Nanoconfined Water in Pillared Zeolites Probed by 1H Nuclear Magnetic Resonance
Abstract
:1. Introduction
2. Results
2.1. Textural Analysis
2.2. Thermal Analysis
2.3. 1H MAS NMR
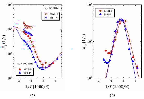
2.4. 1H Relaxation Study
3. Discussion
4. Materials and Methods
5. Conclusions
Author Contributions
Funding
Institutional Review Board Statement
Informed Consent Statement
Data Availability Statement
Acknowledgments
Conflicts of Interest
References
- Bukowski, B.C.; Keil, F.J.; Ravikovitch, P.I.; Sastre, G.; Snurr, R.Q.; Coppens, M.-O. Connecting Theory and Simulation with Experiment for the Study of Diffusion in Nanoporous Solids. Adsorption 2021, 27, 683–760. [Google Scholar]
- Potapov, A.; McCoustra, M. Physics and Chemistry on the Surface of Cosmic Dust Grains: A Laboratory View. Int. Rev. Phys. Chem. 2021, 40, 299–364. [Google Scholar] [CrossRef]
- Spencer, E.C.; Ross, N.L.; Parker, S.F.; Olsen, R.E.; Woodfield, B.F. Inelastic Neutron Scattering Studies of Hydrated CuO, ZnO and CeO2 Nanoparticles. Chem. Phys. 2013, 427, 66–70. [Google Scholar] [CrossRef]
- Liu, T.; Gautam, S.S.; Daemen, L.L.; Kolesnikov, A.I.; Anovitz, L.M.; Hartl, M.; Cole, D.R. Vibrational Behavior of Water Adsorbed on Forsterite (Mg2SiO4) Surfaces. ACS Earth Space Chem. 2020, 4, 1050–1063. [Google Scholar] [CrossRef]
- Zaleski, R.; Gorgol, M.; Kierys, A.; Maheshwari, P.; Pietrow, M.; Pujari, P.K.; Zgardzińska, B. Unraveling the Phase Behavior of Water Confined in Nanochannels through Positron Annihilation. J. Phys. Chem. C 2022, 126, 5916–5926. [Google Scholar] [CrossRef]
- Malfait, B.; Jani, A.; Mietner, J.B.; Lefort, R.; Huber, P.; Fröba, M.; Morineau, D. Influence of Pore Surface Chemistry on the Rotational Dynamics of Nanoconfined Water. J. Phys. Chem. C 2021, 125, 16864–16874. [Google Scholar] [CrossRef]
- Hansen, E.W.; Sto, M.; Schmidt, R. Low-Temperature Phase Transition of Water Confined in Mesopores Probed by NMR. Influence on Pore Size Distribution. J. Phys. Chem. 1996, 100, 2195–2200. [Google Scholar] [CrossRef]
- Grünberg, B.; Emmler, T.; Gedat, E.; Shenderovich, I.; Findenegg, G.H.; Limbach, H.; Buntkowsky, G. Hydrogen Bonding of Water Confined in Mesoporous Silica MCM-41 and SBA-15 Studied by 1H Solid-State NMR. Chem.-A Eur. J. 2004, 10, 5689–5696. [Google Scholar] [CrossRef]
- Sattig, M.; Reutter, S.; Fujara, F.; Werner, M.; Buntkowsky, G.; Vogel, M. NMR Studies on the Temperature-Dependent Dynamics of Confined Water. Phys. Chem. Chem. Phys. 2014, 16, 19229–19240. [Google Scholar] [CrossRef]
- Buntkowsky, G.; Vogel, M. Small Molecules, Non-Covalent Interactions, and Confinement. Molecules 2020, 25, 3311. [Google Scholar] [CrossRef]
- Mishima, O. Liquid-Phase Transition in Water; Springer: Tokyo, Japan, 2021. [Google Scholar]
- Leherte, L.; Andre, J.-M.; Derouane, E.G.; Vercauteren, D.P. What Does Zeolitic Water Look like?: Modelization by Molecular Dynamics Simulations. Int. J. Quantum Chem. 1992, 42, 1291–1326. [Google Scholar] [CrossRef]
- Tabacchi, G. Supramolecular Organization in Confined Nanospaces. ChemPhysChem 2018, 19, 1249–1297. [Google Scholar] [CrossRef] [PubMed]
- Belovolova, L.V.; Glushkov, M.V. Porous Matrices and Specific Features of Water in Nanostructures. Phys. Wave Phenom. 2021, 29, 249–277. [Google Scholar] [CrossRef]
- Pantalei, C.; Senesi, R.; Andreani, C.; Sozzani, P.; Comotti, A.; Bracco, S.; Beretta, M.; Sokol, E. Interaction of Single Water Molecules with Silanols in Mesoporous Silica. Phys. Chem. Chem. Phys. 2011, 13, 6022–6028. [Google Scholar] [CrossRef] [PubMed]
- Breynaert, E.; Houlleberghs, M.; Radhakrishnan, S.; Grübel, G.; Taulelle, F.; Martens, J.A. Water as a Tuneable Solvent: A Perspective. Chem. Soc. Rev. 2020, 49, 2557–2569. [Google Scholar] [CrossRef]
- Buntkowsky, G.; Breitzke, H.; Adamczyk, A.; Roelofs, F.; Emmler, T.; Gedat, E.; Gru, B.; Limbach, H.; Shenderovich, I.; Vyalikh, A.; et al. Structural and Dynamical Properties of Guest Molecules Confined in Mesoporous Silica Materials Revealed by NMR. Phys. Chem. Chem. Phys. 2007, 9, 4843–4853. [Google Scholar] [CrossRef]
- Hansen, E.W.; Schmidt, R.; Sticker, M.; Akporiaye, D. Water-Saturated Mesoporous MCM-41 Systems Characterized by 1H NMR Spin-Lattice Relaxation Times. J. Phys. Chem. 1995, 99, 4148–4154. [Google Scholar] [CrossRef]
- Alba-Simionesco, C.; Coasne, B.; Dosseh, G.; Dudziak, G.; Gubbins, K.E.; Radhakrishnan, R.; Sliwinska-Bartkowiak, M. Effects of Confinement on Freezing and Melting. J. Phys. Condens. Matter 2006, 18, R15–R68. [Google Scholar] [CrossRef]
- Lederle, C.; Sattig, M.; Vogel, M. Effects of Partial Crystallization on the Dynamics of Water in Mesoporous Silica. J. Phys. Chem. C 2018, 122, 15427–15434. [Google Scholar] [CrossRef]
- Wang, J.; Xue, H.; Zhou, B.; Yao, Y.; Hansen, E.W. Interfacial Water in Mesopores and Its Implications to the Surface Features–A Solid State NMR Study. Appl. Surf. Sci. 2019, 484, 1154–1160. [Google Scholar] [CrossRef]
- Chizhik, V.I.; Chernyshev, Y.S.; Donets, A.V.; Frolov, V.V.; Komolkin, A.V.; Shelyapina, M.G. Magnetic Resonance and Its Applications; Springer International Publishing: Cham, Switzerland, 2014; ISBN 9783319052984. [Google Scholar]
- Akporiaye, D.; Hamen, E.W.; Schmidt, R.; Stiicker, M. Water-Saturated Mesoporous MCM-41 Systems Characterized by 1H NMR. J. Phys. Chem. 1994, 84, 1926–1928. [Google Scholar] [CrossRef]
- Overloop, K.; Van Gerven, L. Freezing Phenomena in Adsorbed Water as Studied by NMR. J. Magn. Reson. Ser. A 1993, 101, 179–187. [Google Scholar] [CrossRef]
- Sánchez-López, P.; Kotolevich, Y.; Yocupicio-Gaxiola, R.I.; Antúnez-García, J.; Chowdari, R.K.; Petranovskii, V.; Fuentes-Moyado, S. Recent Advances in Catalysis Based on Transition Metals Supported on Zeolites. Front. Chem. 2021, 9, 1–25. [Google Scholar] [CrossRef] [PubMed]
- Shelyapina, M.G.; Yocupicio-Gaxiola, R.I.; Zhelezniak, I.V.; Chislov, M.V.; Antúnez-García, J.; Murrieta-Rico, F.N.; Galván, D.H.; Petranovskii, V.; Fuentes-Moyado, S. Local Structures of Two-Dimensional Zeolites–Mordenite and ZSM-5–Probed by Multinuclear NMR. Molecules 2020, 25, 4678. [Google Scholar] [CrossRef] [PubMed]
- Grey, C.P. Nuclear Magnetic Resonance Studies of Zeolites. In Handbook of Zeolite Science and Technology; Auerbach, S., Carrado, K., Dutta, P., Eds.; CRC Press: New York, NY, USA, 2003; pp. 267–331. [Google Scholar]
- Hernandez-tamargo, C.E.; Roldan, A.; De Leeuw, N.H. A Density Functional Theory Study of the Structure of Pure-Silica and Aluminium-Substituted MFI Nanosheets. J. Solid State Chem. 2016, 237, 192–203. [Google Scholar] [CrossRef]
- Xu, J.; Wang, Q.; Li, S.; Deng, F. Solid-State NMR Characterization of Host-Guest Interactions. In Solid-State NMR in Zeolite Catalysis; Springer Nature: Singapore, 2019; pp. 133–157. ISBN 9789811369674. [Google Scholar]
- Koller, H.; Weiß, M. Solid State NMR of Porous Materials. Zeolites and Related Materials. Search Results Web Results Top. Curr. Chem. 2012, 306, 189–228. [Google Scholar] [CrossRef]
- Silaghi, M.; Chizallet, C.; Sauer, J.; Raybaud, P. Dealumination Mechanisms of Zeolites and Extra-Framework Aluminum Confinement. J. Catal. 2016, 339, 242–255. [Google Scholar] [CrossRef]
- Gabrienko, A.A.; Danilova, I.G.; Arzumanov, S.S.; Toktarev, A.V.; Freude, D.; Stepanov, A.G. Strong Acidity of Silanol Groups of Zeolite Beta: Evidence from the Studies by IR Spectroscopy of Adsorbed CO and 1H MAS NMR. Microporous Mesoporous Mater. 2010, 131, 210–216. [Google Scholar] [CrossRef]
- Thommes, M.; Kaneko, K.; Neimark, A.V.; Olivier, J.P.; Rodriguez-Reinoso, F.; Rouquerol, J.; Sing, K.S.W. Physisorption of Gases, with Special Reference to the Evaluation of Surface Area and Pore Size Distribution (IUPAC Technical Report). Pure Appl. Chem. 2015, 87, 1051–1069. [Google Scholar] [CrossRef]
- Cychosz, K.A.; Guillet-Nicolas, R.; García-Martínez, J.; Thommes, M. Recent Advances in the Textural Characterization of Hierarchically Structured Nanoporous Materials. Chem. Soc. Rev. 2017, 46, 389–414. [Google Scholar] [CrossRef]
- Cychosz, K.A.; Thommes, M. Progress in the Physisorption Characterization of Nanoporous Gas Storage Materials. Engineering 2018, 4, 559–566. [Google Scholar] [CrossRef]
- García-Martínez, L.; Li, K. (Eds.) Mesoporous Zeolites: Preparation, Characterization and Applications; Wiley-VCH Verlag GmbH & Co. KGaA: Weinheim, Germany, 2015; ISBN 978-3-527-33574-9. [Google Scholar]
- Yocupicio-Gaxiola, R.I.; Petranovskii, V.; Antúnez-García, J.; Fuentes Moyado, S. One-Pot Synthesis of Lamellar Mordenite and ZSM-5 Zeolites and Subsequent Pillaring by Amorphous SiO2. Appl. Nanosci. 2019, 9, 557–565. [Google Scholar] [CrossRef]
- Galarneau, A.; Mehlhorn, D.; Guenneau, F.; Coasne, B.; Villemot, F.; Minoux, D.; Aquino, C.; Dath, J.P. Specific Surface Area Determination for Microporous/Mesoporous Materials: The Case of Mesoporous FAU-Y Zeolites. Langmuir 2018, 34, 14134–14142. [Google Scholar] [CrossRef] [PubMed]
- Desmurs, L.; Galarneau, A.; Cammarano, C.; Hulea, V.; Vaulot, C.; Nouali, H.; Lebeau, B.; Daou, T.J.; Vieira Soares, C.; Maurin, G.; et al. Determination of Microporous and Mesoporous Surface Areas and Volumes of Mesoporous Zeolites by Corrected T-Plot Analysis. ChemNanoMat 2022, 8, e202200051. [Google Scholar] [CrossRef]
- Mitchell, S.; Pinar, A.B.; Kenvin, J.; Crivelli, P.; Kärger, J.; Pérez-Ramírez, J.; Pe, J. Structural Analysis of Hierarchically Organized Zeolites. Nat. Commun. 2015, 6, 8633. [Google Scholar] [CrossRef]
- Krylova, E.A.; Shelyapina, M.G.; Nowak, P.; Harańczyk, H.; Chislov, M.; Zvereva, I.A.; Privalov, A.F.; Becker, M.; Vogel, M.; Petranovskii, V. Mobility of Water Molecules in Sodium- and Copper-Exchanged Mordenites: Thermal Analysis and 1H NMR. Microporous Mesoporous Mater. 2018, 265, 132–142. [Google Scholar] [CrossRef]
- Shelyapina, M.G.; Krylova, E.A.; Zhukov, Y.M.; Zvereva, I.A.; Rodriguez-Iznaga, I.; Petranovskii, V.; Fuentes-Moyado, S. Comprehensive Analysis of the Copper Exchange Implemented in Ammonia and Protonated Forms of Mordenite Using Microwave and Conventional Methods. Molecules 2019, 24, 4216. [Google Scholar] [CrossRef]
- Shelyapina, M.G.; Krylova, E.A.; Mazur, A.S.; Tsyganenko, A.A.; Shergin, Y.V.; Satikova, E.; Petranovskii, V. Active Sites in H-Mordenite Catalysts Probed by NMR and FTIR. Catalysts 2022, 13, 344. [Google Scholar] [CrossRef]
- Zhuravlev, L.T. The Surface Chemistry of Amorphous Silica. Zhuravlev Model. Colloids Surf. A Physicochem. Eng. Asp. 2000, 173, 1–38. [Google Scholar] [CrossRef]
- Pearson, R.T.; Derbyshire, W. NMR Studies of Water Adsorbed on a Number of Silica Surfaces. J. Colloid Interface Sci. 1974, 46, 232–248. [Google Scholar] [CrossRef]
- Fukatsu, Y.; Morikawa, K.; Ikeda, Y.; Tsukahara, T. Temperature and Size Effects on Structural and Dynamical Properties of Water Confined in 1–10 Nm-Scale Pores Using Proton NMR Spectroscopy. Anal. Sci. 2017, 33, 903–909. [Google Scholar] [CrossRef] [PubMed]
- Soprunyuk, V.; Schranz, W. DMA Study of Water’s Glass Transition in Nanoscale Confinement. Soft Matter 2018, 14, 7246–7254. [Google Scholar] [CrossRef] [PubMed]
- Waugh, J.S.; Fedin, E.I. Determination of Hindered-Rotation Barriers in Solids. Sov. Phys. Solid State 1963, 4, 1633–1636. [Google Scholar]
- Shelyapina, M.G.; Nefedov, D.Y.; Antonenko, A.O.; Hmok, H.L.; Antu, J.; Fuentes, S. Dynamics of Guest Water Molecules in Pillared Mordenite Studied by 1H NMR Relaxation. Appl. Magn. Reson. 2023, 54, 915–928. [Google Scholar] [CrossRef]
- Chizhik, V.I.; Rykov, I.A.; Shelyapina, M.G.; Fruchart, D. Proton Relaxation and Hydrogen Mobility in Ti-V-Cr Alloys: Improved Exchange Model. Int. J. Hydrogen Energy 2014, 39, 17416–17421. [Google Scholar] [CrossRef]
- Shelyapina, M.G.; Vyvodtceva, A.V.; Klyukin, K.A.; Bavrina, O.O.; Chernyshev, Y.S.S.; Privalov, A.F.; Fruchart, D. Hydrogen Diffusion in Metal-Hydrogen Systems via NMR and DFT. Int. J. Hydrogen Energy 2015, 40, 17038–17050. [Google Scholar] [CrossRef]
- Bloembergen, N.; Purcell, E.M.; Pound, R.V. Relaxation Effects in Nuclear Magnetic Resonance Absorption. Phys. Rev. 1948, 73, 679–712. [Google Scholar] [CrossRef]
- Knight, A.W.; Kalugin, N.G.; Coker, E.; Ilgen, A.G. Water Properties under Nano-Scale Confinement. Sci. Rep. 2019, 9, 8246. [Google Scholar] [CrossRef]
- Pajzderska, A.; Gonzalez, M.A.; Mielcarek, J. Water Behavior in MCM-41 as a Function of Pore Filling and Temperature Studied by NMR and Molecular Dynamics Simulations. J. Phys. Chem. C 2014, 118, 23701–23710. [Google Scholar] [CrossRef]
- Demontis, P.; Jobic, H.; Gonzalez, M.A.; Suffritti, G.B. Diffusion of Water in Zeolites NaX and NaY Studied by Quasi-Elastic Neutron Scattering and Computer Simulation. J. Phys. Chem. C 2009, 113, 12373–12379. [Google Scholar] [CrossRef]
- Franks, F. Water: A Comprehensive Treatise. In Aqueous Solutions of Simple Electrolytes; Press Plenum: New York, NY, USA; London, UK, 1973; Volume 3, ISBN 978-1-4684-2957-2. [Google Scholar]
- Winkler, K.; Lindner, J.; Bürsing, H.; Vöhringer, P. Ultrafast Raman-Induced Kerr-Effect of Water: Single Molecule versus Collective Motions. J. Chem. Phys. 2000, 113, 4674–4682. [Google Scholar] [CrossRef]
- Demontis, P.; Gulín-González, J.; Jobic, H.; Masia, M.; Sale, R.; Suffritti, G.B. Dynamical Properties of Confined Water Nanoclusters: Simulation Study of Hydrated Zeolite NaA: Structural and Vibrational Properties. ACS Nano 2008, 2, 1603–1614. [Google Scholar] [CrossRef]
- Mills, R. Self-Diffusion in Normal and Heavy Water in the Range 1–45°. J. Phys. Chem. 1973, 77, 685–688. [Google Scholar] [CrossRef]
- Weigler, M.; Winter, E.; Kresse, B.; Brodrecht, M.; Buntkowsky, G.; Vogel, M. Static Field Gradient NMR Studies of Water Diffusion in Mesoporous Silica. Phys. Chem. Chem. Phys. 2020, 22, 13989–13998. [Google Scholar] [CrossRef] [PubMed]
- Valiullin, R.; Kärger, J.; Cho, K.; Choi, M.; Ryoo, R. Dynamics of Water Diffusion in Mesoporous Zeolites. Microporous Mesoporous Mater. 2011, 142, 236–244. [Google Scholar] [CrossRef]
- Price, W.S.; Ide, H.; Arata, Y. Self-Diffusion of Supercooled Water to 238 K Using PGSE NMR Diffusion Measurements. J. Phys. Chem. A 1999, 103, 448–450. [Google Scholar] [CrossRef]
- Porter, A.J.; McHugh, S.L.; Omojola, T.; Silverwood, I.P.; O’Malley, A.J. The Effect of Si/Al Ratio on Local and Nanoscale Water Diffusion in H-ZSM-5: A Quasielastic Neutron Scattering and Molecular Dynamics Simulation Study. Microporous Mesoporous Mater. 2023, 348, 112391. [Google Scholar] [CrossRef]
- Na, K.; Chol, M.; Park, W.; Sakamoto, Y.; Terasakl, O.; Ryoo, R. Pillared MFI Zeolite Nanosheets of a Single-Unit-Cell Thickness. J. Am. Chem. Soc. 2010, 132, 4169–4177. [Google Scholar] [CrossRef]








| Properties | MOR-P | MFI-P |
|---|---|---|
| Smeso+ext (m2/g) | 610 | 580 |
| Sext (m2/g) | 125 | 125 |
| Smeso (m2/g) | 475 | 455 |
| SBET (m2/g) | 679 | 658 |
| SBJH (m2/g) | 247 | 283 |
| SDFT (m2/g) | 790 | 800 |
| Smicro (m2/g) | 69 | 78 |
| Vtot (cm3/g) | 0.44 | 0.47 |
| Vmicro (cm3/g) | 0.037 | 0.043 |
| d0 (SAXS) (nm) | 3.3 1 | 3.2 1 |
| d (DFT) (nm) | 4.0 | 4.4 |
| d (BJH) (nm) | 3.6 | 3.8 |
| Parameters | MOR-P | MFI-P |
|---|---|---|
| From R1 Experiment (Exchange Model) | ||
| (kJ/mol) | 29 ± 1 | 30 ± 1 |
| (s) | 1.5 ± 0.5 × 10−14 | 3.0 ± 0.5 × 10−14 |
| (kJ/mol) | 12 ± 1 | 9 ± 1 |
| (s) | 8.0 ± 0.5 × 10−16 | 6.5 ± 0.5 × 10−16 |
| Equation (6) | Equation (6) | |
| Equation (7) | Equation (7) | |
| (kJ/mol) | 23.6 ± 0.5 | 26.0 ± 0.5 |
| (s) | 10 ± 1 × 10−15 | 4.5 ± 0.5 × 10−15 |
| 0.25 | 0.15 | |
| (K) | 210 ± 10 | 220 ± 10 |
| (K) | 15 ± 5 | 10 ± 5 |
| From R1ρ experiment | ||
| Ea (kJ/mol) | 28.9 ± 0.2 | 30.7 ± 0.5 |
| τ0 (s) | 1.5 ± 0.1 × 10−13 | 8.1 ± 0.1 × 10−14 |
| (s) | 1.7 × 10−8 | 1.9 × 10−8 |
| From Waugh–Fedin expression (Equation (2)) | ||
| Ea (kJ/mol) | 28.1 ± 0.4 | 28.1 ± 0.4 |
| Probe | Micro/Meso- Pore Size (nm) | Temperature Range (K) | Method | Ea (kJ/mol) | Ref. |
|---|---|---|---|---|---|
| Rotation motion | |||||
| Bulk water | − | 273–298 | NMR, T1 | 13.8 | [56] |
| Bulk water | − | 308–353 | NMR, T1 | 19.2 | [56] |
| Bulk water | − | 275−365 | Kerr effect | 15.6 | [57] |
| MCM-41 | −/2.4 | 200−300 | MD | 18 ± 1 | [54] |
| Pillared mordenite | 0.7/4.0 | 173−293 | NMR, T1 | 12 ± 1 | [49] |
| Pillared ZSM-5 | 0.55/4.4 | 173−291 | NMR, T1 | 9 ± 1 | This work |
| NaA | 0.41/− | 278−353 | MD | 7.5 ±1.5 | [58] |
| Translation motion | |||||
| Bulk water | − | 274–288 | NMR, D | 19.7 | [59] |
| Bulk water | − | 288–318 | NMR, D | 17.6 | [59] |
| MCM-41 | −/2.4 | 200−300 | MD | 35 ± 1 | [54] |
| MCM-41 | −/2.4 | 180–220 | NMR, T2 | 37.2 0.9 | [54] |
| MCM-41 | −/2.1 | 207–270 | NMR, D | 38.6 | [60] |
| Mesoporous NaA | 0.41/5.0 | 250–310 | NMR, D | 56.2 | [61] |
| Pillared mordenite | 0.7/4.0 | 173−293 | NMR, T1 | 23.6 ± 0.5 | [49] |
| Pillared ZSM-5 | 0.55/4.4 | 173−291 | NMR, T1 | 26.0 ± 0.5 | This work |
| Na-mordenite | 0.7/− | 230–300 | NMR, D | 25.6 ± 0.5 | [41] |
| NaX | 0.74/− | 300 | QENS | 19 ± 1 | [55] |
| NaY | 0.74/− | 300 | QENS | 16.5 | [55] |
Disclaimer/Publisher’s Note: The statements, opinions and data contained in all publications are solely those of the individual author(s) and contributor(s) and not of MDPI and/or the editor(s). MDPI and/or the editor(s) disclaim responsibility for any injury to people or property resulting from any ideas, methods, instructions or products referred to in the content. |
© 2023 by the authors. Licensee MDPI, Basel, Switzerland. This article is an open access article distributed under the terms and conditions of the Creative Commons Attribution (CC BY) license (https://creativecommons.org/licenses/by/4.0/).
Share and Cite
Shelyapina, M.G.; Nefedov, D.Y.; Antonenko, A.O.; Valkovskiy, G.A.; Yocupicio-Gaxiola, R.I.; Petranovskii, V. Nanoconfined Water in Pillared Zeolites Probed by 1H Nuclear Magnetic Resonance. Int. J. Mol. Sci. 2023, 24, 15898. https://doi.org/10.3390/ijms242115898
Shelyapina MG, Nefedov DY, Antonenko AO, Valkovskiy GA, Yocupicio-Gaxiola RI, Petranovskii V. Nanoconfined Water in Pillared Zeolites Probed by 1H Nuclear Magnetic Resonance. International Journal of Molecular Sciences. 2023; 24(21):15898. https://doi.org/10.3390/ijms242115898
Chicago/Turabian StyleShelyapina, Marina G., Denis Y. Nefedov, Anastasiia O. Antonenko, Gleb A. Valkovskiy, Rosario I. Yocupicio-Gaxiola, and Vitalii Petranovskii. 2023. "Nanoconfined Water in Pillared Zeolites Probed by 1H Nuclear Magnetic Resonance" International Journal of Molecular Sciences 24, no. 21: 15898. https://doi.org/10.3390/ijms242115898
APA StyleShelyapina, M. G., Nefedov, D. Y., Antonenko, A. O., Valkovskiy, G. A., Yocupicio-Gaxiola, R. I., & Petranovskii, V. (2023). Nanoconfined Water in Pillared Zeolites Probed by 1H Nuclear Magnetic Resonance. International Journal of Molecular Sciences, 24(21), 15898. https://doi.org/10.3390/ijms242115898

