Abstract
Obtaining homozygous lines from transgenic plants is an important step for phenotypic evaluations, but the selection of homozygous plants is time-consuming and laborious. The process would be significantly shortened if anther or microspore culture could be completed in one generation. In this study, we obtained 24 homozygous doubled haploid (DH) transgenic plants entirely by microspore culture from one T0 transgenic plant overexpressing the gene HvPR1 (pathogenesis-related-1). Nine of the doubled haploids grew to maturity and produced seeds. qRCR (quantitative real-time PCR) validation showed that the HvPR1 gene was expressed differentially even among different DH1 plants (T2) from the same DH0 line (T1). Phenotyping analysis suggested that the overexpression of HvPR1 inhibited nitrogen use efficiency (NUE) only under low nitrogen treatment. The established method of producing homozygous transgenic lines will enable the rapid evaluation of transgenic lines for gene function studies and trait evaluation. As an example, the HvPR1 overexpression of DH lines also could be used for further analysis of NUE-related research in barley.
1. Introduction
Barley is the fourth largest cereal crop in the world and also one of the most important crops in China. It has been part of the modern agricultural industry technology systems of China since 2007 [1]. Cell engineering breeding based on anther and microspore culture is an important component of the barley breeding system and these techniques have been widely used in barley breeding and scientific research in China. This has been facilitated by improvements in microspore culture techniques, including genotype-independent microspore culture, and the combination of mutagenesis and hybridization with microspore culture to produce new DH lines [2,3,4,5].
Transgenesis is increasingly used in barley gene function analysis and breeding. However, it is time-consuming and laborious to obtain homozygous transgenic plants by traditional means. The production of doubled haploid (DH) plants from the T0 plants could substantially speed up the process, and transgenic DH plants could be selected without further consideration of heterozygosity. Thus, the production of DH plants would greatly improve the efficiency of transgenic-related research or breeding in barley and other crops.
The Green Revolution based on the incorporation of dwarfing genes into breeding programs and the use of inorganic chemical fertilization (especially nitrogen fertilizer) has led to huge increases in crop yields [6]. However, this mode of crop production is now facing many problems [7,8] and new strategies for improving crop yield while reducing N inputs are receiving more attention. Previously, we found a special response of the barley pathogenesis-related 1 (HvPR1) gene to low nitrogen stress in the barley cultivar BI-04, based on RNA-seq data (NCBI accession number: PRJNA400519) [9]. In this study, we aimed to combine transgenesis with microspore culture to generate doubled haploid (DH, homozygous) transgenic barley plants overexpressing the HvPR1 gene, and verify its function in low nitrogen stress as well as its effects on nitrogen use efficiency (NUE). The workflow that was established will be beneficial to the study of gene function and breeding in barley, and also provide an example for other crops.
2. Results
2.1. Plant Transformation and Microspore Culture
The HvPR1 gene was cloned into the modified binary plasmid pCAMBIA1301-FLAG with a hygromycin resistance marker gene (Table 1). The recombinant plasmid was transformed into Agrobacterium tumefaciens and the Agrobacterium tumefaciens with the recombinant plasmid was used for the infection of immature embryos of the barley cultivar Golden Promise for genetic transformation. In total, eighteen T0 plantlets were regenerated and transplanted in an artificial climate room, and eleven of these survived to form seedlings (Figure 1A,B). These seedlings were screened by PCR amplification of the hygromycin resistance marker gene, and eight of them were positive (Figure 1B). A total of 46 DH0 plants (T1) were obtained just from the 10th T0 transgenic plant, and 43 of them survived to form seedlings (Table 2; Figure 1C). Among these surviving seedlings, 24 were shown to be transgenic (Figure 1D), and 9 of these grew to maturity and produced seeds. Therefore, a method was established for the efficient and rapid generation of homozygous transgenic barley plants based on microspore culture (Figure 1E).
Table 1.
Primers used in this study.
Figure 1.
Schemes follow the same formatting. The workflow for the generation of homozygous transgenic barley plants by microspore culture. (A) Transformation in barley. (B) Identification of transgenic barley plants in the T0 generation by normal PCR; different lanes of the gel represent different T0 plants (see Supplementary Materials Figure S1). (C) Microspore culture of transgenic T0 barley plants. (D) Identification of transgenic barley doubled haploid (DH0) plants (T1); different numbers represent different DH0 plants from the 10th T0 plant (see Supplementary Materials Figure S2). (E) Summary of the workflow. “N” means the negative control sample (H2O); “M” means the marker of DNA ladders.
Table 2.
The summary of the microspore culture of transgenic plants.
2.2. PCR Detection and qPCR Validation of Transgenic Plants
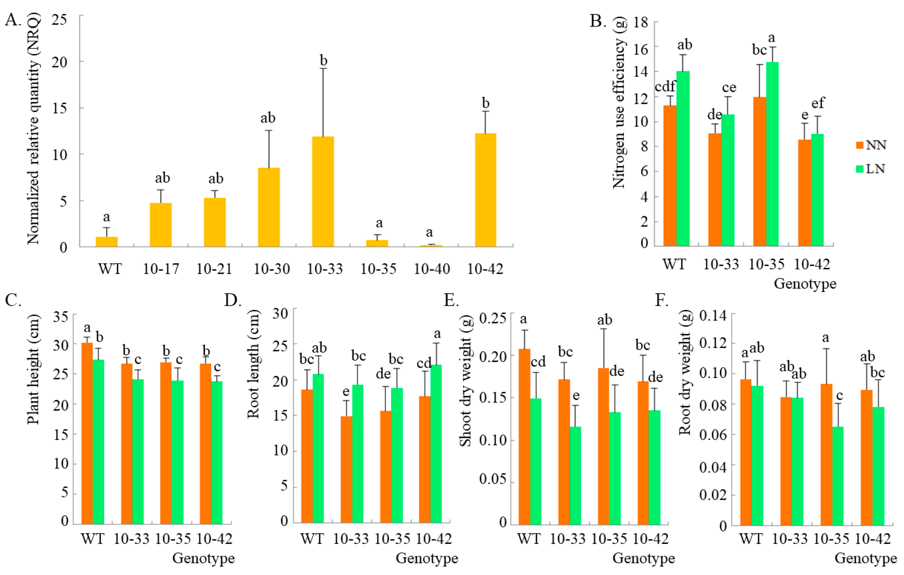
Considering the relatively small number of transgenic seedlings (T0 plants) and the statistics, PCR detection alone was used for transgenic detection. The transgenic rate was very high, indicating that the transgenic screening system was very effective. PCR and qPCR analysis were used together for the detection of transgenic DH0 lines. From the PCR detection, more than half of the plants were positive. However, fewer plants grew to maturity and produced seeds, indicating that some might not have completed chromosome doubling. This might have been caused by the barley genotype or weak growth due to the transgenesis. Seven transgenic DH0 lines with enough seeds (DH1 generation) were used for the qPCR analysis of the HvPR1 gene at seedling stage, and only two of them had significantly higher gene expression than the wild type (WT) (Figure 2A). This might be related to the microspore culture process and the differences between individual transgenic plants. Thus, the transgenic DH1 lines (T2) of 10–33 and 10–42 were taken for functional analysis of the HvPR1 gene.
Figure 2.
Gene transcription analysis and phenotypic investigation of transgenic seedlings. (A) Validation of HvPR1 transcription by qPCR. (B) Nitrogen use efficiency (NUE, NUE = SDW/SNC). (C) Plant height (PH). (D) Root length (RL). (E) Shoot dry weight (SDW). (F) Root dry weight (RDW). Means and standard deviations (standard errors for NRQ) are shown, and different letters indicate significant differences (p < 0.05, analyzed using the LSD test for all values). n = 3 for NRQ and NUE, respectively; n = 10 for PH, RL, SDW and RDW, respectively. WT: wild type; 10–33 and 10–42: the positive transgenic DH1 lines; 10–35: the negative transgenic DH1 line; NN: normal nitrogen supply (CK); LN: low nitrogen stress.
2.3. Phenotypic Identification by Using HvPR1 Overexpression Plants under Low-Nitrogen Treatment
To verify the function of the HvPR1 gene under low nitrogen stress, the nitrogen use efficiency (NUE) and morphological traits were investigated under normal nitrogen (NN, control) and low nitrogen (LN) treatments at seedling stage (Figure 2). It was found that the NUE of WT and all DH1 lines increased under the low nitrogen treatment compared with the normal nitrogen treatment, but only WT and 10–35 (the negative transgenic DH1 line) were significant (Figure 2B). Comparing to the WT, it was found that the NUE of transgenic DH1 line of 10–42 was significantly lower than that of the WT under NN treatment, but the NUE of both 10–33 and 10–42 was significantly lower than that of WT under LN treatment (Figure 2B). In addition, there were no significant differences in NUE between WT and 10–35 under NN or LN treatment. For other traits, there were significant reductions in plant height (PH) and shoot dry weight (SDW) under the LN treatment compared with NN treatment in WT and all DH1 lines, and there were reductions in root dry weight (RDW) under the LN treatment compared to the NN treatment in WT and all DH1 lines, but this was only significant in 10–35. However, the root length (RL) was different, being significantly increased under LN treatment compared with NN treatment in all DH lines except the WT (Figure 2C–E). Compared with the WT, it was found that the PH of all DH1 lines was significantly reduced under both nitrogen treatments, while there were significant reductions in SDW in the 10–33 and 10–42 lines under NN treatment and significant reductions in SDW only in the 10–33 line under LN treatment. There were significant reductions in RDW only in the 10–35 line, and there were significant increases in RL in the 10–33 and 10–35 lines under NN treatment (Figure 2C–E). These results indicate that the inhibition of plant growth by LN treatment might be mainly reflected in shoots at first. The overexpression of the HvPR1 gene could inhibit plant growth even under the NN treatment, while the inhibition of NUE was mainly reflected under the LN treatment.
3. Discussion
The homozygosity of transgenes is necessary for phenotyping and trait evaluation. For a long time, scientists have tried to create homozygous transgenes quickly by genetically modifying haploid cells and then doubling them. Transformations based on anthers or microspores are most commonly used in barley [10,11,12,13]. However, the rapid generation of homozygous, transgenic T0 plants by the microspore culture of T0 pollens seemed to be the simpler option. Recently, the rapid generation of homozygous transgenic barley DH plants by anther culture of T0 pollen has also been reported [14]. However, microspore culture is more efficient and advantageous in producing DH plants [15]. Moreover, a microspore culture technology system that is genotype-independent and has a high rate of regeneration of green plants is now established, enabling more than one thousand DH plants to be derived from a single parent plant. This technology has become the main technical approach for barley DH line production used in scientific research and breeding in China [16]. Therefore, it may be more suitable to develop homozygous barley transgenics based on the microspore culture of T0 pollen.
The Agrobacterium-mediated transformation of immature embryos of the variety Golden Promise is very successful and widely used [13]. In our study, eight of eleven T0 plants were positive by PCR detection (with a rate of about 73%), showing that the Agrobacterium-mediated transformation was very efficient. However, we only obtained DH plants from T0-6 and T0-10 plants. This was most likely due to the poor state of growth of these transgenic plants. Moreover, many transgenic DH0 lines from the T0-10 plants were sterile (with a rate of 62.5%), as were non-transgenic DH0 lines. The reduced fertility might be due to transformation [10]. Additionally, high rates of haploids were also observed in anther culture [14]. Normally, after transplanting in the nursery, regenerated seedlings are treated with 0.1% colchicine for chromosomal doubling, but this step is currently omitted due to the high rate of spontaneous chromosomal doubling of barley and the high efficiency of our culture system [3,15]. In this case, the artificial chromosomal doubling was necessary to improve the fertility of the regenerated green plants from the microspore culture of T0 pollen. In addition, there were high rates of albino plants in the anther culture [13,14], while this was not a problem in microspore culture. Considering the high efficiency of microspore culture and the difficulty of transformation of microspores, the establishment of a homozygous transgenic system based on the microspore culture of T0 pollen, especially genotype-independent microspore culture for the rapid generation of homozygous transgenic barley plants.
Research on the PR1 gene mainly focuses on disease resistance in plants, while recent studies have shown that it may be involved in a variety of abiotic and biotic stresses [17,18]. However, the role of the PR1 gene in low nitrogen tolerance or nitrogen use efficiency in barley has not been reported. In this study, we found that the HvPR1 gene inhibited nitrogen use efficiency under low nitrogen treatment, and overexpression of HvPR1 also affected barley growth even under a normal nitrogen supply. Therefore, the acquisition of homozygous transgenic barley lines will be of great benefit for further research. At the same time, we also found that only two DH1 lines showed significant upregulation of the HvPR1 gene. This suggested the possibility of gene silencing or transgene loss, which had been reported previously [19]. This was not observed in anther culture using normal RT-PCR validation [14].
4. Materials and Methods
4.1. Gene Cloning and Overexpression Vector Construction for the HvPR1 Gene
Leaves of barley cultivar BI-04 were used for RNA extraction. RNA extraction and cDNA synthesis were performed according to Chen et al. [20]. The cDNA was used as the template to clone the full length of HvPR1 cDNA (GenBank: Z21494.1). Its coding region, minus the stop codon, was further sub-cloned into the modified binary plasmid pCAMBIA1301-FLAG using the LR cloning system (Thermo Fisher Scientific, Waltham, MA, USA), according to He et al. [21]. pCAMBIA1301-FLAG also contains a hygromycin resistance marker gene. The primers used for gene cloning and vector construction are listed in Table 1.
4.2. Barley Transformation of HvPR1 Gene Mediated with Agrobacterium
The recombinant plasmid was transformed into the Agrobacterium tumefaciens strain AGL1 and Agrobacterium tumefaciens with the recombinant plasmid used for the infection of immature embryos of the barley cultivar Golden Promise for genetic transformation according to Shen et al. [22]. The single colony of Agrobacterium AGL1 within the HvPR1 vector was cultured in liquid MG/L medium within Rifampicin and Kanamycin at 28 °C until the OD600 value was around 1.5. Barley spikes of Golden Promise were collected at 15 DAF, when the embryos were approximately 1–2 mm in diameter. Then, the immature seeds were sterilized with 70% ethanol and 10% sodium hypochlorite, respectively. The embryos were isolated from these sterilized seeds, and transferred into CI medium any antibiotics (the scutellum was placed upside). Then, a droplet of the prepared Agrobacterium was inoculated to each scutellum, then transferred to new plates within CI medium for cocultivation (the scutellum was placed downside). Approximately 3 days later, these co-cultured embryos were transferred to new CI medium with the antibiotics Timentin and Hygromycin, as well as copper for callus induction and selection. Yellowish, loosely structured, and distinctly granular calli were selected and transferred to T medium for two weeks. Then, calli with green regions or developing shoots were selected and transferred to modified B1 medium for regeneration. The regenerated barley T0 plants from transformation were transplanted in an artificial climate room, and these seedlings were confirmed by PCR amplification of the hygromycin resistance marker gene. This pair of primers for the hygromycin resistance marker gene is also listed in Table 1.
4.3. Microspore Culture of Transgenic Barley Plants
The confirmed transgenic barley plants (T0) were further used as donor plants for microspore culture according to Lu et al. (Table 2) [3]. Spikes of the transgenic barley plants were collected at mid- to late-uninucleate microspore stage and stored in a refrigerator at 4 °C for 2–3 weeks. These spikes were surface-sterilized with 10% NaClO for 10 min and then rinsed with sterilized water. Approximately 300 anthers were separated and placed into 50 mL centrifuge tubes, and then the isolation buffer was added for microspore isolation. Microspore isolation buffer contained 60 g/L mannitol, 1.1 g/L CaCl2, 0.976 g/L MES and 20 mg/L colchicine. The isolated microspores were suspended with the induction medium and adjusted to a density of 5.0 × 105 microspores/mL. The induction media were mainly based on N6 medium with some modifications. A total of 1 mL or 3 mL of this microspore mixture was transferred into a Petri dish with size of 35 mm × 12 mm (smaller Petri dish) or 60 mm × 15 mm (bigger Petri dish) in size, respectively, then the Petri dishes were sealed with parafilm and incubated in darkness at 25 °C for callus induction. After approximately 19 days, the calli were transferred into 100 mL triangle flasks with 50 mL differentiation medium for plant regeneration at 25 °C under fluorescent lights with a 16 h photoperiod. The differentiation medium was 2/3 MS medium supplemented with kinetin at 1.5 mg/L, 6-BA at 0.5 mg/L, and NAA at 0.05 mg/L, with 30 g/L maltose as the carbon source, and solidified with agar at 6 g/L. Approximately two weeks later, the regenerated shoots were then transferred into 100 mL triangle flasks with 50 mL rooting medium at 25 °C under the fluorescent lights with a 16 h photoperiod for approximately one month. The rooting medium was 1/2 MS medium supplemented with MET (4 mg/L) and NAA (0.05 mg/L), with 30 g/L sucrose as the carbon source and solidified with agar at 6 g/L. Then, the regenerated plantlets (or R0 plants) were cultured in the 1/2 Hoagland nutritional liquid for 2–3 weeks in an artificial climate room. The microspore isolation buffer and introductive mediums were sterilized by filter sterilization, while the regeneration and rooting mediums were sterilized by high-temperature autoclaving (0.11 Mpa, 121 °C for 15 min), and all mediums were adjusted to pH 5.8. The seedlings after transplanting in the nursery were cultivated in pots within soil for harvesting seeds in artificial climate room. These plants were different transgenic DH0 lines and were analyzed by the PCR amplification of the hygromycin resistance marker gene as mentioned above.
4.4. Gene Expression Analysis of HvPR1 by qPCR
The WT and transgenic DH0 lines that could grow to maturity and produce seeds (DH1) were used for qPCR analysis. RNA extraction, cDNA synthesis, and qPCR procedures were mainly conducted according to Chen et al. [20]. Primers used for the HvPR1 gene and reference genes are listed in Table 1. The primers for the HvPR1 gene were designed by Primer-BLAST using the NCBI website, while primers for reference genes were directly taken from Chen et al. [9]. The two most stable reference genes, as calculated by geNorm, were used for normalization: HvGAPDH (glyceraldehyde-3-phosphate dehydrogenase) and HvTUBB6 (beta tubulin 6). The NRQ (normalized relative quantity) was calculated using this formula (NRQ = ). The transformed Cq′ values (Cq′ = log2 (1/NRQ)) were used for the comparisons, and the significant differences in gene expression between the wild type (WT) and the transgenic DH1 shoots were evaluated by the LSD test at the 0.05 level (p < 0.05). There were three biological replicates for WT and each transgenic DH1 line.
4.5. Plant Growth and Low-Nitrogen Treatment
Wild-type (WT) barley seeds and the DH1 seeds (10–33, 10–35 and 10–42) were sterilized with 1% NaClO for 30 min, then rinsed with water. After soaking in water for 6 h, seeds were germinated at 25 °C for one week. Seedlings were cultured in an artificial climate chamber, and the growth conditions and nitrogen treatments were mainly conducted according to Chen et al. [23]. NH4NO3 was used as the nitrogen source, and there were two nitrogen treatments: the normal nitrogen (NN) supply with 1.43 mM NH4NO3 (control) and low nitrogen (LN) stress with 0.24 mM NH4NO3. The low nitrogen treatment was started from the 3- to 4-leaf stage of seedling development for two weeks. The plants were then harvested, and plant height (PH) and root length (RL) were measured directly. Then, shoots (above grounds) and roots were separated and collected, respectively. There were ten biological replicates for the WT and DH1 lines, respectively.
4.6. Biomass and Total Nitrogen Measurement
The separate shoots and roots were incubated at 105 °C for 1 h and dried at 80 °C for 2 days until constant weight; then, they were weighed for shoot dry weight (SDW) and root dry weight (RDW), respectively, using an electronic analytical balance. Every three dried shoots (three biological replicates) formed a new biological replicate, and nine dried shoots formed a total of three new biological replicates. The dried shoots were ground to powder and approximately 0.2 g of the dry powder of each sample was digested (H2SO4-H2O2) for total nitrogen determination using the Kjeldahl method. Based on the different definitions, the NUE was evaluated by the shoot biomass [24,25]. The shoot nitrogen content (SNC) (%, g N/100 g SDW) of each sample could be directly calculated from the total nitrogen detection. The NUE was calculated as follows: NUE (g) = SDW/SNC. This indicated that the higher dry weight and lower nitrogen content would result in higher N use efficiency.
5. Conclusions
In summary, we established a method for the efficient and rapid generation of homozygous transgenic barley plants based on microspore culture. This method requires only one generation to obtain homozygous transgenic plants, and although microspore culture takes some time, far more time is saved because of the additional generations required for traditional methods. The planting scale is also small, which can use space more efficiently and save labor. Meanwhile, we also obtained homozygous HvPR1-overexpressing plants and demonstrated the role of this gene in response to low nitrogen stress in barley.
Supplementary Materials
The following supporting information can be downloaded at: https://www.mdpi.com/article/10.3390/ijms24054945/s1.
Author Contributions
Z.C. designed the work, detected and managed the transgenic plants, performed phenotypic investigation and wrote the manuscript; Q.J. cloned the PR1 gene, constructed the overexpression vector and transformed it into Agrobacterium tumefaciens; G.G. conducted the microspore culture; Q.S. conducted the barley transgene; J.Y. and E.W. supervised the overexpression vector construction; G.Z. supervised the barley transgene; R.L. supervised the microspore culture; C.L. provided some suggestions for this study. All authors have read and agreed to the published version of the manuscript.
Funding
This research was funded by the China Agriculture Research System of MOF and MARA (Grant No. CARS-05-01A-02), the Natural Science Foundation of Shanghai, China (Grant No. 17ZR1425300), the National Key Research and Development Program of China (Grant No. 2018YFD1000702-5), and the Climbing Plan of Shanghai Academy of Agricultural Sciences (Grant No. PG22211).
Institutional Review Board Statement
Not applicable.
Informed Consent Statement
Not applicable.
Data Availability Statement
https://www.ncbi.nlm.nih.gov/bioproject/?term=PRJNA400519 (accessed on 28 September 2018).
Acknowledgments
We thank Nigel G. Halford from Rothamsted Research in the UK for his help in the revision and editing of the manuscript, and thank Dayong Zhang from Nanjing Agricultural University in China for his kind suggestions in preparing this research. We also thank MDPI for providing English editing service.
Conflicts of Interest
The authors declare no conflict of interest.
References
- Zhang, J.; Li, X. Genetic breeding technology and new variety breeding. In Theories and Practices of China Agriculture and Research System (Barley); China Agriculture Press: Beijing, China, 2021. (In Chinese) [Google Scholar]
- Lu, R.; Wang, Y.; Sun, Y.; Shan, L.; Chen, P.; Huang, J. Improvement of isolated microspore culture of barley (Hordeum vulgare L.): The effect of floret co-culture. Plant Cell Tissue Organ Cult. 2008, 93, 21–27. [Google Scholar] [CrossRef]
- Lu, R.; Chen, Z.; Gao, R.; He, T.; Wang, Y.; Xu, H.; Guo, G.; Li, Y.; Liu, C.; Huang, J. Genotypes-independent optimization of nitrogen supply for isolated microspore cultures in barley. Biomed. Res. Int. 2016, 2016, 8. [Google Scholar] [CrossRef] [PubMed]
- Gao, R.; Guo, G.; Fang, C.; Huang, S.; Chen, J.; Lu, R.; Huang, J.; Fan, X.; Liu, C. Rapid generation of barley mutant lines with high nitrogen uptake efficiency by microspore mutagenesis and field screening. Front. Plant Sci. 2018, 9, 450. [Google Scholar] [CrossRef] [PubMed]
- Xu, H.; Li, Y.; Gao, R.; Xu, R.; Guo, G.; Lu, R.; Halford, N.G.; Chen, Z.; Liu, C. Rapid Generation and Analysis of a Barley Doubled Haploid Line with Higher Nitrogen Use Efficiency Than Parental Lines by F1 Microspore Embryogenesis. Plants 2021, 10, 1588. [Google Scholar] [CrossRef] [PubMed]
- Han, M.; Okamoto, M.; Beatty, P.H.; Rothstein, S.J.; Good, A.G. The genetics of nitrogen use efficiency in crop plants. Annu. Rev. Genet. 2015, 49, 1–9. [Google Scholar] [CrossRef] [PubMed]
- Ray, D.K.; Ramankutty, N.; Mueller, N.D.; West, P.C.; Foley, J.A. Recent patterns of crop yield growth and stagnation. Nat. Commun. 2012, 3, 1293. [Google Scholar] [CrossRef]
- Zhang, Q.; He, K.; Huo, H. Policy: Cleaning China’s air. Nature 2012, 484, 161–162. [Google Scholar] [CrossRef]
- Chen, Z.; Li, Y.; Liu, C.; Wang, Y.; He, T.; Guo, G.; Fang, C.; Gao, R.; Xu, H.; Zhou, L.; et al. Reference gene selection for quantitative RT-PCR normalisation in barley under low-nitrogen stress, based on RNA-seq data. J. Cereal Sci. 2018, 82, 213–215. [Google Scholar] [CrossRef]
- Jähne, A.; Becker, D.; Brettschneider, R.; Lӧrz, H. Regeneration of transgenic, microspore-derived, fertile barley. Theor. Appl. Genet. 1994, 89, 525–533. [Google Scholar] [CrossRef]
- Shim, Y.S.; Kasha, K.J. Barley microspore transformation protocol by biolistic gun. In Doubled Haploid Production in Crop Plants; Maluszynski, M., Kasha, K.J., Forster, B.P., Szarejko, I., Eds.; Springer: Dordrecht, The Netherlands, 2003. [Google Scholar]
- Obert, B.; Middlefell-Williams, J.; Millam, S. Genetic transformation of barley microspores using anther bombardment. Biotechnol. Lett. 2008, 30, 945–949. [Google Scholar] [CrossRef]
- Han, Y.; Broughton, S.; Liu, L.; Zhang, X.Q.; Zeng, J.; He, X.; Li, C. Highly efficient and genotype-independent barley gene editing based on anther culture. Plant Commun. 2020, 2, 100082. [Google Scholar] [CrossRef]
- Ohnoutková, L.; Vlčko, T. Homozygous transgenic barley (Hordeum vulgare L.) plants by anther culture. Plants 2020, 9, 918. [Google Scholar] [CrossRef]
- Esteves, P.; Belzile, F.J. Isolated microspore culture in barley. Methods Mol. Biol. 2019, 1900, 53–71. [Google Scholar]
- Liu, C.; Guo, G.; He, T.; Lu, R.; Huang, J. Establishment of a highly efficient regeneration system of isolated microspores of barley and hulless barley and its utilization in genetic breeding. Barley Cereal Sci. 2018, 35, 1–6, (In Chinese with English abstract). [Google Scholar]
- Ghorbel, M.; Zribi, I.; Missaoui, K.; Drira-Fakhfekh, M.; Azzouzi, B.; Brini, F. Differential regulation of the durum wheat pathogenesis-related protein (PR1) by calmodulin TdCaM1.3 protein. Mol. Biol. Rep. 2021, 48, 347–362. [Google Scholar] [CrossRef]
- Wang, L.; Lu, H.; Zhan, J.; Shang, Q.; Wang, L.; Yin, W.; Sa, W.; Liang, J. Pathogenesis-related protein-4 (PR-4) gene family in Qingke (Hordeum vulgare L. var. nudum): Genome-wide identification, structural analysis and expression profile under stresses. Mol. Biol. Rep. 2022, 49, 9397–9408. [Google Scholar] [CrossRef]
- Sidorenko, L.V.; Lee, T.F.; Woosley, A.; Moskal, W.A.; Bevan, S.A.; Merlo, P.A.O.; Walsh, T.A.; Wang, X.; Weaver, S.; Glancy, T.P.; et al. GC-rich coding sequences reduce transposon-like, small RNA-mediated transgene silencing. Nat. Plants 2017, 3, 875–884. [Google Scholar] [CrossRef]
- Chen, Z.; Jiang, Q.; Jiang, P.; Zhang, W.; Huang, J.; Liu, C.; Halford, N.G.; Lu, R. Novel low-nitrogen stress-responsive long non-coding RNAs (lncRNA) in barley landrace B968 (Liuzhutouzidamai) at seedling stage. BMC Plant Biol. 2020, 20, 142. [Google Scholar] [CrossRef]
- He, J.; Zhang, C.; Dai, H.; Liu, H.; Zhang, X.; Yang, J.; Chen, X.; Zhu, Y.; Wang, D.; Qi, X.; et al. A LysM receptor heteromer mediates perception of arbuscular mycorrhizal symbiotic signal in rice. Mol. Plant 2019, 12, 1561–1576. [Google Scholar] [CrossRef]
- Shen, Q.F.; Fu, L.B.; Su, T.T.; Ye, L.Z.; Huang, L.; Kuang, L.H.; Wu, L.Y.; Wu, D.Z.; Chen, Z.H.; Zhang, G.P. Calmodulin HvCaM1 negatively regulates salt tolerance via modulation of HvHKT1s and HvCAMTA4. Plant Physiol. 2020, 183, 1650–1662. [Google Scholar] [CrossRef]
- Chen, Z.; Liu, C.; Wang, Y.; He, T.; Gao, R.; Xu, H.; Guo, G.; Li, Y.; Zhou, L.; Lu, R.; et al. Expression analysis of nitrogen metabolism-related genes reveals differences in adaptation to low-nitrogen stress between two different barley cultivars at seedling stage. Int. J. Genom. 2018, 2018, 8152860. [Google Scholar] [CrossRef] [PubMed]
- Chardon, F.; Barthélémy, J.; Daniel-Vedele, F.; Masclaux-Daubresse, C. Natural variation of nitrate uptake and nitrogen use efficiency in Arabidopsis thaliana cultivated with limiting and ample nitrogen supply. J. Exp. Bot. 2010, 61, 2293–2302. [Google Scholar] [CrossRef] [PubMed]
- Decouard, B.; Bailly, M.; Rigault, M.; Marmagne, A.; Arkoun, M.; Soulay, F.; Caïus, J.; Paysant-Le, R.C.; Louahlia, S.; Jacquard, C.; et al. Genotypic variation of nitrogen use efficiency and amino acid metabolism in barley. Front. Plant Sci. 2022, 12, 807798. [Google Scholar] [CrossRef] [PubMed]
Disclaimer/Publisher’s Note: The statements, opinions and data contained in all publications are solely those of the individual author(s) and contributor(s) and not of MDPI and/or the editor(s). MDPI and/or the editor(s) disclaim responsibility for any injury to people or property resulting from any ideas, methods, instructions or products referred to in the content. |
© 2023 by the authors. Licensee MDPI, Basel, Switzerland. This article is an open access article distributed under the terms and conditions of the Creative Commons Attribution (CC BY) license (https://creativecommons.org/licenses/by/4.0/).

