Understanding Lamotrigine’s Role in the CNS and Possible Future Evolution
Abstract
1. Overview of Antiepileptic Drugs
1.1. Therapeutic Use and Drug Interaction
| Feature | Lamotrigine | Other Anti-Epileptic Drugs |
|---|---|---|
| Mechanism of action | Preferentially inhibits sodium channels by binding to the fast inactivated state, which slows the recovery of the channel to its active state. This results in the reduction of neuronal excitability and decreases the likelihood of seizures. | Other AEDs, like valproic acid, increase the inhibitory neurotransmitter GABA in the brain, while others, such as topiramate, modulate glutamate receptors. The differences in the mechanisms of action among AEDs suggest that the optimal treatment for each person with epilepsy may differ depending on the type of seizures they experience and their individual response to the medication [1,48]. |
| Side effects | Rashness, nausea, dizziness, and headache | Phenytoin, phenobarbital, carbamazepine, and oxcarbazepine also have the potential for serious allergic reactions and should be avoided in patients who have had previous serious or multiple allergic drug reactions. Valproate and lamotrigine can cause or exacerbate tremor and are not the drugs of choice for patients with essential tremor [49]. Carbamazepine and its derivative, oxcarbazepine, can cause hyponatremia, which is most common in the elderly treated with antihypertensives such as diuretics or angiotensin-converting enzyme inhibitors. Additionally, old hepatic enzyme-inducing medications like phenytoin, phenobarbital, and carbamazepine, and long-term treatment with valproate, can contribute to osteoporosis, particularly in postmenopausal women or immobilized patients with epilepsy and severe encephalopathy, and should be avoided in these patients [50]. When started gradually, lamotrigine is well tolerated, but when given in greater dosages or otherwise, it causes drowsiness and nausea. Up to 5% of patients can experience a rash, which is frequently brought on by a quick titration. In 1% of cases, a severe rash, which is more frequent in children using VPA, can progress into the uncommon and potentially lethal Steven-Johnson syndrome. Ataxia, diplopia, headache, tremor, blood dyscrasia, gastrointestinal discomfort, psychosis, somnolence, insomnia, and lesser hypersensitivity reactions are some of the more adverse effects [21] |
| Efficacy | Effective for treating bipolar disorder and certain types of epilepsy | Sodium channel blockers like carbamazepine, oxcarbazepine, and phenytoin may be ineffective or even exacerbate generalized epilepsy (GE)-related seizures. The reason why one sodium channel blocker is effective against GE and others are not, remains unknown [1,32]. |
1.2. Additional Mechanism of Action of Lamotrigine
| Mechanism of Action | Explanation | Evidence | References |
|---|---|---|---|
| Inhibition of glutamate release | LTG is believed to reduce the release of the neurotransmitter glutamate in the brain, leading to decreased excitability of neurons. | Multiple studies have demonstrated a decrease in glutamate levels in brain tissue and synaptic fluid following LTG treatment. | [65,66] |
| Voltage-dependent block of sodium channels | LTG has been shown to inhibit the opening of voltage-gated sodium channels, reducing the spread of electrical activity in neurons. | In vitro and in vivo studies have demonstrated a reduction in sodium channel activity following LTG treatment. | [8,67] |
| Modulation of GABA transmission | LTG has been suggested to increase the activity of the inhibitory neurotransmitter GABA, leading to decreased excitability of neurons. | Studies have shown an increase in GABA levels in brain tissue and synaptic fluid following LTG treatment and reduced seizure activity. | [68] |
| Antioxidant properties | LTG has been shown to have antioxidant properties, which may contribute to its neuroprotective effects. | In vitro and in vivo studies have demonstrated a reduction in oxidative stress and increased cell viability following LTG treatment. | [69,70] |
| Inflammation | Microglia, the resident immune cells of the central nervous system, play a key role in the initiation and maintenance of neuroinflammation. LTG has been demonstrated to reduce the activation of microglia, which may help prevent or reduce neuroinflammation. | Animal models of neuroinflammation that LTG can help reduce the severity of the inflammatory response and improve the outcome of the disease. | [63] |
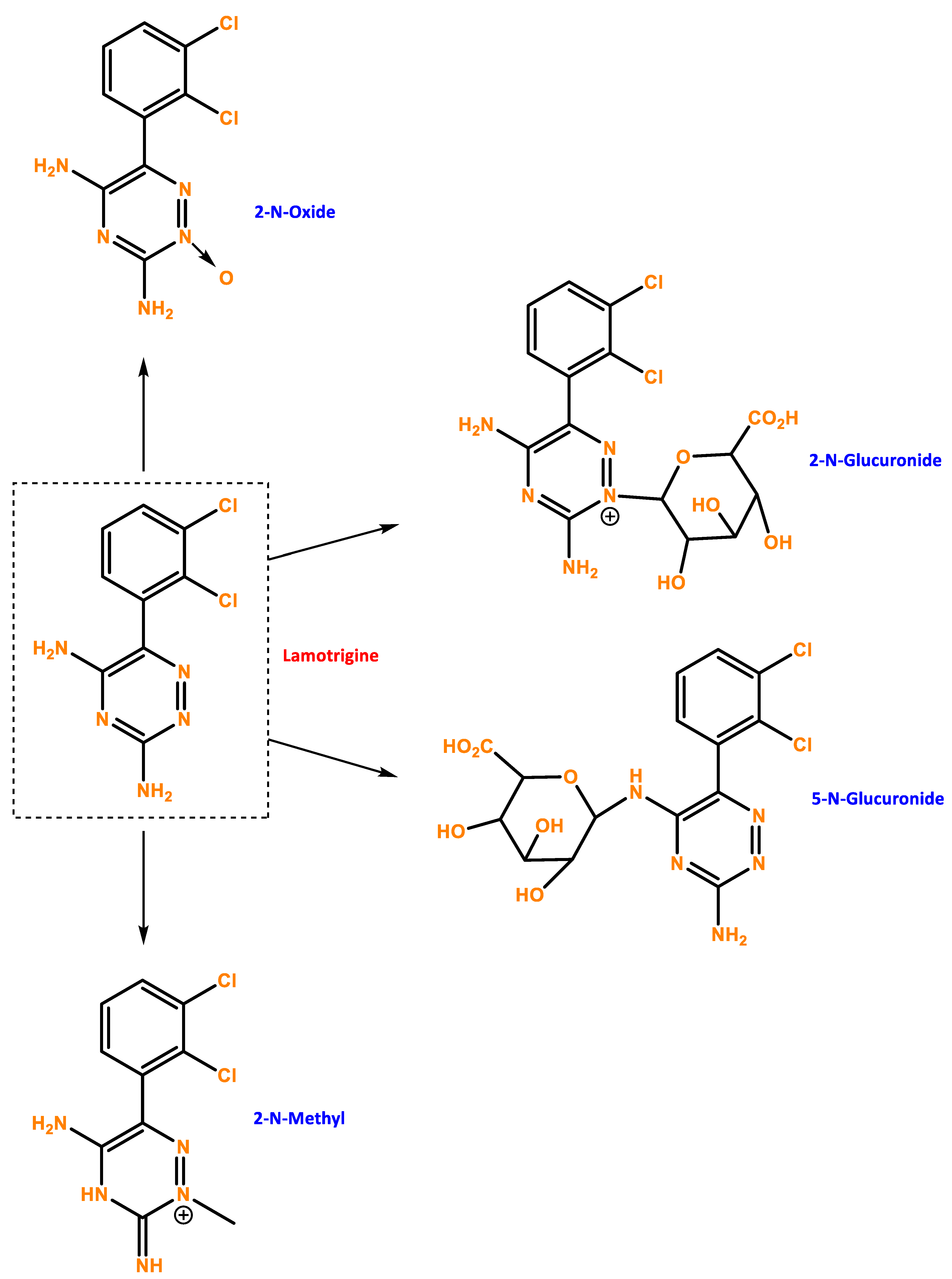
1.3. Pharmacokinetics and Pharmacodynamics
2. Lamotrigine Potential for Repurposing
2.1. Other CNS Disorders
| Condition | Potential Use of LTG | Clinical Studies (NCT Identifier) | References |
|---|---|---|---|
| Neuropathic pain | Used as a second- to fourth-line treatment. Occasionally used for painful HIV-related neuropathy. | NCT00913107 NCT00203229 NCT00295776 NCT00618241 NCT00243152 NCT04523935 | [85] |
| PTSD | LTG may be useful as a primary psychopharmacological treatment for PTSD and may also be thought of as a supplement to antidepressant therapy in the treatment of PTSD. | NCT00571246 | [89] |
| AHDH | Positive association with reducing ADHD probably due to achieving seizure freedom and normalizing electroencephalogram. | NCT01000402 | [93] |
| Fibromyalgia | LTG can be effective in reducing pain and improving quality of life in individuals with fibromyalgia. | No studies found | [86] |
| Alcohol and ketamine addiction | LTG can be effective in reducing relapse to alcohol seeking in rats. | NCT01015586 NCT02556060 | [95,96,97,98] |
| Migraine | Lamotrigine is a particular preventative therapy for migraine with aura. | Quality improvement and practice based research in neurology using the EMR-NCT02670161 | [99] |
2.1.1. The Relationship of LTG and the Blood-Brain Barrier (BBB)
2.1.2. New Drug Delivery Systems for LTG
2.2. Exploring the Relationship between LTG and Cancer as Potential Therapeutic Applications
3. Side Effects of Lamotrigine
4. Conclusions
Author Contributions
Funding
Institutional Review Board Statement
Informed Consent Statement
Data Availability Statement
Acknowledgments
Conflicts of Interest
References
- Löscher, W.; Klein, P. The Pharmacology and Clinical Efficacy of Antiseizure Medications: From Bromide Salts to Cenobamate and Beyond. CNS Drugs 2021, 35, 935. [Google Scholar] [CrossRef] [PubMed]
- Khateb, M.; Bosak, N.; Herskovitz, M. The Effect of Anti-Seizure Medications on the Propagation of Epileptic Activity: A Review. Front. Neurol. 2021, 12, 683. [Google Scholar] [CrossRef] [PubMed]
- Subbarao, B.S.; Silverman, A.; Eapen, B.C. Seizure Medications; StatPearls: Treasure Island, FL, USA, 2022; pp. 1–8. [Google Scholar]
- Thomas, E.A.; Petrou, S. Network-Specific Mechanisms May Explain the Paradoxical Effects of Carbamazepine and Phenytoin. Epilepsia 2013, 54, 1195–1202. [Google Scholar] [CrossRef]
- Jo, S.; Bean, B.P. Lacosamide Inhibition of Nav1.7 Voltage-Gated Sodium Channels: Slow Binding to Fast-Inactivated States. Mol. Pharmacol. 2017, 91, 277. [Google Scholar] [CrossRef]
- Powell, K.L.; Cain, S.M.; Snutch, T.P.; O’Brien, T.J. Low Threshold T-Type Calcium Channels as Targets for Novel Epilepsy Treatments. Br. J. Clin. Pharmacol. 2014, 77, 729. [Google Scholar] [CrossRef]
- Kazmierska-Grebowska, P.; Siwiec, M.; Sowa, J.E.; Caban, B.; Kowalczyk, T.; Bocian, R.; Maciver, M.B. Lamotrigine Attenuates Neuronal Excitability, Depresses GABA Synaptic Inhibition, and Modulates Theta Rhythms in Rat Hippocampus. Int. J. Mol. Sci. 2021, 22, 13604. [Google Scholar] [CrossRef] [PubMed]
- Coulter, D.A. Antiepileptic Drug Cellular Mechanisms of Action: Where Does Lamotrigine Fit In? J. Child. Neurol. 1997, 12 (Suppl. 1), S2–S9. [Google Scholar] [CrossRef]
- Ketter, T.A.; Manji, H.K.; Post, R.M. Potential Mechanisms of Action of Lamotrigine in the Treatment of Bipolar Disorders. J. Clin. Psychopharmacol. 2003, 23, 484–495. [Google Scholar] [CrossRef]
- Shalaby, H.N.; El-Tanbouly, D.M.; Zaki, H.F. Topiramate Mitigates 3-Nitropropionic Acid-Induced Striatal Neurotoxicity via Modulation of AMPA Receptors. Food Chem. Toxicol. 2018, 118, 227–234. [Google Scholar] [CrossRef]
- Olsen, R.W.; DeLorey, T.M. GABA Receptor Physiology and Pharmacology. In Basic Neurochemistry: Molecular, Cellular and Medical Aspects; Lippincott-Raven: Philadelphia, PA, USA, 1999. [Google Scholar]
- Gunthorpe, M.J.; Large, C.H.; Sankar, R. The Mechanism of Action of Retigabine (Ezogabine), a First-in-Class K+ Channel Opener for the Treatment of Epilepsy. Epilepsia 2012, 53, 412–424. [Google Scholar] [CrossRef]
- Goldenberg, M.M. Overview of Drugs Used For Epilepsy and Seizures: Etiology, Diagnosis, and Treatment. Pharm. Ther. 2010, 35, 392. [Google Scholar]
- St. Louis, E.K.; Rosenfeld, W.E.; Bramley, T. Antiepileptic Drug Monotherapy: The Initial Approach in Epilepsy Management. Curr. Neuropharmacol. 2009, 7, 77. [Google Scholar] [CrossRef]
- Zhuo, C.; Jiang, R.; Li, G.; Shao, M.; Chen, C.; Chen, G.; Tian, H.; Li, J.; Xue, R.; Jiang, D. Efficacy and Tolerability of Second and Third Generation Anti-Epileptic Drugs in Refractory Epilepsy: A Network Meta-Analysis. Sci. Rep. 2017, 7, 2535. [Google Scholar] [CrossRef] [PubMed]
- Pack, A.M. The Association Between Antiepileptic Drugs and Bone Disease. Epilepsy Curr. 2003, 3, 91. [Google Scholar] [CrossRef]
- St. Louis, E. Minimizing AED Adverse Effects: Improving Quality of Life in the Interictal State in Epilepsy Care. Curr. Neuropharmacol. 2009, 7, 106. [Google Scholar] [CrossRef]
- Johannessen, S.; Johannessen Landmark, C. Antiepileptic Drug Interactions-Principles and Clinical Implications. Curr. Neuropharmacol. 2010, 8, 254. [Google Scholar] [CrossRef] [PubMed]
- Bialer, M. Why Are Antiepileptic Drugs Used for Nonepileptic Conditions? Epilepsia 2012, 53, 26–33. [Google Scholar] [CrossRef] [PubMed]
- Rogawski, M.A.; Löscher, W.; Rho, J.M. Mechanisms of Action of Antiseizure Drugs and the Ketogenic Diet. Cold Spring Harb. Perspect. Med. 2016, 6, 28. [Google Scholar] [CrossRef]
- Ghaffarpour, M.; Pakdaman, H.; Harirchian, M.H.; Omrani, H.-A.G.; Ghabaee, M.; Zamani, B.; Bahrami, P.; Siroos, B. Pharmacokinetic and Pharmacodynamic Properties of the New AEDs: A Review Article. Iran J. Neurol. 2013, 12, 157. [Google Scholar]
- Messenheimer, J.; Mullens, E.L.; Giorgi, L.; Young, F. Safety Review of Adult Clinical Trial Experience with Lamotrigine. Drug Saf. 1998, 18, 281–296. [Google Scholar] [CrossRef]
- Compagno Strandberg, M.; Söderberg-Löfdal, K.; Kimland, E.; Dahlin, M.; Källén, K. Evidence-Based Anti-Seizure Monotherapy in Newly Diagnosed Epilepsy: A New Approach. Acta Neurol. Scand. 2020, 142, 323–332. [Google Scholar] [CrossRef]
- FDA. Highlights of Prescribing Information: Lamotrigine. Available online: https://www.accessdata.fda.gov/drugsatfda_docs/label/2015/020241s045s051lbl.pdf (accessed on 7 February 2023).
- Matsuo, F.; Gay, P.; Madsen, J.; Tolman, K.G.; Rollins, D.E.; Risner, M.E.; Lai, A.A. Lamotrigine High-Dose Tolerability and Safety in Patients with Epilepsy: A Double-Blind, Placebo-Controlled, Eleven-Week Study. Epilepsia 1996, 37, 857–862. [Google Scholar] [CrossRef]
- Besag, F.M.C.; Wallace, S.J.; Dulac, O.; Alving, J.; Spencer, S.C.; Hosking, G. Lamotrigine for the Treatment of Epilepsy in Childhood. J. Pediatr. 1995, 127, 991–997. [Google Scholar] [CrossRef] [PubMed]
- Shah, N.; Grover, S.; Rao, G. Clinical Practice Guidelines for Management of Bipolar Disorder. Indian J. Psychiatry 2017, 59, S51. [Google Scholar] [CrossRef] [PubMed]
- Jang, Y.; Moon, J.; Kim, N.; Kim, T.J.; Jun, J.S.; Shin, Y.W.; Chang, H.; Kang, H.R.; Lee, S.T.; Jung, K.H.; et al. A New Rapid Titration Protocol for Lamotrigine That Reduces the Risk of Skin Rash. Epilepsia Open 2021, 6, 394–401. [Google Scholar] [CrossRef] [PubMed]
- Biton, V. Pharmacokinetics, Toxicology and Safety of Lamotrigine in Epilepsy. Expert Opin. Drug Metab. Toxicol. 2006, 2, 1009–1018. [Google Scholar] [CrossRef]
- Kara´zniewiczkara´zniewicz-Łada, M.; Główka, A.K.; Mikulska, A.A.; Główka, F.K.; Kara´zniewicz-Łada, K.; Główka, M.; Mikulska, A.K.; Główka, A.A.; Pharmacokinetic, F.K.; Pl, A.A.M. Pharmacokinetic Drug–Drug Interactions among Antiepileptic Drugs, Including CBD, Drugs Used to Treat COVID-19 and Nutrients. Int. J. Mol. Sci. 2021, 22, 9582. [Google Scholar] [CrossRef]
- Leary, E.; Sheth, R.D.; Gidal, B.E. Time Course of Reversal of Valproate-Mediated Inhibition of Lamotrigine. Seizure 2018, 57, 76–79. [Google Scholar] [CrossRef]
- Lee, J.W.; Dworetzky, B. Rational Polytherapy with Antiepileptic Drugs. Pharmaceuticals 2010, 3, 2362. [Google Scholar] [CrossRef]
- Wimpelmann, J.; Høvik, H.; Riedel, B.; Slørdal, L. The Interaction between Rifampicin and Lamotrigine: A Case Report. Br. J. Clin. Pharm. 2019, 85, 1859. [Google Scholar] [CrossRef]
- King, A.; Bachman, E.; Macken, M.P.; Lee, J.; Gerard, E.E. Contraceptive Vaginal Ring Reduces Lamotrigine Levels. Epilepsy Behav. 2020, 111, 107162. [Google Scholar] [CrossRef]
- McMillin, G.A.; Krasowski, M.D. Therapeutic Drug Monitoring of Newer Antiepileptic Drugs. Clin. Chall. Ther. Drug Monit. Spec. Popul. Physiol. Cond. Pharm. 2016, 101–134. [Google Scholar] [CrossRef]
- Jones, P.J.; Merrick, E.C.; Batts, T.W.; Hargus, N.J.; Wang, Y.; Stables, J.P.; Bertram, E.H.; Brown, M.L.; Patel, M.K. Modulation of Sodium Channel Inactivation Gating by a Novel Lactam: Implications for Seizure Suppression in Chronic Limbic Epilepsy. J. Pharm. Exp. 2009, 328, 201. [Google Scholar] [CrossRef] [PubMed]
- Kuo, C.C.; Lu, L. Characterization of Lamotrigine Inhibition of Na+ Channels in Rat Hippocampal Neurones. Br. J. Pharm. 1997, 121, 1231–1238. [Google Scholar] [CrossRef] [PubMed]
- Qiao, X.; Sun, G.; Clare, J.J.; Werkman, T.R.; Wadman, W.J. Properties of Human Brain Sodium Channel α-Subunits Expressed in HEK293 Cells and Their Modulation by Carbamazepine, Phenytoin and Lamotrigine. Br. J. Pharm. 2014, 171, 1054. [Google Scholar] [CrossRef]
- Xie, X.; Lancaster, B.; Peakman, T.; Garthwaite, J. Interaction of the antiepileptic drug lamotrigine with recombinant rat brain type IIA Na+ channels and with native Na+ channels in rat hippocampal neurones. Pfluegers Archiv. 1995, 430, 437–446. [Google Scholar] [CrossRef]
- Wegerer, J.v.; Heßlinger, B.; Berger, M.; Walden, J. A Calcium Antagonistic Effect of the New Antiepileptic Drug Lamotrigine. Eur. Neuropsychopharmacol. 1997, 7, 77–81. [Google Scholar] [CrossRef]
- Abelaira, H.M.; Réus, G.Z.; Ribeiro, K.F.; Zappellini, G.; Cipriano, A.L.; Scaini, G.; Streck, E.L.; Quevedo, J. Lamotrigine Treatment Reverses Depressive-like Behavior and Alters BDNF Levels in the Brains of Maternally Deprived Adult Rats. Pharm. Biochem. Behav. 2012, 101, 348–353. [Google Scholar] [CrossRef]
- Betchel, N.T.; Fariba, K.A.; Saadabadi, A. Lamotrigine. Essence Analg. Analg. 2022, 306–309. [Google Scholar] [CrossRef]
- Verrotti, A.; Striano, P.; Iapadre, G.; Zagaroli, L.; Bonanni, P.; Coppola, G.; Elia, M.; Mecarelli, O.; Franzoni, E.; de Liso, P.; et al. The Pharmacological Management of Lennox-Gastaut Syndrome and Critical Literature Review. Seizure 2018, 63, 17–25. [Google Scholar] [CrossRef]
- Strzelczyk, A.; Schubert-Bast, S.; Strzelczyk, A.; Schubert-Bast, S. Psychobehavioural and Cognitive Adverse Events of Anti-Seizure Medications for the Treatment of Developmental and Epileptic Encephalopathies. CNS Drugs 2022, 36, 1079–1111. [Google Scholar] [CrossRef] [PubMed]
- de Almeida Campos, M.S.; Ayres, L.R.; Morelo, M.R.S.; Carizio, F.A.M.; Pereira, L.R.L. Comparative Efficacy of Antiepileptic Drugs for Patients with Generalized Epileptic Seizures: Systematic Review and Network Meta-Analyses. Int. J. Clin. Pharm. 2018, 40, 589–598. [Google Scholar] [CrossRef] [PubMed]
- Hur, Y.J. Comparison of Lamotrigine and Oxcarbazepine Monotherapy for Pediatric Focal Epilepsy: An Observational Study. Seizure 2018, 60, 123–126. [Google Scholar] [CrossRef]
- Nevitt, S.J.; Sudell, M.; Cividini, S.; Marson, A.G.; Tudur Smith, C. Antiepileptic Drug Monotherapy for Epilepsy: A Network Meta-Analysis of Individual Participant Data. Cochrane Database Syst. Rev. 2022, 2022. [Google Scholar] [CrossRef]
- Brodie, M.J. Sodium Channel Blockers in the Treatment of Epilepsy. CNS Drugs 2017, 31, 527–534. [Google Scholar] [CrossRef]
- Wahab, A. Difficulties in Treatment and Management of Epilepsy and Challenges in New Drug Development. Pharmaceuticals 2010, 3, 2090. [Google Scholar] [CrossRef] [PubMed]
- Dong, X.; Leppik, I.E.; White, J.; Rarick, J. Hyponatremia from Oxcarbazepine and Carbamazepine. Neurology 2005, 65, 1976–1978. [Google Scholar] [CrossRef]
- Poolos, N.P. Hyperpolarization-Activated Cyclic Nucleotide-Gated (HCN) Ion Channelopathy in Epilepsy. In Jasper’s Basic Mechanisms of the Epilepsies, 4th ed.; National Center for Biotechnology Information (US): Bethesda, MD, USA, 2012. [Google Scholar]
- Postea, O.; Biel, M. Exploring HCN Channels as Novel Drug Targets. Nat. Rev. Drug Discov. 2011, 10, 903–914. [Google Scholar] [CrossRef]
- Kessi, M.; Peng, J.; Duan, H.; He, H.; Chen, B.; Xiong, J.; Wang, Y.; Yang, L.; Wang, G.; Kiprotich, K.; et al. The Contribution of HCN Channelopathies in Different Epileptic Syndromes, Mechanisms, Modulators, and Potential Treatment Targets: A Systematic Review. Front. Mol. Neurosci. 2022, 15, 807202. [Google Scholar] [CrossRef] [PubMed]
- Combe, C.L.; Gasparini, S. Ih from Synapses to Networks: HCN Channel Functions and Modulation in Neurons. Prog. Biophys. Mol. Biol. 2021, 166, 119. [Google Scholar] [CrossRef]
- Ku, S.M.; Han, M.H. HCN Channel Targets for Novel Antidepressant Treatment. Neurotherapeutics 2017, 14, 698–715. [Google Scholar] [CrossRef] [PubMed]
- Frye, M.A.; Watzl, J.; Banakar, S.; O’Neill, J.; Mintz, J.; Davanzo, P.; Fischer, J.; Chirichigno, J.W.; Ventura, J.; Elman, S.; et al. Increased Anterior Cingulate/Medial Prefrontal Cortical Glutamate and Creatine in Bipolar Depression. Neuropsychopharmacology 2007, 32, 2490–2499. [Google Scholar] [CrossRef] [PubMed]
- Brodie, M.J.; Besag, F.; Ettinger, A.B.; Mula, M.; Gobbi, G.; Comai, S.; Aldenkamp, A.P.; Steinhoff, B.J. Epilepsy, Antiepileptic Drugs, and Aggression: An Evidence-Based Review. Pharm. Rev. 2016, 68, 563–602. [Google Scholar] [CrossRef]
- Sanchez, D.L.; Fusick, A.J.; Gunther, S.R.; Hernandez, M.J.; Sullivan, G.A.; Catalano, M.C.; Catalano, G. Delirium Secondary to Lamotrigine Toxicity. Curr. Drug Saf. 2020, 15, 156–159. [Google Scholar] [CrossRef] [PubMed]
- Reid, J.G.; Gitlin, M.J.; Altshuler, L.L. Lamotrigine in Psychiatric Disorders. J. Clin. Psychiatry 2013, 74, 675–684. [Google Scholar] [CrossRef]
- Matsuzaka, Y.; Urashima, K.; Sakai, S.; Morimoto, Y.; Kanegae, S.; Kinoshita, H.; Imamura, A.; Ozawa, H. The Effectiveness of Lamotrigine for Persistent Depressive Disorder: A Case Report. Neuropsychopharmacol. Rep. 2022, 42, 120. [Google Scholar] [CrossRef]
- Kośmider, K.; Kamieniak, M.; Czuczwar, S.J.; Miziak, B. Second Generation of Antiepileptic Drugs and Oxidative Stress. Int. J. Mol. Sci. 2023, 24, 3873. [Google Scholar] [CrossRef]
- Arora, T.; Mehta, A.K.; Sharma, K.K.; Mediratta, P.K.; Banerjee, B.D.; Garg, G.R.; Sharma, A.K. Effect of Carbamazepine and Lamotrigine on Cognitive Function and Oxidative Stress in Brain during Chemical Epileptogenesis in Rats. Basic Clin. Pharm. Toxicol. 2010, 106, 372–377. [Google Scholar] [CrossRef]
- Faustmann, T.J.; Corvace, F.; Faustmann, P.M.; Ismail, F.S. Effects of Lamotrigine and Topiramate on Glial Properties in an Astrocyte-Microglia Co-Culture Model of Inflammation. Int. J. Neuropsychopharmacol. 2022, 25, 185–196. [Google Scholar] [CrossRef]
- Prabhavalkar, K.S.; Poovanpallil, N.B.; Bhatt, L.K. Management of Bipolar Depression with Lamotrigine: An Antiepileptic Mood Stabilizer. Front. Pharm. 2015, 6, 242. [Google Scholar] [CrossRef]
- Klamt, J.G. Effects of Intrathecally Administered Lamotrigine, a Glutamate Release Inhibitor, on Short- and Long-Term Models of Hyperalgesia in Rats. Anesthesiology 1998, 88, 487–494. [Google Scholar] [CrossRef] [PubMed]
- Leng, Y.; Fessler, E.B.; Chuang, D.M. Neuroprotective Effects of the Mood Stabilizer Lamotrigine against Glutamate Excitotoxicity: Roles of Chromatin Remodelling and Bcl-2 Induction. Int. J. Neuropsychopharmacol. 2013, 16, 607. [Google Scholar] [CrossRef]
- Lin, C.H.; Ho, C.J.; Lu, Y.T.; Tsai, M.H. Response to Sodium Channel Blocking Antiseizure Medications and Coding Polymorphisms of Sodium Channel Genes in Taiwanese Epilepsy Patients. BMC Neurol. 2021, 21, 367. [Google Scholar] [CrossRef]
- Huang, Y.Y.; Liu, Y.C.; Lee, C.T.; Lin, Y.C.; Wang, M.L.; Yang, Y.P.; Chang, K.Y.; Chiou, S.H. Revisiting the Lamotrigine-Mediated Effect on Hippocampal GABAergic Transmission. Int. J. Mol. Sci. 2016, 17, 1191. [Google Scholar] [CrossRef] [PubMed]
- Kahveci, F.O.; Kahveci, R.; Gokce, E.C.; Gokce, A.; Kısa, Ü.; Sargon, M.F.; Fesli, R.; Sarı, M.F.; Gürer, B. Biochemical, Pathological and Ultrastructural Investigation of Whether Lamotrigine Has Neuroprotective Efficacy against Spinal Cord Ischemia Reperfusion Injury. Injury 2021, 52, 2803–2812. [Google Scholar] [CrossRef]
- Filiz, A.K.; Gumus, E.; Karabulut, S.; Tastemur, Y.; Taskiran, A.S. Protective Effects of Lamotrigine and Vitamin B12 on Pentylenetetrazole-Induced Epileptogenesis in Rats. Epilepsy Behav. 2021, 118, 107915. [Google Scholar] [CrossRef] [PubMed]
- Hahn, C.-G.; Gyulai, L.; Baldassano, C.F.; Lenox, R.H. The Current Understanding of Lamotrigine as a Mood Stabilizer. J. Clin. Psychiatry 2004, 65, 3993. [Google Scholar] [CrossRef]
- Wang, K.; Fernandez-Escobar, A.; Han, S.; Zhu, P.; Wang, J.H.; Sun, Y. Lamotrigine Reduces Inflammatory Response and Ameliorates Executive Function Deterioration in an Alzheimer’s-Like Mouse Model. Biomed. Res. Int. 2016, 2016, 7810196. [Google Scholar] [CrossRef]
- Koteswari, P.; Sunium, S.; Srinivasababu, P.; Babu, G.K.; Nithya, P.D. Formulation Development and Evaluation of Fast Disintegrating Tablets of Lamotrigine Using Liqui-Solid Technique. Int. J. Pharm. Investig. 2014, 4, 207. [Google Scholar] [CrossRef]
- Douglas-Hall, P.; Dzahini, O.; Gaughran, F.; Bile, A.; Taylor, D. Variation in Dose and Plasma Level of Lamotrigine in Patients Discharged from a Mental Health Trust. Adv. Psychopharmacol. 2017, 7, 17. [Google Scholar] [CrossRef]
- Garnett, W.R. Lamotrigine: Pharmacokinetics. J. Child. Neurol. 1997, 12, S10–S15. [Google Scholar] [CrossRef]
- Milosheska, D.; Lorber, B.; Vovk, T.; Kastelic, M.; Dolžan, V.; Grabnar, I. Pharmacokinetics of Lamotrigine and Its Metabolite N-2-glucuronide: Influence of Polymorphism of UDP-glucuronosyltransferases and Drug Transporters. Br. J. Clin. Pharm. 2016, 82, 399. [Google Scholar] [CrossRef] [PubMed]
- Chu, X.M.; Zhang, L.F.; Wang, G.J.; Zhang, S.N.; Zhou, J.H.; Hao, H.P. Influence of UDP-Glucuronosyltransferase Polymorphisms on Valproic Acid Pharmacokinetics in Chinese Epilepsy Patients. Eur. J. Clin. Pharm. 2012, 68, 1395–1401. [Google Scholar] [CrossRef]
- Seiden, L.G.; Connor, G.S. The Importance of Drug Titration in the Management of Patients with Epilepsy. Epilepsy Behav. 2022, 128, 108517. [Google Scholar] [CrossRef] [PubMed]
- Morris, R.G.; Black, A.B.; Harris, A.L.; Batty, A.B.; Sallustio, B.C. Lamotrigine and Therapeutic Drug Monitoring: Retrospective Survey Following the Introduction of a Routine Service. Br. J. Clin. Pharm. 1998, 46, 547. [Google Scholar] [CrossRef] [PubMed]
- Mitra-Ghosh, T.; Callisto, S.P.; Lamba, J.K.; Remmel, R.P.; Birnbaum, A.K.; Barbarino, J.M.; Klein, T.E.; Altman, R.B. PharmGKB Summary: Lamotrigine Pathway, Pharmacokinetics and Pharmacodynamics. Pharm. Genom. 2020, 30, 81–90. [Google Scholar] [CrossRef] [PubMed]
- Zhao, W.; Meng, H. Effects of Genetic Polymorphism of Drug-Metabolizing Enzymes on the Plasma Concentrations of Antiepileptic Drugs in Chinese Population. Bioengineered 2022, 13, 7709–7745. [Google Scholar] [CrossRef] [PubMed]
- Zakrzewska, J.M.; Chaudhry, Z.; Nurmikko, T.J.; Patton, D.W.; Mullens, E.L. Lamotrigine (Lamictal) in Refractory Trigeminal Neuralgia: Results from a Double-Blind Placebo Controlled Crossover Trial. Pain 1997, 73, 223–230. [Google Scholar] [CrossRef] [PubMed]
- Al-Quliti, K.W. Update on Neuropathic Pain Treatment for Trigeminal Neuralgia: The Pharmacological and Surgical Options. Neurosciences 2015, 20, 107. [Google Scholar] [CrossRef]
- de Moulin, D.; Boulanger, A.; Clark, A.J.; Clarke, H.; Dao, T.; Finley, G.A.; Furlan, A.; Gilron, I.; Gordon, A.; Morley-Forster, P.K.; et al. Pharmacological Management of Chronic Neuropathic Pain: Revised Consensus Statement from the Canadian Pain Society. Pain Res. Manag. J. Can. Pain Soc. 2014, 19, 328. [Google Scholar] [CrossRef]
- Motwani, L.; Asif, N.; Patel, A.; Vedantam, D.; Poman, D.S. Neuropathy in Human Immunodeficiency Virus: A Review of the Underlying Pathogenesis and Treatment. Cureus 2022, 14, e25905. [Google Scholar] [CrossRef]
- Wiffen, P.J.; Derry, S.; Moore, R.A. Lamotrigine for Chronic Neuropathic Pain and Fibromyalgia in Adults. Cochrane Database Syst. Rev. 2013, 2013, CD006044. [Google Scholar] [CrossRef] [PubMed]
- Kishimoto, A.; Goto, Y.; Hashimoto, K. Post-Traumatic Stress Disorder Symptoms in a Female Patient Following Repeated Teasing: Treatment with Gabapentin and Lamotrigine and the Possible Role of Sensitization. Clin. Psychopharmacol. Neurosci. 2014, 12, 240. [Google Scholar] [CrossRef] [PubMed]
- Thompson, S.I.; El-Saden, S.M. Lamotrigine for Treating Anger in Veterans with Posttraumatic Stress Disorder. Clin. Neuropharmacol. 2021, 44, 184–185. [Google Scholar] [CrossRef] [PubMed]
- Hageman, I.; Andersen, H.S.; Jørgensen, M.B. Post-Traumatic Stress Disorder: A Review of Psychobiology and Pharmacotherapy. Acta Psychiatr. Scand. 2001, 104, 411–422. [Google Scholar] [CrossRef] [PubMed]
- Crawford, M.J.; Sanatinia, R.; Barrett, B.; Cunningham, G.; Dale, O.; Ganguli, P.; Lawrence-Smith, G.; Leeson, V.; Lemonsky, F.; Lykomitrou, G.; et al. The Clinical Effectiveness and Cost-Effectiveness of Lamotrigine in Borderline Personality Disorder: A Randomized Placebo-Controlled Trial. Am. J. Psychiatry 2018, 175, 756–764. [Google Scholar] [CrossRef]
- Pham, T.L.; Chrousos, G.P.; Merkenschlager, A.; Petrowski, K.; Ullmann, E. Lamotrigine Reduces Stress Symptoms of Chronic Anxiety in the Times of the Covid-19 Natural Catastrophe-A Case Report. Front. Psychiatry 2021, 12, 655079. [Google Scholar] [CrossRef]
- Han, S.A.; Yang, E.J.; Song, M.K.; Kim, S.J. Effects of Lamotrigine on Attention-Deficit Hyperactivity Disorder in Pediatric Epilepsy Patients. Korean J. Pediatr. 2017, 60, 189–195. [Google Scholar] [CrossRef]
- Verrotti, A.; Moavero, R.; Panzarino, G.; di Paolantonio, C.; Rizzo, R.; Curatolo, P. The Challenge of Pharmacotherapy in Children and Adolescents with Epilepsy-ADHD Comorbidity. Clin. Drug Investig. 2018, 38, 1–8. [Google Scholar] [CrossRef]
- Öncü, B.; Er, O.; Çolak, B.; Nutt, D.J. Lamotrigine for Attention Deficit-Hyperactivity Disorder Comorbid with Mood Disorders: A Case Series. J. Psychopharmacol. 2014, 28, 282–283. [Google Scholar] [CrossRef]
- Grunze, H.; Schaefer, M.; Scherk, H.; Born, C.; Preuss, U.W. Comorbid Bipolar and Alcohol Use Disorder—A Therapeutic Challenge. Front. Psychiatry 2021, 12, 357. [Google Scholar] [CrossRef]
- Wilkowska, A.; Wiglusz, M.S.; Jakuszkowiak-Wojten, K.; Cubała, W.J. Ketamine and Lamotrigine Combination in Psychopharmacology: Systematic Review. Cells 2022, 11, 645. [Google Scholar] [CrossRef]
- Lampl, C.; Katsarava, Z.; Diener, H.C.; Limmroth, V. Lamotrigine Reduces Migraine Aura and Migraine Attacks in Patients with Migraine with Aura. J. Neurol. Neurosurg. Psychiatry 2005, 76, 1730–1732. [Google Scholar] [CrossRef]
- Shahien, R.; Beiruti, K. Preventive Agents for Migraine: Focus on the Antiepileptic Drugs. J. Cent. Nerv. Syst. Dis. 2012, 4, 37. [Google Scholar] [CrossRef] [PubMed]
- Steiner, T.J.; Findley, L.J.; Yuen, A.W.C. Lamotrigine versus Placebo in the Prophylaxis of Migraine with and without Aura. Cephalalgia 1997, 17, 109–112. [Google Scholar] [CrossRef]
- Lee, M.Y.; Hsiao, Y.C.; Chan, M.H.; Chen, H.H. Lamotrigine Attenuates the Motivation to Self-Administer Ketamine and Prevents Cue- and Prime-Induced Reinstatement of Ketamine-Seeking Behavior in Rats. Drug Alcohol. Depend. 2019, 194, 257–263. [Google Scholar] [CrossRef]
- Huang, M.C.; Chen, L.Y.; Chen, C.K.; Lin, S.K. Potential Benefit of Lamotrigine in Managing Ketamine Use Disorder. Med. Hypotheses 2016, 87, 97–100. [Google Scholar] [CrossRef] [PubMed]
- Finocchi, C.; Villani, V.; Casucci, G. Therapeutic Strategies in Migraine Patients with Mood and Anxiety Disorders: Clinical Evidence. Neurol. Sci. 2010, 31, S95–S98. [Google Scholar] [CrossRef]
- Marchi, N.; Betto, G.; Fazio, V.; Fan, Q.; Ghosh, C.; MacHado, A.; Janigro, D. Blood–Brain Barrier Damage and Brain Penetration of Antiepileptic Drugs: Role of Serum Proteins and Brain Edema. Epilepsia 2009, 50, 664. [Google Scholar] [CrossRef]
- Dickens, D.; Owen, A.; Alfirevic, A.; Giannoudis, A.; Davies, A.; Weksler, B.; Romero, I.A.; Couraud, P.O.; Pirmohamed, M. Lamotrigine Is a Substrate for OCT1 in Brain Endothelial Cells. Biochem. Pharm. 2012, 83, 805–814. [Google Scholar] [CrossRef]
- Fattorusso, A.; Matricardi, S.; Mencaroni, E.; Dell’Isola, G.B.; di Cara, G.; Striano, P.; Verrotti, A. The Pharmacoresistant Epilepsy: An Overview on Existant and New Emerging Therapies. Front. Neurol. 2021, 12, 1030. [Google Scholar] [CrossRef] [PubMed]
- Nigam, K.; Kaur, A.; Tyagi, A.; Nematullah, M.; Khan, F.; Gabrani, R.; Dang, S. Nose-to-Brain Delivery of Lamotrigine-Loaded PLGA Nanoparticles. Drug Deliv. Transl. Res. 2019, 9, 879–890. [Google Scholar] [CrossRef] [PubMed]
- Shah, P.; Dubey, P.; Vyas, B.; Kaul, A.; Mishra, A.K.; Chopra, D.; Patel, P. Lamotrigine Loaded PLGA Nanoparticles Intended for Direct Nose to Brain Delivery in Epilepsy: Pharmacokinetic, Pharmacodynamic and Scintigraphy Study. Artif. Cells Nanomed. Biotechnol. 2021, 49, 511–522. [Google Scholar] [CrossRef]
- Lamotrigine Loaded Nano-Liposomes Enhance Brain Selectivity in Vivo-PubMed. Available online: https://pubmed.ncbi.nlm.nih.gov/34602409/ (accessed on 3 February 2023).
- Liu, J.; He, Y.; Zhang, J.; Li, J.; Yu, X.; Cao, Z.; Meng, F.; Zhao, Y.; Wu, X.; Shen, T.; et al. Functionalized Nanocarrier Combined Seizure-Specific Vector with P-Glycoprotein Modulation Property for Antiepileptic Drug Delivery. Biomaterials 2016, 74, 64–76. [Google Scholar] [CrossRef]
- Han, L.; Jiang, C. Evolution of Blood–Brain Barrier in Brain Diseases and Related Systemic Nanoscale Brain-Targeting Drug Delivery Strategies. Acta Pharm. Sin. B 2021, 11, 2306. [Google Scholar] [CrossRef]
- Hou, Q.; Wang, L.; Xiao, F.; Wang, L.; Liu, X.; Zhu, L.; Lu, Y.; Zheng, W.; Jiang, X. Dual Targeting Nanoparticles for Epilepsy Therapy. Chem. Sci. 2022, 13, 12913. [Google Scholar] [CrossRef] [PubMed]
- Hou, Q.; Zhu, L.; Wang, L.; Liu, X.; Xiao, F.; Xie, Y.; Zheng, W.; Jiang, X. Screening On-Chip Fabricated Nanoparticles for Penetrating the Blood–Brain Barrier. Nanoscale 2022, 14, 3234–3241. [Google Scholar] [CrossRef]
- Pellegrino, M.; Rizza, P.; Nigro, A.; Ceraldi, R.; Ricci, E.; Perrotta, I.; Aquila, S.; Lanzino, M.; Andó, S.; Morelli, C.; et al. FoxO3a Mediates the Inhibitory Effects of the Antiepileptic Drug Lamotrigine on Breast Cancer Growth. Mol. Cancer Res. 2018, 16, 923–934. [Google Scholar] [CrossRef] [PubMed]
- Pellegrino, M.; Rizza, P.; Donà, A.; Nigro, A.; Ricci, E.; Fiorillo, M.; Perrotta, I.; Lanzino, M.; Giordano, C.; Bonofiglio, D.; et al. FoxO3a as a Positive Prognostic Marker and a Therapeutic Target in Tamoxifen-Resistant Breast Cancer. Cancers 2019, 11, 1858. [Google Scholar] [CrossRef]
- Kristensen, K.B.; Pedersen, S.A.; Schmidt, S.A.J.; Pottegård, A. Use of Antiepileptic Drugs and Risk of Skin Cancer: A Nationwide Case-Control Study. J. Am. Acad. Derm. 2020, 82, 326–335. [Google Scholar] [CrossRef]
- Piotrowski, A.F.; Blakeley, J. Clinical Management of Seizures in Patients With Low-Grade Glioma. Semin. Radiat. Oncol. 2015, 25, 219. [Google Scholar] [CrossRef]
- Lee, C.Y.; Lai, H.Y.; Chiu, A.; Chan, S.H.; Hsiao, L.P.; Lee, S.T. The Effects of Antiepileptic Drugs on the Growth of Glioblastoma Cell Lines. J. Neurooncol. 2016, 127, 445–453. [Google Scholar] [CrossRef]
- Bénit, C.P.; Vecht, C.J. Seizures and Cancer: Drug Interactions of Anticonvulsants with Chemotherapeutic Agents, Tyrosine Kinase Inhibitors and Glucocorticoids. Neurooncol. Pract. 2016, 3, 245–260. [Google Scholar] [CrossRef]
- Wang, Z.; Zhang, Y.; Huang, W.; Wang, X.; Ni, X.; Lu, H.; Hu, J.; Deng, S.; Zhu, X.; Xie, H.; et al. Effects of Comedication and Genetic Factors on the Population Pharmacokinetics of Lamotrigine: A Prospective Analysis in Chinese Patients with Epilepsy. Front. Pharm. 2019, 10, 832. [Google Scholar] [CrossRef]
- Pellegrino, M.; Ricci, E.; Ceraldi, R.; Nigro, A.; Bonofiglio, D.; Lanzino, M.; Morelli, C. From HDAC to Voltage-Gated Ion Channels: What’s Next? The Long Road of Antiepileptic Drugs Repositioning in Cancer. Cancers 2022, 14, 4401. [Google Scholar] [CrossRef]
- Methaneethorn, J.; Leelakanok, N. Sources of Lamotrigine Pharmacokinetic Variability: A Systematic Review of Population Pharmacokinetic Analyses. Seizure 2020, 82, 133–147. [Google Scholar] [CrossRef] [PubMed]
- Hussein, Z.; Posner, J. Population Pharmacokinetics of Lamotrigine Monotherapy in Patients with Epilepsy: Retrospective Analysis of Routine Monitoring Data. Br. J. Clin. Pharm. 1997, 43, 457–465. [Google Scholar] [CrossRef] [PubMed]
- Ettinger, A.B.; Weisbrot, D.M.; Saracco, J.; Dhoon, A.; Kanner, A.; Devinsky, O. Positive and Negative Psychotropic Effects of Lamotrigine in Patients with Epilepsy and Mental Retardation. Epilepsia 1998, 39, 874–877. [Google Scholar] [CrossRef] [PubMed]
- Edinoff, A.N.; Nguyen, L.H.; Fitz-Gerald, M.J.; Crane, E.; Lewis, K.; Pierre, S.S.; Kaye, A.D.; Kaye, A.M.; Kaye, J.S.; Kaye, R.J.; et al. Lamotrigine and Stevens-Johnson Syndrome Prevention. Psychopharmacol. Bull. 2021, 51, 96. [Google Scholar]
- Vázquez, M.; Maldonado, C.; Guevara, N.; Rey, A.; Fagiolino, P.; Carozzi, A.; Azambuja, C. Lamotrigine-Valproic Acid Interaction Leading to Stevens–Johnson Syndrome. Case Rep. Med. 2018, 2018, 5371854. [Google Scholar] [CrossRef]
- Zimmerman, D.; Dang, N.H. Stevens–Johnson Syndrome (SJS) and Toxic Epidermal Necrolysis (TEN): Immunologic Reactions. Oncol. Crit. Care 2019, 12, 267–280. [Google Scholar] [CrossRef]
- Trivedi, B.S.; Darji, N.H.; Malhotra, S.D.; Patel, P.R. Antiepileptic Drugs-Induced Stevens–Johnson Syndrome: A Case Series. J. Basic Clin. Pharm. 2016, 8, 42. [Google Scholar] [CrossRef] [PubMed]
- Lamictal (Lamotrigine): Drug Safety Communication-Studies Show Increased Risk of Heart Rhythm Problems in Patients with Heart Disease|FDA. Available online: https://www.fda.gov/safety/medical-product-safety-information/lamictal-lamotrigine-drug-safety-communication-studies-show-increased-risk-heart-rhythm-problems (accessed on 6 March 2023).
- Sartiani, L.; Romanelli, M.; Mugelli, A.; Cerbai, E. Updates on HCN Channels in the Heart: Function, Dysfunction and Pharmacology. Curr. Drug Targets 2015, 16, 868–876. [Google Scholar] [CrossRef] [PubMed]
- Scicchitano, P.; Carbonara, S.; Ricci, G.; Mandurino, C.; Locorotondo, M.; Bulzis, G.; Gesualdo, M.; Zito, A.; Carbonara, R.; Dentamaro, I.; et al. HCN Channels and Heart Rate. Molecules 2012, 17, 4225. [Google Scholar] [CrossRef] [PubMed]
- French, J.A.; Perucca, E.; Sander, J.W.; Bergfeldt, L.; Baulac, M.; Auerbach, D.S.; Keezer, M.; Thijs, R.D.; Devinsky, O.; Vossler, D.G.; et al. FDA Safety Warning on the Cardiac Effects of Lamotrigine: An Advisory from the Ad Hoc ILAE/AES Task Force. Epilepsia Open 2021, 6, 45. [Google Scholar] [CrossRef] [PubMed]

Disclaimer/Publisher’s Note: The statements, opinions and data contained in all publications are solely those of the individual author(s) and contributor(s) and not of MDPI and/or the editor(s). MDPI and/or the editor(s) disclaim responsibility for any injury to people or property resulting from any ideas, methods, instructions or products referred to in the content. |
© 2023 by the authors. Licensee MDPI, Basel, Switzerland. This article is an open access article distributed under the terms and conditions of the Creative Commons Attribution (CC BY) license (https://creativecommons.org/licenses/by/4.0/).
Share and Cite
Costa, B.; Vale, N. Understanding Lamotrigine’s Role in the CNS and Possible Future Evolution. Int. J. Mol. Sci. 2023, 24, 6050. https://doi.org/10.3390/ijms24076050
Costa B, Vale N. Understanding Lamotrigine’s Role in the CNS and Possible Future Evolution. International Journal of Molecular Sciences. 2023; 24(7):6050. https://doi.org/10.3390/ijms24076050
Chicago/Turabian StyleCosta, Bárbara, and Nuno Vale. 2023. "Understanding Lamotrigine’s Role in the CNS and Possible Future Evolution" International Journal of Molecular Sciences 24, no. 7: 6050. https://doi.org/10.3390/ijms24076050
APA StyleCosta, B., & Vale, N. (2023). Understanding Lamotrigine’s Role in the CNS and Possible Future Evolution. International Journal of Molecular Sciences, 24(7), 6050. https://doi.org/10.3390/ijms24076050

