The Effects of Epicuticular Wax on Anthracnose Resistance of Sorghum bicolor
Abstract
1. Introduction
2. Results
2.1. The Growth of C. sublineola on PDA Medium Amended with Wax
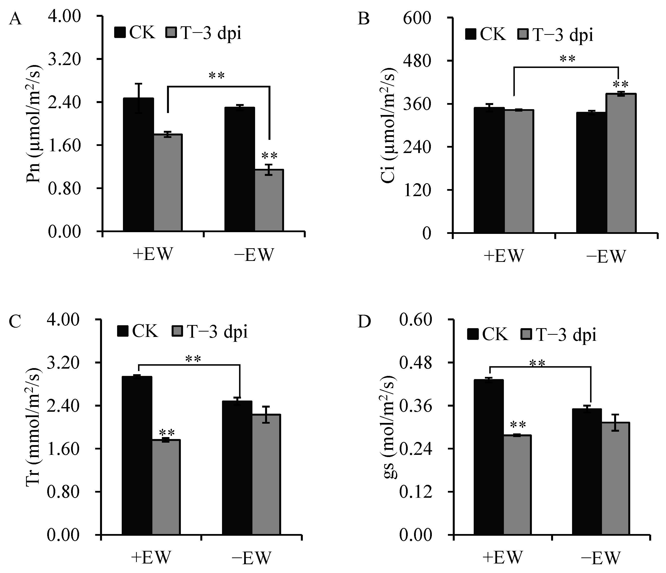
2.2. Physiological Responses of Sorghum to Anthracnose
2.3. Wax Content Changes after Anthracnose Infection
2.4. Gene Expression Responses of Sorghum to Anthracnose
2.5. KEGG Enrichment Analysis of Differential Expression Pathways
2.6. Fatty-Acid-Synthesis-related Genes were Regulated
2.7. Correlation Analysis between Wax Content and Disease Index
3. Discussion
4. Materials and Methods
4.1. Plant Materials and Growth Conditions in Chamber
4.2. Isolation and Identification of C. sublineola
4.3. Wax Bioassay
4.4. Fungal Infection Assays of Sorghum Cultured in Chamber
4.5. Photosynthetic Rate in Leaves and Measurement of Enzyme Activity Assay
4.6. Wax Extraction and GC-MS Analysis
4.7. RNA Isolation and Transcriptome Analysis
4.8. Disease Index Survey
4.9. Data Analysis
5. Conclusions
Supplementary Materials
Author Contributions
Funding
Institutional Review Board Statement
Informed Consent Statement
Data Availability Statement
Conflicts of Interest
Abbreviations:
| DEGs | differentially expressed genes |
| dpi | day post inoculation |
| EW | epicuticular wax |
| GO | Gene Ontology |
| KEGG | Kyoto Encyclopedia of Genes and Genomes |
| MAPK | mitogen-activated protein kinases |
| MDA | malondialdehyde |
| PAMPs | pathogen-associated molecular patterns |
| PDA | potato dextrose agar |
| Ci | intercellular CO2 concentrations |
| Pn | net photosynthetic rate |
| gs | stomatal conductance |
| Tr | transpiration rate |
| SOD | superoxide dismutase |
| CAT | catalase |
| POD | peroxidase |
| FATB | fatty acyl-ACP thioesterases |
| KCS | 3-ketoacyl-CoA synthase |
| KCR | very-long-chain 3-oxoacyl-CoA reductase |
| CYP | cytochrome P450 |
| qRT-PCR | quantitative real-time PCR |
References
- Wang, X.; Kong, L.; Zhi, P.; Chang, C. Update on cuticular wax biosynthesis and its roles in plant disease resistance. Int. J. Mol. Sci. 2020, 21, 5514. [Google Scholar] [CrossRef] [PubMed]
- Xue, D.; Zhang, X.; Lu, X.; Chen, G.; Chen, Z. Molecular and evolutionary mechanisms of cuticular wax for plant drought tolerance. Front Plant Sci. 2017, 8, 621. [Google Scholar] [CrossRef] [PubMed]
- Xu, D.; Ni, Y.; Zhang, X.; Guo, Y. Multiomic analyses of two sorghum cultivars reveals the change of membrane lipids in their responses to water deficit. Plant Physiol. Bioch. 2022, 176, 44–56. [Google Scholar] [CrossRef] [PubMed]
- Steinmuller, D.; Tevini, M. Action of ultraviolet radiation (UV-B) upon cuticular waxes in some crop plants. Planta 1985, 164, 557–564. [Google Scholar] [CrossRef] [PubMed]
- Xiao, Y.; Li, X.; Yao, L.; Xu, D.; Li, Y.; Zhang, X.; Li, Z.; Xiao, A.; Ni, Y.; Guo, Y. Chemical profiles of cuticular waxes on various organs of Sorghum bicolor and their antifungal activities. Plant Physiol. Bioch. 2020, 155, 596–604. [Google Scholar] [CrossRef]
- Ding, S.; Zhang, J.; Yang, L.; Wang, X.; Fu, F.; Wang, R.; Zhang, Q.; Shan, Y. Changes in cuticle components and morphology of ‘Satsuma’ mandarin (Citrus unshiu) during ambient storage and their potential role on Penicillium digitatum infection. Molecules 2020, 25, 412. [Google Scholar] [CrossRef]
- Samuels, L.; Kunst, L.; Jetter, R. Sealing plant surfaces: Cuticular wax formation by epidermal cells. Annu. Rev. Plant Biol. 2008, 59, 683–707. [Google Scholar] [CrossRef]
- Basavaraju, P.; Shetty, N.P.; Shetty, H.S.; de Neergaard, E.; Jorgensen, H.J. Infection biology and defence responses in sorghum against Colletotrichum sublineolum. J. Appl. Microbiol. 2009, 107, 404–415. [Google Scholar] [CrossRef]
- Zhu, M.; Riederer, M.; Hildebrandt, U. Very-long-chain aldehydes induce appressorium formation in ascospores of the wheat powdery mildew fungus Blumeria graminis. Fungal Biol. 2017, 121, 716–728. [Google Scholar] [CrossRef]
- Stutts, L.R.; Vermerris, W. Elucidating anthracnose resistance mechanisms in sorghum-A Review. Phytopathology 2020, 110, 1863–1876. [Google Scholar] [CrossRef]
- Wharton, P.S.; Julian, A.M.; O’Connell, R.J. Ultrastructure of the infection of Sorghum bicolor by Colletotrichum sublineolum. Phytopathology 2001, 91, 149–158. [Google Scholar] [CrossRef] [PubMed]
- Aragaw, G.; Chala, A.; Terefe, H. Spatial distribution and association of factors influencing sorghum anthracnose (Colletotrichum sublineolum) epidemics in Eastern Ethiopia. Int. J. Pest Manage. 2021, 67, 20–31. [Google Scholar] [CrossRef]
- Cuevas, H.E.; Prom, L.K. Evaluation of genetic diversity, agronomic traits, and anthracnose resistance in the NPGS Sudan Sorghum Core collection. BMC Genom. 2020, 21, 88. [Google Scholar] [CrossRef]
- Cuevas, H.E.; Cruet-Burgos, C.M.; Prom, L.K.; Knoll, J.E.; Stutts, L.R.; Vermerris, W. The inheritance of anthracnose (Colletotrichum sublineola) resistance in sorghum differential lines QL3 and IS18760. Sci. Rep. UK 2021, 11, 20525. [Google Scholar] [CrossRef] [PubMed]
- Mengistu, G.; Shimelis, H.; Laing, M.; Lule, D. Breeding for anthracnose (Colletotrichum sublineolum Henn.) resistance in sorghum: Challenges and opportunities. Aust. J. Crop Sci. 2018, 12, 1911–1920. [Google Scholar] [CrossRef]
- Upadhyaya, H.D.; Wang, Y.; Sharma, R.; Sharma, S. Identification of genetic markers linked to anthracnose resistance in sorghum using association analysis. Theor. Appl. Genet. 2013, 126, 1649–1657. [Google Scholar] [CrossRef]
- Zhou, J.; Zhang, Y. Plant immunity: Danger perception and signaling. Cell 2020, 181, 978–989. [Google Scholar] [CrossRef]
- Kolattukudy, P.E.; Rogers, L.M.; Li, D.; Hwang, C.S.; Flaishman, M.A. Surface signaling in pathogenesis. Proc. Natl. Acad. Sci. USA 1995, 92, 4080–4087. [Google Scholar] [CrossRef]
- Dangl, J.L.; Jones, J.D. Plant pathogens and integrated defence responses to infection. Nature 2001, 411, 826–833. [Google Scholar] [CrossRef]
- Taheri, P.; Irannejad, A.; Goldani, M.; Tarighi, S. Oxidative burst and enzymatic antioxidant systems in rice plants during interaction with Alternaria alternata. Eur. J. Plant Pathol. 2014, 140, 829–839. [Google Scholar] [CrossRef]
- Liu, G.; Liu, J.; Zhang, C.; You, X.; Zhao, T.; Jiang, J.; Chen, X.; Zhang, H.; Yang, H.; Zhang, D.; et al. Physiological and RNA-seq analyses provide insights into the response mechanism of the Cf-10-mediated resistance to Cladosporium fulvum infection in tomato. Plant Mol. Biol. 2018, 96, 403–416. [Google Scholar] [CrossRef] [PubMed]
- Shi, W.; Zhao, S.; Liu, K.; Sun, Y.; Ni, Z.; Zhang, G.; Tang, H.; Zhu, J.; Wan, B.; Sun, H.; et al. Comparison of leaf transcriptome in response to Rhizoctonia solani infection between resistant and susceptible rice cultivars. BMC Genom. 2020, 21, 245. [Google Scholar] [CrossRef]
- Abreha, K.B.; Ortiz, R.; Carlsson, A.S.; Geleta, M. Understanding the sorghum–Colletotrichum sublineola interactions for enhanced host resistance. Front Plant Sci. 2021, 12, 64969. [Google Scholar] [CrossRef] [PubMed]
- Meng, X.; Zhang, S. MAPK cascades in plant disease resistance signaling. Annu. Rev. Phytopathol. 2013, 51, 245–266. [Google Scholar] [CrossRef]
- Marla, S.R.; Shiva, S.; Welti, R.; Liu, S.Z.; Burke, J.J.; Morris, G.P. Comparative transcriptome and lipidome analyses reveal molecular chilling responses in chilling-tolerant sorghums. Plant Genome 2017, 10, 3. [Google Scholar] [CrossRef] [PubMed]
- Zhang, X.; Ni, Y.; Xu, D.X.; Busta, L.; Xiao, Y.; Jetter, R.; Guo, Y. Integrative analysis of the cuticular lipidome and transcriptome of Sorghum bicolor reveals cultivar differences in drought tolerance. Plant Physiol. Bioch. 2021, 163, 285–295. [Google Scholar] [CrossRef] [PubMed]
- Shehab, A.S.A.; Guo, Y. Effects of nitrogen fertilization and drought on hydrocyanic acid accumulation and morpho-physiological parameters of sorghums. J. Sci. Food Agr. 2021, 101, 3355–3365. [Google Scholar] [CrossRef]
- He, J.; Li, C.; Hu, N.; Zhu, Y.; He, Z.; Sun, Y.; Wang, Z.; Wang, Y. ECERIFERUM1–6A is required for the synthesis of cuticular wax alkanes and promotes drought tolerance in wheat. Plant Physiol. 2022, 190, 1640–1657. [Google Scholar] [CrossRef]
- Uppalapati, S.R.; Ishiga, Y.; Doraiswamy, V.; Bedair, M.; Mittal, S.; Chen, J.; Nakashima, J.; Tang, Y.; Tadege, M.; Ratet, P.; et al. Loss of abaxial leaf epicuticular wax in Medicago truncatula irg1/palm1 mutants results in reduced spore differentiation of anthracnose and nonhost rust pathogens. Plant Cell 2012, 24, 353–370. [Google Scholar] [CrossRef]
- Moller, E.M.; Bahnweg, G.; Sandermann, H.; Geiger, H.H. A simple and efficient protocol for isolation of high-molecular-weight DNA from filamentous fungi, fruit bodies, and infected-plant tissues. Nucleic Acids Res. 1992, 20, 6115–6116. [Google Scholar] [CrossRef]
- Shi, J.; Yu, L.; Song, B. Proteomics analysis of Xiangcaoliusuobingmi-treated Capsicum annuum L. infected with Cucumber mosaic virus. Pestic. Biochem. Physiol. 2018, 149, 113–122. [Google Scholar] [CrossRef] [PubMed]
- Zhang, C.; Pan, X. Criteria for classification of disease severity and resistance to anthracnose in sorghum cultivars. J. Yunnan Agric. Univ. 1998, 13, 38–42. (In Chinese) [Google Scholar]








| Gene ID | Log2FC | Gene Annotation | |
|---|---|---|---|
| +EW | −EW | ||
| Sobic.010G180400 | 1.1 | 1.7 | Palmitoyl-acyl carrier protein thioesterase, FATB |
| Sobic.010G033300 | 0.2 | 2.2 | Palmitoyl-acyl carrier protein thioesterase, FATB |
| Sobic.001G438100 | 1.2 | 1.0 | 3-ketoacyl-CoA synthase 1, KCS1 |
| Sobic.004G086800 | 2.4 | 2.5 | 3-ketoacyl-CoA synthase 11, KCS11 |
| Sobic.004G249400 | −0.4 | −1.4 | 3-ketoacyl-CoA synthase 5, KCS5 |
| Sobic.009G244300 | −0.2 | −1.8 | Protein RADIALIS-like 3, KCS17 |
| Sobic.004G267000 | −0.8 | −2.5 | Protein RADIALIS-like 3, KCS17 |
| Sobic.003G231800 | −0.3 | −2.4 | Protein RADIALIS-like 3, KCS17 |
| Sobic.008G114300 | −1.4 | −1.3 | Acetyl-CoA carboxylase 1, ACC1 |
| Sobic.006G125800 | 1.1 | −1.0 | Very-long-chain 3-oxoacyl-CoA reductase 1, KCR1 |
| Sobic.002G207900 | 1.9 | −0.1 | Very-long-chain aldehyde decarbonylase GL1- |
| Sobic.004G064000 | 1.2 | 0.1 | Very-long-chain aldehyde decarbonylase GL1-2 |
| Sobic.001G231600 | −1.1 | 0.6 | NADPH-dependent aldehyde reductase-like protein, ALDH |
| Sobic.001G510300 | −1.8 | 0.1 | Noroxomaritidine synthase 2, MAH1 |
| Sobic.001G451700 | 0.6 | 1.8 | Cytochrome P450 94A1, CYP94A1 |
| Sobic.006G186000 | 1.1 | 1.2 | Cytochrome P450 704C1, CYP704C1 |
| Sobic.010G055300 | −0.1 | 1.2 | Cytochrome P450 94B1, CYP94B1 |
| Sobic.010G019500 | −0.5 | −1.2 | Cytochrome P450 704C1, CYP704C1 |
Disclaimer/Publisher’s Note: The statements, opinions and data contained in all publications are solely those of the individual author(s) and contributor(s) and not of MDPI and/or the editor(s). MDPI and/or the editor(s) disclaim responsibility for any injury to people or property resulting from any ideas, methods, instructions or products referred to in the content. |
© 2023 by the authors. Licensee MDPI, Basel, Switzerland. This article is an open access article distributed under the terms and conditions of the Creative Commons Attribution (CC BY) license (https://creativecommons.org/licenses/by/4.0/).
Share and Cite
Xiong, W.; Liao, L.; Ni, Y.; Gao, H.; Yang, J.; Guo, Y. The Effects of Epicuticular Wax on Anthracnose Resistance of Sorghum bicolor. Int. J. Mol. Sci. 2023, 24, 3070. https://doi.org/10.3390/ijms24043070
Xiong W, Liao L, Ni Y, Gao H, Yang J, Guo Y. The Effects of Epicuticular Wax on Anthracnose Resistance of Sorghum bicolor. International Journal of Molecular Sciences. 2023; 24(4):3070. https://doi.org/10.3390/ijms24043070
Chicago/Turabian StyleXiong, Wangdan, Longxin Liao, Yu Ni, Hanchi Gao, Jianfeng Yang, and Yanjun Guo. 2023. "The Effects of Epicuticular Wax on Anthracnose Resistance of Sorghum bicolor" International Journal of Molecular Sciences 24, no. 4: 3070. https://doi.org/10.3390/ijms24043070
APA StyleXiong, W., Liao, L., Ni, Y., Gao, H., Yang, J., & Guo, Y. (2023). The Effects of Epicuticular Wax on Anthracnose Resistance of Sorghum bicolor. International Journal of Molecular Sciences, 24(4), 3070. https://doi.org/10.3390/ijms24043070

