Lymphocyte-to-C-Reactive Protein (LCR) Ratio Is Not Accurate to Predict Severity and Mortality in Patients with COVID-19 Admitted to the ED
Abstract
1. Introduction
2. Results
2.1. Characteristics of the Study Population
2.2. Biochemichal Factors Associated with Severe COVID-19
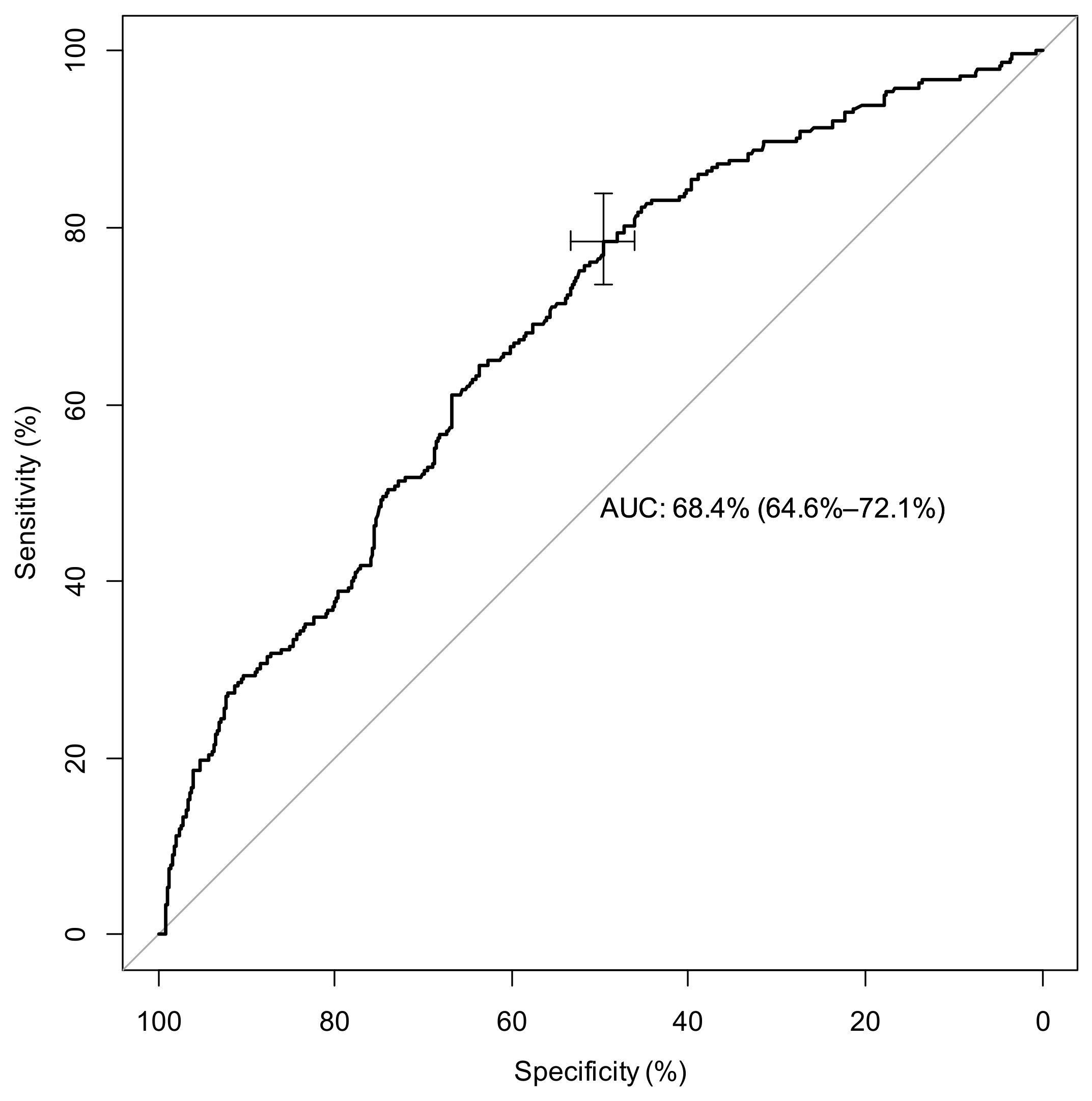
2.3. Predictive Factors of Severe COVID-19
2.4. Biochemical Factors Associated with Mortality
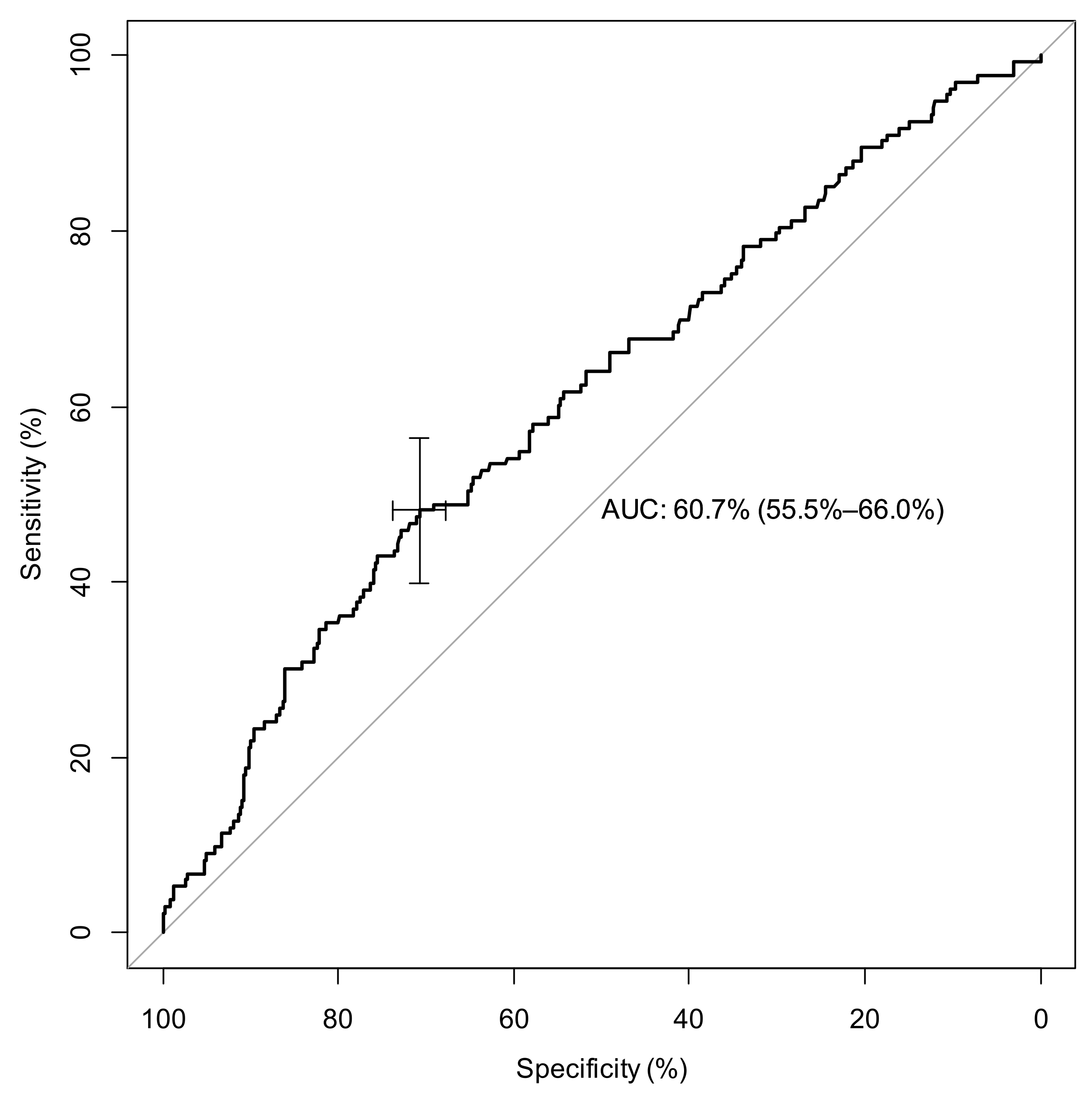
2.5. Predictive Factors of Mortality
3. Discussion
Limitations
4. Materials and Methods
4.1. Study Population and Settings
4.2. Data Collection
4.3. Ethics
4.4. Statistical Analysis
5. Conclusions
Author Contributions
Funding
Institutional Review Board Statement
Informed Consent Statement
Data Availability Statement
Conflicts of Interest
References
- Peeling, R.W.; Heymann, D.L.; Teo, Y.Y.; Garcia, P.J. Diagnostics for COVID-19: Moving from pandemic response to control. Lancet 2022, 399, 757–768. [Google Scholar] [CrossRef] [PubMed]
 - Utsumi, M.; Inagaki, M.; Kitada, K.; Tokunaga, N.; Kondo, M.; Yunoki, K.; Sakurai, Y.; Hamano, R.; Miyasou, H.; Tsunemitsu, Y.; et al. Lymphocyte-to-C-Reactive Protein Ratio Predicts Prognosis in Patients With Colorectal Liver Metastases Post-hepatic Resection: A Retrospective Study. Anticancer Res. 2022, 42, 4963–4971. [Google Scholar] [CrossRef] [PubMed]
 - Zhao, Q.; Meng, M.; Kumar, R.; Wu, Y.; Huang, J.; Deng, Y.; Weng, Z.; Yang, L. Lymphopenia is associated with severe coronavirus disease 2019 (COVID-19) infections: A systemic review and meta-analysis. Int. J. Infect. Dis. 2020, 96, 131–135. [Google Scholar] [CrossRef] [PubMed]
 - Simon, M.; Le Borgne, P.; Lefevbre, F.; Chabrier, S.; Cipolat, L.; Remillon, A.; Baicry, F.; Bilbault, P.; Lavoignet, C.E.; Abensur Vuillaume, L. Lymphopenia and Early Variation of Lymphocytes to Predict In-Hospital Mortality and Severity in ED Patients with SARS-CoV-2 Infection. J. Clin. Med. 2022, 11, 1803. [Google Scholar] [CrossRef] [PubMed]
 - Wang, G.; Wu, C.; Zhang, Q.; Wu, F.; Yu, B.; Lv, J.; Li, Y.; Li, T.; Zhang, S.; Wu, C.; et al. C-Reactive Protein Level May Predict the Risk of COVID-19 Aggravation. Open Forum Infect. Dis. 2020, 7, ofaa153. [Google Scholar] [CrossRef] [PubMed]
 - Tan, C.; Huang, Y.; Shi, F.; Tan, K.; Ma, Q.; Chen, Y.; Jiang, X.; Li, X. C-reactive protein correlates with computed tomographic findings and predicts severe COVID-19 early. J. Med. Virol. 2020, 92, 856–862. [Google Scholar] [CrossRef]
 - Iseda, N.; Iguchi, T.; Hirose, K.; Itoh, S.; Honboh, T.; Sadanaga, N.; Matsuura, H. Prognostic Impact of Lymphocyte-to-C-Reactive Protein Ratio in Patients Who Underwent Surgical Resection for Pancreatic Cancer. Am. Surg. 2022, 31348221117034, Epub ahead of print. [Google Scholar] [CrossRef]
 - Xiong, J.; Hu, H.; Kang, W.; Li, Y.; Jin, P.; Shao, X.; Li, W.; Tian, Y. Peking Prognostic Score, Based on Preoperative Sarcopenia Status, Is a Novel Prognostic Factor in Patients With Gastric Cancer. Front. Nutr. 2022, 6, 910271. [Google Scholar] [CrossRef]
 - Suzuki, S.; Akiyoshi, T.; Oba, K.; Otsuka, F.; Tominaga, T.; Nagasaki, T.; Fukunaga, Y.; Ueno, M. Comprehensive Comparative Analysis of Prognostic Value of Systemic Inflammatory Biomarkers for Patients with Stage II/III Colon Cancer. Ann. Surg. Oncol. 2020, 27, 844–852. [Google Scholar] [CrossRef]
 - Pepys, M.B.; Hirschfield, G.M. C-reactive protein: A critical update. J. Clin. Investig. 2003, 111, 1805–1812. [Google Scholar] [CrossRef]
 - Cavaillon, J.-M.C.; Réaction Inflammatoire. Encycl Universalis. Available online: https://www.universalis.fr/encyclopedie/reaction-inflammatoire/7-regulation-negative-de-l-inflammation-et-phase-de-resolution/ (accessed on 2 December 2022).
 - Beniac, D.R.; Andonov, A.; Grudeski, E.; Booth, T.F. Architecture of the SARS coronavirus prefusion spike. Nat. Struct. Mol. Biol. 2006, 13, 751–752. [Google Scholar] [CrossRef]
 - Millet, J.K.; Whittaker, G.R. Host cell entry of Middle East respiratory syndrome coronavirus after two-step, furin-mediated activation of the spike protein. Proc. Natl. Acad. Sci. USA 2014, 111, 15214–15219. [Google Scholar] [CrossRef] [PubMed]
 - Liu, Y.; Du, X.; Chen, J.; Jin, Y.; Peng, L.; Wang, H.H.; Luo, M.; Chen, L.; Zhao, Y. Neutrophil-to-lymphocyte ratio as an independent risk factor for mortality in hospitalized patients with COVID-19. J. Infect. 2020, 81, e6–e12. [Google Scholar] [CrossRef] [PubMed]
 - Abensur Vuillaume, L.; Le Borgne, P.; Alamé, K.; Lefebvre, F.; Bérard, L.; Delmas, N.; Cipolat, L.; Gennai, S.; Bilbault, P.; Lavoignet, C.E.; et al. Neutrophil-to-Lymphocyte Ratio and Early Variation of NLR to Predict In-Hospital Mortality and Severity in ED Patients with SARS-CoV-2 Infection. J. Clin. Med. 2021, 10, 2563. [Google Scholar] [CrossRef] [PubMed]
 - Lagunas-Rangel, F.A. Neutrophil-to-lymphocyte ratio and lymphocyte-to-C-reactive protein ratio in patients with severe coronavirus disease 2019 (COVID-19): A meta analysis. J. Med. Virol. 2020, 92, 1733–1734. [Google Scholar] [CrossRef] [PubMed]
 - Ullah, W.; Basyal, B.; Tariq, S.; Almas, T.; Saeed, R.; Roomi, S.; Haq, S.; Madara, J.; Boigon, M.; Haas, D.C.; et al. Lymphocyte-to-C-Reac tive Protein Ratio: A novel predictor of adverse outcomes in COVID-19. J. Clin. Med. Res. 2020, 12, 415–422. [Google Scholar] [CrossRef] [PubMed]
 - Albarrán-Sánchez, A.; González-Ríos, R.D.; Alberti-Minutti, P.; Noyola-García, M.E.; Contreras-García, C.E.; Anda-Garay, J.C.; Martínez-Ascencio, L.E.; Castillo-López, D.J.; Reyes-Naranjo, L.A.; Guízar-García, L.A.; et al. Association of neutrophil-to-lymphocyte and lymphocyte-to-C-reactive protein ratios with COVID 19-related mortality. Gac. Med. Mex. 2020, 156, 563–568. [Google Scholar] [CrossRef] [PubMed]
 - Gandino, I.J.; Padilla, M.J.; Carreras, M.; Caballero, V.; López Griskan, S.; Carlos, J.; Ametla, Y.; Borodowski, H.; Ladelfa, J.; Themines, S.; et al. Índice linfocito proteína C reactiva en COVID-19: Una herramienta poco explorada [Lymphocyte-to-C-reactive protein ratio in COVID-19: An unexplored tool]. Medicina 2022, 82, 689–694. (In Spanish) [Google Scholar]
 - Rush, C.J.; Campbell, R.T.; Jhund, P.S.; Petrie, M.C.; McMurray, J.J.V. Association is not causation: Treatment effects cannot be estimated from observational data in heart failure. Eur. Heart J. 2018, 39, 3417–3438. [Google Scholar] [CrossRef] [PubMed]
 - Bradford Hill, A. The Environment and Disease: Association or Causation? R. Soc. Med. 1965, 58, 295–300. [Google Scholar] [CrossRef]
 - Zhou, P.; Yang, X.L.; Wang, X.G.; Hu, B.; Zhang, L.; Zhang, W. A pneumonia outbreak associated with a new coronavirus of probable bat origin. Nature 2020, 579, 270–273. [Google Scholar] [CrossRef] [PubMed]
 - Vabret, N.; Britton, G.J.; Gruber, C.; Hegde, S.; Kim, J.; Kuksin, M. Immunology of COVID-19: Current state of the science. Immunity 2020, 52, 910–941. [Google Scholar] [CrossRef]
 - Commins, S.P.; Borish, L.; Steinke, J.W. Immunologic messenger molecules: Cytokines, interferons, and chemokines. J. Allergy Clin. Immunol. 2010, 125, S53–S72. [Google Scholar] [CrossRef] [PubMed]
 - Huang, C.; Wang, Y.; Li, X.; Ren, L.; Zhao, J.; Hu, Y. Clinical features of patients infected with 2019 novel coronavirus in Wuhan, China. Lancet 2020, 395, 497–506. [Google Scholar] [CrossRef] [PubMed]
 - Wang, D.; Hu, B.; Hu, C.; Zhu, F.; Liu, X.; Zhang, J. Clinical characteristics of 138 hospitalized patients with 2019 novel coronavirus–infected pneumonia in Wuhan, China. JAMA 2020, 323, 1061–1069. [Google Scholar] [CrossRef] [PubMed]
 - Bravata, D.M.; Perkins, A.J.; Myers, L.J.; Arling, G.; Zhang, Y.; Zillich, A.J.; Reese, L.; Dysangco, A.; Agarwal, R.; Myers, J.; et al. Association of Intensive Care Unit Patient Load and Demand with Mortality Rates in US Department of Veterans Affairs Hospitals During the COVID-19 Pandemic. JAMA Netw. Open 2021, 4, e2034266. [Google Scholar] [CrossRef] [PubMed]
 - Trofin, F.; Nastase, E.-V.; Vâță, A.; Iancu, L.S.; Luncă, C.; Buzilă, E.R.; Vlad, M.A.; Dorneanu, O.S. The Immune, Inflammatory and Hematological Response in COVID-19 Patients, According to the Severity of the Disease. Microorganisms 2023, 11, 319. [Google Scholar] [CrossRef]
 - Parthasarathi, A.; Padukudru, S.; Arunachal, S.; Basavaraj, C.K.; Krishna, M.T.; Ganguly, K.; Upadhyay, S.; Anand, M.P. The Role of Neutrophil-to-Lymphocyte Ratio in Risk Stratification and Prognostication of COVID-19: A Systematic Review and Meta-Analysis. Vaccines 2022, 10, 1233. [Google Scholar] [CrossRef]
 - Lee, S.W. Regression analysis for continuous independent variables in medical research: Statistical standard and guideline of Life Cycle Committee. Life Cycle 2022, 2, e3. [Google Scholar] [CrossRef]
 


| All Patients (n = 1035)  | Moderate COVID-19 (n = 789)  | Severe COVID-19 (n = 246)  | p Value | ||
|---|---|---|---|---|---|
| Age (years) | 69.0 (58.0; 79.0) | 70.0 (58.0; 81.0) | 66.0 (57.3; 72.0) | <0.001 * | |
| Male (%) | 609 (58.8) | 433 (54.9) | 176 (71.5) | <0.001 * | |
| Smokers | 46 (4.4) | 34 (4.3) | 12 (4.9) | 0.706 | |
| Comorbidities | |||||
| Hypertension | 587 (56.7) | 453 (57.4) | 134 (54.5) | 0.416 | |
| Diabetes | 275 (26.6) | 202 (25.6) | 73 (29.7) | 0.207 | |
| Obesity | BMI (30; 40) (kg/m2) | 253 (33.2) | 172 (31.2) | 81 (38.6) | 0.056 | 
| ≥40 (kg/m2) | 28 (3.7) | 21 (3.8) | 7 (3.3) | 0.966 | |
| COPD | 56 (5.4) | 44 (5.6) | 12 (4.9) | 0.672 | |
| Pre-existing renal failure | 237 (23.2) | 199 (25.5) | 38 (15.8) | 0.002 * | |
| Cardiovascular disease | 357 (34.5) | 291 (36.9) | 66 (26.8) | 0.004 * | |
| Lab results | |||||
| Neutrophiles, ×109 per L | 4.930 (3.430; 6.932) | 4.730 (3.370; 6.620) | 5.510 (3.760; 8.160) | <0.001 * | |
| Lymphocytes, ×109 per L | 0.870 (0.630; 1.200) | 0.900 (0.640; 1.220) | 0.780 (0.590; 1.122) | 0.003 * | |
| Platelets, ×109 per L | 194.5 (152.0; 248.0) | 196.0 (154.0; 247.0) | 192.0 (144.0; 253.0) | 0.518 | |
| CRP, mg/L | 81.0 (39.0; 142.3) | 68.0 (33.0; 128.0) | 124.0 (76.0; 192.0) | <0.001 * | |
| LCR | 10.35 (5.28; 25.53) | 12.63 (6.05; 31.67) | 6.24 (3.32; 12.0) | <0.001 * | |
| Mortality n (%) | 139 (13.6) | 82 (10.4) | 57 (24.1) | <0.001 * | |
| Hospitalization duration (days) | 10.0 (7.0; 17.3) | 8.0(6.0; 12.0) | 24.0(17.0; 38.0) | <0.001 * | |
| Moderate COVID | Severe COVID | Univariate Analysis | Multivariate Analysis | |||
|---|---|---|---|---|---|---|
| OR IC 95% | p | OR IC 95% | p | |||
| Lymphocytes 109/L | 0.900 (0.640; 1.220) | 0.780 (0.590; 1.122) | 0.827 (0.616; 1.110) | 0.206 | 1.154 (0.825; 1.613) | 0.403 | 
| CRP, mg/L | 68.0 (33.0; 128.0) | 124.0 (76.0; 192.0) | 1.009 (1.007; 1.011) | <0.001 | 1.009 (1.006; 1.011) | <0.001 * | 
| LCR | 12.63 (6.05; 31.67) | 6.24 (3.32; 12.0) | 0.990 (0.985; 0.996) | <0.001 | 0.999 (0.995; 1.002) | 0.476 | 
| Surviving Patient | Deceased Patient | Univariate Analysis | Multivariate Analysis | |||
|---|---|---|---|---|---|---|
| OR IC 95% | p | OR IC 95% | p | |||
| Lymphocytes 109/L | 0.890 (0.650; 1.220) | 0.720 (0.500.; 1.000) | 0.524 (0.336; 0.815) | 0.004 * | 0.739 (0.403; 1.358) | 0.330 | 
| CRP (mg/L) | 78.5 (37.0; 139.0) | 100.0 (56.0; 158.0) | 1.003 (1.001; 1.005) | 0.006 | 1.001 (0.997; 1.004) | 0.599 | 
| LCR | 11.05 (5.64; 27.81) | 7.33 (3.85; 18.37) | 0.998 (0.995; 1.001) | 0.253 | 0.996 (0.988; 1.004) | 0.354 | 
| ≥Threshold ROC 12.79 n (%) | <Threshold ROC 12.79 n (%) | Univariate Analysis | Multivariate Analysis | Propensity Score Analysis | ||||
|---|---|---|---|---|---|---|---|---|
| OR IC 95% | p | OR IC 95% | p | OR IC 95% | p | |||
| Severe COVID-19 | 52 (11.9) | 190 (32.8) | 3.607 (2.574; 5.055)  | <0.001 * | 2.025 (1.179; 3.479)  | 0.011 * | 2.955 (2.002; 4.363)  | <0.001 * | 
| Moderate COVID-19 | 385 (88.1) | 390 (67.2) | ||||||
| Deceased Patient | 43 (9.9) | 90 (15.8) | 1.406 (1.158; 2.512)  | 0.007 * | 1.160 (0.571; 2.356)  | 0.681 | 1.133 (0.677; 1.897)  | 0.635 | 
| Surviving Patient | 392 (90.1) | 481 (84.2) | ||||||
Disclaimer/Publisher’s Note: The statements, opinions and data contained in all publications are solely those of the individual author(s) and contributor(s) and not of MDPI and/or the editor(s). MDPI and/or the editor(s) disclaim responsibility for any injury to people or property resulting from any ideas, methods, instructions or products referred to in the content.  | 
© 2023 by the authors. Licensee MDPI, Basel, Switzerland. This article is an open access article distributed under the terms and conditions of the Creative Commons Attribution (CC BY) license (https://creativecommons.org/licenses/by/4.0/).
Share and Cite
Abensur Vuillaume, L.; Lefebvre, F.; Benhamed, A.; Schnee, A.; Hoffmann, M.; Godoy Falcao, F.; Haber, N.; Sabah, J.; Lavoignet, C.-E.; Le Borgne, P., on behalf of the CREMS Network (Clinical Research in Emergency Medicine and Sepsis). Lymphocyte-to-C-Reactive Protein (LCR) Ratio Is Not Accurate to Predict Severity and Mortality in Patients with COVID-19 Admitted to the ED. Int. J. Mol. Sci. 2023, 24, 5996. https://doi.org/10.3390/ijms24065996
Abensur Vuillaume L, Lefebvre F, Benhamed A, Schnee A, Hoffmann M, Godoy Falcao F, Haber N, Sabah J, Lavoignet C-E, Le Borgne P on behalf of the CREMS Network (Clinical Research in Emergency Medicine and Sepsis). Lymphocyte-to-C-Reactive Protein (LCR) Ratio Is Not Accurate to Predict Severity and Mortality in Patients with COVID-19 Admitted to the ED. International Journal of Molecular Sciences. 2023; 24(6):5996. https://doi.org/10.3390/ijms24065996
Chicago/Turabian StyleAbensur Vuillaume, Laure, François Lefebvre, Axel Benhamed, Amandine Schnee, Mathieu Hoffmann, Fernanda Godoy Falcao, Nathan Haber, Jonathan Sabah, Charles-Eric Lavoignet, and Pierrick Le Borgne on behalf of the CREMS Network (Clinical Research in Emergency Medicine and Sepsis). 2023. "Lymphocyte-to-C-Reactive Protein (LCR) Ratio Is Not Accurate to Predict Severity and Mortality in Patients with COVID-19 Admitted to the ED" International Journal of Molecular Sciences 24, no. 6: 5996. https://doi.org/10.3390/ijms24065996
APA StyleAbensur Vuillaume, L., Lefebvre, F., Benhamed, A., Schnee, A., Hoffmann, M., Godoy Falcao, F., Haber, N., Sabah, J., Lavoignet, C.-E., & Le Borgne, P., on behalf of the CREMS Network (Clinical Research in Emergency Medicine and Sepsis). (2023). Lymphocyte-to-C-Reactive Protein (LCR) Ratio Is Not Accurate to Predict Severity and Mortality in Patients with COVID-19 Admitted to the ED. International Journal of Molecular Sciences, 24(6), 5996. https://doi.org/10.3390/ijms24065996
        
