Interactions of Sodium Salicylate with β-Cyclodextrin and an Anionic Resorcin[4]arene: Mutual Diffusion Coefficients and Computational Study
Abstract
1. Introduction
2. Results and Discussion
2.1. Ternary Diffusion Coefficients NaSal (Component 1) + Na4EtRA (Component 2)
2.2. Ternary Diffusion Coefficients NaSal (C1) + β-CD (C2)
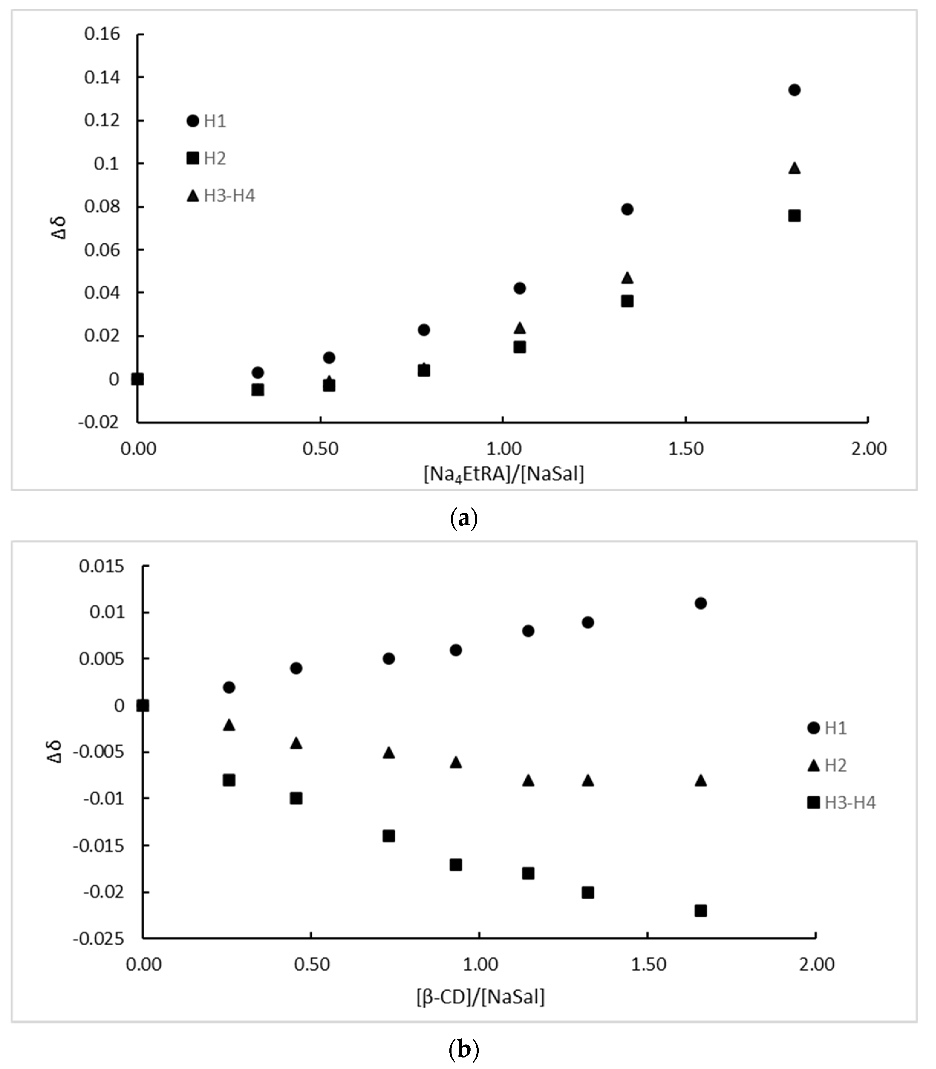
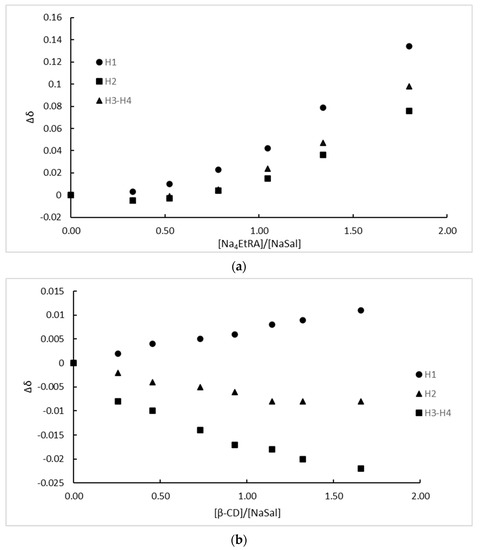
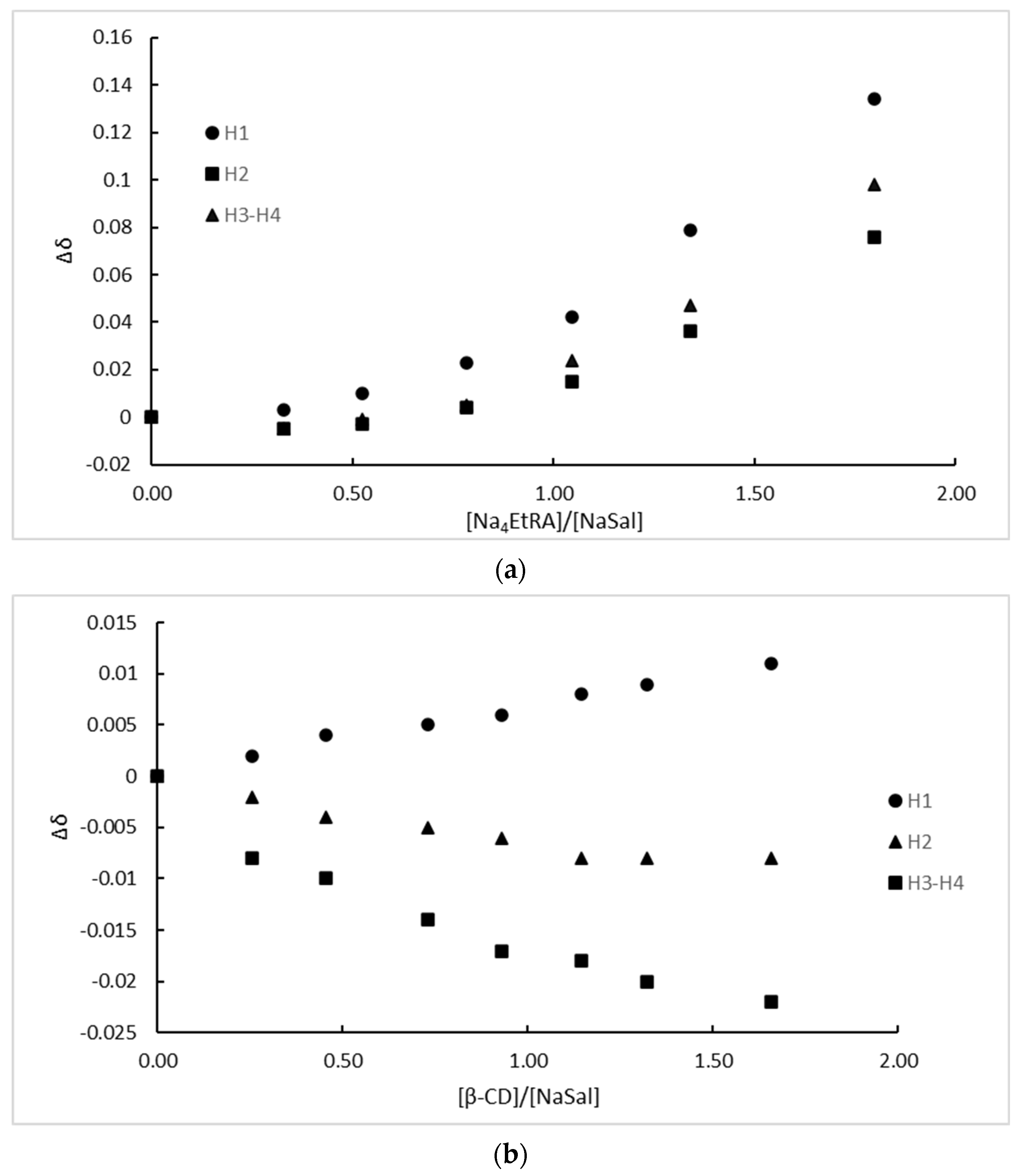
2.3. Complex Formation
2.4. Computational Studies
3. Materials and Methods
3.1. Materials
3.2. Ternary Diffusion by Taylor’s Method: Concepts and Some Experimental Aspects
3.3. Complex Formation
3.4. Computational Details
4. Conclusions
Supplementary Materials
Author Contributions
Funding
Institutional Review Board Statement
Informed Consent Statement
Data Availability Statement
Acknowledgments
Conflicts of Interest
References
- Bezerra, F.; Lis, M.; Firmino, H.; Dias da Silva, J.; Curto Valle, R.; Borges Valle, J.; Scacchetti, F.; Tessaro, A. The Role Of Β-Cyclodextrin In The Textile Industry—Review. Molecules 2020, 25, 3624. [Google Scholar] [CrossRef]
- Raju, N.; Benjakul, S. Use Of Beta Cyclodextrin To Remove Cholesterol And Increase Astaxanthin Content In Shrimp Oil. Eur. J. Lipid Sci. Technol. 2019, 122, 1900242. [Google Scholar] [CrossRef]
- Vikas, Y.; Sandeep, K.; Braham, D.; Manjusha, C.; Budhwar, V. Cyclodextrin Complexes: An Approach to Improve the Physicochemical Properties of Drugs and Applications of Cyclodextrin Complexes. Asian J. Pharmac. 2018, 12, S394. [Google Scholar]
- Enoch, I.V.M.V.; Yousuf, S. β-Cyclodextrin Inclusion Complexes of 2-Hydroxyfluorene and 2-Hydroxy-9-fluorenone: Differences in Stoichiometry and Excited State. J. Solution Chem. 2013, 42, 470–484. [Google Scholar] [CrossRef]
- Enoch, M.V.; Rajamoham, R.; Swaminathan, M. Fluorimetric and prototropic studies on the inclusion complexation of 3,3′-diaminodiphenylsulphone with β-cyclodextrin and its unusual behavior. Spectrochimica Acta A 2010, 77, 473–477. [Google Scholar] [CrossRef]
- Jain, V.; Kanaiya, P. Chemistry Of Calix[4]Resorcinarenes. Rus. Chem. Rev. 2011, 80, 75–102. [Google Scholar] [CrossRef]
- Tunstad, L.; Tucker, J.; Dalcanale, E.; Weiser, J.; Bryant, J.; Sherman, J.; Helgeson, R.; Knobler, C.; Cram, D. Host-Guest Complexation. 48. Octol Building Blocks For Cavitands And Carcerands. J. Org. Chem. 1989, 54, 1305–1312. [Google Scholar] [CrossRef]
- Spielberg, E.; Campbell, P.; Szeto, K.; Mallick, B.; Schaumann, J.; Mudring, A. Sodium Salicylate: An In-Depth Thermal And Photophysical Study. Chem. Eur. J. 2018, 24, 15638–15648. [Google Scholar] [CrossRef]
- Junquera, E.; Peña, L.; Aicart, E. Binding Of Sodium Salicylate By Β-Cyclodextrin Or 2,6-Di-O-Methyl-Β-Cyclodextrin In Aqueous Solution. J. Pharm. Sci. 1998, 87, 86–90. [Google Scholar] [CrossRef]
- Deosarkar, S.D.; Sawale, R.T.; Pinjari, R.V.; Kalyankar, T.M. Interactions of sodium salicylate and b-cyclodextrin in water: A volumetric, ultraacustic and optical study. J. Mol. Liq. 2020, 310, 113151. [Google Scholar] [CrossRef]
- Abou-Okeil, A.; Rehan, M.; El-Sawy, S.M.; El-bisi, M.K.; Ahmed-Farid, O.A.; Abdel-Mohdy, F.A. Lidocaine/β-Cyclodextrin Inclusion Complex as Drug Delivery System. Eur. Polym. J. 2018, 108, 304–310. [Google Scholar] [CrossRef]
- Galindres, D.M.; Eslava, V.J.; Ribeiro, A.C.F.; Esteso, M.A.; Vargas, E.F.; Leaist, D.G. Coupled Mutual Diffusion In Aqueous (Ammonium Monovanadate + Butyl-Substituted Sulfonated Resorcinarene) Solutions: An Experimental And Theoretical Approach. J. Chem. Thermodyn. 2021, 159, 106465. [Google Scholar] [CrossRef]
- Frassineti, C.; Ghelli, S.; Gans, P.; Sabatini, A.; Moruzzi, M.; Vacca, A. Nuclear Magnetic Resonance As A Tool For Determining Protonation Constants Of Natural Polyprotic Bases In Solution. Anal. Biochem. 1995, 231, 374–382. [Google Scholar] [CrossRef]
- Galindres, D.M.; Ribeiro, A.C.F.; Valente, A.J.M.; Esteso, M.A.; Sanabria, E.; Vargas, E.F.; Verissimo, L.M.P.; Leaist, D.G. Ionic Conductivities And Diffusion Coefficients Of Alkyl Substituted Sulfonated Resorcinarenes In Aqueous Solutions. J. Chem. Thermodyn. 2019, 133, 223–228. [Google Scholar] [CrossRef]
- Robinson, R.A.; Stokes, R.H. Electrolyte Solutions, 2nd ed.; Butterworths Scientific Publications: London, UK, 1959. [Google Scholar]
- Leaist, D.; Hao, L. Diffusion In Buffered Protein Solutions: Combined Nernst–Planck And Multicomponent Fick Equations. J. Chem. Soc. Faraday Trans. 1993, 89, 2775–2782. [Google Scholar] [CrossRef]
- Robinson, R.A.; Stokes, R.H. Electrolyte Solutions, 2nd revised ed.; Dover Pub. Inc.: Carrollton, TX, USA, 2002; ISBN 978-0486422259. [Google Scholar]
- Bester-Rogac, M. Nonsteroidal Anti-Inflammatory Drugs Ion Mobility: A Conductometric Study of Salicylate, Naproxen, Diclofenac and Ibuprofen Dilute Aqueous Solutions. Acta Chim. Slov. 2009, 56, 70–77. [Google Scholar]
- Ribeiro, A.C.F.; Barros, M.C.F.; Verissimo, L.M.P.; Esteso, M.A.; Leaist, D.G. Coupled Mutual Diffusion In Aqueous Sodium (Salicylate + Sodium Chloride) Solutions At 25 °C. J. Chem. Thermodyn. 2019, 138, 282–287. [Google Scholar] [CrossRef]
- Paduano, L.; Sartorio, R.; Vitagliano, V.; Albright, J.; Miller, D.; Mitchell, J. Diffusion Coefficients In Systems With Inclusion Compounds. 1. Alpha.-Cyclodextrin-L-Phenylalanine-Water At 25.Degree.C. J. Phys. Chem. 1990, 94, 6885–6888. [Google Scholar] [CrossRef]
- Paduano, L.; Sartorio, R.; Vitagliano, V.; Albright, J.; Miller, D. Measurement Of The Mutual Diffusion Coefficients At One Composition Of The Four-Component System. Alpha-Cyclodextrin-L-Phenylalanine-Monobutylurea-Water At 25.degree.C. J. Phys. Chem. 1992, 96, 7478–7483. [Google Scholar] [CrossRef]
- Chemcraft—Graphical Software for Visualization of Quantum Chemistry Computations. Available online: https://www.chemcraftprog.com (accessed on 16 January 2023).
- Espitia-Galindo, N.; Hernández, D.J.; Zapata-Rivera, J.; Vargas, E.F. Complexation of sodium sulfamerazine with an ionic resorcin[4]arene: Thermodynamic and computational study. J. Mol. Liq. 2023, 370, 120954. [Google Scholar] [CrossRef]
- Hoegberg, A.G.S. Two Stereoisomeric Macrocyclic Resorcinol-Acetaldehyde Condensation Products. J. Org. Chem. 1980, 45, 4498–4500. [Google Scholar] [CrossRef]
- Tyrrell, H.J.V.; Harris, K.R. Diffusion in Liquids: A Theoretical and Experimental Study; Butterworths: London, UK, 1984. [Google Scholar]
- Callendar, R.; Leaist, D.G. Diffusion Coefficients For Binary, Ternary, And Polydisperse Solutions From Peak-Width Analysis Of Taylor Dispersion Profiles. J. Solution Chem. 2006, 35, 353–379. [Google Scholar] [CrossRef]
- Ribeiro, A.C.F.; Natividade, J.J.S.; Esteso, M.A. Differential Mutual Diffusion Coefficients Of Binary And Ternary Aqueous Systems Measured By The Open Ended Conductometric Capillary Cell And By The Taylor Technique. J. Mol. Liq. 2010, 156, 58–64. [Google Scholar] [CrossRef]
- Galindres, D.M.; Ribeiro, A.C.F.; Esteso, M.A.; Vargas, E.F.; Leaist, D.G.; Rodrigo, M.M. The Effects Of Sodium Chloride On The Diffusion Of Sulfonated Resorcinarenes In Aqueous Solutions. Fluid Phase Equil. 2020, 518, 112629. [Google Scholar] [CrossRef]
- Chen, M.; Diao, G.; Zhang, E. Study of Inclusion Complex of β-Cyclodextrin and Nitrobenzene. Chemosphere 2006, 63, 522–529. [Google Scholar] [CrossRef]
- Stephens, P.J.; Devlin, F.J.; Chabalowski, C.F.; Frisch, M.J. Ab Initio Calculation of Vibrational Absorption and Circular Dichroism Spectra Using Density Functional Force Fields. J. Phys. Chem. 1994, 98, 11623–11627. [Google Scholar] [CrossRef]
- Neese, F. The ORCA Program System. WIREs Comput. Mol. Sci. 2012, 2, 73–78. [Google Scholar] [CrossRef]
- Neese, F. Software Update: The ORCA Program System, Version 4.0. WIREs Comput. Mol. Sci. 2018, 8, e1327. [Google Scholar] [CrossRef]
- Weigend, F.; Ahlrichs, R. Balanced Basis Sets of Split Valence, Triple Zeta Valence and Quadruple Zeta Valence Quality for H to Rn: Design and Assessment of Accuracy. Phys. Chem. Chem. Phys. 2005, 7, 3297–3305. [Google Scholar] [CrossRef]
- Weigend, F. Accurate Coulomb-Fitting Basis Sets for H to Rn. Phys. Chem. Chem. Phys. 2006, 8, 1057–1065. [Google Scholar] [CrossRef]
- Hellweg, A.; Hättig, C.; Höfener, S.; Klopper, W. Optimized Accurate Auxiliary Basis Sets for RI-MP2 and RI-CC2 Calculations for the Atoms Rb to Rn. Theor. Chem. Acc. 2007, 117, 587–597. [Google Scholar] [CrossRef]
- Grimme, S.; Ehrlich, S.; Goerigk, L. Effect of the Damping Function in Dispersion Corrected Density Functional Theory. J. Comput. Chem. 2011, 32, 1456–1465. [Google Scholar] [CrossRef]
- Barone, V.; Cossi, M. Quantum Calculation of Molecular Energies and Energy Gradients in Solution by a Conductor Solvent Model. J. Phys. Chem. A 1998, 102, 1995–2001. [Google Scholar] [CrossRef]
- de Souza, B.; Farias, G.; Neese, F.; Izsák, R. Predicting Phosphorescence Rates of Light Organic Molecules Using Time-Dependent Density Functional Theory and the Path Integral Approach to Dynamics. J. Chem. Theory Comput. 2019, 15, 1896–1904. [Google Scholar] [CrossRef]
- de Souza, B.; Neese, F.; Izsák, R. On the Theoretical Prediction of Fluorescence Rates from First Principles Using the Path Integral Approach. J. Chem. Phys. 2018, 148, 34104. [Google Scholar] [CrossRef]








| C1a | C2a | X1b | D11 ± SD c | D12 ± SD c | D21 ± SD c | D22 ± SD c |
|---|---|---|---|---|---|---|
| 0.0000 | 0.0100 | 0.000 | 0.979 ± 0.010 | 0.047 ± 0.020 | 0.099 ± 0.025 | 0.711 ± 0.016 |
| 0.0025 | 0.0075 | 0.250 | 1.001 ± 0.015 | 0.060 ± 0.020 | 0.070 ± 0.015 | 0.700 ± 0.005 |
| 0.0005 | 0.0005 | 0.500 | 1.034 ± 0.010 | 0.076 ± 0.025 | 0.055 ± 0.012 | 0.660 ± 0.010 |
| 0.0075 | 0.0025 | 0.750 | 1.067 ± 0.011 | 0.410 ± 0.020 | 0.044 ± 0.009 | 0.599 ± 0.008 |
| 0.0100 | 0.0000 | 1.000 | 1.096 ± 0.025 | 1.201 ± 0.046 | 0.034 ± 0.020 | 0.499 ± 0.020 |
| C1a | C2a | X1b | D11 ± SD c | D12 ± SD c | D21 ± SD c | D22 ± SD c |
|---|---|---|---|---|---|---|
| 0.000 | 0.008 | 0.000 | 0.940 ± 0.005 | −0.039 ± 0.035 | 0.099 ± 0.020 | 0.436 ± 0.010 |
| 0.0025 | 0.0075 | 0.750 | 0.929 ± 0.007 | −0.030 ± 0.030 | 0.057 ± 0.010 | 0.443 ± 0.006 |
| 0.005 | 0.005 | 0.500 | 1.009 ± 0.006 | −0.220 ± 0.040 | 0.050 ± 0.025 | 0.446 ± 0.009 |
| 0.0075 | 0.0025 | 0.000 | 1.042 ± 0.003 | −0.209 ± 0.030 | 0.019 ± 0.010 | 0.456 ± 0.010 |
| 0.0100 | 0.000 | 1.000 | 1.055 ± 0.002 | −0.232 ± 0.020 | 0.034 ± 0.010 | 0.467 ± 0.009 |
| Species | Ds/(10−9 m2 s−1) |
|---|---|
| Salicylate ion (Sal−) | 0.918 |
| Β-CD | 0.436 |
| Sal-β-CD | 0.421 |
| Properties/System | ΔE (kcal/mol) | ΔG (kcal/mol) | ΔH (kcal/mol) | ΔS (kcal/kmol) | ΔGsolv (kcal/mol) |
|---|---|---|---|---|---|
| β-CD-NaSal | −36.255 | −17.722 | −33.894 | −0.0542 | −94.832 |
| Na4EtRA-NaSal | −20.362 | −4.172 | −18.485 | −0.0480 | −646.781 |
| β-CD-NaSal Complex | |||||
|---|---|---|---|---|---|
| State | λexp/(nm) | λcal/(nm) | Oscillator Strength | Dominant Electronic Transitions (%) | Type |
| 1 1A | 296 | 256 | 0.156 | → (10%) → (85%) | Intra NaSal Intra NaSal |
| 4 1A | 230 | 210 | 0.047 | → (46%) → (42%) | Intra NaSal Intra NaSal |
| 5 1A | 202 | 182 | 0.474 | → (35%) → (85%) | Intra NaSal Intra NaSal |
| Na4EtRA-NaSal Complex | |||||
| State | λexp/(nm) | λcal/(nm) | Oscillator Strength | Dominant Electronic Transitions (%) | Type |
| 3 1A | 286 | 252 | 0.212 | → (24%) → (14%) | CT NaSal-EtRA Intra EtRA |
| 13 1A | 213 | 212 | 0.043 | → (46%) | Intra EtRA |
| 16 1A | 213 | 212 | 0.041 | → (46%) | CT EtRA-NaSal |
| Chemical Name | Source | CAS Number | Mass Fraction Purity | Analysis Method |
|---|---|---|---|---|
| Na4EtRA | Synthesized | -- | >0.99 | 1H NMR; HPLC-qToF-PDA |
| Sodium salicylate | Panreac | 54-21-7 | >0.99 | |
| β-Cyclodextrin | Sigma-Aldrich (Water mass fraction 0.131) a | 7585-39-9 | >0.97 | |
| H2O | Millipore-Q water (ρ = 1.82 × 105 Ω m at 298.15 K) | 7732-18-5 | ||
| D2O | Sigma-Aldrich | 7789-20-0 |
Disclaimer/Publisher’s Note: The statements, opinions and data contained in all publications are solely those of the individual author(s) and contributor(s) and not of MDPI and/or the editor(s). MDPI and/or the editor(s) disclaim responsibility for any injury to people or property resulting from any ideas, methods, instructions or products referred to in the content. |
© 2023 by the authors. Licensee MDPI, Basel, Switzerland. This article is an open access article distributed under the terms and conditions of the Creative Commons Attribution (CC BY) license (https://creativecommons.org/licenses/by/4.0/).
Share and Cite
Galindres, D.M.; Espitia-Galindo, N.; Valente, A.J.M.; Sofio, S.P.C.; Rodrigo, M.M.; Cabral, A.M.T.D.P.V.; Esteso, M.A.; Zapata-Rivera, J.; Vargas, E.F.; Ribeiro, A.C.F. Interactions of Sodium Salicylate with β-Cyclodextrin and an Anionic Resorcin[4]arene: Mutual Diffusion Coefficients and Computational Study. Int. J. Mol. Sci. 2023, 24, 3921. https://doi.org/10.3390/ijms24043921
Galindres DM, Espitia-Galindo N, Valente AJM, Sofio SPC, Rodrigo MM, Cabral AMTDPV, Esteso MA, Zapata-Rivera J, Vargas EF, Ribeiro ACF. Interactions of Sodium Salicylate with β-Cyclodextrin and an Anionic Resorcin[4]arene: Mutual Diffusion Coefficients and Computational Study. International Journal of Molecular Sciences. 2023; 24(4):3921. https://doi.org/10.3390/ijms24043921
Chicago/Turabian StyleGalindres, Diana M., Nicolás Espitia-Galindo, Artur J. M. Valente, Sara P. C. Sofio, M. Melia Rodrigo, Ana M. T. D. P. V. Cabral, Miguel A. Esteso, Jhon Zapata-Rivera, Edgar F. Vargas, and Ana C. F. Ribeiro. 2023. "Interactions of Sodium Salicylate with β-Cyclodextrin and an Anionic Resorcin[4]arene: Mutual Diffusion Coefficients and Computational Study" International Journal of Molecular Sciences 24, no. 4: 3921. https://doi.org/10.3390/ijms24043921
APA StyleGalindres, D. M., Espitia-Galindo, N., Valente, A. J. M., Sofio, S. P. C., Rodrigo, M. M., Cabral, A. M. T. D. P. V., Esteso, M. A., Zapata-Rivera, J., Vargas, E. F., & Ribeiro, A. C. F. (2023). Interactions of Sodium Salicylate with β-Cyclodextrin and an Anionic Resorcin[4]arene: Mutual Diffusion Coefficients and Computational Study. International Journal of Molecular Sciences, 24(4), 3921. https://doi.org/10.3390/ijms24043921

