui, Karla Hegener, Claudia Hagedorn, Kaschin Jamal Jameel, Daniel Weidinger, Inga Marte Charlott Seuthe, Sabine Eichhorn, Florian Kreppel, Jürgen Knobloch, and Jonas Jae-Hyun Park. 2023. "Long-Term Cryopreservation of Nasal Polyp Tissue in a Biobank for the Isolation and Culture of Primary Epithelial Cells" International Journal of Molecular Sciences 24, no. 7: 6383. https://doi.org/10.3390/ijms24076383
APA StyleKim, J., Hegener, K., Hagedorn, C., Jamal Jameel, K., Weidinger, D., Seuthe, I. M. C., Eichhorn, S., Kreppel, F., Knobloch, J., & Park, J. J.-H. (2023). Long-Term Cryopreservation of Nasal Polyp Tissue in a Biobank for the Isolation and Culture of Primary Epithelial Cells. International Journal of Molecular Sciences, 24(7), 6383. https://doi.org/10.3390/ijms24076383

