Polyphenols with Anti-Inflammatory Properties: Synthesis and Biological Activity of Novel Curcumin Derivatives
Abstract
1. Introduction
2. Results
2.1. Synthesis of Novel Curcumin Derivatives
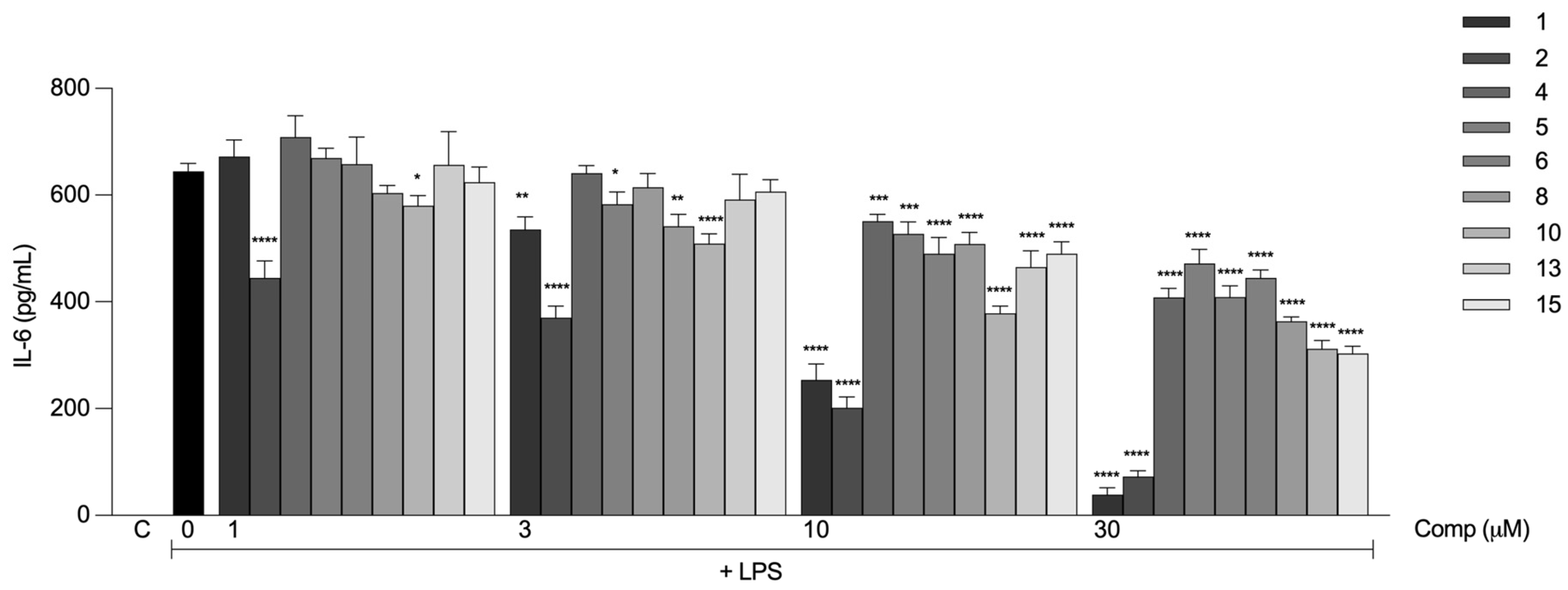
2.2. Anti-Inflammatory Activity of the Curcumin Derivatives In Vitro
3. Discussion
4. Materials and Methods
4.1. Synthesis
4.1.1. General Procedure 1 (GP1) for the Synthesis of Alkyl Succinate Monoesters (S1–S9)
Synthesis of 4-((Adamantan-2-yl)oxy)-4-oxobutanoic Acid (S1)
Synthesis of 4-((9,10-Dioxo-9,10-dihydroanthracen-2-yl)methoxy)-4-oxobutanoic Acid (S2)
Synthesis of 4-(Benzhydryloxy)-4-oxobutanoic Acid (S3)
Synthesis of 4-(Cyclohexyl(phenyl)methoxy)-4-oxobutanoic Acid (S4)
Synthesis of 4-((9H-Fluoren-9-yl)oxy)-4-oxobutanoic Acid (S5)
Synthesis of 4-((2,3-Dihydro-1H-inden-2-yl)oxy)-4-oxobutanoic Acid (S6)
Synthesis of 4-(((1R,2S,5R)-2-Isopropyl-5-methylcyclohexyl)oxy)-4-oxobutanoic Acid (S7)
Synthesis of 4-Methoxy-4-oxobutanoic Acid (S8)
Synthesis of 4-oxo-4-((1,2,3,4-Tetrahydronaphthalen-1-yl)oxy)butanoic Acid (S9)
4.1.2. General Procedure (GP2) for the Synthesis of Dialkylcurcumin and Monoalkylcurcumin (3–15)
Synthesis of Di((1r,3r,5r,7r)-adamantan-2-yl) O,O′-(((1E,3Z,6E)-3-hydroxy-5-oxohepta-1,3,6-triene-1,7-diyl)bis(2-methoxy-4,1-phenylene)) Disuccinate (3) and (1r,3r,5r,7r)-Adamantan-2-yl (4-((1E,4Z,6E)-5-hydroxy-7-(4-hydroxy-3-methoxyphenyl)-3-oxohepta-1,4,6-trien-1-yl)-2-methoxyphenyl) Succinate (4)
Synthesis of (9,10-Dioxo-9,10-dihydroanthracen-2-yl)methyl (4-((1E,4Z,6E)-5-hydroxy-7-(4-hydroxy-3-methoxyphenyl)-3-oxohepta-1,4,6-trien-1-yl)-2-methoxyphenyl) Succinate (5)
Synthesis of Benzhydryl (4-((1E,4Z,6E)-5-hydroxy-7-(4-hydroxy-3-methoxyphenyl)-3-oxohepta-1,4,6-trien-1-yl)-2-methoxyphenyl) Succinate (6)
Synthesis of Bis(cyclohexyl(phenyl)methyl) O,O′-(((1E,3Z,6E)-3-hydroxy-5-oxohepta-1,3,6-triene-1,7-diyl)bis(2-methoxy-4,1-phenylene)) Disuccinate (7) and Cyclohexyl(phenyl)methyl (4-((1E,4Z,6E)-5-hydroxy-7-(4-hydroxy-3-methoxyphenyl)-3-oxohepta-1,4,6-trien-1-yl)-2-methoxyphenyl) Succinate (8)
Synthesis of Di(9H-fluoren-9-yl) O,O′-(((1E,3Z,6E)-3-hydroxy-5-oxohepta-1,3,6-triene-1,7-diyl)bis(2-methoxy-4,1-phenylene)) Disuccinate (9) and 9H-Fluoren-9-yl (4-((1E,4Z,6E)-5-hydroxy-7-(4-hydroxy-3-methoxyphenyl)-3-oxohepta-1,4,6-trien-1-yl)-2-methoxyphenyl) Succinate (10)
Synthesis of Bis(2,3-dihydro-1H-inden-2-yl) O,O′-(((1E,3Z,6E)-3-hydroxy-5-oxohepta-1,3,6-triene-1,7-diyl)bis(2-methoxy-4,1-phenylene)) Disuccinate (11)
Synthesis of O,O′-(((1E,3Z,6E)-3-Hydroxy-5-oxohepta-1,3,6-triene-1,7-diyl)bis(2-methoxy-4,1-phenylene)) bis((1R,2S,5R)-2-isopropyl-5-methylcyclohexyl) Disuccinate (12) and 4-((1E,4Z,6E)-5-Hydroxy-7-(4-hydroxy-3-methoxyphenyl)-3-oxohepta-1,4,6-trien-1-yl)-2-methoxyphenyl((1R,2S,5R)-2-isopropyl-5-methylcyclohexyl) Succinate (13)
Synthesis of 4-((1E,4Z,6E)-5-Hydroxy-7-(4-hydroxy-3-methoxyphenyl)-3-oxohepta-1,4,6-trien-1-yl)-2-methoxyphenyl Methyl Succinate (14)
Synthesis of 4-((1E,4Z,6E)-5-Hydroxy-7-(4-hydroxy-3-methoxyphenyl)-3-oxohepta-1,4,6-trien-1-yl)-2-methoxyphenyl (1,2,3,4-tetrahydronaphthalen-1-yl) Succinate (15)
4.2. Mice
4.3. Ethics Statement
4.4. Macrophage Culture
4.5. IL-6 and PGE2 Measurements
4.6. Cytotoxicity Assay
4.7. Statistical Analysis
5. Conclusions
Supplementary Materials
Author Contributions
Funding
Data Availability Statement
Acknowledgments
Conflicts of Interest
References
- Lakey-Beitia, J.; Kumar, D.J.; Hegde, M.L.; Rao, K.S. Carotenoids as Novel Therapeutic Molecules Against Neurodegenerative Disorders: Chemistry and Molecular Docking Analysis. Int. J. Mol. Sci. 2019, 20, 5553. [Google Scholar] [CrossRef]
- Lakey-Beitia, J.; Berrocal, R.; Rao, K.S.; Durant, A.A. Polyphenols as Therapeutic Molecules in Alzheimer’s Disease Through Modulating Amyloid Pathways. Mol. Neurobiol. 2015, 51, 466–479. [Google Scholar] [CrossRef] [PubMed]
- Murillo, E.; Agócs, A.; Nagy, V.; Király, S.B.; Kurtán, T.; Toribio, E.M.; Lakey-Beitia, J.; Deli, J. Isolation and identification of sapotexanthin 5,6-epoxide and 5,8-epoxide from red mamey (Pouteria sapota). Chirality 2020, 32, 579–587. [Google Scholar] [CrossRef] [PubMed]
- Lakey-Beitia, J.; Vasquez, V.; Mojica-Flores, R.; Fuentes, C.A.L.; Murillo, E.; Hedge, M.L.; Rao, K.S. Pouteria sapota (Red Mamey Fruit): Chemistry and Biological Activity of Carotenoids. Comb. Chem. High Throughput Screen. 2021, 25, 1134–1147. [Google Scholar]
- Wichitnithad, W.; Nimmannit, U.; Wacharasindhu, S.; Rojsitthisak, P. Synthesis, characterization and biological evaluation of succinate prodrugs of curcuminoids for colon cancer treatment. Molecules 2011, 16, 1888–1900. [Google Scholar] [CrossRef]
- He, Y.; Yue, Y.; Zheng, X.; Zhang, K.; Chen, S.; Du, Z. Curcumin, inflammation, and chronic diseases: How are they linked? Molecules 2015, 20, 9183–9213. [Google Scholar] [CrossRef]
- Shi, W.; Dolai, S.; Rizk, S.; Hussain, A.; Tariq, H.; Averick, S.; L’Amoreaux, W.; El Idrissi, A.; Banerjee, P.; Raja, K. Synthesis of monofunctional curcumin derivatives, clicked curcumin dimer, and a PAMAM dendrimer curcumin conjugate for therapeutic applications. Org. Lett. 2007, 9, 5461–5464. [Google Scholar] [CrossRef]
- Parvathy, K.S.; Negi, P.S.; Srinivas, P. Curcumin-amino acid conjugates: Synthesis, antioxidant and antimutagenic attributes. Food Chem. 2010, 120, 523–530. [Google Scholar] [CrossRef]
- de C. F. Gomes, D.; Vilela Alegrio, L.; Edilson Freire de Lima, M.; Leon, L.L.; Araújo, C.A.C. Synthetic Derivatives of Curcumin and their Activity against Leishmania amazonensis. Arzneim.-Forsch./Drug Res. 2002, 52, 120–124. [Google Scholar]
- Jovanovic, S.V.; Boone, C.W.; Steenken, S.; Trinoga, M.; Kaskey, R.B. How Curcumin Works Preferentially with Water Soluble Antioxidants. J. Am. Chem. Soc. 2001, 123, 3064–3068. [Google Scholar] [CrossRef]
- Feng, L.; Li, Y.; Song, Z.-F.; Huai, Q.-Y.; Li, H.-J. Synthesis and biological evaluation of curcuminoid derivatives. Chem. Pharm. Bull. 2015, 63, 873–881. [Google Scholar] [CrossRef]
- Banuppriya, G.; Sribalan, R.; Padmini, V.; Shanmugaiah, V. Biological evaluation and molecular docking studies of new curcuminoid derivatives: Synthesis and characterization. Bioorg. Med. Chem. Lett. 2016, 26, 1655–1659. [Google Scholar] [CrossRef] [PubMed]
- Lozada-García, M.C.; Enríquez, R.G.; Ramírez-Apán, T.O.; Nieto-Camacho, A.; Palacios-Espinosa, J.F.; Custodio-Galván, Z.; Soria-Arteche, O.; Pérez-Villanueva, J. Synthesis of curcuminoids and evaluation of their cytotoxic and antioxidant properties. Molecules 2017, 22, 633. [Google Scholar] [CrossRef]
- Marchiani, A.; Mammi, S.; Siligardi, G.; Hussain, R.; Tessari, I.; Bubacco, L.; Delogu, G.; Fabbri, D.; Ruzza, P. Small molecules interacting with alpha -synuclein: Antiaggregating and cytoprotective properties. Amino Acids 2013, 45, 327–338. [Google Scholar] [CrossRef] [PubMed]
- Rajeswari, A.; Sabesan, M. Inhibition of monoamine oxidase-B by the polyphenolic compound, curcumin and its metabolite tetrahydrocurcumin, in a model of Parkinson’s disease induced by MPTP neurodegeneration in mice. Inflammopharmacology 2008, 16, 96–99. [Google Scholar] [CrossRef] [PubMed]
- Lakey-Beitia, J.; Gonzalez, Y.; Doens, D.; Stephens, D.E.; Santamaria, R.; Murillo, E.; Rao, K.S.; Larionov, O.V.; Durant-Archibold, A.A. Assessment of Novel Curcumin Derivatives for the Prevention of the Inflammatory Process in Alzheimer’s Disease. J. Alzheimers Dis. 2017, 2017, S59–S68. [Google Scholar] [CrossRef]
- Orjuela, A.; Lakey-Beitia, J.; Mojica-Flores, R.; Hegde, M.L.; Lans, I.; Alí-Torres, J.; Rao, K.S. Computational Evaluation of Interaction Between Curcumin Derivatives and Amyloid-β Monomers and Fibrils: Relevance to Alzheimer’s Disease. J. Alzheimers Dis. 2020, 82, S321–S333. [Google Scholar] [CrossRef]
- Abe, Y.; Hashimoto, S.; Horie, T. Curcumin inhibition of inflammatory cytokine production by human peripheral blood monocytes and alveolar macrophages. Pharmacol. Res. 1999, 39, 41–47. [Google Scholar] [CrossRef]
- Surh, Y.J.; Chun, K.S.; Cha, H.H.; Han, S.S.; Keum, Y.S.; Park, K.K.; Lee, S.S. Molecular mechanisms underlying chemopreventive activities of anti-inflammatory phytochemicals: Down-regulation of COX-2 and iNOS through suppression of NF-κB activation. Mutat. Res. 2001, 480–481, 243–268. [Google Scholar] [CrossRef]
- Jobin, C.; Bradham, C.A.; Russo, M.P.; Juma, B.; Narula, A.S.; Brenner, D.A.; Sartor, R.B. Curcumin Blocks Cytokine-Mediated NF- κ B Activation and Proinflammatory Gene Expression by Inhibiting Inhibitory Factor I- κ B Kinase Activity. J. Immunol. 1999, 163, 3474–3483. [Google Scholar] [CrossRef]
- Jurenka, J.S. Anti-inflammatory properties of curcumin, a major constituent of Curcuma longa: A review of preclinical and clinical research. Altern. Med. Rev. 2009, 14, 141–153. [Google Scholar] [PubMed]
- Chainani-Wu, N. Safety and Anti-Inflammatory Activity of Curcumin: A Component of Tumeric (Curcuma longa). J. Altern. Complement. Med. 2003, 9, 161–168. [Google Scholar] [CrossRef] [PubMed]
- Wu, J.; Zhang, Y.; Cai, Y.; Wang, J.; Weng, B.; Tang, Q.; Chen, X.; Pan, Z.; Liang, G.; Yang, S. Discovery and evaluation of piperid-4-one-containing mono-carbonyl analogs of curcumin as anti-inflammatory agents. Bioorg. Med. Chem. 2013, 21, 3058–3065. [Google Scholar] [CrossRef]
- Masuda, T.; Hidaka, K.; Shinohara, A.; Maekawa, T.; Takeda, Y.; Yamaguchi, H. Chemical studies on antioxidant mechanism of curcuminoid: Analysis of radical reaction products from curcumin. J. Agric. Food Chem. 1999, 47, 71–77. [Google Scholar] [CrossRef] [PubMed]
- Tang, B.L. Alzheimer’s disease: Channeling APP to non-amyloidogenic processing. Biochem. Biophys. Res. Commun. 2005, 331, 375–378. [Google Scholar] [CrossRef] [PubMed]
- Ukil, A.; Maity, S.; Karmakar, S.; Datta, N.; Vedasiromoni, J.R.; Das, P.K. Curcumin, the major component of food flavour turmeric, reduces mucosal injury in trinitrobenzene sulphonic acid-induced colitis. Br. J. Pharmacol. 2003, 139, 209–218. [Google Scholar] [CrossRef]
- Ouberai, M.; Dumy, P.; Chierici, S.; Garcia, J. Synthesis and biological evaluation of clicked curcumin and clicked KLVFFA conjugates as inhibitors of β-amyloid fibril formation. Bioconjug. Chem. 2009, 20, 2123–2132. [Google Scholar] [CrossRef]
- Dolai, S.; Sun, C.; Averick, S.; Obeysekera, D.; Banerjee, P.; Raja, K.; Shi, W.; Corbo, C.; Farid, M.; Alonso, A. “Clicked” sugar.curcumin conjugate: Modulator of amyloid-βand tau peptide aggregation at ultralow concentrations. ACS Chem. Neurosci. 2011, 2, 694–699. [Google Scholar] [CrossRef]
- Reddy, S.T.; Herschman, H.R. Ligand-induced prostaglandin synthesis requires expression of the TIS10/PGS-2 prostaglandin synthase gene in murine fibroblasts and macrophages. J. Biol. Chem. 1994, 269, 15473–15480. [Google Scholar] [CrossRef]
- Zhang, F.; Altorki, N.K.; Mestre, J.R.; Subbaramaiah, K.; Dannenberg, A.J. Curcumin inhibits cyclooxygenase-2 transcription in bile acid- and phorbol ester-treated human gastrointestinal epithelial cells. Carcinogenesis 1999, 20, 445–451. [Google Scholar] [CrossRef]
- Nakatsugi, S.; Sugimoto, N.; Furukawa, M. Effects of non-steroidal anti-inflammatory drugs on prostaglandin E2 production by cyclooxygenase-2 from endogenous and exogenous arachidonic acid in rat peritoneal macrophages stimulated with lipopolysaccharide. Prostaglandins Leukot. Essent. Fat. Acids 1996, 55, 451–457. [Google Scholar] [CrossRef] [PubMed]





| Compound | a IC50 ± S.D. (μM) IL-6 | a IC50 ± S.D. (μM) PGE2 |
|---|---|---|
| 1 | 6.85 ± 2.50 | 1.34 ± 0.067 |
| 2 | 3.59 ± 0.27 | 0.51 ± 0.08 |
| 4 | 10.5 ± 0.6 | 4.50 ± 3.18 |
| 5 | 7.11 ± 0.75 | 2.60 ± 1.75 |
| 6 | 4.21 ± 0.73 | 4.43 ± 0.85 |
| 8 | 1.94 ± 0.66 | 5.90 ± 2.38 |
| 10 | 3.60 ± 0.21 | 5.93 ± 2.29 |
| 13 | 10.6 ± 0.33 | 5.42 ± 2.04 |
| 15 | 10.4 ± 0.75 | 3.07 ± 0.72 |
Disclaimer/Publisher’s Note: The statements, opinions and data contained in all publications are solely those of the individual author(s) and contributor(s) and not of MDPI and/or the editor(s). MDPI and/or the editor(s) disclaim responsibility for any injury to people or property resulting from any ideas, methods, instructions or products referred to in the content. |
© 2023 by the authors. Licensee MDPI, Basel, Switzerland. This article is an open access article distributed under the terms and conditions of the Creative Commons Attribution (CC BY) license (https://creativecommons.org/licenses/by/4.0/).
Share and Cite
González, Y.; Mojica-Flores, R.; Moreno-Labrador, D.; Cubilla-Rios, L.; Rao, K.S.J.; Fernández, P.L.; Larionov, O.V.; Lakey-Beitia, J. Polyphenols with Anti-Inflammatory Properties: Synthesis and Biological Activity of Novel Curcumin Derivatives. Int. J. Mol. Sci. 2023, 24, 3691. https://doi.org/10.3390/ijms24043691
González Y, Mojica-Flores R, Moreno-Labrador D, Cubilla-Rios L, Rao KSJ, Fernández PL, Larionov OV, Lakey-Beitia J. Polyphenols with Anti-Inflammatory Properties: Synthesis and Biological Activity of Novel Curcumin Derivatives. International Journal of Molecular Sciences. 2023; 24(4):3691. https://doi.org/10.3390/ijms24043691
Chicago/Turabian StyleGonzález, Yisett, Randy Mojica-Flores, Dilan Moreno-Labrador, Luis Cubilla-Rios, K. S. Jagannatha Rao, Patricia L. Fernández, Oleg V. Larionov, and Johant Lakey-Beitia. 2023. "Polyphenols with Anti-Inflammatory Properties: Synthesis and Biological Activity of Novel Curcumin Derivatives" International Journal of Molecular Sciences 24, no. 4: 3691. https://doi.org/10.3390/ijms24043691
APA StyleGonzález, Y., Mojica-Flores, R., Moreno-Labrador, D., Cubilla-Rios, L., Rao, K. S. J., Fernández, P. L., Larionov, O. V., & Lakey-Beitia, J. (2023). Polyphenols with Anti-Inflammatory Properties: Synthesis and Biological Activity of Novel Curcumin Derivatives. International Journal of Molecular Sciences, 24(4), 3691. https://doi.org/10.3390/ijms24043691

