A Sensitive, Cell-Based Assay for Measuring Low-Level Biological Activity of α-Amanitin
Abstract
1. Introduction
2. Results
2.1. Detection of Biological Activity of α-Amanitin with an MTT–Formazan Cell Viability Assay
2.2. Validation of the qPCR Primers for Quantification of Adenovirus Genome Copy Number
2.3. RT-qPCR for Evaluation of the Inhibitory Effect of α-Amanitin on mRNA Synthesis
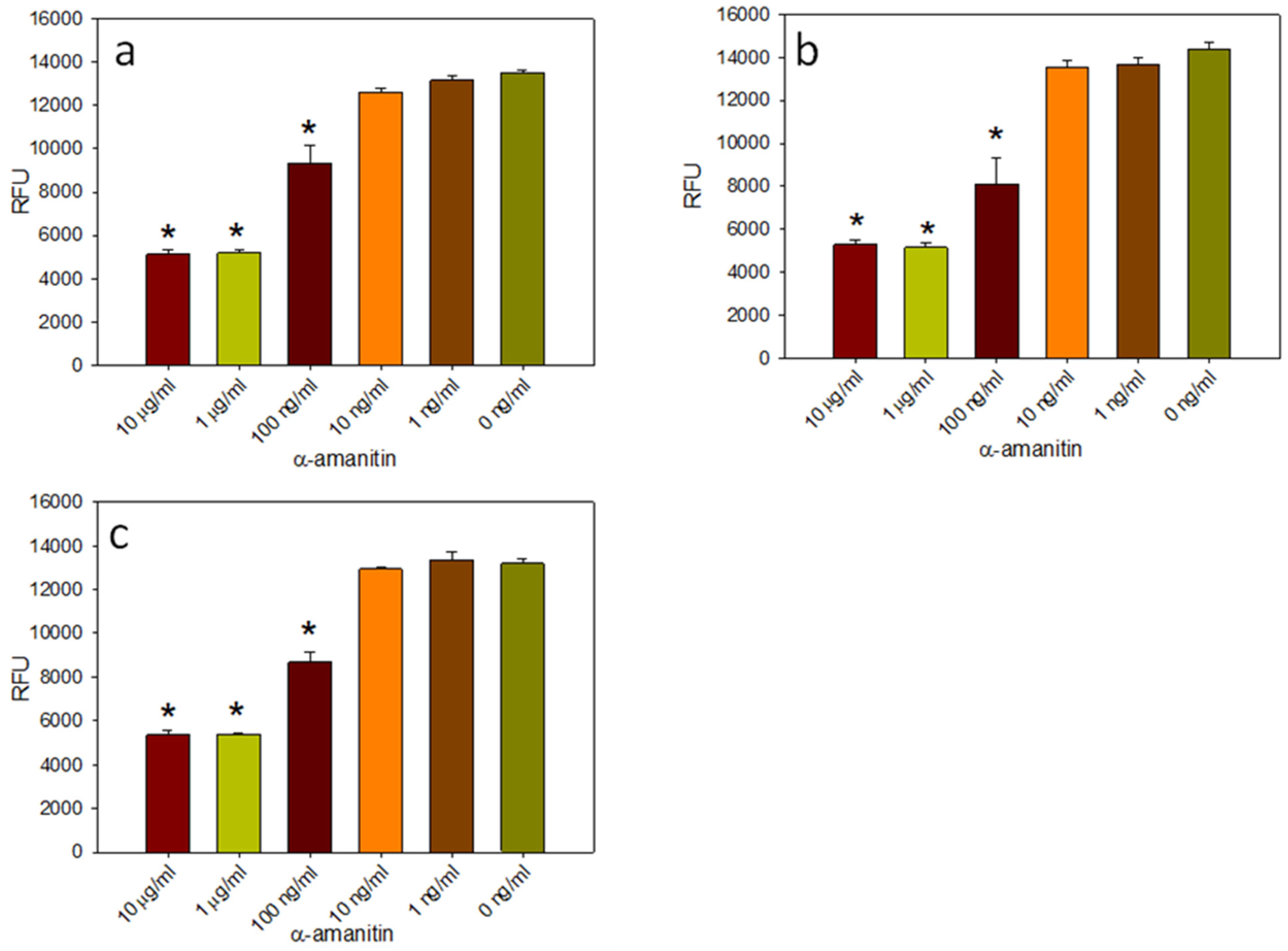
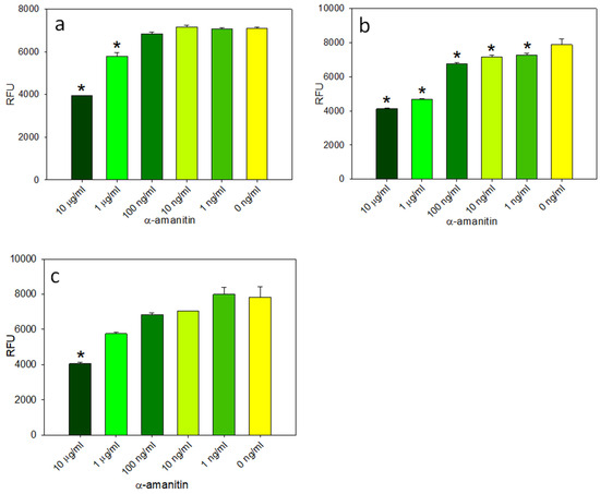
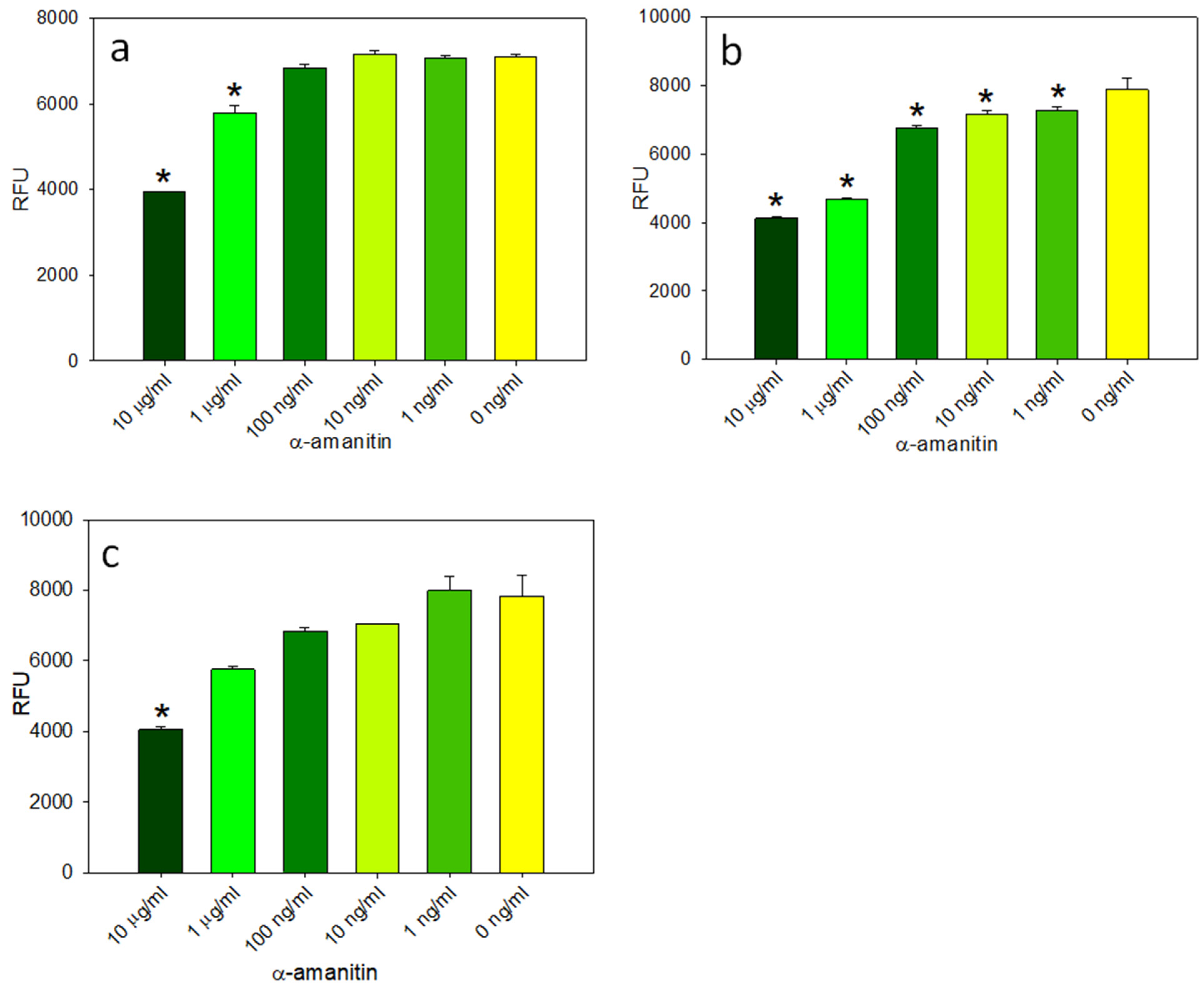
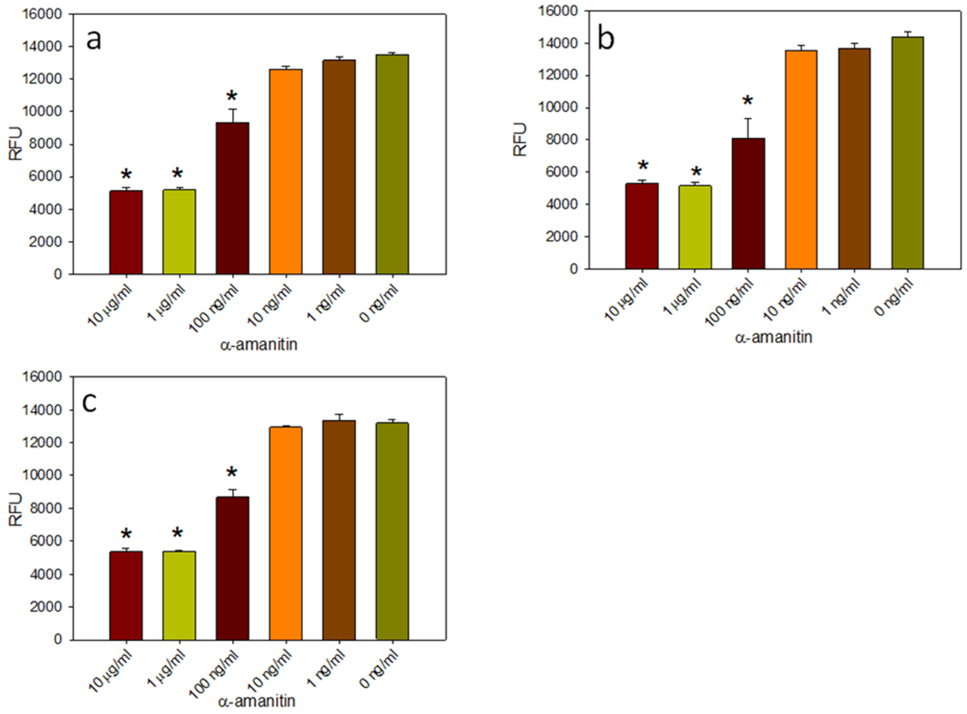
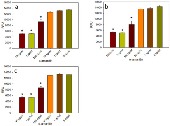
2.4. Green Fluorescent Protein in Transduced Cells for Detection of Biologically Active α-Amanitin
3. Discussion
4. Materials and Methods
4.1. Cell Culture
4.2. MTT Assay
4.3. Quantitative PCR
4.4. Plaque Assays for Titration of the Adenovirus
4.5. Heat Treatment of α-Amanitin
4.6. Generation of Adenoviral-Expressed GFP Gene
4.7. Fluorescent Ad-GFP Assay
4.8. Statistical Analysis
5. Conclusions
Author Contributions
Funding
Data Availability Statement
Acknowledgments
Conflicts of Interest
References
- Garcia, J.; Costa, V.M.; Carvalho, A.; Baptista, P.; de Pinho, P.G.; de Lourdes Bastos, M.; Carvalho, F. Amanita phalloides poisoning: Mechanisms of toxicity and treatment. Food Chem. Toxicol. 2015, 86, 41–55. [Google Scholar] [CrossRef] [PubMed]
- Cervellin, G.; Comelli, I.; Rastelli, G.; Sanchis-Gomar, F.; Negri, F.; De Luca, C.; Lippi, G. Epidemiology and clinics of mushroom poisoning in Northern Italy: A 21-year retrospective analysis. Hum. Exp. Toxicol. 2018, 37, 697–703. [Google Scholar] [CrossRef] [PubMed]
- Diaz, J.H. Amatoxin-Containing Mushroom Poisonings: Species, Toxidromes, Treatments, and Outcomes. Wilderness Environ. Med. 2018, 29, 111–118. [Google Scholar] [CrossRef]
- Trakulsrichai, S.; Sriapha, C.; Tongpoo, A.; Udomsubpayakul, U.; Wongvisavakorn, S.; Srisuma, S.; Wananukul, W. Clinical characteristics and outcome of toxicity from Amanita mushroom poisoning. Int. J. Gen. Med. 2017, 10, 395–400. [Google Scholar] [CrossRef]
- Stijve, T.; Seeger, T. Determination of alpha-, beta-, and gamma-amanitin by high performance thin-layer chromatography in Amanita phalloides (Vaill. ex Fr.) secr. from various origin. Z. Naturforsch C Biosci. 1979, 34, 1133–1138. [Google Scholar] [CrossRef] [PubMed]
- Vetter, J. Amanitins: The Most Poisonous Molecules of the Fungal World. Molecules 2023, 28, 5932. [Google Scholar] [CrossRef]
- Martinez-Rucobo, F.W.; Cramer, P. Structural basis of transcription elongation. Biochim. Biophys. Acta 2013, 1829, 9–19. [Google Scholar] [CrossRef][Green Version]
- Kaplan, C.D.; Larsson, K.M.; Kornberg, R.D. The RNA polymerase II trigger loop functions in substrate selection and is directly targeted by alpha-amanitin. Mol. Cell 2008, 30, 547–556. [Google Scholar] [CrossRef]
- Brueckner, F.; Cramer, P. Structural basis of transcription inhibition by alpha-amanitin and implications for RNA polymerase II translocation. Nat. Struct. Mol. Biol. 2008, 15, 811–818. [Google Scholar] [CrossRef]
- Vetter, J. Toxins of Amanita phalloides. Toxicon 1998, 36, 13–24. [Google Scholar] [CrossRef]
- Karlson-Stiber, C.; Persson, H. Cytotoxic fungi—An overview. Toxicon 2003, 42, 339–349. [Google Scholar] [CrossRef] [PubMed]
- Becker, C.E.; Tong, T.G.; Boerner, U.; Roe, R.L.; Sco, T.A.; MacQuarrie, M.B.; Bartter, F. Diagnosis and treatment of Amanita phalloides-type mushroom poisoning: Use of thioctic acid. West. J. Med. 1976, 125, 100–109. [Google Scholar] [PubMed]
- Escudie, L.; Francoz, C.; Vinel, J.P.; Moucari, R.; Cournot, M.; Paradis, V.; Sauvanet, A.; Belghiti, J.; Valla, D.; Bernuau, J.; et al. Amanita phalloides poisoning: Reassessment of prognostic factors and indications for emergency liver transplantation. J. Hepatol. 2007, 46, 466–473. [Google Scholar] [CrossRef] [PubMed]
- Serne, E.H.; Toorians, A.W.; Gietema, J.A.; Bronsveld, W.; Haagsma, E.B.; Mulder, P.O. Amanita phalloides, a potentially lethal mushroom: Its clinical presentation and therapeutic options. Neth. J. Med. 1996, 49, 19–23. [Google Scholar] [CrossRef]
- Koda-Kimble, M.A. Koda-Kimble and Young’s Applied Therapeutics: The Clinical Use of Drugs; Lippincott Williams & Wilkins: Philadelphia, PA, USA, 2012. [Google Scholar]
- Diaz, J.H. Syndromic diagnosis and management of confirmed mushroom poisonings. Crit. Care Med. 2005, 33, 427–436. [Google Scholar] [CrossRef]
- Broussard, C.N.; Aggarwal, A.; Lacey, S.R.; Post, A.B.; Gramlich, T.; Henderson, J.M.; Younossi, Z.M. Mushroom poisoning—From diarrhea to liver transplantation. Am. J. Gastroenterol. 2001, 96, 3195–3198. [Google Scholar] [CrossRef]
- Tong, T.C.; Hernandez, M.; Richardson, W.H., 3rd; Betten, D.P.; Favata, M.; Riffenburgh, R.H.; Clark, R.F.; Tanen, D.A. Comparative treatment of alpha-amanitin poisoning with N-acetylcysteine, benzylpenicillin, cimetidine, thioctic acid, and silybin in a murine model. Ann. Emerg. Med. 2007, 50, 282–288. [Google Scholar] [CrossRef]
- Garcia, J.; Costa, V.M.; Carvalho, A.T.; Silvestre, R.; Duarte, J.A.; Dourado, D.F.; Arbo, M.D.; Baltazar, T.; Dinis-Oliveira, R.J.; Baptista, P.; et al. A breakthrough on Amanita phalloides poisoning: An effective antidotal effect by polymyxin B. Arch. Toxicol. 2015, 89, 2305–2323. [Google Scholar] [CrossRef]
- Wang, B.; Wan, A.H.; Xu, Y.; Zhang, R.X.; Zhao, B.C.; Zhao, X.Y.; Shi, Y.C.; Zhang, X.; Xue, Y.; Luo, Y.; et al. Identification of indocyanine green as a STT3B inhibitor against mushroom alpha-amanitin cytotoxicity. Nat. Commun. 2023, 14, 2241. [Google Scholar] [CrossRef]
- Bruggemann, O.; Meder, M.; Freitag, R. Analysis of amatoxins alpha-amanitin and beta-amanitin in toadstool extracts and body fluids by capillary zone electrophoresis with photodiode array detection. J. Chromatogr. A 1996, 744, 167–176. [Google Scholar] [CrossRef]
- Robinson-Fuentes, V.A.; Jaime-Sanchez, J.L.; Garcia-Aguilar, L.; Gomez-Peralta, M.; Vazquez-Garciduenas, M.S.; Vazquez-Marrufo, G. Determination of alpha- and beta-amanitin in clinical urine samples by Capillary Zone Electrophoresis. J. Pharm. Biomed. Anal. 2008, 47, 913–917. [Google Scholar] [CrossRef] [PubMed]
- Maurer, H.H.; Schmitt, C.J.; Weber, A.A.; Kraemer, T. Validated electrospray liquid chromatographic-mass spectrometric assay for the determination of the mushroom toxins alpha- and beta-amanitin in urine after immunoaffinity extraction. J. Chromatogr. B Biomed. Sci. Appl. 2000, 748, 125–135. [Google Scholar] [CrossRef] [PubMed]
- Maurer, H.H.; Kraemer, T.; Ledvinka, O.; Schmitt, C.J.; Weber, A.A. Gas chromatography-mass spectrometry (GC-MS) and liquid chromatography-mass spectrometry (LC-MS) in toxicological analysis. Studies on the detection of clobenzorex and its metabolites within a systematic toxicological analysis procedure by GC-MS and by immunoassay and studies on the detection of alpha- and beta-amanitin in urine by atmospheric pressure ionization electrospray LC-MS. J. Chromatogr. B Biomed. Sci. Appl. 1997, 689, 81–89. [Google Scholar] [CrossRef]
- Nomura, M.; Suzuki, Y.; Kaneko, R.; Ogawa, T.; Hattori, H.; Seno, H.; Ishii, A. Simple and rapid analysis of amatoxins using UPLC–MS–MS. Forensic Toxicol. 2012, 30, 185–192. [Google Scholar] [CrossRef]
- Defendenti, C.; Bonacina, E.; Mauroni, M.; Gelosa, L. Validation of a high performance liquid chromatographic method for alpha amanitin determination in urine. Forensic Sci. Int. 1998, 92, 59–68. [Google Scholar] [CrossRef] [PubMed]
- Homann, J.; Rawer, P.; Bleyl, H.; Matthes, K.J.; Heinrich, D. Early detection of amatoxins in human mushroom poisoning. Arch. Toxicol. 1986, 59, 190–191. [Google Scholar] [CrossRef] [PubMed]
- Andres, R.Y.; Frei, W.; Gautschi, K.; Vonderschmitt, D.J. Radioimmunoassay for amatoxins by use of a rapid, 125I-tracer-based system. Clin. Chem. 1986, 32, 1751–1755. [Google Scholar] [CrossRef]
- Bever, C.S.; Adams, C.A.; Hnasko, R.M.; Cheng, L.W.; Stanker, L.H. Lateral flow immunoassay (LFIA) for the detection of lethal amatoxins from mushrooms. PLoS ONE 2020, 15, e0231781. [Google Scholar] [CrossRef]
- Bever, C.S.; Barnych, B.; Hnasko, R.; Cheng, L.W.; Stanker, L.H. A New Conjugation Method Used for the Development of an Immunoassay for the Detection of Amanitin, a Deadly Mushroom Toxin. Toxins 2018, 10, 265. [Google Scholar] [CrossRef]
- Sharma, S.; Aydin, M.; Bansal, G.; Kaya, E.; Singh, R. Determination of amatoxin concentration in heat-treated samples of Amanita phalloides by high-performance liquid chromatography: A forensic approach. J. Forensic Leg. Med. 2021, 78, 102111. [Google Scholar] [CrossRef]
- Kaya, E.; Hancı, M.; Karahan, S.; Bayram, S.; Yaykaşlı, K.O.; Sürmen, M.G. Thermostability of Alpha Amanitin in Water and Methanol. Eur. J. Basic Med. Sci. 2012, 2, 106–111. [Google Scholar] [CrossRef] [PubMed]
- Rasooly, R.; Hernlem, B.; He, X.; Friedman, M. Microwave heating inactivates Shiga toxin (Stx2) in reconstituted fat-free milk and adversely affects the nutritional value of cell culture medium. J. Agric. Food Chem. 2014, 62, 3301–3305. [Google Scholar] [CrossRef] [PubMed]
- Frohloff, F.; Fichtner, L.; Jablonowski, D.; Breunig, K.D.; Schaffrath, R. Saccharomyces cerevisiae Elongator mutations confer resistance to the Kluyveromyces lactis zymocin. EMBO J. 2001, 20, 1993–2003. [Google Scholar] [CrossRef] [PubMed]
- Jimenez, A.; Tipper, D.J.; Davies, J. Mode of action of thiolutin, an inhibitor of macromolecular synthesis in Saccharomyces cerevisiae. Antimicrob. Agents Chemother. 1973, 3, 729–738. [Google Scholar] [CrossRef]
- Steinberg, T.H.; Mathews, D.E.; Durbin, R.D.; Burgess, R.R. Tagetitoxin: A new inhibitor of eukaryotic transcription by RNA polymerase III. J. Biol. Chem. 1990, 265, 499–505. [Google Scholar] [CrossRef]
- Yan, Y.H.; Chen, S.X.; Cheng, L.Y.; Rodriguez, A.Y.; Tang, R.; Cabrera, K.; Zhang, D.Y. Confirming putative variants at ≤ 5% allele frequency using allele enrichment and Sanger sequencing. Sci. Rep. 2021, 11, 11640. [Google Scholar] [CrossRef]
- Rasooly, R.; Do, P.M. Shiga toxin Stx2 is heat-stable and not inactivated by pasteurization. Int. J. Food Microbiol. 2010, 136, 290–294. [Google Scholar] [CrossRef]
- Rasooly, R.; Balaban, N. Trypanosome microtubule-associated protein p15 as a vaccine for the prevention of African sleeping sickness. Vaccine 2004, 22, 1007–1015. [Google Scholar] [CrossRef]





Disclaimer/Publisher’s Note: The statements, opinions and data contained in all publications are solely those of the individual author(s) and contributor(s) and not of MDPI and/or the editor(s). MDPI and/or the editor(s) disclaim responsibility for any injury to people or property resulting from any ideas, methods, instructions or products referred to in the content. |
© 2023 by the authors. Licensee MDPI, Basel, Switzerland. This article is an open access article distributed under the terms and conditions of the Creative Commons Attribution (CC BY) license (https://creativecommons.org/licenses/by/4.0/).
Share and Cite
Rasooly, R.; Do, P.; He, X.; Hernlem, B. A Sensitive, Cell-Based Assay for Measuring Low-Level Biological Activity of α-Amanitin. Int. J. Mol. Sci. 2023, 24, 16402. https://doi.org/10.3390/ijms242216402
Rasooly R, Do P, He X, Hernlem B. A Sensitive, Cell-Based Assay for Measuring Low-Level Biological Activity of α-Amanitin. International Journal of Molecular Sciences. 2023; 24(22):16402. https://doi.org/10.3390/ijms242216402
Chicago/Turabian StyleRasooly, Reuven, Paula Do, Xiaohua He, and Bradley Hernlem. 2023. "A Sensitive, Cell-Based Assay for Measuring Low-Level Biological Activity of α-Amanitin" International Journal of Molecular Sciences 24, no. 22: 16402. https://doi.org/10.3390/ijms242216402
APA StyleRasooly, R., Do, P., He, X., & Hernlem, B. (2023). A Sensitive, Cell-Based Assay for Measuring Low-Level Biological Activity of α-Amanitin. International Journal of Molecular Sciences, 24(22), 16402. https://doi.org/10.3390/ijms242216402

