Insights into the Structure–Property–Activity Relationship of Zeolitic Imidazolate Frameworks for Acid–Base Catalysis
Abstract
1. Introduction
2. Tuning the Textural and Physicochemical Properties of ZIFs
2.1. Hydrophobic/Hydrophilic Properties
2.2. Textural Properties
2.3. Nature of Active Sites
2.4. Basicity of ZIFs
3. Catalytic Properties of ZIFs from the Perspective of the Structure–Property–Activity Relationship
3.1. Condensation Reactions
3.2. Synthesis of Propylene Glycol Methyl Ether from Propylene Oxide and Methanol
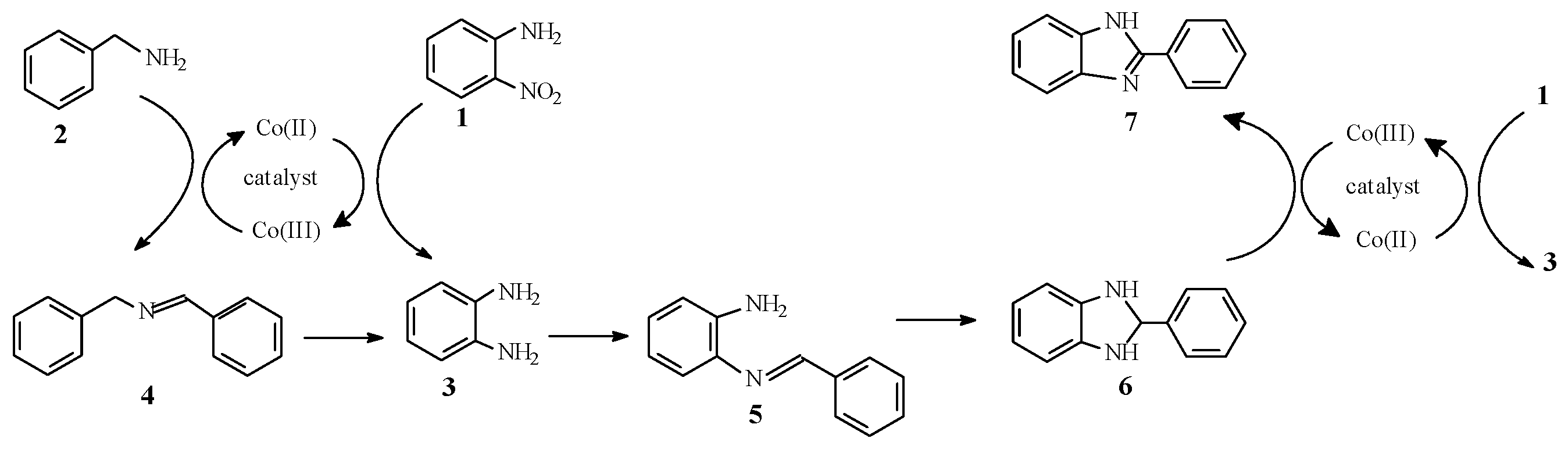
3.3. Cascade Redox Condensation of 2-Nitroanilines with Benzylamines
- (A).
- Two of the initial steps are based on the redox transformations of the Co ions of the catalysts.
- -
- Step of the oxidation of benzylamine. This stage comprises the oxidation of benzylamine (2) into benzaldimine, which is rapidly transformed into N-benzylbenzaldimine (4) via a transamination reaction.
- -
- Step of the reduction of an –NO2 group. In this stage, the –NO2 group of 2-nitroanil (1) is reduced into a product (3).
- (B).
- The following steps are based on the acid–base properties of the catalyst and include the formation of 2-phenylbenzimidazole (7) through a cascade condensation of (4) with (3) to form (5) and then (6).
- (C).
- The final step is the oxidation aromatization from (6) to (7)
3.4. Cycloaddition of CO2 to Epoxides
4. Conclusions
- 1.
- Tuning the affinity for polar molecules (hydrophobic/hydrophilic properties) by varying the chemical composition of the linker may be useful for the application of ZIFs in reactions involving polar reagents (water, alcohols, and aldehydes). The linker can act as an active site for the activation of reagents;
- 2.
- The textural properties of ZIFs (SBET and VM/Vy) can be changed in two ways: replacing Zn2+ with Co2+ changes and increases the particle size of ZIFs which then leads to an increase in SBET and VM/Vy. The accessibility and number of active sites decrease in this order. These changes may affect the reaction rate and selectivity;
- 3.
- The number of active sites is fine-tuned on the basis of the chemical composition and particle size of ZIFs. To date, only information on the basicity of ZIFs, which indicates that the strength of BSs depends on the basicity of linkers and the structure of ZIFs, exists;
- 4.
- ZIFs possess a unique combination of acidic sites and BSs that allow their use in acid–base catalysis. In most reactions, their catalytic behavior is defined by the presence of the LAS–BS pair. In these cases, the nature of the metal ion and the basicity of the organic linker should be considered because these parameters are crucial for the activation of reactants and the subsequent rearrangement of intermediates;
- 5.
- The effect of particle size has received little attention in the literature. However, the shape and size of particles should be considered because these factors affect textural properties and the active site number. Moreover, particle size can provoke problems in the course of cyclic tests and/or the isolation of ZIFs from reaction mixtures. We expect that those challenges may be addressed by establishing composites or magnetically separable materials on the basis of ZIFs.
Author Contributions
Funding
Informed Consent Statement
Data Availability Statement
Acknowledgments
Conflicts of Interest
Abbreviations
References
- Tian, Y.-Q.; Cai, C.-X.; Ji, Y.; You, X.-Z.; Peng, S.-M.; Lee, G.-S. [Co5(im)10 MB]∞: A Metal-Organic Open-Framework with Zeolite-Like Topology. Angew. Chem. Int. Ed. 2002, 41, 1442–1444. [Google Scholar] [CrossRef]
- Kouser, S.; Hezam, A.; Khadri, M.J.N.; Khanum, S.A. A review on zeolite imidazole frameworks: Synthesis, properties, and applications. Porous Mater. 2022, 29, 663–681. [Google Scholar] [CrossRef]
- Du, P.D.; Thanh, N.V.D.; Hieu, N.T. Evaluation of Structural Properties and Catalytic Activities in Kn oevenagel Condensation Reaction of Zeolitic Imidazolate Framework-8 Synthesized under Different Conditions. Adv. Mater. Sci. Eng. 2019, 2019, 6707143. [Google Scholar] [CrossRef]
- Opanasenko, M.; Dhakshinamoorthy, A.; Hwang, Y.K.; Chang, J.-S.; Garcia, H.; Cejka, J. Superior Performance of Metal–Organic Frameworks over Zeolites as Solid Acid Catalysts in the Prins Reaction: Green Synthesis of Nopol. ChemSusChem 2013, 6, 865–871. [Google Scholar] [CrossRef]
- Miralda, C.M.; Macias, E.E.; Zhu, M.; Ratnasamy, P.; Carreon, M.A. Zeolitic Imidazole Framework-8 Catalysts in the Conversion of CO2 to Chloropropene Carbonate. ACS Catal. 2012, 2, 180–183. [Google Scholar] [CrossRef]
- Tago, T.; Konno, H.; Sakamoto, M.; Nakasaka, Y.; Masuda, T. Selective synthesis for light olefins from acetone over ZSM-5 zeolites with nano- and macro-crystal sizes. Appl. Catal. A Gen. 2011, 403, 183–191. [Google Scholar] [CrossRef]
- Kang, N.Y.; Woo, S.I.; Lee, Y.J.; Bae, J.; Choi, W.C.; Park, Y.-K. Enhanced hydrothermal stability of ZSM-5 formed from nanocrystalline seeds for naphtha catalytic cracking. J. Mater. Sci. 2016, 51, 3735. [Google Scholar] [CrossRef]
- Cui, Q.; Zhou, Y.; Wei, Q.; Tao, X.; Yu, G.; Wang, Y.; Yang, J. Role of the Zeolite Crystallite Size on Hydrocracking of Vacuum Gas Oil over NiW/Y-ASA Catalysts. Energy Fuels 2012, 26, 4664–4670. [Google Scholar] [CrossRef]
- Shiralkar, V.P.; Joshi, P.N.; Eapen, M.J.; Rao, B.S. Synthesis of ZSM-5 with variable crystallite size and its influence on physicochemical properties. Zeolites 1991, 11, 511–516. [Google Scholar] [CrossRef]
- Kiyonaga, T.; Higuchi, M.; Kajiwara, T.; Takashima, Y.; Duan, J.; Nagashima, K.; Kitagawa, S. Dependence of crystal size on the catalytic performance of a porous coordination polymer. Chem. Commun. 2015, 51, 2728–2730. [Google Scholar] [CrossRef]
- Cho, H.-Y.; Yang, D.A.; Kim, J.; Jeong, S.Y.; Ahn, W.S. CO2 adsorption and catalytic application of Co-MOF-74 synthesized by microwave heating. Catal. Today 2012, 185, 35–40. [Google Scholar] [CrossRef]
- Timofeeva, M.N.; Lukoyanov, I.A.; Panchenko, V.N.; Jhung, S.H. Particle size effect on the catalytic properties of zeolitic imidazolate frameworks. Russ. Chem. Bull. 2022, 71, 599–612. [Google Scholar] [CrossRef]
- Timofeeva, M.N.; Lukoyanov, I.A.; Panchenko, V.N.; Gerasimov, E.Y.; Bhadra, B.N.; Jhung, S.H. Effect of MAF-6 crystal size on its physicochemical and catalytic properties in the cycloaddition of CO2 to propylene oxide. Catalysts 2021, 11, 1061. [Google Scholar] [CrossRef]
- Timofeeva, M.; Paukshtis, E.; Panchenko, V.; Shefer, K.; Isaeva, V.; Kustov, L.; Gerasimov, E. Tuning the catalytic performance of the novel composites based on ZIF-8 and Nafen through dimensional and concentration effects in the synthesis of propylene glycol methyl ether. Eur. J. Org. Chem. 2019, 26, 4215–4225. [Google Scholar] [CrossRef]
- Jin, C.-X.; Shang, H.-B. Synthetic methods, properties and controlling roles of synthetic parameters of zeolite imidazole framework-8: A review. J. Solid State Chem. 2021, 297, 122040. [Google Scholar] [CrossRef]
- Chizallet, C.; Lazare, S.; Bazer-Bachi, D.; Bonnier, F.; Lecocq, V.; Soyer, E.; Quoineaud, A.-A.; Bats, N. Catalysis of Transesterification by a Nonfunctionalized Metal-Organic Framework: Acido-Basicity at the External Surface of ZIF-8 Probed by FTIR and ab Initio Calculations. J. Am. Chem. Soc. 2010, 132, 12365–12377. [Google Scholar] [CrossRef]
- Linder-Patton, O.M.; de Prinse, T.J.; Furukawa, S.; Bell, S.G.; Sumida, K.; Doonan, C.J.; Sumbym, C.J. Influence of nanoscale structuralisation on the catalytic performance of ZIF-8: A cautionary surface catalysis study. Cryst. Eng. Comm. 2018, 20, 4926–4934. [Google Scholar] [CrossRef]
- Nguyen, L.T.; Le, K.K.; Truong, H.X.; Phan, N.T. Metal-organic frameworks for catalysis: The Knoevenagel reaction using zeolite imidazolate framework ZIF-9 as an efficient heterogeneous catalyst. Catal. Sci. Technol. 2012, 2, 521–528. [Google Scholar] [CrossRef]
- Schejn, A.; Balan, L.; Falk, V.; Aranda, V.; Medjahdi, L.; Schneider, G.; Schneider, R. Controlling ZIF-8 nano- and microcrystal formation and reactivity through zinc salt variations. CrystEngComm 2014, 16, 4493–4500. [Google Scholar] [CrossRef]
- Zhang, F.; Wei, Y.; Wu, X.; Jiang, H.; Wang, W.; Li, H. Hollow Zeolitic Imidazolate Framework Nanospheres as Highly Efficient Cooperative Catalysts for [3+3] Cycloaddition Reactions. J. Am. Chem. Soc. 2014, 136, 13963–13966. [Google Scholar] [CrossRef]
- Wei, Y.; Hao, Z.; Zhang, F.; Li, H. A functionalized graphene oxide and nano-zeolitic imidazolate framework composite as a highly active and reusable catalyst for [3 + 3] formal cycloaddition reactions. J. Mater. Chem. A 2015, 3, 14779–14785. [Google Scholar] [CrossRef]
- Bhin, K.M.; Tharun, J.; Roshan, K.R.; Kim, D.-W.; Chung, Y.; Park, D.-W. Catalytic performance of zeolitic imidazolate framework ZIF-95 for the solventless synthesis of cyclic carbonates from CO2 and epoxides. J. CO2 Util. 2017, 17, 112–118. [Google Scholar] [CrossRef]
- Tharun, J.; Mathai, G.; Kathalikkatti, A.C.; Roshan, R.; Won, Y.-S.; Cho, S.J.; Chang, J.-S.; Park, D.-W. Exploring the Catalytic Potential of ZIF-90: Solventless and Co-Catalyst-Free Synthesis of Propylene Carbonate from Propylene Oxide and CO2. ChemPlusChem 2015, 80, 715–721. [Google Scholar] [CrossRef]
- Xiang, W.; Shen, C.; Lu, Z.; Chen, S.; Li, X.; Zou, R.; Zhang, Y.; Liu, C. CO2 cycloaddition over ionic liquid immobilized hybrid zeolitic imidazolate frameworks: Effect of Lewis acid/base sites. Chem. Eng. Sci. 2021, 233, 116429. [Google Scholar] [CrossRef]
- Song, J.; Zhang, Z.; Hu, S.; Wu, T.; Jiang, T.; Han, B. MOF-5/n-Bu4NBr: An efficient catalyst system for the synthesis of cyclic carbonates from epoxides and CO2 under mild conditions. Green Chem. 2009, 11, 1031–1036. [Google Scholar] [CrossRef]
- Lee, G.; Lee, M.; Jeong, Y.; Jang, E.; Baik, H.; Jung, J.C.; Choi, J. Synthetic Origin-Dependent catalytic activity of Metal-Organic Frameworks: Unprecedented demonstration with ZIF-8 s on CO2 cycloaddition reaction. Chem. Eng. J. 2022, 435, 134964. [Google Scholar] [CrossRef]
- Panchenko, V.N.; Matrosova, M.M.; Jeon, J.; Jun, J.W.; Timofeeva, M.N.; Jhung, S.H. Catalytic behavior of metal-organic frameworks in the Knoevenagel condensation reaction. J. Catal. 2014, 316, 251–259. [Google Scholar] [CrossRef]
- Phan, A.; Doonan, C.; Fernando, J.; Uribe-Romo, J.; Knobler, C.B.; O’Keeffe, M.L.; Yaghi, O.M. Synthesis, structure, and carbon dioxide capture properties of zeolitic imidazolate frameworks. Acc. Chem. Res. 2010, 43, 58–67. [Google Scholar] [CrossRef]
- Banerjee, R.; Phan, A.; Wang, B.; Knobler, C.; Furukawa, H.; O’Keeffe, M.; Yaghi, O.M. High-throughput synthesis of zeolitic imidazolate frameworks and application to CO2 capture. Science 2008, 319, 939–943. [Google Scholar] [CrossRef]
- Gao, M.; Wang, J.; Rong, Z.; Shi, Q.; Dong, J. A combined experimental-computational investigation on water adsorption in various ZIFs with the SOD and RHO topologies. RSC Adv. 2018, 8, 39627–39634. [Google Scholar] [CrossRef]
- Huang, X.-C.; Lin, Y.-Y.; Zhang, J.-P.; Chen, X.-M. Ligand-Directed Strategy for Zeolite-Type Metal-Organic Frameworks: Zinc(II) Imidazolates with Unusual Zeolitic Topologies. Angew. Chem. Int. Ed. 2006, 45, 1557–1559. [Google Scholar] [CrossRef]
- Biswal, B.P.; Panda, T.; Banerjee, R. Solution mediated phase transformation (RHO to SOD) in porous Co-imidazolate based zeolitic frameworks with high water stability. Chem. Commun. 2012, 48, 11868–11870. [Google Scholar] [CrossRef]
- Zhang, K.; Lively, R.P.; Dose, M.E.; Brown, A.J.; Zhang, C.; Chung, J.; Nair, S.; Koros, W.J.; Chance, R.R. Alcohol and water adsorption in zeolitic imidazolate frameworks. Chem. Commun. 2013, 49, 3245–3247. [Google Scholar] [CrossRef]
- Zhang, X.; Zhang, Y.; Wang, Y.; Gao, D.; Zhao, H. Preparation and corrosion resistance of hydrophobic zeolitic imidazolate framework (ZIF-90) film @Zn-Al alloy in NaCl solution. Prog. Org. Coat. 2018, 115, 94–99. [Google Scholar] [CrossRef]
- Sann, E.E.; Pan, Y.; Gao, Z.; Zhan, S.; Xia, F. Highly hydrophobic ZIF-8 particles and application for oil-water separation. Sep. Purif. Technol. 2018, 206, 186–191. [Google Scholar] [CrossRef]
- He, C.-T.; Jiang, L.; Ye, Z.-M.; Krishna, R.; Zhong, Z.-S.; Liao, P.-Q.; Xu, J.; Ouyang, G.; Zhang, J.-P.; Chen, X.-M. Exceptional Hydrophobicity of a Large-Pore Metal-Organic Zeolite. J. Am. Chem. Soc. 2015, 137, 7217–7223. [Google Scholar] [CrossRef]
- Xie, L.-H.; Xu, M.-M.; Liu, X.-M.; Zhao, M.-J.; Li, J.-R. Hydrophobic Metal-Organic Frameworks: Assessment, Construction, and Diverse Applications. Adv. Sci. 2020, 7, 1901758. [Google Scholar] [CrossRef]
- Timofeeva, M.N.; Lukoyanov, I.A.; Panchenko, V.N.; Shefer, K.I.; Mel’gunov, M.S.; Bhadra, B.N.; Jhung, S.H. Tuning the catalytic properties for cycloaddition of CO2 to propylene oxide on zeolitic-imidazolate frameworks through variation of structure and chemical composition. Mol. Catal. 2022, 529, 112530. [Google Scholar] [CrossRef]
- Marcus, Y. The Effectiveness of solvents as hydrogen bond donors. J. Solut. Chem. 1991, 20, 929–944. [Google Scholar] [CrossRef]
- Bustamante, E.; Fernandez, J.L.; Zamaro, J.M. Influence of the solvent in the synthesis of zeolitic imidazolate framework-8 (ZIF-8) nanocrystals at room temperature. J. Colloid Interface Sci. 2014, 424, 37–43. [Google Scholar] [CrossRef]
- Tanaka, S.; Fujita, K.; Miyake, Y.; Miyamoto, M.; Hasegawa, Y.; Makino, T.; van der Perre, S.; Remi, J.C.S.; van Assche, T.; Baron, G.V.; et al. Adsorption and diffusion phenomena in crystal size engineered ZIF-8 MOF. J. Phys. Chem. C 2015, 119, 28430–28439. [Google Scholar] [CrossRef]
- Zhang, C.; Gee, J.A.; Sholl, D.S.; Lively, R.P. Crystal-size-dependent structural transitions in nanoporous crystals: Adsorption induced transitions in ZIF-8. J. Phys. Chem. C 2014, 118, 20727–20733. [Google Scholar] [CrossRef]
- Mphuthi, L.E.; Erasmus, E.; Langner, E.H.G. Metal Exchange of ZIF-8 and ZIF-67 Nanoparticles with Fe(II) for Enhanced Photocatalytic Performance. Omega 2021, 6, 31632–31645. [Google Scholar] [CrossRef]
- Isaia, F.; Aragoni, M.C.; Arca, M.; Bettoschi, A.; Caltagirone, C.; Castellano, C.; Demartin, F.; Lippolis, V.; Pivetta, T.; Valletta, E. Zinc(II)-methimazole complexes: Synthesis and reactivity. Dalton Trans. 2015, 44, 9805–9814. [Google Scholar] [CrossRef]
- Ueda, T.; Nakai, M.; Yamatani, T. A solid-state 1H-NMR study of the dynamic structure of ZIF-8 and its role in the adsorption of bulky molecules. Adsorption 2017, 23, 887–901. [Google Scholar] [CrossRef]
- Kolokolov, D.I.; Stepanov, A.G.; Jobic, H. Mobility of the 2-Methylimidazolate Linkers in ZIF-8 Probed by 2H NMR: Saloon Doors for the Guests. J. Phys. Chem. C 2015, 119, 27512–27520. [Google Scholar] [CrossRef]
- Zhou, K.; Mousavi, B.; Luo, Z.; Phatanasri, S.; Chaemchuen, S.; Verpoort, F. Characterization and properties of Zn-Co zeolitic imidazolate frameworks vs. ZIF-8 and ZIF-67. J. Mater. Chem. A 2017, 5, 952–957. [Google Scholar] [CrossRef]
- Kim, J.; Kim, S.-N.; Jang, H.-G.; Seo, G.; Ahn, W.-S. CO2 cycloaddition of styrene oxide over MOF catalysts. Appl. Catal A Gen. 2013, 453, 175–180. [Google Scholar] [CrossRef]
- Khan, I.U.; Othman, M.H.D.; Jilani, A.; Ismail, A.F.; Hashim, H.; Jaafar, J.; Rahman, M.A.; Rehman, G.U. Economical, environmental friendly synthesis, characterization for the production of zeolitic imidazolate framework-8 (ZIF-8) nanoparticles with enhanced CO2 adsorption. Arab. J. Chem. 2018, 11, 1072–1083. [Google Scholar] [CrossRef]
- Zhang, Z.; Xian, S.; Xi, H.; Wang, H.; Li, Z. Improvement of CO2 adsorption on ZIF-8 crystals modified by enhancing basicity of surface. Chem. Eng. Sci. 2011, 66, 4878–4888. [Google Scholar] [CrossRef]
- Lai, L.S.; Yeong, Y.F.; Ani, N.C.; Lau, K.K.; Azmi, M.S. Effect of the Solvent Molar Ratios on the Synthesis of Zeolitic Imidazolate Framework 8 (ZIF-8) and Its Performance in CO2 Adsorption. Appl. Mech. Mater. 2014, 625, 69–72. [Google Scholar] [CrossRef]
- Mousavi, B.; Luo, Z.; Phatanasri, S.; Su, W.; Wang, T.; Chaemchuen, S.; Verpoort, F. One-step synthesis of 2,5-Bis(chloromethyl)-1,4-dioxane from epichlorohydrin uUsing ZIF-8, taking advantage of structural defects. Eur. J. Inorg. Chem. 2017, 42, 4947–4954. [Google Scholar] [CrossRef]
- Timofeeva, M.N.; Panchenko, V.N.; Jun, J.W.; Hasan, Z.; Matrosova, M.M.; Jhung, S.H. Effects of linker substitution on catalytic properties of porous zirconium terephthalate UiO-66 in acetalization of benzyldehyde with methanol. Appl. Catal. A Gen. 2014, 471, 91–97. [Google Scholar] [CrossRef]
- Isaeva, V.I.; Timofeeva, M.N.; Panchenko, V.N.; Lukoyanov, I.A.; Chernyshev, V.V.; Kapustin, G.I.; Davshan, N.A.; Kustov, L.M. Design of novel catalysts for synthesis of 1,5-benzodiazepines from 1,2-phenylenediamine and ketones: NH2-MIL-101(Al) as integrated structural scaffold for catalytic materials based on calix[4]arenes. J. Catal. 2019, 369, 60–71. [Google Scholar] [CrossRef]
- The National Institute of Standards and Technology (NIST) is an Agency of the U.S. Commerce Department. Available online: https://webbook.nist.gov (accessed on 28 October 2022).
- Parlie, D.; Thiubaut, D.; Caude, M.; Rosset, R. Supercritical fluid chromatography of imidazole derivatives. Chromatographia 1991, 31, 293–296. [Google Scholar] [CrossRef]
- Matuszak, C.A.; Matuszak, A.J. Imidazole-versatile today, prominent tomorrow. J. Chem. Educ. 1976, 53, 280–284. [Google Scholar] [CrossRef]
- Chemical Traiding Guide. Available online: https://www.guidechem.com (accessed on 28 October 2022).
- Parida, K.M.; Mallick, S.; Sahoo, P.C.; Rana, S.K. A facile method for synthesis of amine-functionalized mesoporous zirconia and its catalytic evaluation in Knoevenagel condensation. Appl. Catal. A Gen. 2010, 381, 226–232. [Google Scholar] [CrossRef]
- Martins, L.; Hölderich, W.; Hammer, P.; Cardoso, D. Preparation of different basic Si–MCM-41 catalysts and application in the Knoevenagel and Claisen–Schmidt condensation reactions. J. Catal. 2010, 271, 220–227. [Google Scholar] [CrossRef]
- Martins, L.; Vieira, K.M.; Rios, L.M.; Cardoso, D. Basic catalyzed Knoevenagel condensation by FAU zeolites exchanged with alkylammonium cations. Catal. Today 2008, 133, 706–710. [Google Scholar] [CrossRef]
- Gascon, J.; Aktay, U.; Hernandez-Alonso, M.D.; Klink, G.P.M.; Kapteijn, F. Amino-based metal organic frameworks as stable, highly active basic catalysts. J. Catal. 2009, 261, 75–87. [Google Scholar] [CrossRef]
- Zhang, Y.; Zhang, X.; Bai, R.; Hou, X.; Li, J. Interface-Active Metal Organic Frameworks for Knoevenagel Condensations in Water. Catalysts 2018, 8, 315. [Google Scholar] [CrossRef]
- Kolmykov, O.; Chebbat, N.; Commenge, J.-M.; Medjahdi, G.; Schneider, R. ZIF-8 nanoparticles as an efficient and reusable catalyst for the Knoevenagel synthesis of cyanoacrylates and 3-cyanocoumarins. Tetrahedron Lett. 2016, 57, 5885–5888. [Google Scholar] [CrossRef]
- Zheng, S. Doktors der Naturwissenschaften, Institut für Technische Chemie II der Technischen Universität München, München, 2002, 123p. Available online: https://mediatum.ub.tum.de/doc/601265/601265.pdf (accessed on 28 October 2022).
- Timofeeva, M.N.; Lykoyanov, I.A.; Panchenko, V.N.; Shefer, K.I.; Bhadra, B.N.; Jhung, S.H. Zeolitic Imidazolate Frameworks ZIF-8 and MAF-5 as Highly Efficient Heterogeneous Catalysts for Synthesis of 1-Methoxy-2-propanol from Methanol and Propylene Oxide. Ind. Eng. Chem. Res. 2019, 58, 10750–10758. [Google Scholar] [CrossRef]
- Nguyen, T.B.; Bescont, J.L.; Ermolenko, L.; AlMourabit, A. Cobalt- and Iron-Catalyzed Redox Condensation of o-Substituted Nitrobenzenes with Alkylamines: A Step- and Redox-Economical Synthesis of Diazaheterocycles. Org. Lett. 2013, 15, 6218–6221. [Google Scholar] [CrossRef]
- Nguyen, V.D.; Nguyen, C.K.; Tran, K.N.; Tu, T.N.; Nguyen, T.T.; Dang, H.V.; Truong, T.; Phan, N.T.S. Zeolite imidazolate frameworks in catalysis: Synthesis of benzimidazoles via cascade redox condensation using Co-ZIF-67 as an efficient heterogeneous catalyst. Appl. Catal. A Gen. 2018, 555, 20–26. [Google Scholar] [CrossRef]
- Beyzavi, M.H.; Stephenson, C.J.; Liu, Y.; Karagiaridi, O.; Hupp, J.T.; Farha, O.K. Metal–organic framework-based catalysts: Chemical fixation of CO2 with epoxides leading to cyclic organic carbonates. Front. Energy Res. 2015, 2, 63. [Google Scholar] [CrossRef]
- He, H.; Perman, J.A.; Zhu, G.; Ma, S. Metal-Organic Frameworks for CO2 Chemical Transformations. Small 2016, 12, 6309–6324. [Google Scholar] [CrossRef]
- Delgado-Marín, J.J.; Martín-García, I.; Villalgordo-Hernández, D.; Alonso, F.; Ramos-Fernández, E.V.; Narciso, J. Valorization of CO2 through the Synthesis of Cyclic Carbonates Catalyzed by ZIFs. Molecules 2022, 27, 7791. [Google Scholar] [CrossRef]
- Abdelhamid, H.N. A Review on Removal of Carbon Dioxide (CO2) using Zeolitic Imidazolate Frameworks: Adsorption and Conversion via Catalysis. Appl. Organomet. Chem. 2022, 36, e6753. [Google Scholar] [CrossRef]
- Toyao, T.; Fujiwaki, M.; Miyahara, K.; Kim, T.-H.; Horiuchi, Y.; Matsuoka, M. Design of Zeolitic Imidazolate Framework Derived Nitrogen-Doped Nanoporous Carbons Containing Metal Species for Carbon Dioxide Fixation Reactions. ChemSusChem 2015, 8, 3905–3912. [Google Scholar] [CrossRef]
- Kuruppathparambil, R.R.; Babu, R.; Jeong, H.M.; Hwang, G.-Y.; Jeong, G.S.; Kim, M.-I.; Kim, D.-W.; Park, D.-W. A solid solution zeolitic imidazolate framework as a room temperature efficient catalyst for the chemical fixation of CO2. Green Chem. 2016, 18, 6349–6356. [Google Scholar] [CrossRef]
- Nguyen, Q.T.; Do, X.H.; Cho, K.Y.; Lee, Y.-R.; Baek, K.-Y. Amine-functionalized bimetallic Co/Zn-zeolitic imidazolate frameworks as an efficient catalyst for the CO2 cycloaddition to epoxides under mild conditions. J. CO2 Util. 2022, 61, 102061. [Google Scholar] [CrossRef]














![]() | |||||
| ZIFs | ZIF-8 | ZIF-90 | MAF-5 (ZIF-14) | MAF-6 (ZIF-71) | ZIF-11 |
| Tightly packed metal imidazolates | [Zn(MIM)2] | [Zn(ICA)2] | [Zn(EIM)2] | [Zn(EIM)2] | [Zn(bIM)2] |
| Linker | ![]() | ![]() | ![]() | ![]() | ![]() |
| 3D framework structure | ![]() | ![]() | ![]() | ||
| Topology | SOD (Sodalite) | ANA (Analcite) | RHO | ||
| Cage | [46 68] | 3·[42 82] + 2·[62 83] | 3·[412 68 86] | ||
| Cavity size (Å) | 11.6 | 11.2 | 7 × 10 | 18.7 | 14.6 |
| Pore aperture (Å) | 3.4 × 3.4 | 3.5 × 3.5 | 4.0 × 5.8 | 7.6 × 7.6 | 3.0 × 3.0 |
| aH2O (mg/g) | CA 1 (°) | |
|---|---|---|
| ZIF-90 | 331 (p/po = 0.97) [33] | 71.1 [34] |
| 288 (p/po = 0.5) [34] | ||
| ZIF-8 | 9 (p/po = 0.97) [34] | 142 [35] |
| 1.8 (p/po = 0.5) [34] | ||
| MAF-6 [36] | 16.2 (p/po = 0.97) | 143 |
| - | 0 [34] |
| DXRD 1 (nm) | SBET (m2/g) | VΣ (cm3/g) | Vμ/VΣ | |
|---|---|---|---|---|
| ZIF-8(Zn) | 54.5 ± 1.3 | 1938 | 0.80 | 0.90 |
| ZIF-8(0.75/0.25) | 67.8 ± 1.0 | 1965 | 0.77 | 0.95 |
| ZIF-8(0.5/0.5) | 65.8 ± 1.7 | 2024 | 0.75 | 0.99 |
| ZIF-8(0.25/0.75) | 55.3 ± 2.5 | 2011 | 0.76 | 0.96 |
| ZIF-67(Co) | 75.9 ± 4.4 | 2058 | 0.75 | 1.00 |
| Salt | Morphology of Crystallites of ZIF-8 | Crystallite Size of ZIF-8, (nm) | Catalytic Properties | |
|---|---|---|---|---|
| Conversion of Br-BA 1, (%) | Yield 2 (%) | |||
| Zn(NO3)2 | Truncated rhombododecahedron | 140 ± 48 | 96 | 99 |
| Zn(OAc)2 | Rhombododecahedron | 500 | 82 | 85 |
| ZnBr2 | Cube + rhombododecahedron | ~1050 | 79 | 57 |
| Experimental Conditions | Crystal Size 2 (nm) | Textural Properties | |||||
|---|---|---|---|---|---|---|---|
| Solvent | α 1 | SBET (m2/g) | VΣ (cm3/g) | Vµ/VΣ | |||
| vol./vol. | |||||||
| MAF-6(S) | PrOH/cyclohexane | 28.5:1.5 | 0.84 | 190 ± 20 | 1258 | 0.59 | 0.73 |
| MAF-6(M) | EtOH/cyclohexane | 28:2 | 0.86 | 360 ± 30 | 1395 | 0.71 | 0.82 |
| MAF-6(L) | MeOH/cyclohexane | 27:3 | 0.98 | 810 ± 30 | 1579 | 0.68 | 0.93 |
| ZIF-8(S) | MeOH, 323 K | - | 0.98 | 125 ± 25 | 1439 | 0.58 | 0.71 |
| ZIF-8(M) | H2O, 313 K | - | 1.17 | 190–260 | 1567 | 0.77 | 0.86 |
| ZIF-8(L) | H2O, MW activation | - | 1.17 | 550–770 | 1572 | 0.73 | 0.92 |
| Solvent | Zn2+/2-MIM/Solvent (mol/mol/mol) | Particle Size (nm) | ΣBS (mmol/g) | Ref. |
|---|---|---|---|---|
| MeOH | 1:7.9:1002 | 40 nm | 0.32 | [51] |
| MeOH | 1:7.9:695 | 66 nm | 0.63 | [51] |
| MeOH | 1:7.9:86.7 | 250 nm | 0.70 | [51] |
| TEA/Σmol 1 | ||||
| H2O + TEA | 0.002 | 177 nm | 18.43 | [49] |
| H2O + TEA | 0.003 | 112 nm | 21.23 | [49] |
| H2O + TEA | 0.004 | 77 nm | 22.43 | [49] |
| H2O (SP) | - | - | 0.011 | [52] |
| DMF (SV) | - | - | 0.003 | [52] |
| DMF | 0.100 | [50] |
| PA (kJ/mol) | PA (kJ/mol) | ||
|---|---|---|---|
| 2-Methylimidazole [55] | 963.4 (review) 929.5 (gas affinity) | 2-Ethylimidazole [55] | 978 (review) |
| ZIFs | MOFs | ||
| ZIF-8 [14] | 812 and 858 | Cu(BTC)2 [27] | 829 |
| ZIF-90 | 877, 940 and 982 | UiO-66(Zr) [27] | 839 |
| MAF-6 [14] | 839 and 872 | UiO-66(Zr)-NO2 [27] | 834 |
| MAF-5 [13] | 839, 864 and 884 | UiO-66(Zr)-NH2 [27] | 839 and 867 |
| MIL-100(Al) [27] | 834 | ||
| MIL-101(Al)-NH2 [53] | 829 and 922 | ||
| DZIF 1 (nm) | PA (kJ/mol) | Catalytic Properties 2 | |||
|---|---|---|---|---|---|
| Conversion of PO (%) | S1-MP (%) | S2-MP (%) | |||
| MAF-5 | 205 ± 20 | 884 | 90.3 | 92.6 | 7.4 |
| MAF-6(S) | 190 ± 20 | 872 | 88.8 | 92.1 | 7.9 |
| ZIF-8(S) | 125 ± 25 | 858 | 54.4 | 93.8 | 6.2 |
| ZIF-8(M) | 190–260 | 858 | 25.4 | 81.9 | 18.1 |
| ZIF-8(L) | 550–770 | 858 | 18.1 | 83.0 | 17.0 |
| № | Catalyst | Yield 1 (%) |
|---|---|---|
| 1 | ZIF-4 | 75 |
| 2 | ZIF-9 | 82 |
| 3 | ZIF-67 | 97 |
| 4 | MOF-74(Co) | 22 |
| 5 | Co2(BDC)2(DABCO) | 8 |
| № | Catalyst | Conversion of ECH 1 (%) | Selectivity of CPC (%) |
|---|---|---|---|
| 1 | ZIF-8 | 65.4 | >98 |
| 2 | ZIF-8-Atz(12 h) | 85.4 | >99 |
| 3 | ZIF-8-Atz(24 h) | 90.1 | >99 |
| 4 | Zn/Co-ZIF | 69.4 | >99 |
| 5 | Zn/Co-ZIF-Atz(6 h) | 90.1 | >99 |
| 6 | Zn/Co-ZIF-Atz(12 h) | 95.2 | >99 |
| 7 | Zn/Co-ZIF-Atz(24 h) | 99.1 | >99 |
Disclaimer/Publisher’s Note: The statements, opinions and data contained in all publications are solely those of the individual author(s) and contributor(s) and not of MDPI and/or the editor(s). MDPI and/or the editor(s) disclaim responsibility for any injury to people or property resulting from any ideas, methods, instructions or products referred to in the content. |
© 2023 by the authors. Licensee MDPI, Basel, Switzerland. This article is an open access article distributed under the terms and conditions of the Creative Commons Attribution (CC BY) license (https://creativecommons.org/licenses/by/4.0/).
Share and Cite
Timofeeva, M.N.; Panchenko, V.N.; Jhung, S.H. Insights into the Structure–Property–Activity Relationship of Zeolitic Imidazolate Frameworks for Acid–Base Catalysis. Int. J. Mol. Sci. 2023, 24, 4370. https://doi.org/10.3390/ijms24054370
Timofeeva MN, Panchenko VN, Jhung SH. Insights into the Structure–Property–Activity Relationship of Zeolitic Imidazolate Frameworks for Acid–Base Catalysis. International Journal of Molecular Sciences. 2023; 24(5):4370. https://doi.org/10.3390/ijms24054370
Chicago/Turabian StyleTimofeeva, Maria N., Valentina N. Panchenko, and Sung Hwa Jhung. 2023. "Insights into the Structure–Property–Activity Relationship of Zeolitic Imidazolate Frameworks for Acid–Base Catalysis" International Journal of Molecular Sciences 24, no. 5: 4370. https://doi.org/10.3390/ijms24054370
APA StyleTimofeeva, M. N., Panchenko, V. N., & Jhung, S. H. (2023). Insights into the Structure–Property–Activity Relationship of Zeolitic Imidazolate Frameworks for Acid–Base Catalysis. International Journal of Molecular Sciences, 24(5), 4370. https://doi.org/10.3390/ijms24054370










