New Preparative Approach to Purer Technetium-99 Samples—Tetramethylammonium Pertechnetate: Deep Understanding and Application of Crystal Structure, Solubility, and Its Conversion to Technetium Zero Valent Matrix
Abstract
1. Introduction
2. Results and Discussion
2.1. Structural Description of [Me4N]+TcO4−
2.2. Hirshfeld Surface Analysis
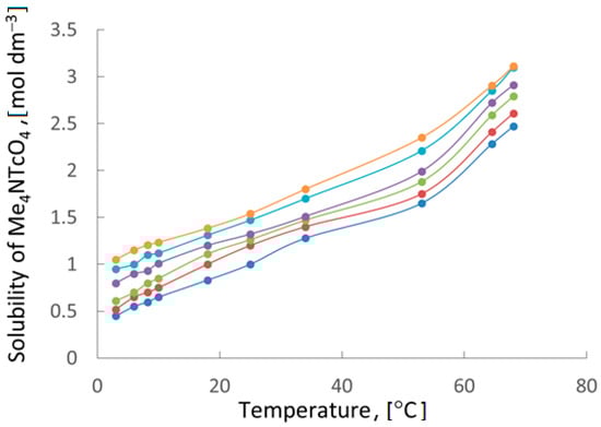
2.3. Thermodynamics of TMAP Dissolution in Aqueous Solutions
= Ks·γ((Me4N+)·γ(TcO4−).
2.4. Solubility of TMAP and TBAP in Aqueous Solutions
2.5. Preparation of Metallic Technetium by Pyrolysis of Solid TMAP
3. Materials and Methods
3.1. Syntheses of TMAP and TBAP
3.2. Measuring the Solubility of TMAP in Aqueous Solutions
3.3. X-ray Diffraction Study
3.4. Differential Thermogravimetric (DTG) and Differential Thermal (DTA) Analyzes
3.5. Mass-Spectrometry
4. Conclusions
Supplementary Materials
Author Contributions
Funding
Institutional Review Board Statement
Informed Consent Statement
Data Availability Statement
Acknowledgments
Conflicts of Interest
References
- Chatterjee, S.; Holfeltz, V.E.; Hall, G.B.; Johnson, I.E.; Walter, E.D.; Lee, S.; Reinhart, B.; Lukens, W.E.; Machara, N.P.; Levitskaia, T.G. Identification and Quantification of Technetium Species in Hanford Waste Tank AN-102. Anal. Chem. 2020, 92, 13961–13970. [Google Scholar] [CrossRef] [PubMed]
- Peretrukhin, V.F.; Silin, V.I.; Kareta, A.V.; Gelis, A.V.; Shilov, V.P.; German, K.E.; Firsova, E.V.; Maslennikov, A.G.; Trushina, V.E. Purification of Alkaline Solutions and Wastes from Actinides and Technetium by Coprecipitation with Some Carriers Using the Method of Appearing Reagents. Final Report. Contract DE-AC06-76RLO 1830 with DOE, PNNL 1998. August 1998. Reg. no. PNNL 11988, UC-2030. Available online: https://inis.iaea.org/search/search.aspx?orig_q=RN:30013957 (accessed on 11 January 2023).
- Rapko, B.M. Evaluation of Hanford Tank Supernatant Availability for Technetium Management Project Studies in FY16. PNNL-24768. EMSP-RPT-028, Rev. September 2015. Prepared for the U.S. Department of Energy under Contract DE-AC05-76RL01830. Available online: https://www.pnnl.gov/main/publications/external/technical_reports/PNNL-24768.pdf (accessed on 11 January 2023).
- Dileep, C.S.; Jagasia, P.; Dhami, P.S.; Achuthan, P.V.; Dakshinamoorthy, A.; Tomar, B.S.; Munshi, S.K.; Dey, P.K. Distribution of technetium in PUREX process streams. Desalination 2008, 232, 157–165. [Google Scholar] [CrossRef]
- Fang, L.; Hui, W.; Yong-Fen, J.; Yan, W.; Yu, Z. Methyl-hydrazine deoxidize Tc(VII) in nitric acid in presence of U(VI) and behavior of technetium in the U/Pu splitting stage of APOR process. Energy Procedia 2013, 39, 358–364. [Google Scholar] [CrossRef]
- Banerjee, D.; Kim, D.; Schweiger, M.J.; Kruger, A.A.; Thallapally, P.K. Removal of TcO4– ions from solution: Materials and future outlook. Chem. Soc. Rev. 2016, 45, 2724–2739. [Google Scholar] [CrossRef]
- Makarov, A.V.; Safonov, A.V.; Konevnik, Y.V.; Teterin, Y.A.; Maslakov, K.I.; Teterin, A.Y.; Karaseva, Y.Y.; German, K.W.; Zakharova, E.V. Activated Carbon Additives for Technetium Immobilization in Bentonite-Based Engineered Barriers for Radioactive Waste Repositories. J. Hazard. Mater. 2021, 401, 123436. [Google Scholar] [CrossRef] [PubMed]
- Newsome, L.; Morris, K.; Cleary, A.; Masters-Waage, N.K.; Boothman, C.; Joshi, N.; Atherton, N.; Lloyd, J.R. The impact of iron nanoparticles on technetium contaminated groundwater and sediment microbial communities. J. Hazard. Mater. 2018, 364, 134–142. [Google Scholar] [CrossRef] [PubMed]
- Asmussen, R.M.; Pearce, C.I.; Miller, B.W.; Lawter, A.V.; Neeway, J.J.; Lukens, W.W.; Bowden, M.E.; Miller, M.A.; Buck, E.C.; Serne, R.J.; et al. Getters for Improved Technetium Containment in Cementitious Waste Forms. J. Hazard. Mater. 2018, 341, 238–247. [Google Scholar] [CrossRef]
- Zhang, G.; Tan, K.; Xian, S.; Xing, K.; Sun, H.; Hall, G.; Li, L.; Li, J. Ultrastable Zirconium-Based Cationic Metal−Organic Frameworks for Perrhenate Removal from Wastewater. Inorg. Chem. 2021, 60, 11730–11738. [Google Scholar] [CrossRef]
- Gawenis, J.A.; Holman, K.T.; Atwood, J.L.; Jurisson, S.S. Extraction of Pertechnetate and Perrhenate from Water with Deep-Cavity [CpFe(arene)]+-Derivatized Cyclotriveratrylenes. Inorg. Chem. 2002, 41, 6028–6031. [Google Scholar] [CrossRef]
- Boytsova, T.A.; Murzin, A.A.; Babain, V.A.; Lumpov, A.A.; Kretser, U.L. 1,10-Phenantroline complex of iron(II) nitrate: The challenging salt for the technetium precipitation from nitric acid solutions. J. Radioanal. Nucl. Chem. 2015, 304, 273–279. [Google Scholar] [CrossRef]
- Mausolf, E.; Droessler, J.; Poineau, F.; Hartmann, T.; Czerwinski, K. Tetraphenylpyridinium pertechnetate: A promising salt for the immobilization of technetium. Radiochim. Acta 2012, 100, 325–328. [Google Scholar] [CrossRef]
- Poineau, F.; Mausolf, E.; Kerlin, W.; Czerwinski, K. Hexaammine-cobalt(III) pertechnetate: Preparation, structure and solubility. J. Radioanal. Nucl. Chem. 2017, 311, 775–778. [Google Scholar] [CrossRef]
- Xie, K.; Dong, Z.; Zhai, M.; Shi, W.; Zhao, L. Radiation-induced surface modification of silanized silica with n-alkyl-imidazolium ionic liquids and their applications for the removal of ReO4− as an analogue for TcO4−. Appl. Surf. Sci. 2021, 551, 149406. [Google Scholar] [CrossRef]
- Hartmann, T.; Alaniz, A.; Poineau, F.; Weck, P.F.; Valdez, J.A.; Tang, M.; Jarvinen, G.D.; Czerwinski, K.R.; Sickafus, K.E. Structure studies on lanthanide technetium pyrochlores as prospective host phases to immobilize 99technetium and fission lanthanides from effluents of reprocessed used nuclear fuels. J. Nucl. Mater. 2011, 411, 60–71. [Google Scholar] [CrossRef]
- Mausolf, E.; Poineau, F.; Hartmann, T.; Droessler, J.; Czerwinski, K. Characterization of Electrodeposited Technetium on Gold Foil. J. Electrochem. Soc. 2011, 158, E32–E35. [Google Scholar] [CrossRef]
- Abdellah, W.M.; El-Ahwany, H.I.; El-Sheikh, R. Removal of Technetium (99Tc) from Aqueous Waste by Manganese Oxide Nanoparticles Loaded into Activated Carbon. JASMI 2020, 10, 12–35. [Google Scholar] [CrossRef]
- Eiroa-Lledo, C.; Wall, D.E.; Wall, N.A. Thermodynamic parameters for the complexation of Tc(IV) with bromide under aqueous conditions. Radiochim. Acta 2020, 108, 409–414. [Google Scholar] [CrossRef]
- Rotmanov, K.V.; Lebedeva, L.S.; Radchenko, V.M.; Peretrukhin, V.F. Transmutation of technetium 99 and preparation of artificial stable ruthenium. III. Isolation of artificial metallic ruthenium from irradiated technetium. Radiochemistry 2008, 50, 408–410. [Google Scholar] [CrossRef]
- Masson, M.; Guerman, K.; Lecomte, M.; Peretroukhine, V.; David, F. Abstracts of Papers. In Proceedings of the 4th International Conference on Nuclear and Radiochemistry, Saint Malo, France, 8–13 September 1996; pp. G01–G03. [Google Scholar]
- Peretrukhin, V.F.; Rovnyi, S.I.; Ershov, V.V.; German, K.E.; Kozar, A.A. Preparation of Technetium Metal for Transmutation into Ruthenium. Russ. J. Inorg. Chem. 2002, 47, 637–642. [Google Scholar]
- Peretrukhin, V.F.; Moisy, F.; Maslennikov, A.G.; Simonoff, M.; Tsivadze, A.Y.; German, K.E.; David, F.; Fourest, B.; Sergeant, C.; Lecomte, M. Physicochemical Behavior of Uranium and Technetium in Some New Stages of the Nuclear Fuel Cycle. Russ. J. Gen. Chem. 2018, 78, 1031–1046. [Google Scholar] [CrossRef]
- Weaver, J.; Soderquist, C.Z.; Washton, N.M.; Lipton, A.S.; Gassman, P.L.; Lukens, W.W.; Kruger, A.A.; Wall, N.A.; McCloy, J.S. Chemical Trends in Solid Alkali Pertechnetates. Inorg. Chem. 2017, 56, 2533–2544. [Google Scholar] [CrossRef] [PubMed]
- Kennedy, B.J.; Injac, S.; Thorogood, G.J.; Brand, H.E.A.; Poineau, F. Structures and Phase Transitions in Pertechnetates. Inorg. Chem. 2019, 58, 10119–10128. [Google Scholar] [CrossRef] [PubMed]
- Novikov, A.P.; German, K.E.; Safonov, A.V.; Grigoriev, M.S. Cation Protonation Degree Influence on the Formation of Anion Anion and Other Non-Valent Interactions in Guaninium Perrhenates and Pertechnetate. ChemistrySelect 2022, 7, e202202814. [Google Scholar] [CrossRef]
- Sheng, D.; Zhu, L.; Dai, X.; Xu, C.; Li, P.; Pearce, C.I.; Xiao, C.; Chen, J.; Zhou, R.; Duan, T.; et al. Successful Decontamination of 99TcO4− in Groundwater at Legacy Nuclear Sites by a Cationic Metal-Organic Framework with Hydrophobic Pockets. Angew. Chemie 2019, 131, 5022–5026. [Google Scholar] [CrossRef]
- Xie, R.; Shen, N.; Chen, X.; Li, J.; Wang, Y.; Zhang, C.; Xiao, C.; Chai, Z.; Wang, S. 99TcO4-Separation through Selective Crystallization Assisted by Polydentate Benzene-Aminoguanidinium Ligands. Inorg. Chem. 2021, 60, 6463–6471. [Google Scholar] [CrossRef]
- Novikov, A.P.; Volkov, M.A. New O- and N-N-Bridging Complexes of Tc(V), the Role of the Nitrogen Atom Position in Aromatic Rings: Reaction Mechanism, Spectroscopy, DTA, XRD and Hirshfeld Surface Analysis Int. J. Mol. Sci. 2022, 23, 14034. [Google Scholar] [CrossRef]
- Volkov, M.A.; Novikov, A.P.; Grigoriev, M.S.; Fedoseev, A.M.; German, K.E. Novel Synthesis Methods of New Imidazole-Containing Coordination Compounds Tc(IV, V, VII)—Reaction Mechanism, Xrd and Hirshfeld Surface Analysis. Int. J. Mol. Sci. 2022, 23, 9461. [Google Scholar] [CrossRef]
- German, K.E.; Kuzina, A.F.; Grigoriev, M.S.; Gulev, B.G.; Spitzyn, V.I. Synthesis and crystall structure of Me4NTcO4. Proc. Acad. Sci. Russ. 1986, 287, 650–653. [Google Scholar]
- German, K.E.; Grigor’ev, M.S.; Kuzina, A.F.; Spitsyn, V.I. The structure and various physicochemical properties of tetraalkylammonium pertechnetates. Russ. J. Inorg. Chem. 1987, 32, 667–670. [Google Scholar]
- Kuzina, A.F.; German, K.E.; Spitsyn, V.I. Thermal decomposition of tetraalkylammonium pertechnetates. Russ. J. Inorg. Chem. 1987, 32, 44–47. [Google Scholar]
- German, K.E.; Grigor’ev, M.S.; Kuzina, A.F.; Spitsin, V.I. Structure and some physicochemical properties of tetraalkylammonium pertechnetates. Russ. J. Inorg. Chem. 1987, 32, 1089–1095. [Google Scholar]
- German, K.E.; Grigoriev, M.S.; Garashchenko, B.L.; Kopytin, A.V.; Tyupina, E.A. Redetermination of the crystal structure of NaTcO4 at 100 and 296 K based on single-crystal X-ray data. Acta Cryst. 2017, E73, 1037–1040. [Google Scholar] [CrossRef]
- Daolio, A.; Pizzi, A.; Terraneo, G.; Frontera, A.; Resnati, G. Anion-Anion Interactions Involving σ–Holes of Perrhenate, Pertechnetate and Permanganate Anions. ChemPhysChem 2021, 22, 2281–2285. [Google Scholar] [CrossRef] [PubMed]
- Turner, M.J.; Mckinnon, J.J.; Wolff, S.K.; Grimwood, D.J.; Spackman, P.R.; Jayatilaka, D.; Spackman, M.A. Crystal Explorer 17.5. The University of Western Australia: Crawley, WA, Australia, 2017. [Google Scholar]
- Palacios, E.; Burriel, R.; Ferloni, P. The phases of [(CH3)4N](ClO4) at low temperature. Acta Cryst. 2003, B59, 625–633. [Google Scholar] [CrossRef] [PubMed]
- Novikov, A.P.; Ryagin, S.N.; Grigoriev, M.S.; Safonov, A.V.; German, K.E. 5,5-Dichloro-6-hydroxy-dihydropyrimidine-2,4(1H,3H)-dione: Molecular and crystal structure, Hirshfeld surface analysis and the new route for synthesis with Mg(ReO4)2 as a new catalyst. Acta Crystallogr. Sect. E Crystallogr. Commun. 2020, 76, 1557–1561. [Google Scholar] [CrossRef] [PubMed]
- German, K.E.; Grigoriev, M.S.; Den Auwer, C.; Maruk, A.Y.; Obruchnikova, Y.A. Structure and solubility of tetrapropylammonium pertechnetate and perrhenate. Russ. J. Inorg. Chem. 2013, 58, 691–694. [Google Scholar] [CrossRef]
- Menéndez, M.I.; Borge, J. Ion Association versus Ion Interaction Models in Examining Electrolyte Solutions: Application to Calcium Hydroxide Solubility Equilibrium. J. Chem. Educ. 2014, 91, 91–95. [Google Scholar] [CrossRef]
- Appendix, C. Ionic strength corrections. In Chemical Thermodynamics. V. 14. Second Update on the Thermodynamics of Uranium, Neptunium, Plutonium, Americium and Technetium; Ragoussi, M.-E., Martinez, J.S., Costa, D., Eds.; OECD Nuclear Energy Agency: Paris, France, 2020. [Google Scholar]
- German, K.E.; Fedoseev, A.M.; Grigoriev, M.S.; Kirakosyan, G.A.; Dumas, T.; Auwer, C.D.; Moisy, P.; Lawler, K.V.; Forster, P.M.; Poineau, F.A. 70-year-old Mystery in Technetium Chemistry Explained by the New Technetium Polyoxometalate [H7O3]4[Tc20O68]∙4H2O. Chem. Eur. J. 2021, 27, 13624–13631. [Google Scholar] [CrossRef]
- Ustynyuk, Y.A.; Gloriozov, I.P.; Zhokhova, N.I.; German, K.E.; Kalmykov, S.N. Hydration of the pertechnetate anion. DFT study. J. Mol. Liq. 2021, 342, 117404. [Google Scholar] [CrossRef]
- Jian, J.; Varathan, E.; Cheisson, Y.; Jian, T.; Lukens, W.; Davis, R.; Schelter, E.J.; Schreckenbach, G.; Gibson, J.K. Proton Affinities of Pertechnetate (TcO4–) and Perrhenate (ReO4–). Phys. Chem. Chem. Phys. 2020, 22, 12403–12411. [Google Scholar] [CrossRef]
- Poineau, F.; Weck, P.; German, K.; Maruk, A.; Kirakosyan, G.; Lukens, W.; Rego, D.B.; Sattelberger, A.P.; Czerwinski, K.R. Speciation of heptavalent technetium in sulfuric acid: Structural and spectroscopic studies. Dalton Trans. 2010, 39, 8616–8619. [Google Scholar] [CrossRef] [PubMed]
- Rulfs, C.L.; Hirsh, R.F.; Pacer, R.A. Pertechnic acid: An aperiodic variation in acid strength. Nature 1963, 199, 66. [Google Scholar] [CrossRef]
- German, K.E.; Krjuchkov, S.V.; Belyaeva, L.L.; Spitsyn, V.I. Ion association in tetraalkylammonium pertechnetate solutions. J. Radioanal. Nucl. Chem. 1988, 121, 515–521. [Google Scholar] [CrossRef]
- Davis, W.; De Bruin, H.J. New activity coefficients of 0–100 percent aqueous nitric acid. J. Inorg. Nuel. Chem. 1964, 26, 1069–1083. [Google Scholar] [CrossRef]
- Rard, J.A. Critical Review of the Chemistry and Thermodynamics of Technetium and Some of its Inorganic Compounds and Aqueous Species; UCRL-53440; Lawrence Livermore National Laboratory: Livermore, CA, USA, 1983. [Google Scholar]
- Sheldrick, G.M. SADABS. Bruker AXS Inc.: Madison, WI, USA, 2008. [Google Scholar]
- Kozar, A.A.; Peretrukhin, V.F.; Karelin, E.A.; Radchenko, V.M.; Toporov, Y.G.; Tarasov, V.A.; Romanov, E.G. Transmutation of Metallic 99Tc into Ruthenium under Irradiation in High-Flux SM Reactor. Radiochemistry. 2002, 44, 284–286. [Google Scholar] [CrossRef]
- Liu, B.; Huang, L.; Tu, J.; Liu, F.; Cao, Q.; Jia, R.; Li, X.; Cai, J. Technetium transmutation in thin layer coating on PWR fuel rods. Prog. Nucl. 2015, 85, 375–383. [Google Scholar] [CrossRef]
- Handbook of Radioactivity Analysis: Volume 2, 4th ed.; L’Annunziata, M.F. Elsevier; Academic Press: UK, 2020; ISBN 13: 978-0128143957. [Google Scholar]
- Apex2; Bruker AXS Inc.: Madison, WI, USA, 2008.
- SAINT-Plus; Version 7.68; Bruker AXS Inc.: Madison, WI, USA, 2007.
- Sheldrick, G.M. A short history of SHELX. Acta Crystallogr. 2008, 64, 112–122. [Google Scholar] [CrossRef]
- Sheldrick, G.M. Crystal structure refinement with SHELXL. Acta Crystallogr. 2015, 71, 3–8. [Google Scholar]
- Dolomanov, O.V.; Bourhis, L.J.; Gildea, R.J.; Howard, J.A.K.; Puschmann, H. OLEX2: A complete structure solution, refinement and analysis program. J. Appl. Crystallogr. 2009, 42, 339–341. [Google Scholar] [CrossRef]
- Groom, C.R.; Bruno, I.J.; Lightfoot, M.P.; Ward, S.C. The Cambridge Structural Database. Acta Crystallogr. Sect. B Struct. Sci. Cryst. Eng. Mater. 2016, 72, 171–179. [Google Scholar] [CrossRef]
- German, K.E. In situ carbonization for rhenium and technetium carbide nano and micro phase preparation. In Proceedings of the 7th International Symposium on Technetium and Other Metals in Chemistry and Nuclear Medicine, Moscow, Russia, 4–8 July 2011; Volume 7, pp. 165–168. [Google Scholar]





—0.0,
—0.25,
—0.50,
—0.75,
—0.83,
—1.0.
—0.0,
—0.25,
—0.50,
—0.75,
—0.83,
—1.0.



| Contribution, % | |||||||
|---|---|---|---|---|---|---|---|
| [Me4N]+TcO4− | [Me4N]+ReO4− | [Me4N]+ClO4− | |||||
| Contact Type | [(CH3)4N]+ | TcO4− | [(CH3)4N]+ | ReO4− | [(CH3)4N]+ * | ClO4− | |
| O···H/H···O | 58.6 | 98.6 | 58.7 | 98.5 | 50.6 | 50.7 | 99.9 |
| H···H | 41.4 | – | 41.2 | – | 49.4 | 49.3 | – |
| O···O | – | 1.4 | – | 1.5 | – | – | – |
| T/K | Solubility m/mol kg−1(H2O) | γ± | Solubility Product Ks |
|---|---|---|---|
| 276.2 | 0.0455 | 0.831 | 1.43·10−3 |
| 279.3 | 0.0556 | 0.819 | 2.07·10−3 |
| 281.7 | 0.0604 | 0.814 | 2.42·10−3 |
| 283.2 | 0.0657 | 0.809 | 2.82·10−3 |
| 291.5 | 0.0839 | 0.793 | 4.42·10−3 |
| 298.5 | 0.101 | 0.780 | 6.21·10−3 |
| 306.7 | 0.129 | 0.763 | 9.69·10−3 |
| 325.7 | 0.1667 | 0.738 | 1.51·10−2 |
| 337.8 | 0.2306 | 0.714 | 2.71·10−2 |
| 341.3 | 0.2496 | 0.708 | 3.12·10−2 |
| m (HNO3)/mol kg−1(H2O) | Solubility of [Me4N+]TcO4−/ mol kg−1 (H2O) | Error/ % | |
|---|---|---|---|
| Calculated | Experimental | ||
| 0.25 | 0.1009 | 0.1010 | 0.14 |
| 0.50 | 0.1160 | 0.1174 | 1.15 |
| 0.75 | 0.1281 | 0.1232 | 3.99 |
| 0.83 | 0.1317 | 0.1354 | 2.73 |
| 1.0 | 0.1394 | 0.1398 | 0.27 |
| TMAP | TBAP | ||
|---|---|---|---|
| Temperature/K | Solubility/mol·kg−1 H2O | Temperature/K | Solubility/mol·kg−1 H2O |
| 291.5 | 0.0839 | 291.0 | 0.00398 |
| 298.5 | 0.1010 | 298.0 | 0.00428 |
| 306.7 | 0.1290 | 301.5 | 0.00439 |
| Identification Code | 1 | 2 | 3 | 4 |
|---|---|---|---|---|
| Empirical formula | C4H12NO4Tc | C4H12NO4Re | C16H36NO4Re | C16H36NO4Tc |
| Formula weight | 236.15 | 324.35 | 492.66 | 404.46 |
| Temperature, [K] | 296 (2) | 296 (2) | 293 (2) | 296 (2) |
| Crystal system | orthorhombic | orthorhombic | orthorhombic | orthorhombic |
| Space group | Pbcm | Pbcm | Pna21 | Pna21 |
| a, [Å] | 5.93200 (10) | 5.9358(10) | 15.4224 (19) | 15.3737 (4) |
| b, [Å] | 12.1356 (2) | 12.139 (2) | 13.8888 (17) | 13.7883 (3) |
| c, [Å] | 12.2279 (2) | 12.232 (2) | 9.9272 (10) | 9.8669 (2) |
| α, [°] | 90 | 90 | 90 | 90 |
| β, [°] | 90 | 90 | 90 | 90 |
| γ, [°] | 90 | 90 | 90 | 90 |
| Volume, [Å3] | 880.27 (3) | 881.4 (3) | 2126.4 (4) | 2091.56 (8) |
| Z | 4 | 4 | 4 | 4 |
| ρcalc, [g/cm3] | 1.782 | 2.444 | 1.539 | 1.284 |
| μ, [mm−1] | 1.601 | 13.753 | 5.729 | 0.703 |
| F(000) | 472.0 | 600.0 | 984.0 | 856.0 |
| Crystal size, [mm3] | 0.3 × 0.16 × 0.14 | 0.3 × 0.3 × 0.22 | 0.4 × 0.34 × 0.18 | 0.18 × 0.12 × 0.1 |
| Radiation | MoKα (λ = 0.71073) | |||
| 2Θ range for data collection, [°] | 8.342 to 80 | 8.338 to 64.996 | 8.212 to 54.994 | 8.262 to 49.998 |
| Index ranges | −10 ≤ h ≤ 10, −21 ≤ k ≤ 21, −22 ≤ l ≤ 22 | −8 ≤ h ≤ 8, −18 ≤ k ≤ 18, −18 ≤ l ≤ 18 | −20 ≤ h ≤ 20, −18 ≤ k ≤ 18, −12 ≤ l ≤ 12 | −18 ≤ h ≤ 18, −15 ≤ k ≤ 16, −11 ≤ l ≤ 11 |
| Reflections collected | 49,635 | 16,307 | 26,030 | 22,432 |
| Independent reflections | 2813 [Rint = 0.0481, Rsigma = 0.0213] | 1634 [Rint = 0.0841, Rsigma = 0.0463] | 4795 [Rint = 0.0298, Rsigma = 0.0274] | 3660 [Rint = 0.0279, Rsigma = 0.0213] |
| Data/restraints/parameters | 2813/0/52 | 1634/0/52 | 4795/116/200 | 3660/143/200 |
| Goodness-of-fit on F2 | 1.046 | 1.068 | 1.007 | 1.049 |
| Final R indexes [I >= 2σ (I)] | R1 = 0.0407, wR2 = 0.1077 | R1 = 0.0406, wR2 = 0.0794 | R1 = 0.0358, wR2 = 0.0773 | R1 = 0.0688, wR2 = 0.1916 |
| Final R indexes [all data] | R1 = 0.0835, wR2 = 0.1251 | R1 = 0.0635, wR2 = 0.0856 | R1 = 0.0712, wR2 = 0.0914 | R1 = 0.0940, wR2 = 0.2208 |
| Largest diff. peak/hole, [e Å−3] | 0.91/−0.77 | 2.07/−1.51 | 0.78/−0.68 | 0.62/−0.53 |
| Flack parameter | 0.44 (16) | |||
Disclaimer/Publisher’s Note: The statements, opinions and data contained in all publications are solely those of the individual author(s) and contributor(s) and not of MDPI and/or the editor(s). MDPI and/or the editor(s) disclaim responsibility for any injury to people or property resulting from any ideas, methods, instructions or products referred to in the content. |
© 2023 by the authors. Licensee MDPI, Basel, Switzerland. This article is an open access article distributed under the terms and conditions of the Creative Commons Attribution (CC BY) license (https://creativecommons.org/licenses/by/4.0/).
Share and Cite
Volkov, M.A.; Novikov, A.P.; Grigoriev, M.S.; Kuznetsov, V.V.; Sitanskaia, A.V.; Belova, E.V.; Afanasiev, A.V.; Nevolin, I.M.; German, K.E. New Preparative Approach to Purer Technetium-99 Samples—Tetramethylammonium Pertechnetate: Deep Understanding and Application of Crystal Structure, Solubility, and Its Conversion to Technetium Zero Valent Matrix. Int. J. Mol. Sci. 2023, 24, 2015. https://doi.org/10.3390/ijms24032015
Volkov MA, Novikov AP, Grigoriev MS, Kuznetsov VV, Sitanskaia AV, Belova EV, Afanasiev AV, Nevolin IM, German KE. New Preparative Approach to Purer Technetium-99 Samples—Tetramethylammonium Pertechnetate: Deep Understanding and Application of Crystal Structure, Solubility, and Its Conversion to Technetium Zero Valent Matrix. International Journal of Molecular Sciences. 2023; 24(3):2015. https://doi.org/10.3390/ijms24032015
Chicago/Turabian StyleVolkov, Mikhail A., Anton P. Novikov, Mikhail S. Grigoriev, Vitaly V. Kuznetsov, Anastasiia V. Sitanskaia, Elena V. Belova, Andrey V. Afanasiev, Iurii M. Nevolin, and Konstantin E. German. 2023. "New Preparative Approach to Purer Technetium-99 Samples—Tetramethylammonium Pertechnetate: Deep Understanding and Application of Crystal Structure, Solubility, and Its Conversion to Technetium Zero Valent Matrix" International Journal of Molecular Sciences 24, no. 3: 2015. https://doi.org/10.3390/ijms24032015
APA StyleVolkov, M. A., Novikov, A. P., Grigoriev, M. S., Kuznetsov, V. V., Sitanskaia, A. V., Belova, E. V., Afanasiev, A. V., Nevolin, I. M., & German, K. E. (2023). New Preparative Approach to Purer Technetium-99 Samples—Tetramethylammonium Pertechnetate: Deep Understanding and Application of Crystal Structure, Solubility, and Its Conversion to Technetium Zero Valent Matrix. International Journal of Molecular Sciences, 24(3), 2015. https://doi.org/10.3390/ijms24032015

