Exogenous Serotonin (5-HT) Promotes Mesocotyl and Coleoptile Elongation in Maize Seedlings under Deep-Seeding Stress through Enhancing Auxin Accumulation and Inhibiting Lignin Formation
Abstract
:1. Introduction
2. Results
2.1. Maize Seedling Phenotypes Treated with or without 5-HT under Deep-Seeding Stress
2.2. Effect of Exogenous 5-HT on Maize Mesocotyl and Coleoptile Growth under Deep-Seeding Stress
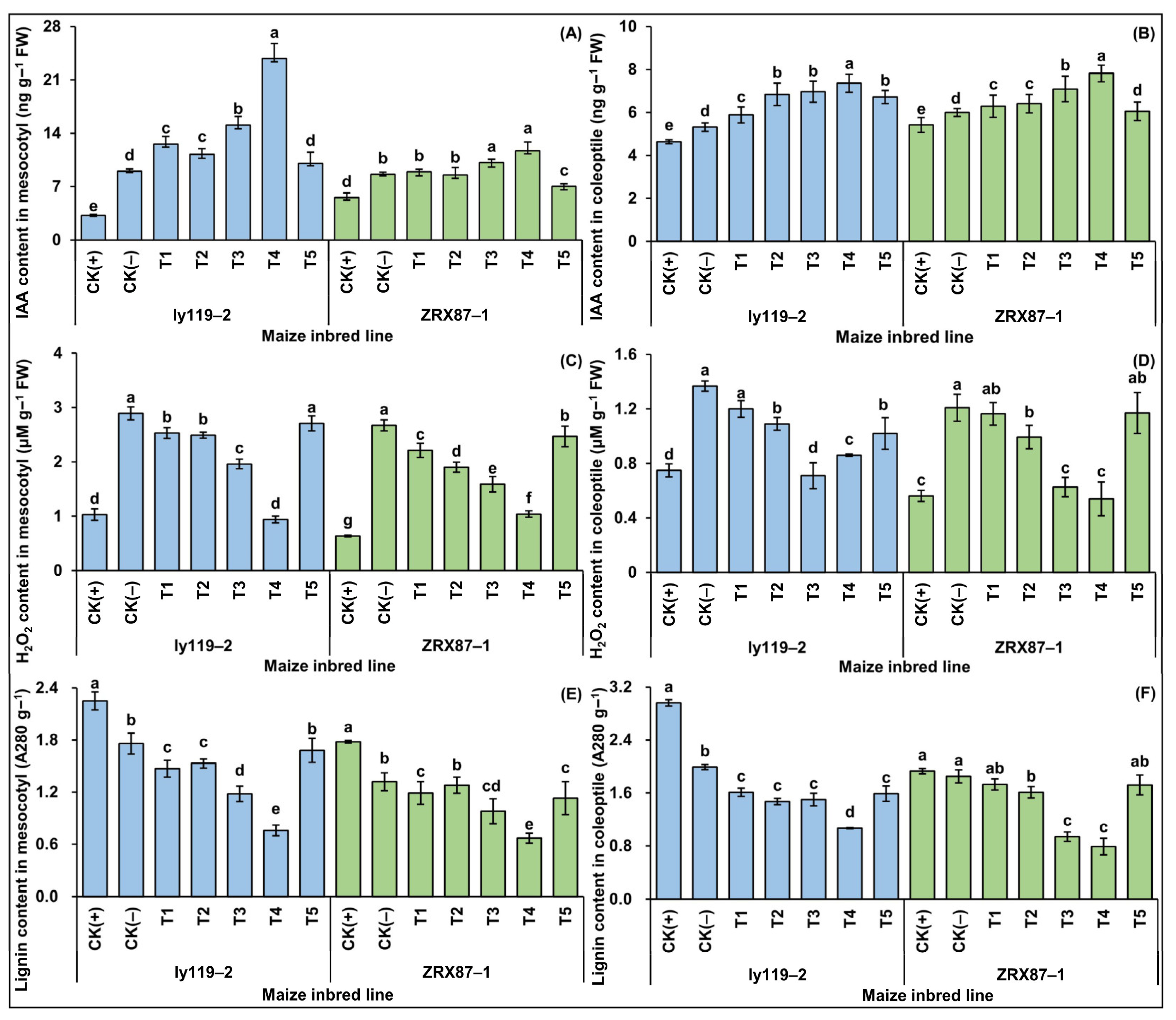
2.3. Stimulative Effects of Exogenous 5-HT and Deep-Seeding Stress on Physiological Responses of Maize Mesocotyl and Coleoptile
2.4. Relationships among All Traits under Deep-Seeding Stress
2.5. Comprehensive Mitigation Effect of 5-HT under Deep-Seeding Stress
2.6. Impact of 5-HT on the Expression Levels of Candidate Genes
3. Discussion
3.1. Domestication and Breeding Potential of the Mesocotyl and Coleoptile
3.2. Response Mechanisms of the Mesocotyl and Coleoptile Elongation
3.3. Mechanisms of Exogenous 5-HT Promoted Mesocotyl and Coleoptile Elongation
4. Materials and Methods
4.1. Maize Materials and Experimental Design
4.2. Phenotypic and Physiological Assays
4.3. Mitigation Effect Index (MEI) Value and Comprehensive Evaluation Analysis
4.4. Statistical Analysis
4.5. Total RNA Extraction and Quantitative Real-Time PCR (qRT-PCR) Analysis
Supplementary Materials
Author Contributions
Funding
Data Availability Statement
Acknowledgments
Conflicts of Interest
Abbreviations
| 5-HT | Serotonin |
| ABA | abscisic acid |
| APX | Ascorbate peroxidase |
| BR | Brassinosteroid |
| CAT | Catalase |
| CK(+) | 3 cm seeding depth + 0 mg/L 5-HT application |
| CK(-) | 20 cm seeding depth + 0 mg/L 5-HT application |
| CTK | Cytokinin |
| ddH2O | Double-distilled water |
| ET | Ethylene |
| GA3 | Gibberellin A3 |
| GWAS | Genome-wide association analysis |
| H2O2 | Hydrogen peroxide |
| IAA | Indole-3-acetic acid |
| MEI | Mitigation effect index |
| MT | Melatonin |
| PAO | Polyamine oxidase |
| PAL | Phenylalanine ammonia-lyase |
| PCA | Principal component analysis |
| POD | Peroxidase |
| qRT-PCR | Quantitative real-time PCR |
| QTL | Quantitative trait locus |
| ROS | Reactive oxygen species |
| SA | Salicylic acid |
| SL | Strigolactone |
| SNP | Single nucleotide polymorphism |
| SOD | Superoxide dismutase |
| T1 | 20 cm seeding depth + 1.0 mg/L 5-HT application |
| T2 | 20 cm seeding depth + 1.5 mg/L 5-HT application |
| T3 | 20 cm seeding depth + 2.0 mg/L 5-HT application |
| T4 | 20 cm seeding depth + 2.5 mg/L 5-HT application |
| T5 | 20 cm seeding depth + 3.0 mg/L 5-HT application |
| TIBA | Triiodobenzoic acid |
| ZT | Zeatin |
References
- Zhao, X.Q.; Zhong, Y.; Zhou, W.Q. Molecular mechanisms of mesocotyl elongation induced by brassinosteroid in maize under deep-seeding stress by RNA-sequencing, microstructure observation, and physiological metabolism. Genomics 2021, 113, 3565–3581. [Google Scholar] [CrossRef] [PubMed]
- Liu, H.J.; Zhang, L.; Wang, J.C.; Li, C.S.; Zeng, X.; Xie, S.P.; Zhang, Y.Z.; Liu, S.S.; Hu, S.L.; Wang, J.H.; et al. Quantitative trait locus analysis for deep-sowing germination ability in the maize IBM Syn10 DH population. Front. Plant Sci. 2017, 8, 813. [Google Scholar] [CrossRef] [PubMed]
- Chen, L.P.; Li, Q.H.; Wang, M.; Xiao, F.; Li, K.S.; Yang, R.; Sun, M.; Zhang, H.Y.; Guo, J.J.; Chen, J.T.; et al. ZmCOP1 regulates maize mesocotyl length and plant height throught the phytohormone pathways. Life 2023, 13, 1522. [Google Scholar] [CrossRef] [PubMed]
- Muhammad-Asad, N.; Zhang, N.Y.; Irsa, E.; Sadam, H.; Muhammad-Ahsan, A.; Muhammad, F.; Qian, R.; Abd, U.; Chen, X.L.; Ren, X.D. Physiological mechanisms of grain yield loss under combined drought and shading stress at the post-silking stage in maize. J. Soil Sci. Plant Nut. 2023, 23, 1125–1137. [Google Scholar]
- Zhao, X.Q.; Niu, Y.N. The combination of conventional QTL analysis, bulked-segregant analysis, and RNA-sequencing provide new genetic insights into maize mesocotyl elongation under multiple deep-seeding environments. Int. J. Mol. Sci. 2022, 23, 4223. [Google Scholar] [CrossRef] [PubMed]
- Yang, Y.; Ma, Y.T.; Liu, Y.Y.; Lyle, D.; Li, D.D.; Wang, P.X.; Xu, J.L.; Zhen, S.H.; Lu, J.W.; Peng, Y.L.; et al. Dissecting the genetic basis of maize deep-sowing tolerance by combining association mapping and gene expression analysis. J. Integr. Agr. 2022, 21, 1266–1277. [Google Scholar] [CrossRef]
- Ulrich, K.; Rajnish, K. Auxin action in developing maize coleoptiles: Changenges and open questions. Plant Signal. Behav. 2020, 15, 1762327. [Google Scholar]
- Troyer, A.F. The location of genes governing long first internode of corn. Genetics 1997, 145, 1149–1154. [Google Scholar] [CrossRef]
- Shi, D.Y.; Zheng, X.; Lin, W.H.; Xie, W.J.; Yang, J.P.; Chen, S.J.; Jin, W.W. Chlorophyll deficiency in the maize elongated mesocotyl2 mutant is caused by a defective hemeoxygenase and delaying grana stacking. PLoS ONE 2013, 8, e80107. [Google Scholar] [CrossRef]
- Rebetzke, G.J.; Ellis, M.H.; Bonnett, D.G.; Richards, R.A. Molecular mapping of genes for coleoptile growth in bread wheat (Triticumaestivum L.). Theor. Appl. Genet. 2007, 114, 1173–1183. [Google Scholar] [CrossRef]
- Blackburn, A.; Sidhu, G.; Schillinger, W.F.; Skinner, D.; Gill, K. QTL mapping using GBS and SSR genotyping reveals genomic regions controlling wheat coleoptile length and seedling emergence. Euphytica 2021, 217, 45. [Google Scholar] [CrossRef]
- Singh, K.; Shukla, S.; Kadam, S.; Semwal, V.K.; Singh, N.K.; Khanna-Chopra, R. Genomic regions and underlying candidate genes associated with coleoptile length under deep-sowing conditions in a wheat RIL population. J. Plant Biochem. Biotechnol. 2015, 24, 324–330. [Google Scholar] [CrossRef]
- Paynter, B.H.; Clarke, G.P.Y. Coleoptile length of barely (Hordeumvulgare L.) cultivars. Genet. Resour. Crop Evol. 2010, 57, 395–403. [Google Scholar] [CrossRef]
- Takahashi, H.; Sato, K.; Takeda, K. Maping genes for deep-seeding tolerance in barely. Euphytica 2001, 122, 37–43. [Google Scholar] [CrossRef]
- Zhan, J.H.; Lu, X.; Liu, H.Y.; Zhao, Q.Z.; Ye, G.Y. Mesocotyl elongation, an essential trait for dry-seeded rice (Oryza sativa L.): A review of physiological and genetic basis. Planta 2020, 251, 27. [Google Scholar] [CrossRef] [PubMed]
- Lee, H.S.; Sasaki, K.; Kang, J.W.; Sato, T.; Song, W.Y.; Ahn, S.N. Mesocotyl elongation is essential for seedling emergence under deep-seeding condition in rice. Rice 2017, 10, 32. [Google Scholar] [CrossRef]
- Dubois, P.G.; Olsefski, G.T.; Flint-Garcia, S.; Setter, T.L.; Hoekenga, O.A.; Brutnell, T.P. Physiological and genetic characterization of end-of-day far-red light response in maize seedlings. Plant Physiol. 2010, 154, 173–186. [Google Scholar] [CrossRef]
- Zhang, T.Z.; Li, Y.S.; Li, Y.; Yao, H.M.; Zhao, J.; Wang, C.; Zhao, Y.; Wang, H.N.; Fang, Y.F.; Hu, J. Physiological mechanism regulating light–induced mesocotyl elongation by polyamine oxidase (PAO) in maize. Acta Agron. Sin. 2016, 42, 734–742. [Google Scholar] [CrossRef]
- Maria, L.; Giuseppina, R.; Rodolfo, F.; Paraskevi, T.; Riccardo, A. De-etiolation causes a phytochrome-mediated increase of polyamine oxidase expression in outer tissues of the maize mesocotyl: A role in the photomodulation of growth and cell wall differentiation. Planta 1999, 208, 146–154. [Google Scholar]
- Schopfer, P.; Lapierre, C.; Nolte, T. Light-controlled growth of the maize seedling mesocotyl: Mechanical cell-wall changes in the elongation zone and related changes in lignification. Physiol. Plant 2001, 111, 83. [Google Scholar] [CrossRef]
- Zhou, D.B. Plant hormones and layout of cytoskeleton. Plant Physiol. Commun. 2005, 41, 224–228. [Google Scholar]
- Pan, B.R.; Zhong, T.L.; Zhao, G.W. Promoting deep-sowing germinability of corn (Zea mays) by seed soaking with gibberellic acid. Arch. Agron. Soil Sci. 2017, 63, 1314–1323. [Google Scholar] [CrossRef]
- Kato, F.; Araki, M.; Miyazawa, Y.; Fujii, N.; Takeda, K.; Suge, H.; Takahashi, H. Factors responsible for deep-sowing tolerance in wheat seedling: Varietal differences in cell proliferation and the coordinated synchronization of epidermal cell expansion and cortical cell division for the gibberellin-mediated elongation of first internodes. Ann. Bot. 2011, 108, 439–447. [Google Scholar] [PubMed]
- Niu, L.J.; Wu, Z.K.; Liu, H.; Wu, X.L.; Wang, W. 2-DE-based proteomic analysis of protein changes associated with etiolated mesocotyl growth in Zea mays. BMC Genom. 2019, 20, 758. [Google Scholar] [CrossRef] [PubMed]
- Pouramir-Dashtmian, F.; Khajeh-Hosseini, M.; Esfahani, M. Improving chilling tolerance of rice seedling by seed priming with salicylic acid. Arch. Agron. Soil Sci. 2014, 60, 1291–1302. [Google Scholar] [CrossRef]
- Yin, C.C.; Ma, B.; Collinge, D.P.; Pogson, B.J.; He, S.J.; Xiong, Q.; Duan, K.X.; Chen, H.; Yang, C.; Lu, X.; et al. Ethylene responses in rice roots and coleoptiles are differentially regulated by a carotenoid isomerase-mediated abscisic acid pathway. Plant Cell 2015, 27, 1061–1081. [Google Scholar] [CrossRef] [PubMed]
- Feng, F.J.; Mei, H.W.; Fan, P.Q.; Li, Y.N.; Xu, X.Y.; Wei, H.B.; Yan, M.; Luo, L.J. Dynamic transcriptome and phytohormone profiling along the time of light exposure in the mesocotyl of rice seedling. Sci. Rep. 2017, 7, 11961. [Google Scholar] [CrossRef] [PubMed]
- Hu, Z.Y.; Yamauchi, T.; Yang, J.H.; Jikumaru, Y.; Tsuchida-Mayama, T.; Ichikawa, H.; Takamure, I.; Nagamura, Y.; Tsuchida-Mayama, T.; Yamaguchi, S.; et al. Strigolactone and cytokinin act antagonistically in regulating rice mesocotyl elongation in darkness. Plant Cell Physiol. 2014, 55, 30–41. [Google Scholar] [CrossRef]
- Lipchinsky, A.; Sharova, E.L.; Medvedev, S.S. Elastic properties of the growth controlling outer cell walls of maize coleoptile epidermis. Acta Physiol. Plant 2013, 35, 2183–2191. [Google Scholar] [CrossRef]
- Hu, S.; Sanchez, D.L.; Wang, C.; Lipka, A.E.; Yin, Y.; Gardner, C.A.C.; Lübberstedt, T. Brassinosteroid and gibberellin control of seedling traits in maize (Zea mays L.). Plant Sci. 2017, 263, 132–141. [Google Scholar] [CrossRef]
- Erb, M.; Veyrat, N.; Robert, C.A.M.; Xu, H.; Frey, M.; Ton, J.; Turlings, T.C.J. Indole is an essential herbivore–induced volatile priming signal in maize. Nat. Commun. 2015, 6, 6273. [Google Scholar] [CrossRef] [PubMed]
- Zhao, G.W.; Wang, J.H. Effect of auxin on mesocotyl elongation of dark-grown maize under different seeding depths. Russ. J. Plant Physiol. 2010, 57, 79–86. [Google Scholar] [CrossRef]
- Kutschera, U.; Wang, Z.Y. Growth-limiting proteins in maize coleoptiles and the auxin-brassinosteroid hypothesis of mesocotyl elongation. Protoplasma 2016, 253, 3–14. [Google Scholar] [CrossRef] [PubMed]
- Peleg, Z.; Blumwald, E. Hormone balance and abiotic stress tolerance in crop plants. Curr. Opin. Plant Biol. 2011, 14, 290–295. [Google Scholar] [CrossRef] [PubMed]
- Iven, T.R.; König, S.; Singh, S.; Braus-Stromeyer, S.A.; Bischoff, M.; Tietze, L.F.; Braus, G.H.; Lipka, V.; Feussner, I.; Dröge-Laser, W. Transcriptional activation and production of tryptophan-derived secondary metabolites in Arabidopsis roots contributes to the defense against the fungal vascular pathogen verticillium longisporum. Mol. Plant 2012, 5, 1389–1402. [Google Scholar] [CrossRef]
- Dubouzet, J.G.; Matsuda, F.; Ishihara, A.; Miyagawa, H.; Wakasa, K. Production of indole alkaloids by metabolic engineering of the tryptophan pathway in rice. Plant Biotechnol. J. 2013, 11, 1103–1111. [Google Scholar] [CrossRef] [PubMed]
- Tian, S.S.; Li, J.Q.; Zou, X.L.; Zhang, X.K.; Fu, G.P.; Lv, Y.; Zeng, L.; Yan, L.; Liu, Y.; Zhong, Y.; et al. Effect of exogenous 5-hydroxytryptamine on rape (Brassica napus L.) seedling under drought stress. Chin. J. Oil Crop Sci. 2019, 41, 192–198. [Google Scholar]
- Erland, L.A.E.; Shukla, M.R.; Singh, A.S.; Murch, S.J.; Saxena, P.K. Melatonin and serotonin: Mediators in the symphony of plant morphogenesis. J. Pineal Res. 2018, 64, 1. [Google Scholar] [CrossRef]
- Zhao, X.Q.; Peng, Y.L.; Fang, P.; Wu, B.Y.; Yan, H.P. Mitigation effect analysis of different exogenous regulatory substances on maize under low-temperature stress. Agric. Res. Arid Areas 2018, 36, 184–193. [Google Scholar]
- Cofer, T.M.; Engelberth, M.; Engelberth, J. Green leaf volatiles protect maize (Zea mays) seedlings against damage from cold stress. Plant Cell Environ. 2018, 41, 1673–1682. [Google Scholar] [CrossRef]
- Zhao, X.Q.; Niu, Y.N.; Hossain, Z.; Zhao, B.Y.; Bai, X.D.; Mao, T.T. New insights into light spectral quality inhibits the plasticity elongation of maize mesocotyl and coleoptile during seed germination. Front. Plant Sci. 2023, 14, 1152399. [Google Scholar] [CrossRef]
- Deng, Z.P.; Wang, Z.Y.; Kutschera, U. Seedling development in maize cv. B73 and blue light-mediated proteomic changes in the tip vs. stem of the coleoptile. Protoplasma 2017, 254, 1317–1322. [Google Scholar] [CrossRef]
- Hao, Y.H.; Zeng, Z.X.; Zhang, X.L.; Xie, D.X.; Li, X.; Ma, L.B.; Liu, M.Q.; Liu, H.T. Green means go: Green light promotes hypocotyl elongation via brassinosteroid signaling. Plant Cell 2023, 5, 1304–1317. [Google Scholar] [CrossRef]
- Mahender, A.; Anandan, A.; Pradhan, S.K. Early seedling vigor, an imperative trait for direct-seeded rice: An overview on physio-morphological parameters and molecular markers. Planta 2015, 241, 1027–1050. [Google Scholar] [CrossRef] [PubMed]
- Wang, X.X.; Han, L.J.; Yin, H.M.; Zhao, Z.P.; Cao, H.S.; Shang, Z.L.; Kang, E.F. AtANN1 and AtANN2 are involved in phototropism of etiolated hypocotyls of Arabidopsis by regulating auxin distribution. AoB Plant 2022, 14, plab075. [Google Scholar] [CrossRef] [PubMed]
- Markelz, N.H.; Costich, D.E.; Brutnell, T.P. Photomorphogenic responses in maize seedling development. Plant Physiol. 2003, 133, 1578–1591. [Google Scholar] [CrossRef]
- Huang, Q.; Ju, C.Y.; Cheng, Y.B.; Cui, D.; Han, B.; Zhao, Z.W.; Ma, X.D.; Han, L.Z. QTL mapping of mesocotyl elongation and confirmation of a QTL in Dongxiang Common wild rice in China. Agronomy 2022, 12, 1800. [Google Scholar] [CrossRef]
- Maloof, J.N.; Borevitz, J.O.; Dabi, T.; Lutes, J.; Nehring, R.B.; Redfern, J.L.; Trainer, G.T.; Wilson, J.M.; Asami, T.; Berry, C.C.; et al. Natural variation in light sensitivity of Arabidopsis. Nat. Genet. 2001, 29, 441–446. [Google Scholar] [CrossRef] [PubMed]
- Zhao, X.Q.; Niu, Y.N.; Hossain, Z.; Shi, J.; Mao, T.T.; Bai, X.D. Integrated QTL mapping, meta-analysis, and RNA-sequencing reveal candidate genes for maize deep-sowing tolerance. Int. J. Mol. Sci. 2023, 24, 6770. [Google Scholar] [CrossRef]
- Zhang, H.W.; Ma, P.; Zhao, Z.N.; Zhao, G.W.; Tian, B.H.; Wang, J.H.; Wang, G.Y. Mapping QTL controlling maize deep-seeding tolerance-related traits and confirmation of major QTL for mesocotyl length. Theor. Appl. Genet. 2012, 124, 223–232. [Google Scholar] [CrossRef]
- Tsiantis, M. A transposon in tb1 drove maize domestication. Nat. Genet. 2011, 43, 1048–1050. [Google Scholar] [CrossRef] [PubMed]
- Liu, Y.R.; Zhou, Y.Y.; Huang, G.M.; Zhu, N.N.; Li, Z.H.; Zhang, M.C.; Duan, L.S. Coronatine inhibits mesocotyl elongation by promoting ethylene production in etiolated maize seedlings. Plant Growth Regul. 2020, 90, 51–61. [Google Scholar] [CrossRef]
- Ma, Q.Q.; Wang, X.H.; Sun, J.B.; Mao, T.L. Coordinatel regulation of hypocotyl cell elongation by light and ethylene through a microtubule destabilizing protein. Plant Physiol. 2017, 176, 678–690. [Google Scholar] [CrossRef] [PubMed]
- Borucka, J.; Fellner, M. Auxin binding proteins ABP1 and ABP4 are involved in the light and auxin-induced down-regulation of phytochrome gene PHYB in mazie (Zea mays L.) mesocotyl. Plant Growth Regul. 2012, 68, 503–509. [Google Scholar] [CrossRef]
- Chen, F.; Zhang, J.Y.; Li, L.; Ma, Y.W.; Wang, Z.P.; Duan, Y.P.; Hao, Z.F. Genome-wide association analysis of deep-planting related traits in maize. Crops 2014, 2, 43–47. [Google Scholar]
- Lv, Y.S.; Shao, G.N.; Jiao, G.A.; Sheng, Z.H.; Xie, L.H.; Hu, S.K.; Tang, S.Q.; Wei, X.J.; Hu, P.S. Targeted mutagenesis of polyamine oxidase 5 that negative regulates mesocotyl elongation enables the generation of direct-seeding rice with improved grain yield. Mol. Plant 2021, 14, 344–351. [Google Scholar] [CrossRef] [PubMed]
- Sharova, E.I.; Bilova, T.E.; Medvedev, S.S. Axial changes in apoplast properties in the elongation zone of maize mesocotyl. Russ. J. Plant Physiol. 2012, 59, 565–572. [Google Scholar] [CrossRef]
- Hernandez-Ruiz, J.; Cano, A.; Arnao, M.B. Melatonin acts as a growth-stimulating compound in some monocot species. J. Pineal Res. 2005, 39, 137–142. [Google Scholar] [CrossRef]
- Niu, Y.N.; Zhao, X.Q.; Chao, W.; Lu, P.N.; Bai, X.D.; Mao, T.T. Genetic variation, DIMBOA accumulation, and candidate gene identification in maize multiple insect-resistance. Int. J. Mol. Sci. 2023, 24, 2138. [Google Scholar] [CrossRef]
- Leng, B.Y.; Li, M.; Mu, C.H.; Yan, Z.W.; Yao, G.Q.; Kong, X.P.; Ma, C.L.; Zhang, F.J.; Liu, X. Molecular mechanism of gibberellins in mesocotyl elongation response to deep-sowing stress in sweet maize. Curr. Issues Mol. Biol. 2023, 45, 197–211. [Google Scholar] [CrossRef]







Disclaimer/Publisher’s Note: The statements, opinions and data contained in all publications are solely those of the individual author(s) and contributor(s) and not of MDPI and/or the editor(s). MDPI and/or the editor(s) disclaim responsibility for any injury to people or property resulting from any ideas, methods, instructions or products referred to in the content. |
© 2023 by the authors. Licensee MDPI, Basel, Switzerland. This article is an open access article distributed under the terms and conditions of the Creative Commons Attribution (CC BY) license (https://creativecommons.org/licenses/by/4.0/).
Share and Cite
Zhao, X.; Li, J.; Niu, Y.; Hossain, Z.; Gao, X.; Bai, X.; Mao, T.; Qi, G.; He, F. Exogenous Serotonin (5-HT) Promotes Mesocotyl and Coleoptile Elongation in Maize Seedlings under Deep-Seeding Stress through Enhancing Auxin Accumulation and Inhibiting Lignin Formation. Int. J. Mol. Sci. 2023, 24, 17061. https://doi.org/10.3390/ijms242317061
Zhao X, Li J, Niu Y, Hossain Z, Gao X, Bai X, Mao T, Qi G, He F. Exogenous Serotonin (5-HT) Promotes Mesocotyl and Coleoptile Elongation in Maize Seedlings under Deep-Seeding Stress through Enhancing Auxin Accumulation and Inhibiting Lignin Formation. International Journal of Molecular Sciences. 2023; 24(23):17061. https://doi.org/10.3390/ijms242317061
Chicago/Turabian StyleZhao, Xiaoqiang, Jiayao Li, Yining Niu, Zakir Hossain, Xiquan Gao, Xiaodong Bai, Taotao Mao, Guoxiang Qi, and Fuqiang He. 2023. "Exogenous Serotonin (5-HT) Promotes Mesocotyl and Coleoptile Elongation in Maize Seedlings under Deep-Seeding Stress through Enhancing Auxin Accumulation and Inhibiting Lignin Formation" International Journal of Molecular Sciences 24, no. 23: 17061. https://doi.org/10.3390/ijms242317061
APA StyleZhao, X., Li, J., Niu, Y., Hossain, Z., Gao, X., Bai, X., Mao, T., Qi, G., & He, F. (2023). Exogenous Serotonin (5-HT) Promotes Mesocotyl and Coleoptile Elongation in Maize Seedlings under Deep-Seeding Stress through Enhancing Auxin Accumulation and Inhibiting Lignin Formation. International Journal of Molecular Sciences, 24(23), 17061. https://doi.org/10.3390/ijms242317061

