The In Vitro Impact of Isoxazole Derivatives on Pathogenic Biofilm and Cytotoxicity of Fibroblast Cell Line
Abstract
1. Introduction
2. Results and Discussion
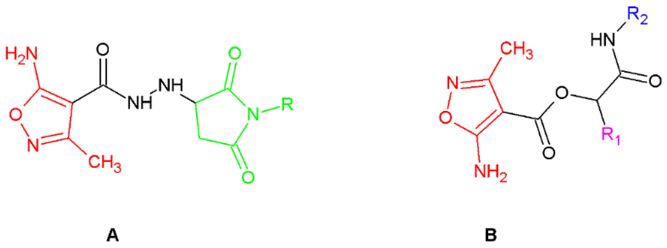
2.1. Chemistry
2.2. Synthesis and Structural Characterization
2.2.1. 2-(cyclohexylamino)-1-(5-nitrothiophen-2-yl)-2-oxoethyl 5-amino-3-methyl-1,2-oxazole-4-carboxylate (PUB9)
2.2.2. 2-(benzylamino)-1-(5-nitrothiophen-2-yl)-2-oxoethyl 5-amino-3-methyl-1,2-oxazole-4-carboxylate (PUB10)
2.2.3. General Procedure for Preparation of a Series of Compounds (MAL1-5)
2.2.4. 5-amino-N′-(2,5-dioxopyrrolidin-3-yl)-3-methyl-1,2-oxazole-4-carbohydrazide (MAL1)
2.2.5. 5-amino-3-methyl-N′-(1-methyl-2,5-dioxopyrrolidin-3-yl)-1,2-oxazole-4-carbohydrazide (MAL2)
2.2.6. 6-(3-{2-[(5-amino-3-methyl-1,2-oxazol-4-yl)carbonyl]hydrazinyl}-2,5-dioxopyrrolidin-1-yl)hexanoic acid (MAL3)
2.2.7. 5-amino-N′-(1-cyclohexyl-2,5-dioxopyrrolidin-3-yl)-3-methyl-1,2-oxazole-4-carbohydrazide (MAL4)
2.2.8. 5-amino-N′-[1-(4-chlorophenyl)-2,5-dioxopyrrolidin-3-yl]-3-methyl-1,2-oxazole-4-carbohydrazide (MAL5)
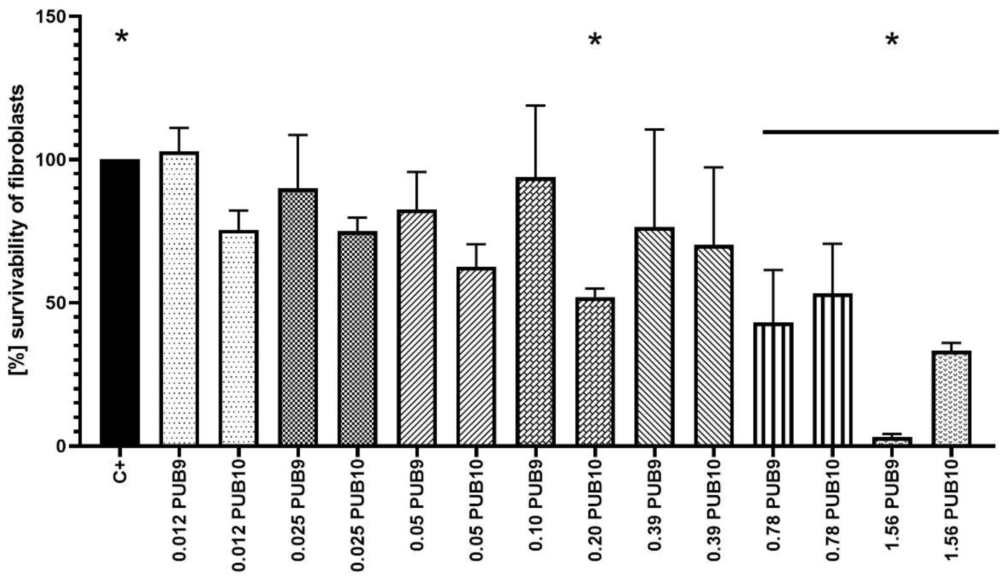
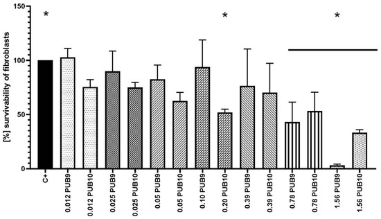
2.3. Biology
3. Materials and Methods
3.1. Chemistry
3.2. Microorganisms
3.3. Determination of Minimal Inhibitory Concentration Using Microtiter Plate Method
3.4. Determination of Minimal Biofilm Eradication Concentration Using Microtiter Plate Model
3.5. The Cytotoxicity Assay of Analyzed Compounds towards Fibroblast Cell Line In Vitro
3.6. The Synthesis and Purification of Bacterial Cellulose Carrier and Impregnation of Carrier with Tested Compounds
3.7. The Analysis of Antimicrobial Efficacy of Analyzed Compounds Released from BC Carriers in Modified Disk-Diffusion Method
3.8. The Detection of Antibiofilm Activity of Tested Compounds Using Modified Antibiofilm Dressing Activity Measurement (A.D.A.M.)
3.9. The Cytocompatibility of Isoxazole-Fortified BC Carriers to Fibroblast Cell Lines
3.10. The Statistical Analysis
Supplementary Materials
Author Contributions
Funding
Institutional Review Board Statement
Informed Consent Statement
Data Availability Statement
Acknowledgments
Conflicts of Interest
References
- Frykberg, R.G.; Banks, J. Challenges in the Treatment of Chronic Wounds. Adv. Wound Care 2015, 4, 560–582. [Google Scholar] [CrossRef] [PubMed]
- Serra, R.; Grande, R.; Butrico, L.; Rossi, A.; Settimio, U.F.; Caroleo, B.; Amato, B.; Gallelli, L.; de Franciscis, S. Chronic wound infections: The role of Pseudomonas aeruginosa and Staphylococcus aureus. Expert Rev. Anti Infect. Ther. 2015, 13, 605–613. [Google Scholar] [CrossRef] [PubMed]
- Durand, B.A.R.N.; Pouget, C.; Magnan, C.; Molle, V.; Lavigne, J.P.; Dunyach-Remy, C. Bacterial Interactions in the Context of Chronic Wound Biofilm: A Review. Microorganisms 2022, 10, 1500. [Google Scholar] [CrossRef] [PubMed]
- Barrigah-Benissan, K.; Ory, J.; Sotto, A.; Salipante, F.; Lavigne, J.P.; Loubet, P. Antiseptic Agents for Chronic Wounds: A Systematic Review. Antibiotics 2022, 11, 350. [Google Scholar] [CrossRef]
- Müller, G.; Kramer, A. Biocompatibility index of antiseptic agents by parallel assessment of antimicrobial activity and cellular cytotoxicity. J. Antimicrob. Chemother. 2008, 61, 1281–1287. [Google Scholar] [CrossRef]
- Kampf, G. Acquired resistance to chlorhexidine—Is it time to establish an ‘antiseptic stewardship’ initiative? J. Hosp. Infect. 2016, 94, 213–227. [Google Scholar] [CrossRef]
- Bock, L.J.; Ferguson, P.M.; Clarke, M.; Pumpitakkul, V.; Wand, M.E.; Fady, P.E.; Allison, L.; Fleck, R.A.; Shepherd, M.J.; Mason, A.J.; et al. Pseudomonas aeruginosa adapts to octenidine via a combination of efflux and membrane remodelling. Commun. Biol. 2021, 4, 1058. [Google Scholar] [CrossRef]
- Li, Q.; Kang, C. Mechanisms of Action for Small Molecules Revealed by Structural Biology in Drug Discovery. Int. J. Mol. Sci. 2020, 21, 5262. [Google Scholar] [CrossRef]
- Zhang, D.; Jia, J.; Meng, L.; Xu, W.; Tang, L.; Wang, J. Synthesis and Preliminary Antibacterial Evaluation of 2-Butyl Succinate-based Hydroxamate Derivatives Containing Isoxazole Rings. Arch. Pharm. Res. 2010, 33, 831–842. [Google Scholar] [CrossRef]
- Egorova, A.; Kazakova, E.; Jahn, B.; Ekins, S.; Makarov, V.; Schmidtke, M. Novel pleconaril derivatives: Influence of substituents in the isoxazole and phenyl rings on the antiviral activity against enteroviruses. Eur. J. Med. Chem. 2020, 188, 112007. [Google Scholar] [CrossRef]
- Arya, G.C.; Kaur, K.; Jaitak, V. Isoxazole derivatives as anticancer agent: A review on synthetic strategies, mechanism of action and SAR studies. Eur. J. Med. Chem. 2021, 221, 113511. [Google Scholar] [CrossRef]
- Razzaq, S.; Minhas, A.M.; Qazi, N.G.; Nadeem, H.; Khan, A.-u.; Ali, F.; Hassan, S.S.u.; Bungau, S. Novel Isoxazole Derivative Attenuates Ethanol-Induced Gastric Mucosal Injury through Inhibition of H+/K+-ATPase Pump, Oxidative Stress and Inflammatory Pathways. Molecules 2022, 27, 5065. [Google Scholar] [CrossRef]
- Sysak, A.; Obmińska-Mrukowicz, B. Isoxazole ring as a useful scaffold in a search for new therapeutic agents. Eur. J. Med. Chem. 2017, 137, 292–309. [Google Scholar] [CrossRef]
- Huang, X.; Dong, S.; Liu, H.; Wan, P.; Wang, T.; Quan, H.; Wang, Z.; Wang, Z. Design, Synthesis, and Evaluation of Novel Benzo[d]isoxazole Derivatives as Anticonvulsants by Selectively Blocking the Voltage-Gated Sodium Channel NaV1.1. ACS Chem. Neurosci. 2022, 13, 834–845. [Google Scholar] [CrossRef]
- Algethami, F.K.; Saidi, I.; Abdelhamid, H.N.; Elamin, M.R.; Abdulkhair, B.Y.; Chrouda, A.; Ben Jannet, H. Trifluoromethylated Flavonoid-Based Isoxazoles as Antidiabetic and Anti-Obesity Agents: Synthesis, In Vitro α-Amylase Inhibitory Activity, Molecular Docking and Structure–Activity Relationship Analysis. Molecules 2021, 26, 5214. [Google Scholar] [CrossRef]
- Chikkula, K.V.; Raja, S. Isoxazole-A potent pharmacophore. Int. J. Pharm. Pharm. Sci. 2017, 9, 13–24. [Google Scholar] [CrossRef]
- Esfahani, S.N.; Damavandi, M.S.; Sadeghi, P.; Nazifi, Z.; Salari-Jazi, A.; Massah, A.R. Synthesis of some novel coumarin isoxazol sulfonamide hybrid compounds, 3D-QSAR studies, and antibacterial evaluation. Sci. Rep. 2021, 11, 20088. [Google Scholar] [CrossRef]
- Shaik, A.; Bhandare, R.R.; Palleapati, K.; Nissankararao, S.; Kancharlapalli, V.; Shaik, S. Antimicrobial, Antioxidant, and Anticancer Activities of Some Novel Isoxazole Ring Containing Chalcone and Dihydropyrazole Derivatives. Molecules 2020, 25, 1047. [Google Scholar] [CrossRef] [PubMed]
- Zimecki, M.; Mączyński, M.; Artym, J.; Ryng, S. Closely related isoxazoles may exhibit opposite immunological activities. Acta Pol Pharm.—Drug Res. 2008, 65, 793–794. [Google Scholar]
- Mączyński, M.; Ryng, S.; Artym, J.; Kocięba, M.; Zimecki, M.; Brudnik, K.; Jodkowski, J.T. New lead structures in the isoxazole system: Relationship between quantum chemical parameters and immunological activity. Acta Pol Pharm.—Drug Res. 2014, 71, 71–83. [Google Scholar]
- Mączyński, M.; Artym, J.; Kocięba, M.; Sochacka-Ćwikła, A.; Drozd-Szczygieł, E.; Ryng, S.; Zimecki, M. Synthesis and immunoregulatory properties of selected 5-amino-3-methyl-4-isoxazolecarboxylic acid benzylamides. Acta Pol. Pharm.—Drug Res. 2016, 73, 1201–1211. [Google Scholar]
- Mączyński, M.; Regiec, A.; Sochacka-Ćwikła, A.; Kochanowska, I.; Kocięba, M.; Zaczyńska, E.; Artym, J.; Kałas, W.; Zimecki, M. Synthesis, Physicochemical Characteristics and Plausible Mechanism of Action of an Immunosuppressive Isoxazolo[5,4-e]-1,2,4-Triazepine Derivative (RM33). Pharmaceuticals 2021, 14, 468. [Google Scholar] [CrossRef] [PubMed]
- Sochacka-Ćwikła, A.; Regiec, A.; Zimecki, M.; Artym, J.; Zaczyńska, E.; Kocięba, M.; Kochanowska, I.; Bryndal, I.; Pyra, A.; Mączyński, M. Synthesis and Biological Activity of New 7-Amino-oxazolo[5,4-d]Pyrimidine Derivatives. Molecules 2020, 25, 3558. [Google Scholar] [CrossRef]
- Sochacka-Ćwikła, A.; Mączyński, M.; Czyżnikowska, Ż.; Wiatrak, B.; Jęśkowiak, I.; Czerski, A.; Regiec, A. New Oxazolo[5,4-d]pyrimidines as Potential Anticancer Agents: Their Design, Synthesis, and In Vitro Biological Activity Research. Int. J. Mol. Sci. 2022, 23, 11694. [Google Scholar] [CrossRef] [PubMed]
- Bąchor, U.; Mączyński, M. Selected β2-, β3- and β2,3-Amino Acid Heterocyclic Derivatives and Their Biological Perspective. Molecules 2021, 26, 438. [Google Scholar] [CrossRef]
- Uno, B.E.; Deibler, K.K.; Villa, C.; Raghuraman, A.; Karl, A.S. Conjugate Additions of Amines to Maleimides via Cooperative Catalysis. Adv. Synth. Catal. 2018, 360, 1719–1725. [Google Scholar] [CrossRef]
- Worch, J.C.; Stubbs, C.J.; Matthew, J.P.; Dove, A.P. Click Nucleophilic Conjugate Additions to Activated Alkynes: Exploring Thiol-yne, Amino-yne, and Hydroxyl-yne Reactions from (Bio)Organic to Polymer Chemistry. Chem. Rev. 2021, 121, 6744–6776. [Google Scholar] [CrossRef]
- Dolci, E.; Froidevaux, V.; Joly-Duhamel, C.; Auvergne, R.; Boutevin, B.; Caillol, S. Maleimides as a Building Block for the Synthesis of High Performance Polymers. Polym. Rev. 2016, 56, 512–556. [Google Scholar] [CrossRef]
- Regiec, A.; Wojciechowski, P.; Pietraszko, A.; Mączyński, M. Infrared spectra and other properties predictions of 5-amino-3-methyl-4-isoxazolecarbohydrazide with electric field simulation using CPC model. J. Mol. Struct. 2018, 1161, 320–338. [Google Scholar] [CrossRef]
- Regiec, A.; Płoszaj, P.; Ryng, S.; Wojciechowski, P. Vibrational spectroscopy of 5-amino-3-methyl-4-isoxazolecarbohydrazide and its N-deuterated isotopologue. Vib. Spectrosc. 2014, 70, 125–136. [Google Scholar] [CrossRef]
- Płoszaj, P.; Regiec, A.; Ryng, S.; Piwowar, A.; Kruzel, M.L. Influence of 5-amino-3-methyl-4-isoxazolecarbohydrazide on selective gene expression in Caco-2 cultured cells. Immunopharmacol. Immunotoxicol. 2016, 38, 486–494. [Google Scholar] [CrossRef] [PubMed]
- Drynda, A.; Mączyński, M.; Ryng, S.; Obmińska-Mrukowicz, B. In vitro immunomodulatory effects of 5-amino-3-methyl-4-isoxazolecarboxylic acid hydrazide on the cellular immune response. Immunopharmacol. Immunotoxicol. 2014, 36, 150–157. [Google Scholar] [CrossRef]
- Drynda, A.; Obmińska-Mrukowicz, B.; Mączyński, M.; Ryng, S. The effect of 5-amino-3-methyl-4-isoxazolecarboxylic acid hydrazide on lymphocyte subsets and humoral immune response in SRBC-immunized mice. Immunopharmacol. Immunotoxicol. 2015, 37, 148–157. [Google Scholar] [CrossRef] [PubMed]
- Bąchor, U.; Ryng, S.; Mączyński, M.; Artym, J.; Kocięba, M.; Zaczyńska, E.; Kochanowska, I.; Tykarska, E.; Zimecki, M. Synthesis, immunosuppressive properties, mechanism of action and X-ray analysis of a new class of isoxazole derivatives. Acta Pol. Pharm. Drug Res. 2019, 76, 251–263. [Google Scholar] [CrossRef]
- Banfi, L.; Basso, A.; Lambruschini, C.; Moni, L.; Riva, R. The 100 facets of the Passerini reaction. Chem. Sci. 2021, 12, 15445–15472. [Google Scholar] [CrossRef]
- Olleik, H.; Nicoletti, C.; Lafond, M.; Courvoisier-Dezord, E.; Xue, P.; Hijazi, A.; Baydoun, E.; Perrier, J.; Maresca, M. Comparative Structure–Activity Analysis of the Antimicrobial Activity, Cytotoxicity, and Mechanism of Action of the Fungal Cyclohexadepsipeptides Enniatins and Beauvericin. Toxins 2019, 11, 514. [Google Scholar] [CrossRef]
- Zheng, L.; Li, S.; Luo, J.; Wang, X. Latest Advances on Bacterial Cellulose-Based Antibacterial Materials as Wound Dressings. Front. Bioeng. Biotechnol. 2020, 23, 593768. [Google Scholar] [CrossRef] [PubMed]
- de Amorim, J.D.P.; da Silva Junior, C.J.G.; de Medeiros, A.D.M.; do Nascimento, H.A.; Sarubbo, M.; de Medeiros, T.P.M.; Costa, A.F.S.; Sarubbo, L.A. Bacterial Cellulose as a Versatile Biomaterial for Wound Dressing Application. Molecules 2022, 27, 5580. [Google Scholar] [CrossRef]
- Lemnaru Popa, G.M.; Truşcă, R.D.; Ilie, C.I.; Țiplea, R.E.; Ficai, D.; Oprea, O.; Stoica-Guzun, A.; Ficai, A.; Dițu, L.M. Antibacterial Activity of Bacterial Cellulose Loaded with Bacitracin and Amoxicillin: In Vitro Studies. Molecules 2020, 25, 4069. [Google Scholar] [CrossRef]
- Bąchor, U.; Lizak, A.; Bąchor, R.; Mączyński, M. 5-Amino-3-methyl-Isoxazole-4-carboxylic Acid as a Novel Unnatural Amino Acid in the Solid Phase Synthesis of α/β-Mixed Peptides. Molecules 2022, 27, 5612. [Google Scholar] [CrossRef]
- Bąchor, U.; Drozd-Szczygieł, E.; Bąchor, R.; Jerzykiewicz, L.; Wieczorek, R.; Mączyński, M. New water-soluble isoxazole-linked 1,3,4-oxadiazole derivative with delocalized positive charge. RSC Adv. 2021, 11, 29668–29674. [Google Scholar] [CrossRef] [PubMed]
- Regiec, A.; Gadziński, P. New Methods for Preparing of Esters of 2-cyano-3- alkoxy-2-butenoate acids. Polish patent- PL 216770 B1, 30 May 2014. [Google Scholar]
- Regiec, A.; Gadziński, P.; Płoszaj, P. New methods for preparing of esters of 5-amino-3-methyl-4-isoxazolecarboxylic acid. Polish patent- PL 216764 B1, 30 May 2014. [Google Scholar]
- Sopata, M.; Kucharzewski, M.; Tomaszewska, E. Antiseptic with modern wound dressings in the treatment of venous leg ulcers: Clinical and microbiological aspects. J. Wound Care 2016, 25, 419–426. [Google Scholar] [CrossRef]
- Alves, P.J.; Barreto, R.T.; Barrois, B.M.; Gryson, L.G.; Meaume, S.; Monstrey, S.J. Update on the role of antiseptics in the management of chronic wounds with critical colonisation and/or biofilm. Int Wound, J. 2021, 18, 342–358. [Google Scholar] [CrossRef] [PubMed]
- Agrawal, N.; Pradeep, M. The synthetic and therapeutic expedition of isoxazole and its analogs. Med. Chem. Res. 2018, 27, 1309–1344. [Google Scholar] [CrossRef] [PubMed]
- Gautam, K.C.; Singh, D.P. Synthesis and antimicrobial activity of some isoxazole derivatives of thiophene. Chem Sci Trans. 2013, 2, 992–996. [Google Scholar]
- RamaRao, R.J.; Rao, A.K.S.B.; Sreenivas, N.; Kumar, B.S.; Murthy, Y.L.N. Synthesis and antibacterial activity of novel 5-(heteroaryl)isoxazole Derivatives. J Korean Chem Soc. 2011, 55, 243–250. [Google Scholar] [CrossRef]
- Tasse, J.; Cara, A.; Saglio, M.; Villet, R.; Laurent, F. A Steam-Based Method to Investigate Biofilm. Sci. Rep. 2018, 8, 13040. [Google Scholar] [CrossRef]
- Ünver, H.; Cantürk, Z. New thiophene bearing dimethyl-5-hydroxy isophtalate esters and their antimicrobial activities. Appl. Sci. Eng. 2018, 19, 43–49. [Google Scholar] [CrossRef]
- Ciecholewska-Juśko, D.; Żywicka, A.; Junka, A.; Woroszyło, M.; Wardach, M.; Chodaczek, G.; Szymczyk-Ziółkowska, P.; Migdał, P.; Fijałkowski, K. The effects of rotating magnetic field and antiseptic on in vitro pathogenic biofilm and its milieu. Sci. Rep. 2022, 12, 8836. [Google Scholar] [CrossRef]
- Rabin, N.; Zheng, Y.; Opoku-Temeng, C.; Du, Y.; Bonsu, E.; Sintim, H.O. Biofilm Formation Mechanisms and Targets for Developing Antibiofilm Agents. Future Med. Chem. 2015, 7, 493–512. [Google Scholar] [CrossRef]
- Fang, Z.; Li, Y.; Zheng, Y.; Li, X.; Lu, Y.J.; Yan, S.C.; Wong, W.L.; Chan, K.F.; Wong, K.Y.; Sun, N. Antibacterial activity and mechanism of action of a thiophenyl substituted pyrimidine derivative. RSC Adv. 2019, 9, 10739–10744. [Google Scholar] [CrossRef] [PubMed]
- Kramer, A.; Dissemond, J.; Kim, S.; Willy, C.; Mayer, D.; Papke, R.; Tuchmann, F.; Assadian, O. Consensus on Wound Antisepsis: Update 2018. Skin Pharmacol. Physiol. 2018, 31, 28–58. [Google Scholar] [CrossRef] [PubMed]
- Ghorab, M.M.; Bashandy, M.S.; Alsaid, M.S. Novel thiophene derivatives with sulfonamide, isoxazole, benzothiazole, quinoline and anthracene moieties as potential anticancer agents. Acta Pharm. 2014, 64, 419–431. [Google Scholar] [CrossRef]
- Golonka, I.; Greber, K.E.; Oleksy-Wawrzyniak, M.; Paleczny, J.; Dryś, A.; Junka, A.; Sawicki, W.; Musiał, W. Antimicrobial and Antioxidative Activity of Newly Synthesized Peptides Absorbed into Bacterial Cellulose Carrier against Acne vulgaris. Int. J. Mol. Sci. 2021, 22, 7466. [Google Scholar] [CrossRef] [PubMed]
- Abdelhamid, H.N.; Mathew, A.P. Cellulose-Based Nanomaterials Advance Biomedicine: A Review. Int. J. Mol. Sci. 2022, 23, 5405. [Google Scholar] [CrossRef] [PubMed]
- Ruszczak, Z.; Friess, W. Collagen as a carrier for on-site delivery of antibacterial drugs. Adv. Drug Deliv. Rev. 2003, 55, 1679–1698. [Google Scholar] [CrossRef] [PubMed]
- Brehant, O.; Sabbagh, C.; Lehert, P.; Dhahri, A.; Rebibo, L.; Regimbeau, J.M. The gentamicin–collagen sponge for surgical site infection prophylaxis in colorectal surgery: A prospective case-matched study of 606 cases. Int. J. Colorectal Dis. 2013, 28, 119–125. [Google Scholar] [CrossRef]
- Mączyńska, B.; Secewicz, A.; Smutnicka, D.; Szymczyk, P.; Dudek-Wicher, R.; Junka, A.; Bartoszewicz, M. In vitro efficacy of gentamicin released from collagen sponge in eradication of bacterial biofilm preformed on hydroxyapatite surface. PLoS ONE 2019, 14, e0217769. [Google Scholar] [CrossRef]
- Li, Z.; Shi, L.; Wang, B.; Wei, X.; Zhang, J.; Guo, T.; Kong, J.; Wang, M.; Xu, H. In Vitro Assessment of Antimicrobial Resistance Dissemination Dynamics during Multidrug-Resistant-Bacterium Invasion Events by Using a Continuous-Culture Device. Appl. Environ. Microbiol. 2021, 87, e02659-20. [Google Scholar] [CrossRef]
- Krzyżek, P.; Gościniak, G.; Fijałkowski, K.; Migdał, P.; Dziadas, M.; Owczarek, A.; Czajkowska, J.; Aniołek, O.; Junka, A. Potential of Bacterial Cellulose Chemisorbed with Anti-Metabolites, 3-Bromopyruvate or Sertraline, to Fight against Helicobacter pylori Lawn Biofilm. Int. J. Mol. Sci. 2020, 21, 9507. [Google Scholar] [CrossRef]






| Minimal Inhibitory Concentration [mg/mL] | |||
|---|---|---|---|
| S. aureus | P. aeruginosa | C. albicans | |
| PUB1 | 0.125 | 0.125 | 0.063 |
| PUB2 | 0.125 | 0.125 | 0.063 |
| PUB3 | 0.125 | 0.125 | 0.063 |
| PUB4 | 0.25 | 0.125 | 0.063 |
| PUB5 | 0.25 | 0.125 | 0.063 |
| PUB6 | 0.125 | 0.125 | 0.063 |
| PUB7 | 0.125 | 0.125 | 0.063 |
| PUB8 | 0.125 | 0.125 | 0.063 |
| PUB9 | 0.00012 | 0.125 | 0.063 |
| PUB10 | 0.00024 | 0.063 | 0.02 |
| MAL1 | 0.125 | 0.063 | 0.02 |
| MAL2 | 0.125 | 0.063 | 0.63 |
| MAL3 | 0.125 | 0.125 | 0.063 |
| MAL4 | 0.125 | 0.063 | 0.063 |
| MAL5 | 0.125 | 0.063 | 0.063 |
Disclaimer/Publisher’s Note: The statements, opinions and data contained in all publications are solely those of the individual author(s) and contributor(s) and not of MDPI and/or the editor(s). MDPI and/or the editor(s) disclaim responsibility for any injury to people or property resulting from any ideas, methods, instructions or products referred to in the content. |
© 2023 by the authors. Licensee MDPI, Basel, Switzerland. This article is an open access article distributed under the terms and conditions of the Creative Commons Attribution (CC BY) license (https://creativecommons.org/licenses/by/4.0/).
Share and Cite
Bąchor, U.; Junka, A.; Brożyna, M.; Mączyński, M. The In Vitro Impact of Isoxazole Derivatives on Pathogenic Biofilm and Cytotoxicity of Fibroblast Cell Line. Int. J. Mol. Sci. 2023, 24, 2997. https://doi.org/10.3390/ijms24032997
Bąchor U, Junka A, Brożyna M, Mączyński M. The In Vitro Impact of Isoxazole Derivatives on Pathogenic Biofilm and Cytotoxicity of Fibroblast Cell Line. International Journal of Molecular Sciences. 2023; 24(3):2997. https://doi.org/10.3390/ijms24032997
Chicago/Turabian StyleBąchor, Urszula, Adam Junka, Malwina Brożyna, and Marcin Mączyński. 2023. "The In Vitro Impact of Isoxazole Derivatives on Pathogenic Biofilm and Cytotoxicity of Fibroblast Cell Line" International Journal of Molecular Sciences 24, no. 3: 2997. https://doi.org/10.3390/ijms24032997
APA StyleBąchor, U., Junka, A., Brożyna, M., & Mączyński, M. (2023). The In Vitro Impact of Isoxazole Derivatives on Pathogenic Biofilm and Cytotoxicity of Fibroblast Cell Line. International Journal of Molecular Sciences, 24(3), 2997. https://doi.org/10.3390/ijms24032997

