Long-Term Neuromodulatory Effects of Repetitive Transcranial Magnetic Stimulation (rTMS) on Plasmatic Matrix Metalloproteinases (MMPs) Levels and Visuospatial Abilities in Mild Cognitive Impairment (MCI)
Abstract
1. Introduction
2. Results
2.1. Clinical and Neuropsychological Assessment
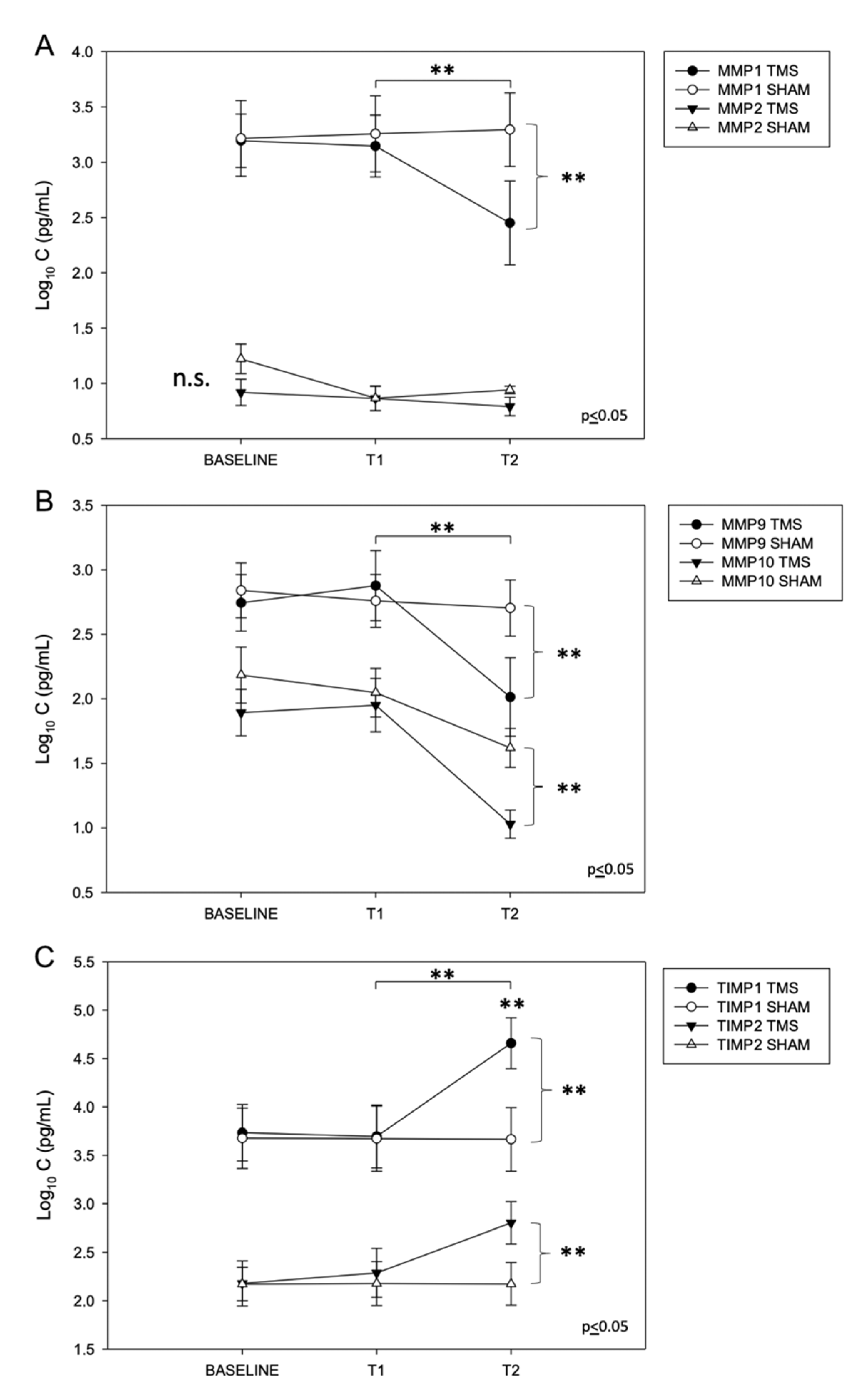
2.2. rTMS-Induced Modulation of MMPs/TIMPs Plasmatic Levels
3. Discussion
4. Conclusions
5. Materials and Methods
5.1. Study Populations
5.2. Study Design
5.2.1. Neuropsychological Assessment
5.2.2. TMS Protocol
5.2.3. MMPs Plasma Dosage
5.3. Statistical Analysis
Author Contributions
Funding
Institutional Review Board Statement
Informed Consent Statement
Data Availability Statement
Acknowledgments
Conflicts of Interest
References
- Li, H.-T.; Yuan, S.-X.; Wu, J.-S.; Gu, Y.; Sun, X. Predicting Conversion from MCI to AD Combining Multi-Modality Data and Based on Molecular Subtype. Brain Sci. 2021, 11, 674. [Google Scholar] [CrossRef] [PubMed]
- Ward, A.; Tardiff, S.; Dye, C.; Arrighi, H.M. Rate of Conversion from Prodromal Alzheimer’s Disease to Alzheimer’s Dementia: A Systematic Review of the Literature. Dement. Geriatr. Cogn. Dis. Extra 2013, 3, 320–332. [Google Scholar] [CrossRef] [PubMed]
- Arnáiz, E.; Almkvist, O. Neuropsychological Features of Mild Cognitive Impairment and Preclinical Alzheimer’s Disease. Acta Neurol. Scand. 2003, 107, 34–41. [Google Scholar] [CrossRef]
- Cirillo, G.; Di Pino, G.; Capone, F.; Ranieri, F.; Florio, L.; Todisco, V.; Tedeschi, G.; Funke, K.; Di Lazzaro, V. Neurobiological After-Effects of Non-Invasive Brain Stimulation. Brain Stimul. 2017, 10, 1–18. [Google Scholar] [CrossRef]
- Korai, S.A.; Ranieri, F.; Di Lazzaro, V.; Papa, M.; Cirillo, G. Neurobiological After-Effects of Low Intensity Transcranial Electric Stimulation of the Human Nervous System: From Basic Mechanisms to Metaplasticity. Front. Neurol. 2021, 12, 587771. [Google Scholar] [CrossRef]
- Cirillo, G.; Negrete-Diaz, F.; Yucuma, D.; Virtuoso, A.; Korai, S.A.; De Luca, C.; Kaniusas, E.; Papa, M.; Panetsos, F. Vagus Nerve Stimulation: A Personalized Therapeutic Approach for Crohn’s and Other Inflammatory Bowel Diseases. Cells 2022, 11, 4103. [Google Scholar] [CrossRef]
- Cirillo, G.; Di Vico, I.A.; Emadi Andani, M.; Morgante, F.; Sepe, G.; Tessitore, A.; Bologna, M.; Tinazzi, M. Changes in Corticospinal Circuits During Premovement Facilitation in Physiological Conditions. Front. Hum. Neurosci. 2021, 15, 4013. [Google Scholar] [CrossRef]
- Demirtas-Tatlidede, A.; Vahabzadeh-Hagh, A.M.; Bernabeu, M.; Tormos, J.M.; Pascual-Leone, A. Noninvasive Brain Stimulation in Traumatic Brain Injury. J. Head Trauma Rehabil. 2012, 27, 274–292. [Google Scholar] [CrossRef]
- Esposito, S.; Trojsi, F.; Cirillo, G.; de Stefano, M.; Di Nardo, F.; Siciliano, M.; Caiazzo, G.; Ippolito, D.; Ricciardi, D.; Buonanno, D.; et al. Repetitive Transcranial Magnetic Stimulation (RTMS) of Dorsolateral Prefrontal Cortex May Influence Semantic Fluency and Functional Connectivity in Fronto-Parietal Network in Mild Cognitive Impairment (MCI). Biomedicines 2022, 10, 994. [Google Scholar] [CrossRef]
- Di Lazzaro, V.; Bella, R.; Benussi, A.; Bologna, M.; Borroni, B.; Capone, F.; Chen, K.-H.S.; Chen, R.; Chistyakov, A.V.; Classen, J.; et al. Diagnostic Contribution and Therapeutic Perspectives of Transcranial Magnetic Stimulation in Dementia. Clin. Neurophysiol. 2021, 132, 2568–2607. [Google Scholar] [CrossRef]
- Chou, Y.; Ton That, V.; Sundman, M. A Systematic Review and Meta-Analysis of RTMS Effects on Cognitive Enhancement in Mild Cognitive Impairment and Alzheimer’s Disease. Neurobiol. Aging 2020, 86, 1–10. [Google Scholar] [CrossRef]
- Müller-Dahlhaus, F.; Vlachos, A. Unraveling the Cellular and Molecular Mechanisms of Repetitive Magnetic Stimulation. Front. Mol. Neurosci. 2013, 6, 50. [Google Scholar] [CrossRef]
- Nägerl, U.V.; Eberhorn, N.; Cambridge, S.B.; Bonhoeffer, T. Bidirectional Activity-Dependent Morphological Plasticity in Hippocampal Neurons. Neuron 2004, 44, 759–767. [Google Scholar] [CrossRef]
- Malenka, R.C.; Bear, M.F. LTP and LTD: An Embarrassment of Riches. Neuron 2004, 44, 5–21. [Google Scholar] [CrossRef]
- Cragnolini, A.; Lampitella, G.; Virtuoso, A.; Viscovo, I.; Panetsos, F.; Papa, M.; Cirillo, G. Regional Brain Susceptibility to Neurodegeneration: What Is the Role of Glial Cells? Neural Regen. Res. 2020, 15, 838. [Google Scholar] [CrossRef]
- Virtuoso, A.; De Luca, C.; Korai, S.; Papa, M.; Cirillo, G. Neuroinflammation and Glial Activation in the Central Nervous System: A Metabolic Perspective. Neural Regen. Res. 2023, 18, 1025. [Google Scholar] [CrossRef]
- Bruno, M.A.; Cuello, A.C. Activity-Dependent Release of Precursor Nerve Growth Factor, Conversion to Mature Nerve Growth Factor, and Its Degradation by a Protease Cascade. Proc. Natl. Acad. Sci. USA 2006, 103, 6735–6740. [Google Scholar] [CrossRef]
- Allen, M.; Ghosh, S.; Ahern, G.P.; Villapol, S.; Maguire-Zeiss, K.A.; Conant, K. Protease Induced Plasticity: Matrix Metalloproteinase-1 Promotes Neurostructural Changes through Activation of Protease Activated Receptor 1. Sci. Rep. 2016, 6, 35497. [Google Scholar] [CrossRef]
- Iulita, M.F.; Do Carmo, S.; Ower, A.K.; Fortress, A.M.; Aguilar, L.F.; Hanna, M.; Wisniewski, T.; Granholm, A.-C.; Buhusi, M.; Busciglio, J.; et al. Nerve Growth Factor Metabolic Dysfunction in Down’s Syndrome Brains. Brain 2014, 137, 860–872. [Google Scholar] [CrossRef]
- De Luca, C.; Papa, M. Looking Inside the Matrix: Perineuronal Nets in Plasticity, Maladaptive Plasticity and Neurological Disorders. Neurochem. Res. 2016, 41, 1507–1515. [Google Scholar] [CrossRef]
- De Luca, C.; Papa, M.; Papa, M. Matrix Metalloproteinases, Neural Extracellular Matrix, and Central Nervous System Pathology. In Progress in Molecular Biology and Translational Science; Elsevier: Amsterdam, The Netherlands, 2017; Volume 148, pp. 167–202. [Google Scholar]
- Dityatev, A.; Schachner, M.; Sonderegger, P. The Dual Role of the Extracellular Matrix in Synaptic Plasticity and Homeostasis. Nat. Rev. Neurosci. 2010, 11, 735–746. [Google Scholar] [CrossRef] [PubMed]
- Cirillo, G.; Colangelo, A.M.; Bianco, M.R.; Cavaliere, C.; Zaccaro, L.; Sarmientos, P.; Alberghina, L.; Papa, M. BB14, a Nerve Growth Factor (NGF)-like Peptide Shown to Be Effective in Reducing Reactive Astrogliosis and Restoring Synaptic Homeostasis in a Rat Model of Peripheral Nerve Injury. Biotechnol. Adv. 2012, 30, 223–232. [Google Scholar] [CrossRef] [PubMed]
- Cirillo, G.; Colangelo, A.M.; De Luca, C.; Savarese, L.; Barillari, M.R.; Alberghina, L.; Papa, M. Modulation of Matrix Metalloproteinases Activity in the Ventral Horn of the Spinal Cord Re-Stores Neuroglial Synaptic Homeostasis and Neurotrophic Support Following Peripheral Nerve Injury. PLoS ONE 2016, 11, e0152750. [Google Scholar] [CrossRef] [PubMed]
- De Luca, C.; Virtuoso, A.; Cerasuolo, M.; Gargano, F.; Colangelo, A.M.; Lavitrano, M.; Cirillo, G.; Papa, M. Matrix Metalloproteinases, Purinergic Signaling, and Epigenetics: Hubs in the Spinal Neuroglial Network Following Peripheral Nerve Injury. Histochem. Cell Biol. 2022, 157, 557–567. [Google Scholar] [CrossRef]
- De Luca, C.; Colangelo, A.M.; Virtuoso, A.; Alberghina, L.; Papa, M. Neurons, Glia, Extracellular Matrix and Neurovascular Unit: A Systems Biology Approach to the Complexity of Synaptic Plasticity in Health and Disease. Int. J. Mol. Sci. 2020, 21, 1539. [Google Scholar] [CrossRef]
- Rosenberg, G.A. Binswanger’s Disease: Biomarkers in the Inflammatory Form of Vascular Cognitive Impairment and Dementia. J. Neurochem. 2018, 144, 634–643. [Google Scholar] [CrossRef]
- Colangelo, A.M.; Cirillo, G.; Lavitrano, M.L.; Alberghina, L.; Papa, M. Targeting Reactive Astrogliosis by Novel Biotechnological Strategies. Biotechnol. Adv. 2012, 30, 16. [Google Scholar] [CrossRef]
- Papa, M.; De Luca, C.; Petta, F.; Alberghina, L.; Cirillo, G. Astrocyte-Neuron Interplay in Maladaptive Plasticity. Neurosci. Biobehav. Rev. 2014, 42, 35–54. [Google Scholar] [CrossRef]
- Fahnestock, M.; Michalski, B.; Xu, B.; Coughlin, M.D. The Precursor Pro-Nerve Growth Factor Is the Predominant Form of Nerve Growth Factor in Brain and Is Increased in Alzheimer’s Disease. Mol. Cell. Neurosci. 2001, 18, 210–220. [Google Scholar] [CrossRef]
- Cirillo, G.; Bianco, M.R.; Colangelo, A.M.; Cavaliere, C.; Daniele, D.L.; Zaccaro, L.; Alberghina, L.; Papa, M. Reactive Astrocytosis-Induced Perturbation of Synaptic Homeostasis Is Restored by Nerve Growth Factor. Neurobiol. Dis. 2011, 41, 630–639. [Google Scholar] [CrossRef]
- Virtuoso, A.; Colangelo, A.M.; Korai, S.A.; Izzo, S.; Todisco, A.; Giovannoni, R.; Lavitrano, M.; Papa, M.; Cirillo, G. Inhibition of Plasminogen/Plasmin System Retrieves Endogenous Nerve Growth Factor and Adaptive Spinal Synaptic Plasticity Following Peripheral Nerve Injury. Neurochem. Int. 2021, 148, 105–113. [Google Scholar] [CrossRef]
- De Luca, C.; Savarese, L.; Colangelo, A.M.; Bianco, M.R.; Cirillo, G.; Alberghina, L.; Papa, M. Astrocytes and Microglia-Mediated Immune Response in Maladaptive Plasticity Is Differently Modulated by NGF in the Ventral Horn of the Spinal Cord Following Peripheral Nerve Injury. Cell Mol. Neurobiol. 2016, 36, 37–46. [Google Scholar] [CrossRef]
- Peeters, S.A.; Engelen, L.; Buijs, J.; Jorsal, A.; Parving, H.-H.; Tarnow, L.; Rossing, P.; Schalkwijk, C.G.; Stehouwer, C.D.A. Plasma Matrix Metalloproteinases Are Associated with Incident Cardiovascular Disease and All-Cause Mortality in Patients with Type 1 Diabetes: A 12-Year Follow-up Study. Cardiovasc. Diabetol. 2017, 16, 55. [Google Scholar] [CrossRef]
- Gajewska, B.; Śliwińska-Mossoń, M. Association of MMP-2 and MMP-9 Polymorphisms with Diabetes and Pathogenesis of Diabetic Complications. Int. J. Mol. Sci. 2022, 23, 10571. [Google Scholar] [CrossRef]
- Thrailkill, K.M.; Bunn, R.C.; Moreau, C.S.; Cockrell, G.E.; Simpson, P.M.; Coleman, H.N.; Frindik, J.P.; Kemp, S.F.; Fowlkes, J.L. Matrix Metalloproteinase-2 Dysregulation in Type 1 Diabetes. Diabetes Care 2007, 30, 2321–2326. [Google Scholar] [CrossRef]
- Chase, A.J.; Newby, A.C. Regulation of Matrix Metalloproteinase (Matrixin) Genes in Blood Vessels: A Multi-Step Recruitment Model for Pathological Remodelling. J. Vasc. Res. 2003, 40, 329–343. [Google Scholar] [CrossRef]
- Frąk, W.; Wojtasińska, A.; Lisińska, W.; Młynarska, E.; Franczyk, B.; Rysz, J. Pathophysiology of Cardiovascular Diseases: New Insights into Molecular Mechanisms of Atherosclerosis, Arterial Hypertension, and Coronary Artery Disease. Biomedicines 2022, 10, 1938. [Google Scholar] [CrossRef]
- Juin, S.K.; Pushpakumar, S.; Tyagi, S.C.; Sen, U. Glucosidase Inhibitor, Nimbidiol Ameliorates Renal Fibrosis and Dysfunction in Type-1 Diabetes. Sci. Rep. 2022, 12, 21707. [Google Scholar] [CrossRef]
- Theerasri, A.; Janpaijit, S.; Tencomnao, T.; Prasansuklab, A. Beyond the Classical Amyloid Hypothesis in Alzheimer’s Disease: Molecular Insights into Current Concepts of Pathogenesis, Therapeutic Targets, and Study Models. WIREs Mech. Dis. 2022, e1591. [Google Scholar] [CrossRef]
- Steinman, J.; Sun, H.-S.; Feng, Z.-P. Microvascular Alterations in Alzheimer’s Disease. Front. Cell Neurosci. 2021, 14, 618986. [Google Scholar] [CrossRef]
- Kim, Y.-S.; Joh, T.-H. Matrix Metalloproteinases, New Insights into the Understanding of Neurodegenerative Disorders. Biomol. Ther. 2012, 20, 133–143. [Google Scholar] [CrossRef] [PubMed]
- Rosenberg, G.A. Matrix Metalloproteinases and Their Multiple Roles in Neurodegenerative Diseases. Lancet Neurol. 2009, 8, 205–216. [Google Scholar] [CrossRef] [PubMed]
- Martino Adami, P.V.; Orellana, A.; García, P.; Kleineidam, L.; Alarcón-Martín, E.; Montrreal, L.; Aguilera, N.; Espinosa, A.; Abdelnour, C.; Rosende-Roca, M.; et al. Matrix Metalloproteinase 10 Is Linked to the Risk of Progression to Dementia of the Alzheimer’s Type. Brain 2022, 145, 2507–2517. [Google Scholar] [CrossRef] [PubMed]
- Lee, M.A.; Palace, J.; Stabler, G.; Ford, J.; Gearing, A.; Miller, K. Serum Gelatinase B, TIMP-1 and TIMP-2 Levels in Multiple Sclerosis. Brain 1999, 122, 191–197. [Google Scholar] [CrossRef] [PubMed]
- Lichtinghagen, R.; Seifert, T.; Kracke, A.; Marckmann, S.; Wurster, U.; Heidenreich, F. Expression of Matrix Metalloproteinase-9 and Its Inhibitors in Mononuclear Blood Cells of Patients with Multiple Sclerosis. J. Neuroimmunol. 1999, 99, 19–26. [Google Scholar] [CrossRef]
- Mirowska, D.; Wicha, W.; Czlonkowski, A.; Czlonkowska, A.; Weber, F. Increase of Matrix Metalloproteinase-9 in Peripheral Blood of Multiple Sclerosis Patients Treated with High Doses of Methylprednisolone. J. Neuroimmunol. 2004, 146, 171–175. [Google Scholar] [CrossRef]
- Waubant, E.; Goodkin, D.E.; Gee, L.; Bacchetti, P.; Sloan, R.; Stewart, T.; Andersson, P.-B.; Stabler, G.; Miller, K. Serum MMP-9 and TIMP-1 Levels Are Related to MRI Activity in Relapsing Multiple Sclerosis. Neurology 1999, 53, 1397–1401. [Google Scholar] [CrossRef]
- Mapstone, M.; Steffenella, T.M.; Duffy, C.J. A Visuospatial Variant of Mild Cognitive Impairment: Getting Lost between Aging and AD. Neurology 2003, 60, 802–808. [Google Scholar] [CrossRef]
- Vannini, P.; Almkvist, O.; Dierks, T.; Lehmann, C.; Wahlund, L.-O. Reduced Neuronal Efficacy in Progressive Mild Cognitive Impairment: A Prospective FMRI Study on Visuospatial Processing. Psychiatry Res. Neuroimaging 2007, 156, 43–57. [Google Scholar] [CrossRef]
- Jacobs, H.I.L.; Gronenschild, E.H.B.M.; Evers, E.A.T.; Ramakers, I.H.G.B.; Hofman, P.A.M.; Backes, W.H.; Jolles, J.; Verhey, F.R.J.; Van Boxtel, M.P.J. Visuospatial Processing in Early Alzheimer’s Disease: A Multimodal Neuroimaging Study. Cortex 2015, 64, 394–406. [Google Scholar] [CrossRef]
- Garcia-Diaz, A.I.; Segura, B.; Baggio, H.C.; Uribe, C.; Campabadal, A.; Abos, A.; Marti, M.J.; Valldeoriola, F.; Compta, Y.; Bargallo, N.; et al. Cortical Thinning Correlates of Changes in Visuospatial and Visuoperceptual Performance in Parkinson’s Disease: A 4-Year Follow-Up. Park. Relat. Disord. 2018, 46, 62–68. [Google Scholar] [CrossRef]
- Benton, A.; Tranel, D. Visuoperceptual, Visuospatial, and Visuoconstructive Disorders. In Clinical Neuropsychology, 3rd ed.; APA: Washington, DC, USA, 1993; ISBN 0-19-508123-4. [Google Scholar]
- Hamsher, K.; Capruso, D.X.; Benton, A. Visuospatial Judgment and Right Hemisphere Disease. Cortex 1992, 28, 493–495. [Google Scholar] [CrossRef]
- Ng, V.W.K.; Bullmore, E.T.; de Zubicaray, G.I.; Cooper, A.; Suckling, J.; Williams, S.C.R. Identifying Rate-Limiting Nodes in Large-Scale Cortical Networks for Visuospatial Processing: An Illustration Using FMRI. J. Cogn. Neurosci. 2001, 13, 537–545. [Google Scholar] [CrossRef]
- Wasserman, V.; Emrani, S.; Matusz, E.F.; Peven, J.; Cleary, S.; Price, C.C.; Ginsberg, T.B.; Swenson, R.; Heilman, K.M.; Lamar, M.; et al. Visuospatial Performance in Patients with Statistically-Defined Mild Cognitive Impairment. J. Clin. Exp. Neuropsychol. 2020, 42, 319–328. [Google Scholar] [CrossRef]
- Kosslyn, S.M.; Alpert, N.M.; Thompson, W.L.; Chabris, C.F.; Rauch, S.L.; Anderson, A.K. Identifying Objects Seen from Different Viewpoints A PET Investigation. Brain 1994, 117, 1055–1071. [Google Scholar] [CrossRef]
- Kravitz, D.J.; Saleem, K.S.; Baker, C.I.; Mishkin, M. A New Neural Framework for Visuospatial Processing. Nat. Rev. Neurosci. 2011, 12, 217–230. [Google Scholar] [CrossRef]
- Mishkin, M.; Ungerleider, L.G.; Macko, K.A. Object Vision and Spatial Vision: Two Cortical Pathways. Trends Neurosci. 1983, 6, 414–417. [Google Scholar] [CrossRef]
- Singh, D.; Srivastava, S.K.; Chaudhuri, T.K.; Upadhyay, G. Multifaceted Role of Matrix Metalloproteinases (MMPs). Front. Mol. Biosci. 2015, 2, 19. [Google Scholar] [CrossRef]
- Qin, L.; Liu, Y.; Cooper, C.; Liu, B.; Wilson, B.; Hong, J.-S. Microglia Enhance β-Amyloid Peptide-Induced Toxicity in Cortical and Mesencephalic Neurons by Producing Reactive Oxygen Species. J. Neurochem. 2002, 83, 973–983. [Google Scholar] [CrossRef]
- Bruno, M.A.; Mufson, E.J.; Wuu, J.; Cuello, A.C. Increased Matrix Metalloproteinase 9 Activity in Mild Cognitive Impairment. J. Neuropathol. Exp. Neurol. 2009, 68, 1309–1318. [Google Scholar] [CrossRef]
- Asahina, M.; Yoshiyama, Y.; Hattori, T. Expression of Matrix Metalloproteinase-9 and Urinary-Type Plasminogen Activator in Alzheimer’s Disease Brain. Clin. Neuropathol. 2001, 20, 60–63. [Google Scholar] [PubMed]
- Vafadari, B.; Salamian, A.; Kaczmarek, L. MMP-9 in Translation: From Molecule to Brain Physiology, Pathology, and Therapy. J. Neurochem. 2016, 139, 91–114. [Google Scholar] [CrossRef] [PubMed]
- Wilczynski, G.M.; Konopacki, F.A.; Wilczek, E.; Lasiecka, Z.; Gorlewicz, A.; Michaluk, P.; Wawrzyniak, M.; Malinowska, M.; Okulski, P.; Kolodziej, L.R.; et al. Important Role of Matrix Metalloproteinase 9 in Epileptogenesis. J. Cell Biol. 2008, 180, 1021–1035. [Google Scholar] [CrossRef]
- Wang, X.; Bozdagi, O.; Nikitczuk, J.S.; Zhai, Z.W.; Zhou, Q.; Huntley, G.W. Extracellular Proteolysis by Matrix Metalloproteinase-9 Drives Dendritic Spine Enlargement and Long-Term Potentiation Coordinately. Proc. Natl. Acad. Sci. USA 2008, 105, 19520–19525. [Google Scholar] [CrossRef] [PubMed]
- Nagy, V. Matrix Metalloproteinase-9 Is Required for Hippocampal Late-Phase Long-Term Potentiation and Memory. J. Neurosci. 2006, 26, 1923–1934. [Google Scholar] [CrossRef]
- Nagy, V.; Bozdagi, O.; Huntley, G.W. The Extracellular Protease Matrix Metalloproteinase-9 Is Activated by Inhibitory Avoidance Learning and Required for Long-Term Memory. Learn. Mem. 2007, 14, 655–664. [Google Scholar] [CrossRef]
- Wiera, G.; Szczot, M.; Wojtowicz, T.; Lebida, K.; Koza, P.; Mozrzymas, J.W. Impact of Matrix Metalloproteinase-9 Overexpression on Synaptic Excitatory Transmission and Its Plasticity in Rat CA3-CA1 Hippocampal Pathway. J. Physiol. Pharmacol. 2015, 66, 309–315. [Google Scholar]
- Albert, M.S.; DeKosky, S.T.; Dickson, D.; Dubois, B.; Feldman, H.H.; Fox, N.C.; Gamst, A.; Holtzman, D.M.; Jagust, W.J.; Petersen, R.C.; et al. The Diagnosis of Mild Cognitive Impairment Due to Alzheimer’s Disease: Recommendations from the National Institute on Aging-Alzheimer’s Association Workgroups on Diagnostic Guidelines for Alzheimer’s Disease. Alzheimer’s Dement. 2011, 7, 270–279. [Google Scholar] [CrossRef]
- Rossi, S.; Hallett, M.; Rossini, P.M.; Pascual-Leone, A. Safety, Ethical Considerations, and Application Guidelines for the Use of Transcranial Magnetic Stimulation in Clinical Practice and Research. Clin. Neurophysiol. 2009, 120, 2008–2039. [Google Scholar] [CrossRef]
- Pontieri, M.; Pioli, R.; Padovani, A.; Tunesi, S.; De Girolamo, G. RBANS Repeatable Battery for the Assessment of Neuropsychological Status; Giunti OS: Florence, Italy, 2007. [Google Scholar]
- Sica, C.; Ghisi, M. The Italian Versions of the Beck Anxiety Inventory and the Beck Depression Inventory-II: Psychometric Properties and Discriminant Power. In Leading-Edge Psychological Tests and Testing Research; APA: Washington, DC, USA, 2007; ISBN1 1-60021-571-8. ISBN2 978-1-60021-571-1. [Google Scholar]
- Furneri, G.; Platania, S.; Privitera, A.; Martelli, F.; Smeriglio, R.; Razza, G.; Maci, T.; Castellano, S.; Drago, F.; Santagati, M.; et al. The Apathy Evaluation Scale (AES-C): Psychometric Properties and Invariance of Italian Version in Mild Cognitive Impairment and Alzheimer’s Disease. Int. J. Environ. Res. Public Health 2021, 18, 9597. [Google Scholar] [CrossRef]
- Drumond Marra, H.L.; Myczkowski, M.L.; Maia Memória, C.; Arnaut, D.; Leite Ribeiro, P.; Sardinha Mansur, C.G.; Lancelote Alberto, R.; Boura Bellini, B.; Alves Fernandes da Silva, A.; Tortella, G.; et al. Transcranial Magnetic Stimulation to Address Mild Cognitive Impairment in the Elderly: A Randomized Controlled Study. Behav. Neurol. 2015, 2015, 287843. [Google Scholar] [CrossRef]
- Quade, D. Rank Analysis of Covariance. J. Am. Stat. Assoc. 1967, 62, 1187–1200. [Google Scholar] [CrossRef]


| Variable | MCI-TMS (n = 10) | MCI-C (n = 10) | U-Test | p-Value | Adj-p |
|---|---|---|---|---|---|
| Demographics | |||||
| Age (y) | 66.50 (62.25, 74,25) | 70.50 (62.00, 75.00) | 43.00 | 0.596 | 0.715 |
| Education (y) | 13.00 (9.50, 13.00) | 10.50 (8.00, 13.00) | 41.00 | 0.480 | 0.715 |
| Gender (M) | 4 (40.00%) | 4 (40.00%) | 0.00 | 1.000 | 1.000 |
| Cognitive assessment—RBANS subtests | |||||
| List Learning | 20.00 (15.75, 22.50) | 17.00 (14.00, 22.25) | 39.50 | 0.425 | 0.715 |
| Story Memory-IR | 15.00 (13.50, 17.00) | 12.50 (9.75, 16.25) | 32.50 | 0.182 | 0.546 |
| Figure Copy | 15.50 (12.00, 17.25) | 12.00 (10.00, 15.00) | 21.50 | 0.030 | 0.540 |
| Line Orientation | 14.50 (11.75, 17.25) | 13.50 (10.25, 17.25) | 42.00 | 0.544 | 0.715 |
| Picture Naming | 10.00 (10.00, 10.00) | 9.50 (8.75, 10.00) | 32.00 | 0.092 | 0.546 |
| Semantic Fluency | 13.00 (9.75, 15.25) | 15.50 (12.50, 17.00) | 30.50 | 0.137 | 0.546 |
| Digit Span | 6.00 (5.75, 8.50) | 7.00 (6.00, 10.00) | 39.50 | 0.409 | 0.715 |
| Coding | 27.00 (16.00, 34.75) | 19.50 (13.75, 31.75) | 35.50 | 0.272 | 0.699 |
| List Recall | 0.50 (0.00, 3.75) | 1.00 (0.00, 3.50) | 50.00 | 1.000 | 1.000 |
| List Recognition | 13.00 (12.25, 17.25) | 15.50 (15.00, 17.00) | 32.00 | 0.169 | 0.546 |
| Story Recall-DR | 0.50 (0.00, 7.25) | 5.50 (3.75, 7.00) | 31.00 | 0.145 | 0.546 |
| Figure Recall | 3.00 (0.00, 7.25) | 3.00 (2.00, 7.75) | 42.00 | 0.542 | 0.715 |
| Behavioralmeasures | |||||
| BDI-II | 15.50 (2.50, 22.00) | 12.00 (8.00, 21.75) | 49.50 | 0.970 | 1.000 |
| BAI | 4.00 (2.75, 16.50) | 8.50 (2.75, 13.75) | 42.50 | 0.569 | 0.715 |
| AES | 39.00 (32.00, 42.50) | 39.00 (30.25, 40.00) | 42.50 | 0.569 | 0.715 |
| Variable | MCI-TMS (n = 10) | MCI-C (n = 10) | Quade-Test | p-Value | Adj-p |
|---|---|---|---|---|---|
| Cognitive assessment—RBANS subtests | |||||
| List Learning | 22.00 (18.50, 28.00) | 18.00 (15.50, 23.25) | 1.39 | 0.254 | 0.960 |
| Story Memory-IR | 14.00 (9.00, 17.00) | 11.50 (5.50, 16.25) | 0.05 | 0.813 | 0.983 |
| Figure Copy | 14.50 (11.50, 16.25) | 11.00 (9.50, 12.25) | 1.37 | 0.256 | 0.960 |
| Line Orientation | 15.00 (13.75, 16.25) | 12.50 (9.25, 16.00) | 1.80 | 0.196 | 0.960 |
| Picture Naming | 10.00 (9.00, 10.00) | 10.00 (9.00, 10.00) | 0.31 | 0.582 | 0.983 |
| Semantic Fluency | 9.00 (5.75, 13.25) | 8.00 (5.75, 9.00) | 1.03 | 0.323 | 0.969 |
| Digit Span | 8.00 (6.00, 10.00) | 9.00 (5.75, 10.50) | 0.00 | 0.983 | 0.983 |
| Coding | 29.50 (21.25, 36.75) | 25.50 (14.50, 38.50) | 0.08 | 0.770 | 0.983 |
| List Recall | 0.50 (0.00, 3.50) | 1.00 (0.00, 3.25) | 0.00 | 0.954 | 0.983 |
| List Recognition | 16.00 (13.00, 17.00) | 15.00 (13.00, 18.25) | 0.29 | 0.592 | 0.983 |
| Story Recall-DR | 2.00 (0.00, 7.25) | 6.00 (3.75, 7.00) | 0.12 | 0.734 | 0.983 |
| Figure Recall | 1.50 (0.00, 10.25) | 4.00 (2.75, 9.25) | 2.91 | 0.105 | 0.960 |
| Behavioral measures | |||||
| BDI-II | 9.00 (3.25, 17.25) | 7.75 (8.50, 8.50) | 0.17 | 0.683 | 0.983 |
| BAI | 4.00 (1.75, 26.00) | 3.50 (2.75, 16.25) | 0.02 | 0.884 | 0.983 |
| AES | 36.50 (34.75, 41.75) | 34.50 (28.00, 40.25) | 0.08 | 0.776 | 0.983 |
| Variable | MCI-TMS (n = 10) | MCI-C (n = 10) | Quade-Test | p-Value | Adj-p |
|---|---|---|---|---|---|
| Cognitive assessment—RBANS subtests | |||||
| List Learning | 19.50 (17.50, 21.25) | 20.50 (16.00, 24.00) | 1.58 | 0.224 | 0.586 |
| Story Memory-IR | 12.00 (6.50, 15.00) | 9.00 (7.50, 13.50) | 0.50 | 0.486 | 0.608 |
| Figure Copy | 14.50 (12.75, 15.25) | 11.50 (9.75, 15.00) | 0.52 | 0.477 | 0.608 |
| Line Orientation | 16.50 (12.75, 18.25) | 12.50 (9.00, 14.25) | 12.26 | 0.002 | 0.038 |
| Picture Naming | 8.00 (7.50, 9.50) | 7.50 (7.00, 8.50) | 0.02 | 0.879 | 0.878 |
| Semantic Fluency | 7.50 (6.00, 9.00) | 8.00 (7.00, 9.25) | 0.56 | 0.463 | 0.608 |
| Digit Span | 8.00 (5.75, 10.00) | 7.00 (5.75, 9.25) | 1.07 | 0.313 | 0.586 |
| Coding | 24.00 (21.00, 32.50) | 30.50 (28.75, 34.25) | 8.69 | 0.008 | 0.064 |
| List Recall | 0.00 (0.00, 1.00) | 2.00 (0.75, 3.25) | 6.70 | 0.018 | 0.092 |
| List Recognition | 12.50 (11.75, 15.50) | 16.00 (14.50, 18.50) | 4.89 | 0.040 | 0.150 |
| Story Recall-DR | 1.00 (0.00, 7.00) | 5.50 (2.50, 6.25) | 0.13 | 0.722 | 0.777 |
| Figure Recall | 2.00 (0.00, 7.25) | 4.00 (3.00, 7.00) | 1.39 | 0.253 | 0.586 |
| Behavioral measures | |||||
| BDI-II | 12.00 (5.00, 26.50) | 8.00 (7.00, 18.50) | 0.12 | 0.726 | 0.777 |
| BAI | 5.00 (3.00, 19.00) | 7.00 (4.50, 14.00) | 0.89 | 0.357 | 0.595 |
| AES | 33.00 (27.00, 46.50) | 37.00 (31.00, 46.50) | 1.08 | 0.312 | 0.586 |
Disclaimer/Publisher’s Note: The statements, opinions and data contained in all publications are solely those of the individual author(s) and contributor(s) and not of MDPI and/or the editor(s). MDPI and/or the editor(s) disclaim responsibility for any injury to people or property resulting from any ideas, methods, instructions or products referred to in the content. |
© 2023 by the authors. Licensee MDPI, Basel, Switzerland. This article is an open access article distributed under the terms and conditions of the Creative Commons Attribution (CC BY) license (https://creativecommons.org/licenses/by/4.0/).
Share and Cite
Cirillo, G.; Pepe, R.; Siciliano, M.; Ippolito, D.; Ricciardi, D.; de Stefano, M.; Buonanno, D.; Atripaldi, D.; Abbadessa, S.; Perfetto, B.; et al. Long-Term Neuromodulatory Effects of Repetitive Transcranial Magnetic Stimulation (rTMS) on Plasmatic Matrix Metalloproteinases (MMPs) Levels and Visuospatial Abilities in Mild Cognitive Impairment (MCI). Int. J. Mol. Sci. 2023, 24, 3231. https://doi.org/10.3390/ijms24043231
Cirillo G, Pepe R, Siciliano M, Ippolito D, Ricciardi D, de Stefano M, Buonanno D, Atripaldi D, Abbadessa S, Perfetto B, et al. Long-Term Neuromodulatory Effects of Repetitive Transcranial Magnetic Stimulation (rTMS) on Plasmatic Matrix Metalloproteinases (MMPs) Levels and Visuospatial Abilities in Mild Cognitive Impairment (MCI). International Journal of Molecular Sciences. 2023; 24(4):3231. https://doi.org/10.3390/ijms24043231
Chicago/Turabian StyleCirillo, Giovanni, Roberta Pepe, Mattia Siciliano, Domenico Ippolito, Dario Ricciardi, Manuela de Stefano, Daniela Buonanno, Danilo Atripaldi, Salvatore Abbadessa, Brunella Perfetto, and et al. 2023. "Long-Term Neuromodulatory Effects of Repetitive Transcranial Magnetic Stimulation (rTMS) on Plasmatic Matrix Metalloproteinases (MMPs) Levels and Visuospatial Abilities in Mild Cognitive Impairment (MCI)" International Journal of Molecular Sciences 24, no. 4: 3231. https://doi.org/10.3390/ijms24043231
APA StyleCirillo, G., Pepe, R., Siciliano, M., Ippolito, D., Ricciardi, D., de Stefano, M., Buonanno, D., Atripaldi, D., Abbadessa, S., Perfetto, B., Sharbafshaaer, M., Sepe, G., Bonavita, S., Iavarone, A., Todisco, V., Papa, M., Tedeschi, G., Esposito, S., & Trojsi, F. (2023). Long-Term Neuromodulatory Effects of Repetitive Transcranial Magnetic Stimulation (rTMS) on Plasmatic Matrix Metalloproteinases (MMPs) Levels and Visuospatial Abilities in Mild Cognitive Impairment (MCI). International Journal of Molecular Sciences, 24(4), 3231. https://doi.org/10.3390/ijms24043231

