Preparation of Azoxystrobin-Zinc Metal–Organic Framework/Biomass Charcoal Composite Materials and Application in the Prevention and Control of Gray Mold in Tomato
Abstract
:1. Introduction
2. Results and Discussion
2.1. Thermal Gravimetric Analysis
2.1.1. ZIF-8/BC Fabrication
2.1.2. AZOX Loading
2.2. Sample Characterization
2.2.1. FT-IR Spectra
2.2.2. Thermal Gravimetric Analysis
2.2.3. XRD Analysis
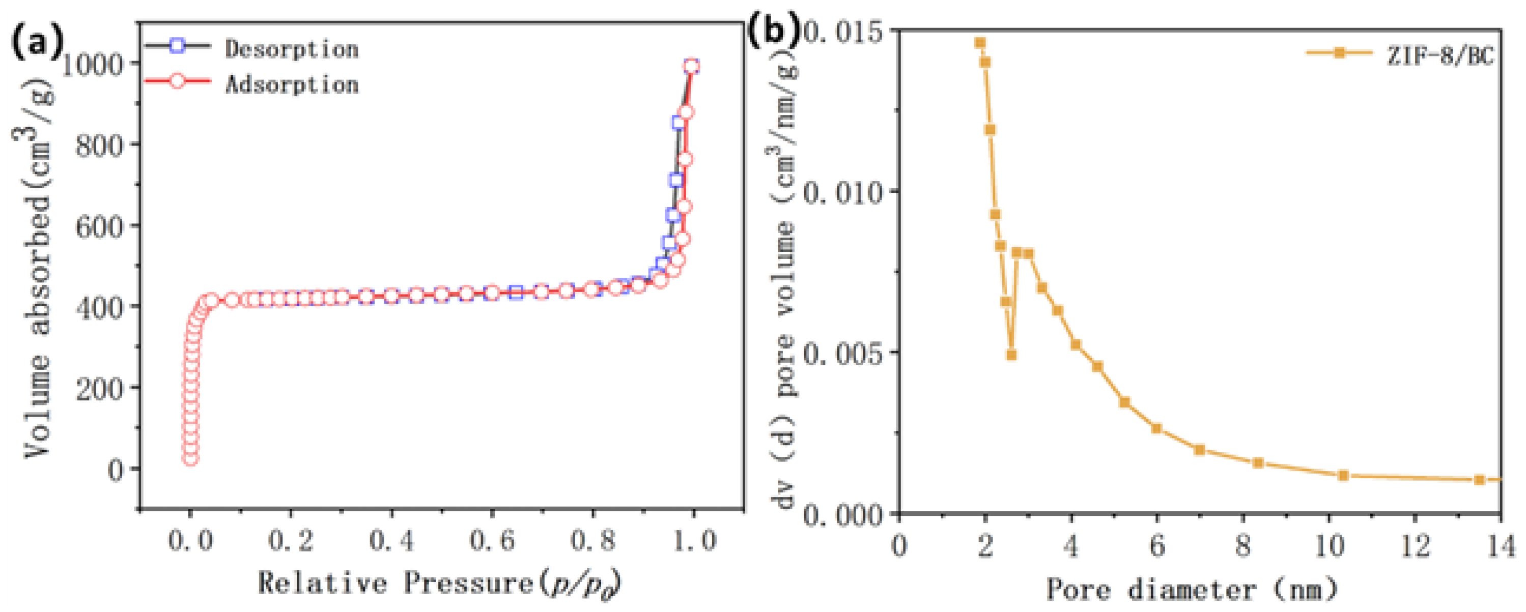
2.2.4. Adsorption/Desorption Isotherms and Micropore Size
2.3. AZOX Release Behavior
2.4. In Vitro Fungicidal Activity
2.5. Study on the Fungicidal Activity of Potted Plants
3. Materials and Methods
3.1. Materials
3.2. Thermal Gravimetric Analysis
3.2.1. Synthesis of ZIF-8
3.2.2. Preparation of BC
3.2.3. Preparation of AZOX Loaded ZIF-8/BC
3.3. Characterization
3.4. Evaluation of ZIF-8/BC Nanoparticle Loading Content
3.5. In Vitro Release Behavior
3.6. In Vitro Fungicidal Activity
3.7. Study on the Fungicidal Activity of Potted Plants
4. Conclusions
Author Contributions
Funding
Institutional Review Board Statement
Informed Consent Statement
Data Availability Statement
Conflicts of Interest
References
- Leskovac, A.; Petrović, S. Pesticide Use and Degradation Strategies: Food Safety, Challenges and Perspectives. Foods 2023, 12, 2709. [Google Scholar] [CrossRef]
- Zheng, L.; Zhang, C.; Wu, X.; Liu, L.; Zhang, H. Efficacy assessment of Pantoea jilinensis D25 fermentation broth against Botrytis cinerea. Process Biochem. 2021, 111, 241–248. [Google Scholar] [CrossRef]
- Wang, H.; Liu, M.; Zhang, W.; Yan, J.; Tang, X.; Sanchez-Molina, J.A.; Li, X. An Effect and Less Spraying Control Method Successfully Controls Botrytis cinerea on Grapes in China. Agronomy 2023, 13, 2578. [Google Scholar] [CrossRef]
- Li, L.; Wang, R.; Liang, X.; Gai, Y.; Jiao, C.; Wang, M. Characterization of a Bacillus velezensis with Antibacterial Activity and Its Inhibitory Effect on Gray Mold Germ. Agronomy 2023, 13, 1553. [Google Scholar] [CrossRef]
- Zheng, L.; Zhang, J.; Wu, X.; Gu, X.; Wang, S.; Zhang, H. A novel biocontrol strain Pantoea jilinensis D25 for effective biocontrol of tomato gray mold (causative agent Botrytis cinerea). Biol. Control 2021, 164, 104766. [Google Scholar] [CrossRef]
- Yang, L.; Liu, X.; Lu, H.; Zhang, C.; Chen, J.; Shi, Z. Cinnamaldehyde Inhibits Postharvest Gray Mold on Pepper Fruits via Inhibiting Fungal Growth and Triggering Fruit Defense. Foods 2023, 12, 3458. [Google Scholar] [CrossRef]
- Ismail, A.M.; Mosa, M.A.; El-Ganainy, S.M. Chitosan-Decorated Copper Oxide Nanocomposite: Investigation of Its Antifungal Activity against Tomato Gray Mold Caused by Botrytis cinerea. Polymers 2023, 15, 1099. [Google Scholar] [CrossRef]
- Morales, P.; González, M.; Salvatierra-Martínez, R.; Araya, M.; Ostria-Gallardo, E.; Stoll, A. New Insights into Bacillus-Primed Plant Responses to a Necrotrophic Pathogen Derived from the Tomato-Botrytis Pathosystem. Microorganisms 2022, 10, 1547. [Google Scholar] [CrossRef]
- Zhang, X.; Li, D.; Luo, Z.; Xu, Y. (E)-2-hexenal fumigation control the gray mold on fruits via consuming glutathione of Botrytis cinerea. Food Chem. 2024, 432, 137146. [Google Scholar] [CrossRef] [PubMed]
- Elshafie, H.S.; Camele, I. Rhizospheric Actinomycetes Revealed Antifungal and Plant-Growth-Promoting Activities under Controlled Environment. Plants 2022, 11, 1872. [Google Scholar] [CrossRef]
- Chen, H.; Li, L.; Lu, Y.; Shen, Y.; Zhang, M.; Ge, L.; Wang, M.; Yang, J.; Tian, Z.; Tang, X. Azoxystrobin Reduces Oral Carcinogenesis by Suppressing Mitochondrial Complex III Activity and Inducing Apoptosis. Cancer Manag. Res. 2020, 12, 11573–11583. [Google Scholar] [CrossRef] [PubMed]
- Liang, S.; Xu, X.; Lu, Z. Effect of azoxystrobin fungicide on the physiological and biochemical indices and ginsenoside contents of ginseng leaves. J. Ginseng Res. 2018, 42, 175–182. [Google Scholar] [CrossRef] [PubMed]
- Yang, L.; Huang, T.; Li, R.; Souders, C.L.; Rheingold, S.; Tischuk, C.; Li, N.; Zhou, B.; Martyniuk, C.J. Evaluation and comparison of the mitochondrial and developmental toxicity of three strobilurins in zebrafish embryo/larvae. Environ. Pollut. 2021, 270, 116277. [Google Scholar] [CrossRef] [PubMed]
- Yaderets, V.V.; Karpova, N.V.; Glagoleva, E.V.; Ovchinnikov, A.I.; Petrova, K.S.; Dzhavakhiya, V.V. Inhibition of the Growth and Development of Sclerotinia sclerotiorum (Lib.) De Bary by Combining Azoxystrobin, Penicillium chrysogenum VKM F-4876d, and Bacillus Strains. Agronomy 2021, 11, 2520. [Google Scholar] [CrossRef]
- Abdelraheem, E.M.H.; Hassan, S.M.; Arief, M.M.H.; Mohammad, S.G. Validation of quantitative method for azoxystrobin residues in green beans and peas. Food Chem. 2015, 182, 246–250. [Google Scholar] [CrossRef] [PubMed]
- Yao, J.; Cui, B.; Zhao, X.; Zhi, H.; Zeng, Z.; Wang, Y.; Sun, C.; Liu, G.; Gao, J.; Cui, H. Antagonistic Effect of Azoxystrobin Poly (Lactic Acid) Microspheres with Controllable Particle Size on Colletotrichum higginsianum Sacc. Nanomaterials 2018, 8, 857. [Google Scholar] [CrossRef] [PubMed]
- Yao, J.; Cui, B.; Zhao, X.; Wang, Y.; Zeng, Z.; Sun, C.; Yang, D.; Liu, G.; Gao, J.; Cui, H. Preparation, characterization, and evaluation of azoxystrobin nanosuspension produced by wet media milling. Appl. Nanosci. 2018, 8, 297–307. [Google Scholar] [CrossRef]
- Ghosh, R.K.; Singh, N. Leaching behaviour of azoxystrobin and metabolites in soil columns. Pest Manag. Sci. 2009, 65, 1009–1014. [Google Scholar] [CrossRef]
- Cao, F.; Zhu, L.; Li, H.; Yu, S.; Wang, C.; Qiu, L. Reproductive toxicity of azoxystrobin to adult zebrafish (Danio rerio). Environ. Pollut. 2016, 219, 1109–1121. [Google Scholar] [CrossRef]
- Du, B.; Zhang, Z.; Liu, W.; Ye, Y.; Lu, T.; Zhou, Z.; Li, Y.; Fu, Z.; Qian, H. Acute toxicity of the fungicide azoxystrobin on the diatom Phaeodactylum tricornutum. Ecotoxicol. Environ. Saf. 2019, 168, 72–79. [Google Scholar] [CrossRef] [PubMed]
- Zhang, J.; Zhang, C.; Zhang, Y.; Du, Z.; Li, B.; Wang, J.; Wang, J.; Zhu, L. Analysis of the toxic mechanisms of fluoxastrobin on the earthworm (Eisenia fetida) using transcriptomics. Chemosphere 2023, 326, 138449. [Google Scholar] [CrossRef]
- Liu, B.; Wang, Y.; Yang, F.; Wang, X.; Shen, H.; Cui, H.; Wu, D. Construction of a controlled-release delivery system for pesticides using biodegradable PLA-based microcapsules. Colloids Surf. B Biointerfaces 2016, 144, 38–45. [Google Scholar] [CrossRef] [PubMed]
- Gao, Y.; Xu, M.; Zheng, Z.; Wan, Y.; Wu, S.; Li, C. Preparation of ZIF-8 and Its Application in Determination of Pyridoxine and Pyridoxal in Ginkgo Seeds by Ultra-Performance Liquid Chromatography. Foods 2022, 11, 2014. [Google Scholar] [CrossRef]
- Li, J.; Jiang, Q.; Han, Z.; Ren, Y.; Zhang, J.; Sun, L.; Cheng, Z. Preparation of diatomite-based SA@ZIF-8 composite microspheres by electrostatic spray method and its adsorption performance for Cu(II). Mater. Lett. 2023, 347, 134646. [Google Scholar] [CrossRef]
- Ma, S.; Ji, Y.; Dong, Y.; Chen, S.; Wang, Y.; Lü, S. An environmental-friendly pesticide-fertilizer combination fabricated by in-situ synthesis of ZIF-8. Sci. Total Environ. 2021, 789, 147845. [Google Scholar] [CrossRef]
- Natasha, N.; Shahid, M.; Bibi, I.; Iqbal, J.; Khalid, S.; Murtaza, B.; Bakhat, H.F.; Farooq, A.B.U.; Amjad, M.; Hammad, H.M.; et al. Zinc in soil-plant-human system: A data-analysis review. Sci. Total Environ. 2022, 808, 152024. [Google Scholar] [CrossRef]
- Wang, C.-Y.; Jia, C.; Zhang, M.-Z.; Yang, S.; Qin, J.-C.; Yang, Y.-W. A Lesion Microenvironment-Responsive Fungicide Nanoplatform for Crop Disease Prevention and Control. Adv. Healthc. Mater. 2022, 11, 2102617. [Google Scholar] [CrossRef] [PubMed]
- Ma, Y.; Zhao, R.; Shang, H.; Zhen, S.; Li, L.; Guo, X.; Yu, M.; Xu, Y.; Feng, J.; Wu, X. pH-Responsive ZIF-8-Based Metal–Organic-Framework Nanoparticles for Termite Control. ACS Appl. Nano Mater. 2022, 5, 11864–11875. [Google Scholar] [CrossRef]
- Luo, M.; Zhu, C.; Chen, Q.; Song, F.; Hao, W.; Shen, Z.; Konhauser, K.O.; Alessi, D.S.; Zhong, C. In-situ growth of ZIF-8 nanocrystals on biochar for boron adsorption. Colloids Surf. A Physicochem. Eng. Asp. 2023, 657, 130504. [Google Scholar] [CrossRef]
- Zhang, J.; Huang, D.; Shao, J.; Zhang, X.; Zhang, S.; Yang, H.; Chen, H. A new nitrogen-enriched biochar modified by ZIF-8 grafting and annealing for enhancing CO2 adsorption. Fuel Process. Technol. 2022, 231, 107250. [Google Scholar] [CrossRef]
- Busatto, C.; Pesoa, J.; Helbling, I.; Luna, J.; Estenoz, D. Effect of particle size, polydispersity and polymer degradation on progesterone release from PLGA microparticles: Experimental and mathematical modeling. Int. J. Pharm. 2018, 536, 360–369. [Google Scholar] [CrossRef] [PubMed]
- She, C.; Chen, K.; Jin, S.; Li, L.; Chen, S.; Liu, H.; Liu, W.; Bao, F. A computational strategy in consideration of the crystal surface structures for the crystal morphology prediction of energetic material. Chem. Phys. Lett. 2020, 761, 138026. [Google Scholar] [CrossRef]
- Tran, R.; Xu, Z.; Radhakrishnan, B.; Winston, D.; Sun, W.; Persson, K.A.; Ong, S.P. Surface energies of elemental crystals. Sci. Data 2016, 3, 160080. [Google Scholar] [CrossRef]
- Huang, W.; Wang, M.; Hu, Z.; Yang, T.; Pei, H.; Zhang, F. Multifunctional metal-organic framework with pH-response for co-delivery of prochloraz and siRNA to synergistic control pathogenic fungi. Colloids Surf. A Physicochem. Eng. Asp. 2023, 670, 131563. [Google Scholar] [CrossRef]
- Ren, L.; Zhao, J.; Li, W.; Li, Q.; Zhang, D.; Fang, W.; Yan, D.; Li, Y.; Wang, Q.; Jin, X.; et al. Site-Specific Controlled-Release Imidazolate Framework-8 for Dazomet Smart Delivery to Improve the Effective Utilization Rate and Reduce Biotoxicity. J. Agric. Food Chem. 2022, 70, 5993–6005. [Google Scholar] [CrossRef] [PubMed]
- Chen, H.; Shan, Y.; Cao, L.; Zhao, P.; Cao, C.; Li, F.; Huang, Q. Enhanced Fungicidal Efficacy by Co-Delivery of Azoxystrobin and Diniconazole with Cauliflower-like Metal–Organic Frameworks NH2-Al-MIL-101. Int. J. Mol. Sci. 2021, 22, 10412. [Google Scholar] [CrossRef] [PubMed]
- Ahmad, S.Z.N.; Salleh, W.N.W.; Yusof, N.; Yusop, M.Z.M.; Hamdan, R.; Ismail, A.F. Synthesis of zeolitic imidazolate framework-8 (ZIF-8) using different solvents for lead and cadmium adsorption. Appl. Nanosci. 2023, 13, 4005–4019. [Google Scholar] [CrossRef]
- Liang, Y.; Wang, S.; Jia, H.; Yao, Y.; Song, J.; Dong, H.; Cao, Y.; Zhu, F.; Huo, Z. Pectin functionalized metal-organic frameworks as dual-stimuli-responsive carriers to improve the pesticide targeting and reduce environmental risks. Colloids Surf. B Biointerfaces 2022, 219, 112796. [Google Scholar] [CrossRef]
- Gao, Y.; Liang, Y.; Zhou, Z.; Yang, J.; Tian, Y.; Niu, J.; Tang, G.; Tang, J.; Chen, X.; Li, Y.; et al. Metal-organic framework nanohybrid carrier for precise pesticide delivery and pest management. Chem. Eng. J. 2021, 422, 130143. [Google Scholar] [CrossRef]
- NY/T 1156.2-2006; Pesticides Guidelines for Laboratory Bioactivity Tests Part 2: Petri Plate Test for Determining Fungicide Inhibition of Mycelial Growth. China Agricultural Press: Beijing, China, 2006.
- NY/T 1156.10-2008; Guideline for Laboratory Bioassay of Pesticides Part 10 Potted Plant for Fungicide Control Botrytis cinerea Pers. Ministry of Agriculture of the PRC: Beijing, China, 2008.










| Entry | Mass Ratio a | Loading Content (%) | Encapsulation Efficiency (%) |
|---|---|---|---|
| 1 | 1:2 | 6.57 ± 0.27 | 14.06 ± 0.18 |
| 2 | 1:1 | 10.34 ± 0.23 | 11.53 ± 0.25 |
| 3 | 2:1 | 14.69 ± 0.34 | 8.61 ± 0.28 |
| 4 | 3:1 | 19.83 ± 0.25 | 8.27 ± 0.30 |
| Models | pH Values | K | n | R2 |
|---|---|---|---|---|
| Zero-order | 4.8 | 1.3617 | 0.8200 | |
| 7.0 | 1.1640 | 0.9060 | ||
| 8.2 | 0.9441 | 0.8738 | ||
| First-order | 4.8 | 0.0603 | 0.9916 | |
| 7.0 | 0.0353 | 0.9931 | ||
| 8.2 | 0.0383 | 0.9937 | ||
| Korsmeyer–Peppas | 4.8 | 20.5761 | 0.3853 | 0.9927 |
| 7.0 | 6.4279 | 0.5836 | 0.9788 | |
| 8.2 | 7.5656 | 0.5117 | 0.9785 |
Disclaimer/Publisher’s Note: The statements, opinions and data contained in all publications are solely those of the individual author(s) and contributor(s) and not of MDPI and/or the editor(s). MDPI and/or the editor(s) disclaim responsibility for any injury to people or property resulting from any ideas, methods, instructions or products referred to in the content. |
© 2023 by the authors. Licensee MDPI, Basel, Switzerland. This article is an open access article distributed under the terms and conditions of the Creative Commons Attribution (CC BY) license (https://creativecommons.org/licenses/by/4.0/).
Share and Cite
Han, X.; Qian, Y.; Li, J.; Zhang, Z.; Guo, J.; Zhang, N.; Liu, L.; Cheng, Z.; Yu, X. Preparation of Azoxystrobin-Zinc Metal–Organic Framework/Biomass Charcoal Composite Materials and Application in the Prevention and Control of Gray Mold in Tomato. Int. J. Mol. Sci. 2023, 24, 15609. https://doi.org/10.3390/ijms242115609
Han X, Qian Y, Li J, Zhang Z, Guo J, Zhang N, Liu L, Cheng Z, Yu X. Preparation of Azoxystrobin-Zinc Metal–Organic Framework/Biomass Charcoal Composite Materials and Application in the Prevention and Control of Gray Mold in Tomato. International Journal of Molecular Sciences. 2023; 24(21):15609. https://doi.org/10.3390/ijms242115609
Chicago/Turabian StyleHan, Xiao, Yinjie Qian, Jiapeng Li, Zhongkai Zhang, Jinbo Guo, Ning Zhang, Longyu Liu, Zhiqiang Cheng, and Xiaobin Yu. 2023. "Preparation of Azoxystrobin-Zinc Metal–Organic Framework/Biomass Charcoal Composite Materials and Application in the Prevention and Control of Gray Mold in Tomato" International Journal of Molecular Sciences 24, no. 21: 15609. https://doi.org/10.3390/ijms242115609
APA StyleHan, X., Qian, Y., Li, J., Zhang, Z., Guo, J., Zhang, N., Liu, L., Cheng, Z., & Yu, X. (2023). Preparation of Azoxystrobin-Zinc Metal–Organic Framework/Biomass Charcoal Composite Materials and Application in the Prevention and Control of Gray Mold in Tomato. International Journal of Molecular Sciences, 24(21), 15609. https://doi.org/10.3390/ijms242115609
