Dose-Dependent Effect of Mitochondrial Superoxide Dismutase Gene Overexpression on Radioresistance of HEK293T Cells
Abstract
:1. Introduction
2. Results and Discussion
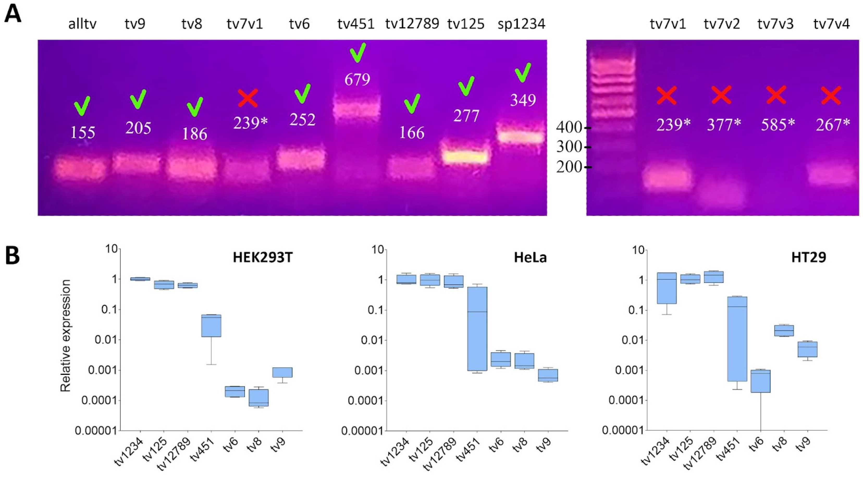
2.1. Basal Expression Level of SOD2 Transcript Variants
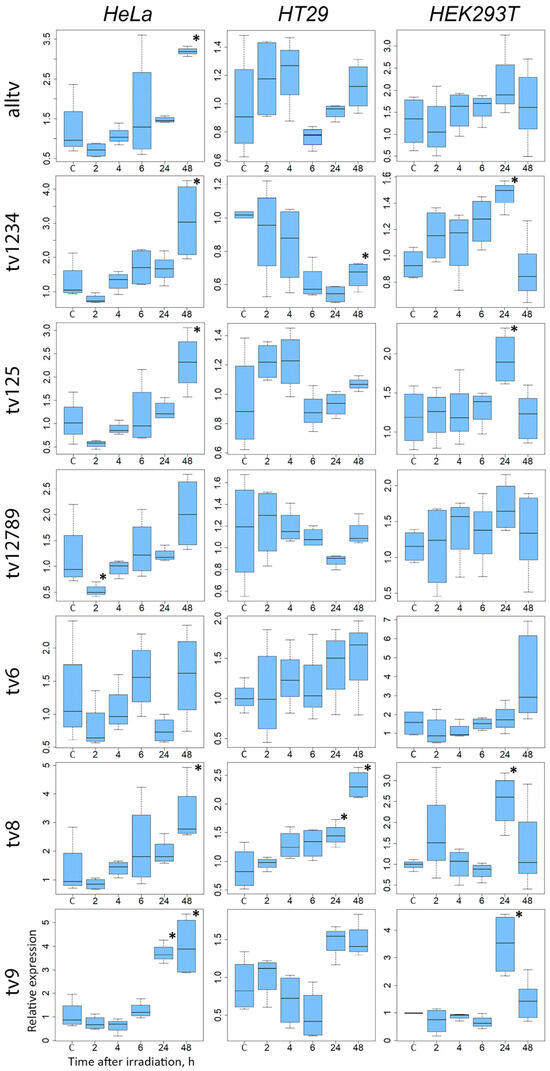
2.2. Radiation-Induced Expression of SOD2 Transcript Variants
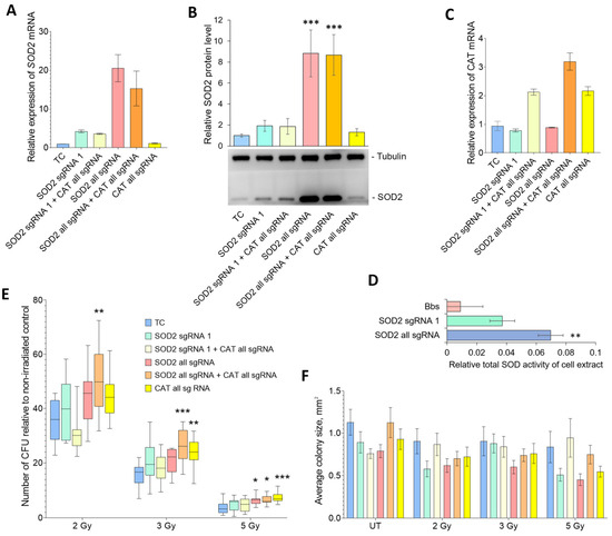
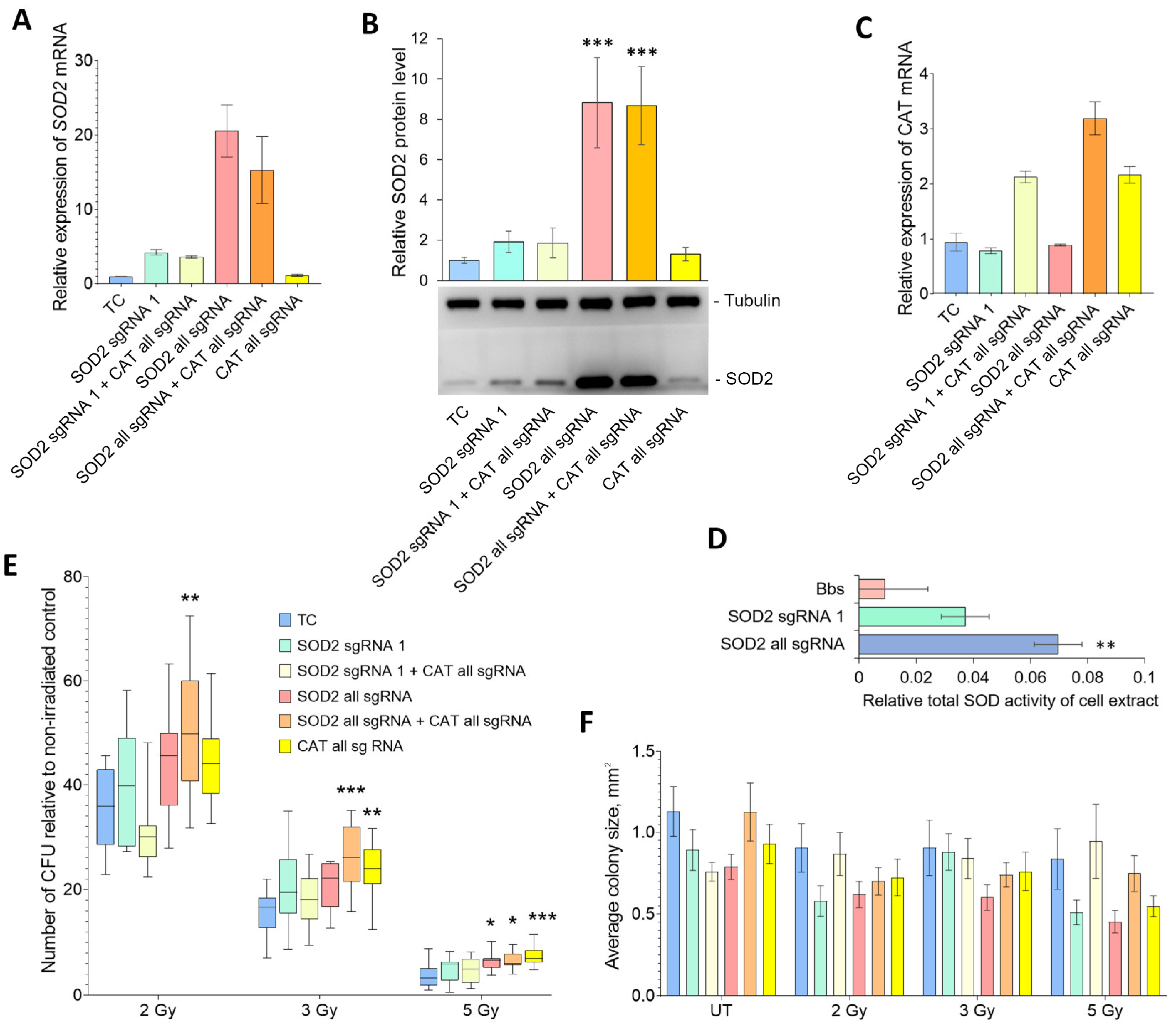
2.3. Effects of Different Degrees of SOD2 Overexpression on Cellular Radioresistance
3. Materials and Methods
3.1. Cell Lines
3.2. qRT-PCR and Primer Design
3.3. Plasmids, sgRNA Design and Cloning
3.4. Transfection and Irradiation
3.5. Viability Assessment Using FMCA
3.6. Analysis of Clonogenic Survival and Proliferation Rate
3.7. Western Blot Analysis
3.8. Analysis of SOD2 and Assessment of Total Superoxide Dismutase Activity
3.9. Statistical Analysis
4. Conclusions
Author Contributions
Funding
Institutional Review Board Statement
Informed Consent Statement
Data Availability Statement
Acknowledgments
Conflicts of Interest
References
- Gaschler, M.M.; Stockwell, B.R. Lipid Peroxidation in Cell Death. Biochem. Biophys. Res. Commun. 2017, 482, 419–425. [Google Scholar] [CrossRef] [PubMed]
- Wang, Y.; Branicky, R.; Noë, A.; Hekimi, S. Superoxide Dismutases: Dual Roles in Controlling ROS Damage and Regulating ROS Signaling. J. Cell Biol. 2018, 217, 1915–1928. [Google Scholar] [CrossRef] [PubMed]
- Fukai, T.; Ushio-Fukai, M. Superoxide Dismutases: Role in Redox Signaling, Vascular Function, and Diseases. Antioxid. Redox Signal. 2011, 15, 1583–1606. [Google Scholar] [CrossRef]
- Miao, L.; St. Clair, D.K. Regulation of Superoxide Dismutase Genes: Implications in Disease. Free. Radic. Biol. Med. 2009, 47, 344–356. [Google Scholar] [CrossRef]
- Kudryavtseva, A.V.; Krasnov, G.S.; Dmitriev, A.A.; Alekseev, B.Y.; Kardymon, O.L.; Sadritdinova, A.F.; Fedorova, M.S.; Pokrovsky, A.V.; Melnikova, N.V.; Kaprin, A.D.; et al. Mitochondrial Dysfunction and Oxidative Stress in Aging and Cancer. Oncotarget 2016, 7, 44879–44905. [Google Scholar] [CrossRef] [PubMed]
- Poprac, P.; Jomova, K.; Simunkova, M.; Kollar, V.; Rhodes, C.J.; Valko, M. Targeting Free Radicals in Oxidative Stress-Related Human Diseases. Trends Pharmacol. Sci. 2017, 38, 592–607. [Google Scholar] [CrossRef] [PubMed]
- Chen, Z.; Zhong, C. Oxidative Stress in Alzheimer’s Disease. Neurosci. Bull. 2014, 30, 271–281. [Google Scholar] [CrossRef]
- Dhapola, R.; Sarma, P.; Medhi, B.; Prakash, A.; Reddy, D.H. Recent Advances in Molecular Pathways and Therapeutic Implications Targeting Mitochondrial Dysfunction for Alzheimer’s Disease. Mol. Neurobiol. 2022, 59, 535–555. [Google Scholar] [CrossRef]
- Marczin, N.; El-Habashi, N.; Hoare, G.S.; Bundy, R.E.; Yacoub, M. Antioxidants in Myocardial Ischemia-Reperfusion Injury: Therapeutic Potential and Basic Mechanisms. Arch. Biochem. Biophys. 2003, 420, 222–236. [Google Scholar] [CrossRef]
- Tavleeva, M.M.; Belykh, E.S.; Rybak, A.V.; Rasova, E.E.; Chernykh, A.A.; Ismailov, Z.B.; Velegzhaninov, I.O. Effects of Antioxidant Gene Overexpression on Stress Resistance and Malignization In Vitro and In Vivo: A Review. Antioxidants 2022, 11, 2316. [Google Scholar] [CrossRef]
- Jensen, T.I.; Mikkelsen, N.S.; Gao, Z.; Foßelteder, J.; Pabst, G.; Axelgaard, E.; Laustsen, A.; König, S.; Reinisch, A.; Bak, R.O. Targeted Regulation of Transcription in Primary Cells Using CRISPRa and CRISPRi. Genome Res. 2021, 31, 2120–2130. [Google Scholar] [CrossRef] [PubMed]
- Velegzhaninov, I.O.; Ievlev, V.A.; Pylina, Y.I.; Shadrin, D.M.; Vakhrusheva, O.M. Programming of Cell Resistance to Genotoxic and Oxidative Stress. Biomedicines 2018, 6, 5. [Google Scholar] [CrossRef] [PubMed]
- Kampmann, M. CRISPRi and CRISPRa Screens in Mammalian Cells for Precision Biology and Medicine. ACS Chem. Biol. 2018, 13, 406–416. [Google Scholar] [CrossRef] [PubMed]
- Hosoki, A.; Yonekura, S.-I.; Zhao, Q.-L.; Wei, Z.-L.; Takasaki, I.; Tabuchi, Y.; Wang, L.-L.; Hasuike, S.; Nomura, T.; Tachibana, A.; et al. Mitochondria-Targeted Superoxide Dismutase (SOD2) Regulates Radiation Resistance and Radiation Stress Response in HeLa Cells. JRR 2012, 53, 58–71. [Google Scholar] [CrossRef]
- Noh, J.K.; Woo, S.R.; Yun, M.; Lee, M.K.; Kong, M.; Min, S.; Kim, S.I.; Lee, Y.C.; Eun, Y.-G.; Ko, S.-G. SOD2- and NRF2-Associated Gene Signature to Predict Radioresistance in Head and Neck Cancer. Cancer Genom. Proteom. 2021, 18, 675–684. [Google Scholar] [CrossRef] [PubMed]
- Amos, A.; Jiang, N.; Zong, D.; Gu, J.; Zhou, J.; Yin, L.; He, X.; Xu, Y.; Wu, L. Depletion of SOD2 Enhances Nasopharyngeal Carcinoma Cell Radiosensitivity via Ferroptosis Induction Modulated by DHODH Inhibition. BMC Cancer 2023, 23, 117. [Google Scholar] [CrossRef]
- Cramer-Morales, K.; Heer, C.D.; Mapuskar, K.A.; Domann, F.E. SOD2 Targeted Gene Editing by CRISPR/Cas9 Yields Human Cells Devoid of MnSOD. Free Radic. Biol. Med. 2015, 89, 379–386. [Google Scholar] [CrossRef]
- Williams, M.D.; Van Remmen, H.; Conrad, C.C.; Huang, T.T.; Epstein, C.J.; Richardson, A. Increased Oxidative Damage Is Correlated to Altered Mitochondrial Function in Heterozygous Manganese Superoxide Dismutase Knockout Mice. J. Biol. Chem. 1998, 273, 28510–28515. [Google Scholar] [CrossRef]
- Van Remmen, H.; Williams, M.D.; Guo, Z.; Estlack, L.; Yang, H.; Carlson, E.J.; Epstein, C.J.; Huang, T.T.; Richardson, A. Knockout Mice Heterozygous for Sod2 Show Alterations in Cardiac Mitochondrial Function and Apoptosis. Am. J. Physiol.-Heart Circ. Physiol. 2001, 281, H1422–H1432. [Google Scholar] [CrossRef]
- Sharma, S.; Bhattarai, S.; Ara, H.; Sun, G.; St Clair, D.K.; Bhuiyan, M.S.; Kevil, C.; Watts, M.N.; Dominic, P.; Shimizu, T.; et al. SOD2 Deficiency in Cardiomyocytes Defines Defective Mitochondrial Bioenergetics as a Cause of Lethal Dilated Cardiomyopathy. Redox Biol. 2020, 37, 101740. [Google Scholar] [CrossRef]
- Lee, S.; Van Remmen, H.; Csete, M. Sod2 Overexpression Preserves Myoblast Mitochondrial Mass and Function, but Not Muscle Mass with Aging: Sod2 and Myoblast Aging. Aging Cell 2009, 8, 296–310. [Google Scholar] [CrossRef] [PubMed]
- Cramer-Morales, K.L.; Heer, C.D.; Mapuskar, K.A.; Domann, F.E. Succinate Accumulation Links Mitochondrial MnSOD Depletion to Aberrant Nuclear DNA Methylation and Altered Cell Fate. J. Exp. Pathol. (Wilmington) 2020, 1, 60–70. [Google Scholar] [PubMed]
- Li, Y.; Huang, T.-T.; Carlson, E.J.; Melov, S.; Ursell, P.C.; Olson, J.L.; Noble, L.J.; Yoshimura, M.P.; Berger, C.; Chan, P.H.; et al. Dilated Cardiomyopathy and Neonatal Lethality in Mutant Mice Lacking Manganese Superoxide Dismutase. Nat. Genet. 1995, 11, 376–381. [Google Scholar] [CrossRef] [PubMed]
- Tsuchiya, H.; Shinonaga, R.; Sakaguchi, H.; Kitagawa, Y.; Yoshida, K.; Shiota, G. NEAT1 Confers Radioresistance to Hepatocellular Carcinoma Cells by Inducing PINK1/Parkin-Mediated Mitophagy. Int. J. Mol. Sci. 2022, 23, 14397. [Google Scholar] [CrossRef] [PubMed]
- Southgate, T.D.; Sheard, V.; Milsom, M.D.; Ward, T.H.; Mairs, R.J.; Boyd, M.; Fairbairn, L.J. Radioprotective Gene Therapy through Retroviral Expression of Manganese Superoxide Dismutase. J. Gene Med. 2006, 8, 557–565. [Google Scholar] [CrossRef] [PubMed]
- Guo, G.; Yan-Sanders, Y.; Lyn-Cook, B.D.; Wang, T.; Tamae, D.; Ogi, J.; Khaletskiy, A.; Li, Z.; Weydert, C.; Longmate, J.A.; et al. Manganese Superoxide Dismutase-Mediated Gene Expression in Radiation-Induced Adaptive Responses. Mol. Cell. Biol. 2003, 23, 2362–2378. [Google Scholar] [CrossRef]
- Veldwijk, M.R.; Herskind, C.; Sellner, L.; Radujkovic, A.; Laufs, S.; Fruehauf, S.; Zeller, W.J.; Wenz, F. Normal-Tissue Radioprotection by Overexpression of the Copper-Zinc and Manganese Superoxide Dismutase Genes. Strahlenther. Onkol. 2009, 185, 517–523. [Google Scholar] [CrossRef]
- Fisher, C.J.; Goswami, P.C. Mitochondria-Targeted Antioxidant Enzyme Activity Regulates Radioresistance in Human Pancreatic Cancer Cells. Cancer Biol. Ther. 2008, 7, 1271–1279. [Google Scholar] [CrossRef]
- Zhou, J.; Du, Y. Acquisition of Resistance of Pancreatic Cancer Cells to 2-Methoxyestradiol Is Associated with the Upregulation of Manganese Superoxide Dismutase. Mol. Cancer Res. 2012, 10, 768–777. [Google Scholar] [CrossRef]
- Epperly, M.W.; Bray, J.A.; Krager, S.; Berry, L.M.; Gooding, W.; Engelhardt, J.F.; Zwacka, R.; Travis, E.L.; Greenberger, J.S. Intratracheal Injection of Adenovirus Containing the Human MNSOD Transgene Protects Athymic Nude Mice from Irradiation-Induced Organizing Alveolitis. Int. J. Radiat. Oncol. *Biol. *Phys. 1999, 43, 169–181. [Google Scholar] [CrossRef]
- Kang, P.T.; Chen, C.-L.; Ohanyan, V.; Luther, D.J.; Meszaros, J.G.; Chilian, W.M.; Chen, Y.-R. Overexpressing Superoxide Dismutase 2 Induces a Supernormal Cardiac Function by Enhancing Redox-Dependent Mitochondrial Function and Metabolic Dilation. J. Mol. Cell. Cardiol. 2015, 88, 14–28. [Google Scholar] [CrossRef] [PubMed]
- Li, Q.; Zhang, W.; Xiao, E. SOD2 Overexpression in Bone Marrow-derived Mesenchymal Stem Cells Ameliorates Hepatic Ischemia/Reperfusion Injury. Mol. Med. Rep. 2021, 24, 671. [Google Scholar] [CrossRef] [PubMed]
- Veldwijk, M.R.; Herskind, C.; Laufs, S.; Zeller, W.J.; Fruehauf, S.; Wenz, F. Recombinant Adeno-Associated Virus 2-Mediated Transfer of the Human Superoxide-Dismutase Gene Does Not Confer Radioresistance on HeLa Cervical Carcinoma Cells. Radiother. Oncol. 2004, 72, 341–350. [Google Scholar] [CrossRef] [PubMed]
- Mockett, R.J.; Orr, W.C.; Rahmandar, J.J.; Benes, J.J.; Radyuk, S.N.; Klichko, V.I.; Sohal, R.S. Overexpression of Mn-Containing Superoxide Dismutase in Transgenic Drosophila Melanogaster. Arch. Biochem. Biophys. 1999, 371, 260–269. [Google Scholar] [CrossRef]
- Zuo, J.; Zhao, M.; Liu, B.; Han, X.; Li, Y.; Wang, W.; Zhang, Q.; Lv, P.; Xing, L.; Shen, H.; et al. TNF-α-mediated Upregulation of SOD-2 Contributes to Cell Proliferation and Cisplatin Resistance in Esophageal Squamous Cell Carcinoma. Oncol. Rep. 2019, 42, 1497–1506. [Google Scholar] [CrossRef] [PubMed]
- Yi, L.; Shen, H.; Zhao, M.; Shao, P.; Liu, C.; Cui, J.; Wang, J.; Wang, C.; Guo, N.; Kang, L.; et al. Inflammation-Mediated SOD-2 Upregulation Contributes to Epithelial-Mesenchymal Transition and Migration of Tumor Cells in Aflatoxin G1-Induced Lung Adenocarcinoma. Sci. Rep. 2017, 7, 7953. [Google Scholar] [CrossRef] [PubMed]
- Liu, Z.; Li, S.; Cai, Y.; Wang, A.; He, Q.; Zheng, C.; Zhao, T.; Ding, X.; Zhou, X. Manganese Superoxide Dismutase Induces Migration and Invasion of Tongue Squamous Cell Carcinoma via H2O2-Dependent Snail Signaling. Free Radic. Biol. Med. 2012, 53, 44–50. [Google Scholar] [CrossRef]
- Chang, B.; Yang, H.; Jiao, Y.; Wang, K.; Liu, Z.; Wu, P.; Li, S.; Wang, A. SOD2 Deregulation Enhances Migration, Invasion and Has Poor Prognosis in Salivary Adenoid Cystic Carcinoma. Sci. Rep. 2016, 6, 25918. [Google Scholar] [CrossRef]
- Hemachandra, L.P.M.P.; Shin, D.-H.; Dier, U.; Iuliano, J.N.; Engelberth, S.A.; Uusitalo, L.M.; Murphy, S.K.; Hempel, N. Mitochondrial Superoxide Dismutase Has a Protumorigenic Role in Ovarian Clear Cell Carcinoma. Cancer Res. 2015, 75, 4973–4984. [Google Scholar] [CrossRef]
- Kamarajugadda, S.; Cai, Q.; Chen, H.; Nayak, S.; Zhu, J.; He, M.; Jin, Y.; Zhang, Y.; Ai, L.; Martin, S.S.; et al. Manganese Superoxide Dismutase Promotes Anoikis Resistance and Tumor Metastasis. Cell Death Dis. 2013, 4, e504. [Google Scholar] [CrossRef]
- Li, F.; Wang, H.; Huang, C.; Lin, J.; Zhu, G.; Hu, R.; Feng, H. Hydrogen Peroxide Contributes to the Manganese Superoxide Dismutase Promotion of Migration and Invasion in Glioma Cells. Free Radic. Res. 2011, 45, 1154–1161. [Google Scholar] [CrossRef]
- Kattan, Z.; Minig, V.; Leroy, P.; Dauça, M.; Becuwe, P. Role of Manganese Superoxide Dismutase on Growth and Invasive Properties of Human Estrogen-Independent Breast Cancer Cells. Breast Cancer Res. Treat. 2008, 108, 203–215. [Google Scholar] [CrossRef]
- Zhang, Y.; Zhang, Y.; Wang, S.; Li, Q.; Cao, B.; Huang, B.; Wang, T.; Guo, R.; Liu, N. SP1-Induced lncRNA ZFPM2 Antisense RNA 1 (ZFPM2-AS1) Aggravates Glioma Progression via the miR-515-5p/Superoxide Dismutase 2 (SOD2) Axis. Bioengineered 2021, 12, 2299–2310. [Google Scholar] [CrossRef]
- Dai, J.; Zhang, S.; Sun, H.; Wu, Y.; Yan, M. LncRNA MAFG-AS1 Affects the Tumorigenesis of Breast Cancer Cells via the miR-574-5p/SOD2 Axis. Biochem. Biophys. Res. Commun. 2021, 560, 119–125. [Google Scholar] [CrossRef]
- Connor, K.M.; Hempel, N.; Nelson, K.K.; Dabiri, G.; Gamarra, A.; Belarmino, J.; Van De Water, L.; Mian, B.M.; Melendez, J.A. Manganese Superoxide Dismutase Enhances the Invasive and Migratory Activity of Tumor Cells. Cancer Res. 2007, 67, 10260–10267. [Google Scholar] [CrossRef]
- Nelson, K.K.; Ranganathan, A.C.; Mansouri, J.; Rodriguez, A.M.; Providence, K.M.; Rutter, J.L.; Pumiglia, K.; Bennett, J.A.; Melendez, J.A. Elevated Sod2 Activity Augments Matrix Metalloproteinase Expression: Evidence for the Involvement of Endogenous Hydrogen Peroxide in Regulating Metastasis. Clin. Cancer Res. 2003, 9, 424–432. [Google Scholar] [PubMed]
- Ashtekar, A.; Huk, D.; Magner, A.; La Perle, K.M.D.; Boucai, L.; Kirschner, L.S. Alterations in Sod2-Induced Oxidative Stress Affect Endocrine Cancer Progression. J. Clin. Endocrinol. Metab. 2018, 103, 4135–4145. [Google Scholar] [CrossRef] [PubMed]
- Fu, A.; Ma, S.; Wei, N.; Xuan Tan, B.X.; Tan, E.Y.; Luo, K.Q. High Expression of MnSOD Promotes Survival of Circulating Breast Cancer Cells and Increases Their Resistance to Doxorubicin. Oncotarget 2016, 7, 50239–50257. [Google Scholar] [CrossRef]
- Liu, J.; Hinkhouse, M.M.; Sun, W.; Weydert, C.J.; Ritchie, J.M.; Oberley, L.W.; Cullen, J.J. Redox Regulation of Pancreatic Cancer Cell Growth: Role of Glutathione Peroxidase in the Suppression of the Malignant Phenotype. Human Gene Ther. 2004, 15, 239–250. [Google Scholar] [CrossRef] [PubMed]
- Zhong, W.; Oberley, L.W.; Oberley, T.D.; Clair, D.K.S. Suppression of the Malignant Phenotype of Human Glioma Cells by Overexpression of Manganese Superoxide Dismutase. Oncogene 1997, 14, 481–490. [Google Scholar] [CrossRef] [PubMed]
- Weydert, C.; Roling, B.; Liu, J.; Hinkhouse, M.M.; Ritchie, J.M.; Oberley, L.W.; Cullen, J.J. Suppression of the Malignant Phenotype in Human Pancreatic Cancer Cells by the Overexpression of Manganese Superoxide Dismutase. Mol. Cancer Ther. 2003, 2, 361–369. [Google Scholar]
- Hu, Y.; Rosen, D.G.; Zhou, Y.; Feng, L.; Yang, G.; Liu, J.; Huang, P. Mitochondrial Manganese-Superoxide Dismutase Expression in Ovarian Cancer. J. Biol. Chem. 2005, 280, 39485–39492. [Google Scholar] [CrossRef]
- Son, Y.-O.; Pratheeshkumar, P.; Wang, L.; Wang, X.; Fan, J.; Kim, D.-H.; Lee, J.-Y.; Zhang, Z.; Lee, J.-C.; Shi, X. Reactive Oxygen Species Mediate Cr(VI)-Induced Carcinogenesis through PI3K/AKT-Dependent Activation of GSK-3β/β-Catenin Signaling. Toxicol. Appl. Pharmacol. 2013, 271, 239–248. [Google Scholar] [CrossRef] [PubMed]
- Zhang, Z.; Pratheeshkumar, P.; Budhraja, A.; Son, Y.-O.; Kim, D.; Shi, X. Role of Reactive Oxygen Species in Arsenic-Induced Transformation of Human Lung Bronchial Epithelial (BEAS-2B) Cells. Biochem. Biophys. Res. Commun. 2015, 456, 643–648. [Google Scholar] [CrossRef] [PubMed]
- Son, Y.-O.; Wang, L.; Poyil, P.; Budhraja, A.; Hitron, J.A.; Zhang, Z.; Lee, J.-C.; Shi, X. Cadmium Induces Carcinogenesis in BEAS-2B Cells through ROS-Dependent Activation of PI3K/AKT/GSK-3β/β-Catenin Signaling. Toxicol. Appl. Pharmacol. 2012, 264, 153–160. [Google Scholar] [CrossRef] [PubMed]
- Wang, X.; Son, Y.-O.; Chang, Q.; Sun, L.; Hitron, J.A.; Budhraja, A.; Zhang, Z.; Ke, Z.; Chen, F.; Luo, J.; et al. NADPH Oxidase Activation Is Required in Reactive Oxygen Species Generation and Cell Transformation Induced by Hexavalent Chromium. Toxicol. Sci. 2011, 123, 399–410. [Google Scholar] [CrossRef]
- St. Clair, D.K.; Steven Wan, X.; Oberley, T.D.; Muse, K.E.; St. Clair, W.H. Suppression of Radiation-Induced Neoplastic Transformation by Overexpression of Mitochondrial Superoxide Dismutase. Mol. Carcinog. 1992, 6, 238–242. [Google Scholar] [CrossRef] [PubMed]
- Zhao, Y.; Xue, Y.; Oberley, T.D.; Kiningham, K.K.; Lin, S.M.; Yen, H.C.; Majima, H.; Hines, J.; St Clair, D. Overexpression of Manganese Superoxide Dismutase Suppresses Tumor Formation by Modulation of Activator Protein-1 Signaling in a Multistage Skin Carcinogenesis Model. Cancer Res. 2001, 61, 6082–6088. [Google Scholar] [PubMed]
- Pratheeshkumar, P.; Son, Y.-O.; Divya, S.P.; Roy, R.V.; Hitron, J.A.; Wang, L.; Kim, D.; Dai, J.; Asha, P.; Zhang, Z.; et al. Luteolin Inhibits Cr(VI)-Induced Malignant Cell Transformation of Human Lung Epithelial Cells by Targeting ROS Mediated Multiple Cell Signaling Pathways. Toxicol. Appl. Pharmacol. 2014, 281, 230–241. [Google Scholar] [CrossRef]
- Wang, M.; Kirk, J.S.; Venkataraman, S.; Domann, F.E.; Zhang, H.J.; Schafer, F.Q.; Flanagan, S.W.; Weydert, C.J.; Spitz, D.R.; Buettner, G.R.; et al. Manganese Superoxide Dismutase Suppresses Hypoxic Induction of Hypoxia-Inducible Factor-1α and Vascular Endothelial Growth Factor. Oncogene 2005, 24, 8154–8166. [Google Scholar] [CrossRef]
- Konermann, S.; Brigham, M.D.; Trevino, A.E.; Joung, J.; Abudayyeh, O.O.; Barcena, C.; Hsu, P.D.; Habib, N.; Gootenberg, J.S.; Nishimasu, H.; et al. Genome-Scale Transcriptional Activation by an Engineered CRISPR-Cas9 Complex. Nature 2015, 517, 583–588. [Google Scholar] [CrossRef]
- SOD2 Superoxide Dismutase 2 [Homo Sapiens (Human)]—Gene—NCBI. Available online: https://www.ncbi.nlm.nih.gov/gene/6648 (accessed on 27 September 2023).
- Kim, Y.; Gupta Vallur, P.; Phaëton, R.; Mythreye, K.; Hempel, N. Insights into the Dichotomous Regulation of SOD2 in Cancer. Antioxidants 2017, 6, 86. [Google Scholar] [CrossRef] [PubMed]
- Sisakht, M.; Darabian, M.; Mahmoodzadeh, A.; Bazi, A.; Shafiee, S.M.; Mokarram, P.; Khoshdel, Z. The Role of Radiation Induced Oxidative Stress as a Regulator of Radio-Adaptive Responses. Int. J. Radiat. Biol. 2020, 96, 561–576. [Google Scholar] [CrossRef] [PubMed]
- Lyng, F.M.; Seymour, C.B.; Mothersill, C. Oxidative Stress in Cells Exposed to Low Levels of Ionizing Radiation. Biochem. Soc. Trans. 2001, 29, 350–353. [Google Scholar] [CrossRef] [PubMed]
- Porter, K.M.; Kang, B.-Y.; Adesina, S.E.; Murphy, T.C.; Hart, C.M.; Sutliff, R.L. Chronic Hypoxia Promotes Pulmonary Artery Endothelial Cell Proliferation through H2O2-Induced 5-Lipoxygenase. PLoS ONE 2014, 9, e98532. [Google Scholar] [CrossRef] [PubMed]
- Sigaud, S.; Evelson, P.; González-Flecha, B. H2O2-Induced Proliferation of Primary Alveolar Epithelial Cells Is Mediated by MAP Kinases. Antioxid. Redox Signal. 2005, 7, 6–13. [Google Scholar] [CrossRef]
- Wang, Q.; Shen, W.; Tao, G.-Q.; Sun, J.; Shi, L.-P. Study on the Proliferation of Human Gastric Cancer Cell AGS by Activation of EGFR in H2O2. Eur. Rev. Med. Pharmacol. Sci. 2017, 21, 1006–1012. [Google Scholar]
- Xu, Y.; Porntadavity, S.; St Clair, D.K. Transcriptional Regulation of the Human Manganese Superoxide Dismutase Gene: The Role of Specificity Protein 1 (Sp1) and Activating Protein-2 (AP-2). Biochem. J. 2002, 362, 401–412. [Google Scholar] [CrossRef]
- Kim, K.-H.; Rodriguez, A.M.; Carrico, P.M.; Melendez, J.A. Potential Mechanisms for the Inhibition of Tumor Cell Growth by Manganese Superoxide Dismutase. Antioxid. Redox Signal. 2001, 3, 361–373. [Google Scholar] [CrossRef]
- Hodge, D.R.; Peng, B.; Pompeia, C.; Thomas, S.B.; Cho, E.; Clausen, P.A.; Marquez, V.E.; Farrar, W.L. Epigenetic Silencing of Manganese Superoxide Dismutase (SOD-2) in KAS 6/1 Human Multiple Myeloma Cells Increases Cell Proliferation. Cancer Biol. Ther. 2005, 4, 585–592. [Google Scholar] [CrossRef]
- Wang, X.; Li, M.; Peng, L.; Tang, N. SOD2 Promotes the Expression of ABCC2 through lncRNA CLCA3p and Improves the Detoxification Capability of Liver Cells. Toxicol. Lett. 2020, 327, 9–18. [Google Scholar] [CrossRef]
- Mele, J.; Remmen, H.V.; Vijg, J.; Richardson, A. Characterization of Transgenic Mice that Overexpress both Copper Zinc Superoxide Dismutase and Catalase. Antioxid. Redox Signal. 2006, 8, 628–638. [Google Scholar] [CrossRef] [PubMed]
- Rezvani, H.R.; Mazurier, F.; Cario-André, M.; Pain, C.; Ged, C.; Taïeb, A.; de Verneuil, H. Protective Effects of Catalase Overexpression on UVB-Induced Apoptosis in Normal Human Keratinocytes. J. Biol. Chem. 2006, 281, 17999–18007. [Google Scholar] [CrossRef]
- Breuer, K.; Foroushani, A.K.; Laird, M.R.; Chen, C.; Sribnaia, A.; Lo, R.; Winsor, G.L.; Hancock, R.E.W.; Brinkman, F.S.L.; Lynn, D.J. InnateDB: Systems Biology of Innate Immunity and beyond—Recent Updates and Continuing Curation. Nucleic Acids Res. 2013, 41, D1228–D1233. [Google Scholar] [CrossRef] [PubMed]
- Stelzl, U.; Worm, U.; Lalowski, M.; Haenig, C.; Brembeck, F.H.; Goehler, H.; Stroedicke, M.; Zenkner, M.; Schoenherr, A.; Koeppen, S.; et al. A Human Protein-Protein Interaction Network: A Resource for Annotating the Proteome. Cell 2005, 122, 957–968. [Google Scholar] [CrossRef] [PubMed]
- Naora, H.; Takai, I.; Adachi, M.; Naora, H. Altered Cellular Responses by Varying Expression of a Ribosomal Protein Gene: Sequential Coordination of Enhancement and Suppression of Ribosomal Protein S3a Gene Expression Induces Apoptosis. J. Cell Biol. 1998, 141, 741–753. [Google Scholar] [CrossRef] [PubMed]
- Yang, X.; Zou, P.; Yao, J.; Yun, D.; Bao, H.; Du, R.; Long, J.; Chen, X. Proteomic Dissection of Cell Type-Specific H2AX-Interacting Protein Complex Associated with Hepatocellular Carcinoma. J. Proteome Res. 2010, 9, 1402–1415. [Google Scholar] [CrossRef]
- Tarrade, S.; Bhardwaj, T.; Flegal, M.; Bertrand, L.; Velegzhaninov, I.; Moskalev, A.; Klokov, D. Histone H2AX Is Involved in FoxO3a-Mediated Transcriptional Responses to Ionizing Radiation to Maintain Genome Stability. Int. J. Mol. Sci. 2015, 16, 29996–30014. [Google Scholar] [CrossRef]
- Wang, J.; Huo, K.; Ma, L.; Tang, L.; Li, D.; Huang, X.; Yuan, Y.; Li, C.; Wang, W.; Guan, W.; et al. Toward an Understanding of the Protein Interaction Network of the Human Liver. Mol. Syst. Biol. 2011, 7, 536. [Google Scholar] [CrossRef]
- Ewing, R.M.; Chu, P.; Elisma, F.; Li, H.; Taylor, P.; Climie, S.; McBroom-Cerajewski, L.; Robinson, M.D.; O’Connor, L.; Li, M.; et al. Large-Scale Mapping of Human Protein-Protein Interactions by Mass Spectrometry. Mol. Syst. Biol. 2007, 3, 89. [Google Scholar] [CrossRef]
- Havugimana, P.C.; Hart, G.T.; Nepusz, T.; Yang, H.; Turinsky, A.L.; Li, Z.; Wang, P.I.; Boutz, D.R.; Fong, V.; Phanse, S.; et al. A Census of Human Soluble Protein Complexes. Cell 2012, 150, 1068–1081. [Google Scholar] [CrossRef]
- Tsukumo, Y.; Tsukahara, S.; Furuno, A.; Iemura, S.; Natsume, T.; Tomida, A. TBL2 Is a Novel PERK-Binding Protein That Modulates Stress-Signaling and Cell Survival during Endoplasmic Reticulum Stress. PLoS ONE 2014, 9, e112761. [Google Scholar] [CrossRef]
- Menduti, G.; Vitaliti, A.; Capo, C.R.; Lettieri-Barbato, D.; Aquilano, K.; Malaspina, P.; Rossi, L. SSADH Variants Increase Susceptibility of U87 Cells to Mitochondrial Pro-Oxidant Insult. Int. J. Mol. Sci. 2020, 21, 4374. [Google Scholar] [CrossRef] [PubMed]
- Chen, H.; Li, L.; Hu, J.; Zhao, Z.; Ji, L.; Cheng, C.; Zhang, G.; Zhang, T.; Li, Y.; Chen, H.; et al. UBL4A Inhibits Autophagy-Mediated Proliferation and Metastasis of Pancreatic Ductal Adenocarcinoma via Targeting LAMP1. J. Exp. Clin. Cancer Res. 2019, 38, 297. [Google Scholar] [CrossRef] [PubMed]
- Touma, C.; Kariawasam, R.; Gimenez, A.X.; Bernardo, R.E.; Ashton, N.W.; Adams, M.N.; Paquet, N.; Croll, T.I.; O’Byrne, K.J.; Richard, D.J.; et al. A Structural Analysis of DNA Binding by hSSB1 (NABP2/OBFC2B) in Solution. Nucleic Acids Res. 2016, 44, 7963–7973. [Google Scholar] [CrossRef] [PubMed]
- Livak, K.J.; Schmittgen, T.D. Analysis of Relative Gene Expression Data Using Real-Time Quantitative PCR and the 2(-Delta Delta C(T)) Method. Methods 2001, 25, 402–408. [Google Scholar] [CrossRef] [PubMed]
- Ye, J.; Coulouris, G.; Zaretskaya, I.; Cutcutache, I.; Rozen, S.; Madden, T.L. Primer-BLAST: A Tool to Design Target-Specific Primers for Polymerase Chain Reaction. BMC Bioinform. 2012, 13, 134. [Google Scholar] [CrossRef]
- Cheng, K.-C.; Huang, H.-C.; Chen, J.-H.; Hsu, J.-W.; Cheng, H.-C.; Ou, C.-H.; Yang, W.-B.; Chen, S.-T.; Wong, C.-H.; Juan, H.-F. Ganoderma Lucidum Polysaccharides in Human Monocytic Leukemia Cells: From Gene Expression to Network Construction. BMC Genom. 2007, 8, 411. [Google Scholar] [CrossRef] [PubMed]
- Ding, K.-K.; Shang, Z.-F.; Hao, C.; Xu, Q.-Z.; Shen, J.-J.; Yang, C.-J.; Xie, Y.-H.; Qiao, C.; Wang, Y.; Xu, L.-L.; et al. Induced Expression of the IER5 Gene by γ-ray Irradiation and Its Involvement in Cell Cycle Checkpoint Control and Survival. Radiat. Environ. Biophys. 2009, 48, 205–213. [Google Scholar] [CrossRef]
- Weltner, J.; Balboa, D.; Katayama, S.; Bespalov, M.; Krjutškov, K.; Jouhilahti, E.-M.; Trokovic, R.; Kere, J.; Otonkoski, T. Human Pluripotent Reprogramming with CRISPR Activators. Nat. Commun. 2018, 9, 2643. [Google Scholar] [CrossRef]
- Velegzhaninov, I.O.; Belykh, E.S.; Rasova, E.E.; Pylina, Y.I.; Shadrin, D.M.; Klokov, D.Y. Radioresistance, DNA Damage and DNA Repair in Cells with Moderate Overexpression of RPA1. Front. Genet. 2020, 11, 855. [Google Scholar] [CrossRef] [PubMed]
- Park, J.; Bae, S.; Kim, J.-S. Cas-Designer: A Web-Based Tool for Choice of CRISPR-Cas9 Target Sites. Bioinformatics 2015, 31, 4014–4016. [Google Scholar] [CrossRef] [PubMed]
- Bae, S.; Park, J.; Kim, J.-S. Cas-OFFinder: A Fast and Versatile Algorithm that Searches for Potential off-Target Sites of Cas9 RNA-Guided Endonucleases. Bioinformatics 2014, 30, 1473–1475. [Google Scholar] [CrossRef]
- Fujita, T.; Yuno, M.; Fujii, H. Allele-Specific Locus Binding and Genome Editing by CRISPR at the p16INK4a Locus. Sci. Rep. 2016, 6, 30485. [Google Scholar] [CrossRef] [PubMed]
- Lindhagen, E.; Nygren, P.; Larsson, R. The Fluorometric Microculture Cytotoxicity Assay. Nat. Protoc. 2008, 3, 1364–1369. [Google Scholar] [CrossRef]
- Puck, T.T.; Marcus, P.I. Action of X-rays on mammalian cells. J. Exp. Med. 1956, 103, 653–666. [Google Scholar] [CrossRef] [PubMed]
- Rafehi, H.; Orlowski, C.; Georgiadis, G.T.; Ververis, K.; El-Osta, A.; Karagiannis, T.C. Clonogenic Assay: Adherent Cells. J. Vis. Exp. 2011, 49, 2573. [Google Scholar] [CrossRef]
- Schneider, C.A.; Rasband, W.S.; Eliceiri, K.W. NIH Image to ImageJ: 25 Years of Image Analysis. Nat. Methods 2012, 9, 671–675. [Google Scholar] [CrossRef]
- Beyer, W.F.; Fridovich, I. Assaying for Superoxide Dismutase Activity: Some Large Consequences of Minor Changes in Conditions. Anal. Biochem. 1987, 161, 559–566. [Google Scholar] [CrossRef] [PubMed]
- Zahir, S.; Zhang, F.; Chen, J.; Zhu, S. Determination of Oxidative Stress and Antioxidant Enzyme Activity for Physiological Phenotyping During Heavy Metal Exposure. In Environmental Toxicology and Toxicogenomics: Principles, Methods, and Applications; Pan, X., Zhang, B., Eds.; Methods in Molecular Biology; Springer: New York, NY, USA, 2021; pp. 241–249. ISBN 978-1-07-161514-0. [Google Scholar]
- Bradford, M.M. A Rapid and Sensitive Method for the Quantitation of Microgram Quantities of Protein Utilizing the Principle of Protein-Dye Binding. Anal. Biochem. 1976, 72, 248–254. [Google Scholar] [CrossRef]
- R: The R Project for Statistical Computing. Available online: https://www.r-project.org/ (accessed on 26 September 2023).





| Name | Forward Primer (5′-3′) | Reverse Primer (5′-3′) | Detectable Transcripts | Amplicon Length |
|---|---|---|---|---|
| altv | TCCGGTTTTGGGGTATCTGG | CGGTGACGTTCAGGTTGTTC | 1–9 | 155 |
| tv1234 | ACTAGCAGCATGTTGAGCCG | TGAAACCAAGCCAACCCCAA | 1, 2, 3, 4 | 349/466 |
| tv125 | CAGCACTAGCAGCATGTTGAGC | CAGTGCAGGCTGAAGAGCTATC | 1, 2, 5 | 277 |
| tv12789 | CAGCCCTAACGGTGGTGGA | TTGTAAGTGTCCCCGTTCCTT | 1, 2, 7, 8, 9 | 166 |
| tv451 | CACTAGCAGCATGTTGAGCC | TGACTAAGCAACATCAAGAAATGC | 1, 4, 5 | 679 |
| tv6 | GCACTAGCAGCATGTTGAGC | CAGCCTGGAACCTACCCTTG | 6 | 252 |
| tv8 | CACAGGAGAGTCGCCTTTCAG | GATCTGCGCGTTGATGTGAG | 8 | 186 |
| tv9 | GCGGGCGTTTACTCTTAGCA | TCGGTGACGTTCAGGTTGTT | 9 | 205 |
| tv7_v1 | AAAACTGTTGACGGACCTGGA | CTTTTCCCCTTCCCCTTGCTT | 7 | 239 * |
| tv7_v2 | AGGAGCATGTAACAAGTGGGG | GCCACCTCCGAAAAATTCCC | 7 | 377 * |
| tv7_v3 | ATGGGTCCTTTTGCTCTCGG | AAGTGGCCACCTCCGAAAAA | 7 | 585 * |
| tv7_v4 | CTTATGAGGGGCCACCGTTA | GGCCACCTCCGAAAAATTCC | 7 | 267 * |
| CAT | TTCTGTTGAAGATGCGGCGA | TTCCTGTGGCAATGGCGTTA | - | 83 |
| Gene | #sgRNA | sgRNA Sequence 5′-3′ | Position Relative to TSS |
|---|---|---|---|
| SOD2 (transcript variants 1–6/protein isoforms A–D) | 1 | CGCAGGGCACCCCCGGGGTT | 129 |
| 2 | TGCCGTACACCCCGCGCCCA | 172 | |
| 3 | CCACTCAAGTACGGCAGAC | 248 | |
| CAT | 1 | CAGAAGGCAGTCCTCCCGAG | 80 |
| 2 | GCGCTAGGCAGGCCAAGAT | 111 | |
| 3 | TCCGGTCTTCAGGCCTCCTT | 165 | |
| 4 | GCGAGGCTCTCCAATTGCT | 227 |
Disclaimer/Publisher’s Note: The statements, opinions and data contained in all publications are solely those of the individual author(s) and contributor(s) and not of MDPI and/or the editor(s). MDPI and/or the editor(s) disclaim responsibility for any injury to people or property resulting from any ideas, methods, instructions or products referred to in the content. |
© 2023 by the authors. Licensee MDPI, Basel, Switzerland. This article is an open access article distributed under the terms and conditions of the Creative Commons Attribution (CC BY) license (https://creativecommons.org/licenses/by/4.0/).
Share and Cite
Tavleeva, M.M.; Rasova, E.E.; Rybak, A.V.; Belykh, E.S.; Fefilova, E.A.; Pnachina, E.M.; Velegzhaninov, I.O. Dose-Dependent Effect of Mitochondrial Superoxide Dismutase Gene Overexpression on Radioresistance of HEK293T Cells. Int. J. Mol. Sci. 2023, 24, 17315. https://doi.org/10.3390/ijms242417315
Tavleeva MM, Rasova EE, Rybak AV, Belykh ES, Fefilova EA, Pnachina EM, Velegzhaninov IO. Dose-Dependent Effect of Mitochondrial Superoxide Dismutase Gene Overexpression on Radioresistance of HEK293T Cells. International Journal of Molecular Sciences. 2023; 24(24):17315. https://doi.org/10.3390/ijms242417315
Chicago/Turabian StyleTavleeva, Marina M., Elena E. Rasova, Anna V. Rybak, Elena S. Belykh, Elizaveta A. Fefilova, Elizaveta M. Pnachina, and Ilya O. Velegzhaninov. 2023. "Dose-Dependent Effect of Mitochondrial Superoxide Dismutase Gene Overexpression on Radioresistance of HEK293T Cells" International Journal of Molecular Sciences 24, no. 24: 17315. https://doi.org/10.3390/ijms242417315
APA StyleTavleeva, M. M., Rasova, E. E., Rybak, A. V., Belykh, E. S., Fefilova, E. A., Pnachina, E. M., & Velegzhaninov, I. O. (2023). Dose-Dependent Effect of Mitochondrial Superoxide Dismutase Gene Overexpression on Radioresistance of HEK293T Cells. International Journal of Molecular Sciences, 24(24), 17315. https://doi.org/10.3390/ijms242417315

