Effect of Chitosan on the Number of Streptococcus mutans in Saliva: A Meta-Analysis and Systematic Review
Abstract
:1. Introduction
2. Methods
2.1. Eligibility Criteria
2.2. Information Sources
2.3. Selection Process and Data Collection
2.4. Study Risk of Bias Assessment
2.5. Synthesis Methods
3. Results and Discussion
3.1. Study Selection
3.2. Characteristics of the Studies Included
3.3. Results of Individual Studies and the Synthesis
3.3.1. The Difference of the Mean Differences (CFU/mL) when Using Chitosan and Placebo
3.3.2. Pooled Values of Before–After Control CFU/mL
3.3.3. Pooled Values of Before–After Intervention CFU/mL
3.3.4. Risk of Bias in Studies and Certainty of Evidence
3.4. Discussion
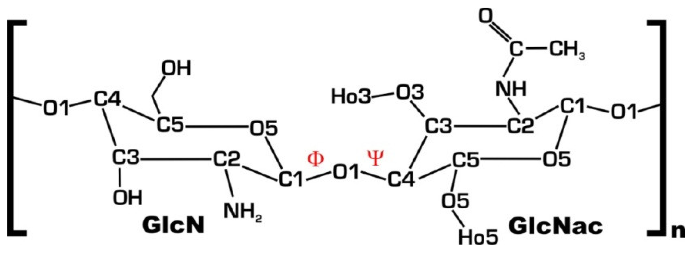
3.4.1. Molecular Structure of Chitosan
3.4.2. Chitosan Applications in Dentistry
3.4.3. Analysis
3.4.4. Strengths and Limitations
3.4.5. Implications for Practice and Research
4. Conclusions
Supplementary Materials
Author Contributions
Funding
Institutional Review Board Statement
Informed Consent Statement
Data Availability Statement
Conflicts of Interest
References
- Bae, K.; Jun, E.J.; Lee, S.M.; Paik, D.I.; Kim, J.B. Effect of water-soluble reduced chitosan on Streptococcus mutans, plaque regrowth and biofilm vitality. Clin. Oral. Investig. 2006, 10, 102–107. [Google Scholar] [CrossRef]
- Fujiwara, M.; Hayashi, Y.; Ohara, N. Inhibitory effect of water-soluble chitosan on growth of Streptococcus mutans. New Microbiol. 2004, 27, 83–86. [Google Scholar]
- Helander, I.M.; Latva-Kala, K.; Lounatmaa, K. Permeabilizing action of polyethyleneimine on Salmonella typhimurium involves disruption of the outer membrane and interactions with lipopolysaccharide. Microbiology 1998, 144, 385–390. [Google Scholar] [CrossRef]
- Sano, H.; Shibasaki, K.-I.; Matsukubo, T.; Takaesu, Y. Effect of chitosan rinsing on reduction of dental plaque formation. Bull. Tokyo Dent. Coll. 2003, 44, 9–16. [Google Scholar] [CrossRef]
- Englander, H.R.; Keyes, P.H. Control of Streptococcus mutans, plaque, and dental caries in hamsters with topically applied vancomycin. Arch. Oral Biol. 1971, 16, 469–472. [Google Scholar] [CrossRef]
- Qiu, W.; Zhou, Y.; Li, Z.; Huang, T.; Xiao, Y.; Cheng, L.; Peng, X.; Zhang, L.; Ren, B. Application of Antibiotics/Antimicrobial Agents on Dental Caries. BioMed Res. Int. 2020, 2020, 5658212. [Google Scholar] [CrossRef]
- DePaola, P.F.; Jordan, H.V.; Soparkar, P.M. Inhibition of dental caries in school children by topically applied vancomycin. Arch Oral Biol. 1977, 22, 187–191. [Google Scholar] [CrossRef]
- Yilmaz Atay, H. Antibacterial Activity of Chitosan-Based Systems. In Functional Chitosan: Drug Delivery and Biomedical Applications; Springer: Singapore, 2020; pp. 457–489. [Google Scholar] [CrossRef]
- Wei, X.Y.; Xia, W.; Zhou, T. Antibacterial activity and action mechanism of a novel chitosan oligosaccharide derivative against dominant spoilage bacteria isolated from shrimp Penaeus vannamei. Lett. Appl. Microbiol. 2022, 74, 268–276. [Google Scholar] [CrossRef]
- Khajavian, M.; Vatanpour, V.; Castro-Muñoz, R.; Boczkaj, G. Chitin and derivative chitosan-based structures—Preparation strategies aided by deep eutectic solvents: A review. Carbohydr. Polym. 2022, 275, 118702. [Google Scholar] [CrossRef]
- Riaz Rajoka, M.S.; Zhao, L.; Mehwish, H.M.; Wu, Y.; Mahmood, S. Chitosan and its derivatives: Synthesis, biotechnological applications, and future challenges. Appl. Microbiol. Biotechnol. 2019, 103, 1557–1571. [Google Scholar] [CrossRef]
- Satitsri, S.; Muanprasat, C. Chitin and Chitosan Derivatives as Biomaterial Resources for Biological and Biomedical Applications. Molecules 2020, 25, 5961. [Google Scholar] [CrossRef]
- Younes, I.; Rinaudo, M. Chitin and chitosan preparation from marine sources. Structure, properties and applications. Mar. Drugs 2015, 13, 1133–1174. [Google Scholar] [CrossRef]
- Jensen, D.M.; Han, P.; Mangala, L.S.; Lopez-Berestein, G.; Sood, A.K.; Liu, J.; Kriegel, A.J.; Usa, K.; Widlansky, M.E.; Liang, M. Broad-acting therapeutic effects of miR-29b-chitosan on hypertension and diabetic complications. Mol. Ther. 2022, 30, 3462–3476. [Google Scholar] [CrossRef]
- Mehrabi, M.; Montazeri, H.; Mohamadpour Dounighi, N.; Rashti, A.; Vakili-Ghartavol, R. Chitosan-based Nanoparticles in Mucosal Vaccine Delivery. Arch Razi. Inst. 2018, 73, 165–176. [Google Scholar] [CrossRef]
- Lütjohann, D.; Marinova, M.; Wolter, K.; Willinek, W.; Bitterlich, N.; Coenen, M.; Coch, C.; Stellaard, F. Influence of Chitosan Treatment on Surrogate Serum Markers of Cholesterol Metabolism in Obese Subjects. Nutrients 2018, 10, 72. [Google Scholar] [CrossRef]
- Patrulea, V.; Ostafe, V.; Borchard, G.; Jordan, O. Chitosan as a starting material for wound healing applications. Eur. J. Pharm. Biopharm. 2015, 97 Pt B, 417–426. [Google Scholar] [CrossRef]
- Struzycka, I. The oral microbiome in dental caries. Pol. J. Microbiol. 2014, 63, 127–135. [Google Scholar] [CrossRef]
- Lemos, J.A.; Palmer, S.R.; Zeng, L.; Wen, Z.T.; Kajfasz, J.K.; Freires, I.A.; Abranches, J.; Brady, L.J. The Biology of Streptococcus mutans. Microbiol. Spectr. 2019, 7, GPP3-0051-2018. [Google Scholar] [CrossRef] [PubMed]
- Nakano, K.; Ooshima, T. Serotype classification of Streptococcus mutans and its detection outside the oral cavity. Future Microbiol. 2009, 4, 891–902. [Google Scholar] [CrossRef] [PubMed]
- Figuero, E.; Nóbrega, D.F.; García-Gargallo, M.; Tenuta, L.M.; Herrera, D.; Carvalho, J.C. Mechanical and chemical plaque control in the simultaneous management of gingivitis and caries: A systematic review. J. Clin. Periodontol. 2017, 44 (Suppl. S18), S116–S134. [Google Scholar] [CrossRef] [PubMed]
- Oztaş, N.; Bodur, H.; Olmez, A.; Berkkan, A.; Cula, S. The efficacy of a fluoride chewing gum on salivary fluoride concentration and plaque pH in children. J. Dent. 2004, 32, 471–477. [Google Scholar] [CrossRef]
- Imfeld, T. Chewing gum--facts and fiction: A review of gum-chewing and oral health. Crit. Rev. Oral Biol. Med. 1999, 10, 405–419. [Google Scholar] [CrossRef] [PubMed]
- Dodds, M.W.; Chidichimo, D.; Haas, M.S. Delivery of active agents from chewing gum for improved remineralization. Adv. Dent. Res. 2012, 24, 58–62. [Google Scholar] [CrossRef]
- Hayashi, Y.; Ohara, N.; Ganno, T.; Ishizaki, H.; Yanagiguchi, K. Chitosan-containing gum chewing accelerates antibacterial effect with an increase in salivary secretion. J. Dent. 2007, 35, 871–874. [Google Scholar] [CrossRef] [PubMed]
- Hayashi, Y.; Ohara, N.; Ganno, T.; Yamaguchi, K.; Ishizaki, T.; Nakamura, T.; Sato, M. Chewing chitosan-containing gum effectively inhibits the growth of cariogenic bacteria. Arch. Oral Biol. 2007, 52, 290–294. [Google Scholar] [CrossRef] [PubMed]
- Khamverdi, Z.; Farhadian, F.; Khazaei, S.; Adabi, M. Efficacy of chitosan-based chewing gum on reducing salivary S. mutans counts and salivary pH: A randomised clinical trial. Acta Odontol. Scand. 2021, 79, 268–274. [Google Scholar] [CrossRef]
- Beck, B.H.; Yildirim-Aksoy, M.; Shoemaker, C.A.; Fuller, S.A.; Peatman, E. Antimicrobial activity of the biopolymer chitosan against Streptococcus iniae. J. Fish Dis. 2019, 42, 371–377. [Google Scholar] [CrossRef]
- Matica, M.A.; Aachmann, F.L.; Tøndervik, A.; Sletta, H.; Ostafe, V. Chitosan as a Wound Dressing Starting Material: Antimicrobial Properties and Mode of Action. Int. J. Mol. Sci. 2019, 20, 5889. [Google Scholar] [CrossRef]
- Moraru, C.; Mincea, M.M.; Frandes, M.; Timar, B.; Ostafe, V. A Meta-Analysis on Randomised Controlled Clinical Trials Evaluating the Effect of the Dietary Supplement Chitosan on Weight Loss, Lipid Parameters and Blood Pressure. Medicina 2018, 54, 109. [Google Scholar] [CrossRef]
- Ji, H.; Wang, J.; Chen, F.; Fan, N.; Wang, X.; Xiao, Z.; Wang, Z. Meta-analysis of chitosan-mediated effects on plant defense against oxidative stress. Sci. Total Environ. 2022, 851, 158212. [Google Scholar] [CrossRef]
- Harahap, R.P.; Suharti, S.; Ridla, M.; Laconi, E.B.; Nahrowi, N.; Irawan, A.; Kondo, M.; Obitsu, T.; Jayanegara, A. Meta-analysis of dietary chitosan effects on performance, nutrient utilization, and product characteristics of ruminants. Anim. Sci. J. 2022, 93, e13676. [Google Scholar] [CrossRef]
- Guo, W.; Yi, L.; Zhou, B.; Li, M. Chitosan modifies glycemic levels in people with metabolic syndrome and related disorders: Meta-analysis with trial sequential analysis. Nutr. J. 2020, 19, 130. [Google Scholar] [CrossRef] [PubMed]
- Higgins, J.P.T.; Chandler, J.; Cumpston, M.; Li, T.; Page, M.J.; Welch, V.A. Cochrane Handbook for Systematic Reviews of Interventions Version 6.3 (Updated February 2022). Available online: http://www.training.cochrane.org/handbook (accessed on 15 April 2023).
- Hosseinpour Nader, A.; Sodagar, A.; Akhavan, A.; Pourhajibagher, M.; Bahador, A. Antibacterial Effects of Orthodontic Primer Harboring Chitosan Nanoparticles against the Multispecies Biofilm of Cariogenic Bacteria in a Rat Model. Folia Med. 2020, 62, 817–824. [Google Scholar] [CrossRef]
- Dai, T.; Tanaka, M.; Huang, Y.Y.; Hamblin, M.R. Chitosan preparations for wounds and burns: Antimicrobial and wound-healing effects. Expert. Rev. Anti. Infect. Ther. 2011, 9, 857–879. [Google Scholar] [CrossRef]
- Elviri, L.; Bianchera, A.; Bergonzi, C.; Bettini, R. Controlled local drug delivery strategies from chitosan hydrogels for wound healing. Expert Opin. Drug Deliv. 2017, 14, 897–908. [Google Scholar] [CrossRef] [PubMed]
- Vigani, B.; Rossi, S.; Sandri, G.; Bonferoni, M.C.; Caramella, C.M.; Ferrari, F. Hyaluronic acid and chitosan-based nanosystems: A new dressing generation for wound care. Expert. Opin. Drug. Deliv. 2019, 16, 715–740. [Google Scholar] [CrossRef] [PubMed]
- Matalqah, S.M.; Aiedeh, K.; Mhaidat, N.M.; Alzoubi, K.H.; Bustanji, Y.; Hamad, I. Chitosan Nanoparticles as a Novel Drug Delivery System: A Review Article. Curr. Drug Targets 2020, 21, 1613–1624. [Google Scholar] [CrossRef]
- Bharathi, R.; Ganesh, S.S.; Harini, G.; Vatsala, K.; Anushikaa, R.; Aravind, S.; Abinaya, S.; Selvamurugan, N. Chitosan-based scaffolds as drug delivery systems in bone tissue engineering. Int. J. Biol. Macromol. 2022, 222, 132–153. [Google Scholar] [CrossRef] [PubMed]
- Ahsan, S.M.; Thomas, M.; Reddy, K.K.; Sooraparaju, S.G.; Asthana, A.; Bhatnagar, I. Chitosan as biomaterial in drug delivery and tissue engineering. Int. J. Biol. Macromol. 2018, 110, 97–109. [Google Scholar] [CrossRef]
- Aguilar, A.; Zein, N.; Harmouch, E.; Hafdi, B.; Bornert, F.; Offner, D.; Clauss, F.; Fioretti, F.; Huck, O.; Benkirane-Jessel, N.; et al. Application of Chitosan in Bone and Dental Engineering. Molecules 2019, 24, 3009. [Google Scholar] [CrossRef]
- Upadhyaya, L.; Singh, J.; Agarwal, V.; Tewari, R.P. The implications of recent advances in carboxymethyl chitosan based targeted drug delivery and tissue engineering applications. J. Control Release 2014, 186, 54–87. [Google Scholar] [CrossRef] [PubMed]
- Pandiyan, I.; Rathinavelu, P.K.; Arumugham, M.I.; Srisakthi, D.; Balasubramaniam, A. Efficacy of Chitosan and Chlorhexidine Mouthwash on Dental Plaque and Gingival Inflammation: A Systematic Review. Cureus 2022, 14, e23318. [Google Scholar] [CrossRef]
- Camacho-Alonso, F.; Julián-Belmonte, E.; Chiva-García, F.; Martínez-Beneyto, Y. Bactericidal Efficacy of Photodynamic Therapy and Chitosan in Root Canals Experimentally Infected with Enterococcus faecalis: An In Vitro Study. Photomed. Laser Surg. 2017, 35, 184–189. [Google Scholar] [CrossRef] [PubMed]
- Yaroslavov, A.A.; Efimova, A.A.; Krasnikov, E.A.; Trosheva, K.S.; Popov, A.S.; Melik-Nubarov, N.S.; Krivtsov, G.G. Chitosan-based multi-liposomal complexes: Synthesis, biodegradability and cytotoxicity. Int. J. Biol. Macromol. 2021, 177, 455–462. [Google Scholar] [CrossRef] [PubMed]
- Richard, A.C.; Thereza, A.S.; Victor, H.R.; Frederico, J.S.P.; Eduardo, F.F.; Roberto, D.L. The Molecular Structure and Conformational Dynamics of Chitosan Polymers: An Integrated Perspective from Experiments and Computational Simulations. In The Complex World of Polysaccharides; Desiree Nedra, K., Ed.; IntechOpen: Rijeka, Croatia, 2012; p. 9. [Google Scholar] [CrossRef]
- Chen, S.; Ma, X.; Han, Y.; Wei, Y.; Guo, Q.; Yang, S.; Zhang, Y.; Liao, W.; Gao, Y. Effect of chitosan molecular weight on zein-chitosan nanocomplexes: Formation, characterization, and the delivery of quercetagetin. Int. J. Biol. Macromol. 2020, 164, 2215–2223. [Google Scholar] [CrossRef]
- Anggani, H.S.; Perdana, R.G.; Siregar, E.; Bachtiar, E.W. The effect of coating chitosan on Porphyromonas gingivalis biofilm formation in the surface of orthodontic mini-implant. J. Adv. Pharm. Technol. Res. 2021, 12, 84–88. [Google Scholar] [CrossRef] [PubMed]
- Xu, C.; Lei, C.; Meng, L.; Wang, C.; Song, Y. Chitosan as a barrier membrane material in periodontal tissue regeneration. J. Biomed. Mater. Res. B Appl. Biomater. 2012, 100, 1435–1443. [Google Scholar] [CrossRef]
- Thangavelu, A.; Stelin, K.S.; Vannala, V.; Mahabob, N.; Hayyan, F.M.B.; Sundaram, R. An Overview of Chitosan and Its Role in Periodontics. J. Pharm. Bioallied. Sci. 2021, 13 (Suppl. S1), S15–S18. [Google Scholar] [CrossRef]
- Tanaka, C.B.; Lopes, D.P.; Kikuchi, L.N.T.; Moreira, M.S.; Catalani, L.H.; Braga, R.R.; Kruzic, J.J.; Gonçalves, F. Development of novel dental restorative composites with dibasic calcium phosphate loaded chitosan fillers. Dent. Mater. 2020, 36, 551–559. [Google Scholar] [CrossRef]
- Baldrick, P. The safety of chitosan as a pharmaceutical excipient. Regul. Toxicol. Pharmacol. 2010, 56, 290–299. [Google Scholar] [CrossRef]
- Hegyi, P.; Erőss, B.; Izbéki, F.; Párniczky, A.; Szentesi, A. Accelerating the translational medicine cycle: The Academia Europaea pilot. Nat. Med. 2021, 27, 1317–1319. [Google Scholar] [CrossRef] [PubMed]
- Hegyi, P.; Petersen, O.H.; Holgate, S.; Erőss, B.; Garami, A.; Szakács, Z.; Dobszai, D.; Balaskó, M.; Kemény, L.; Peng, S.; et al. Academia Europaea Position Paper on Translational Medicine: The Cycle Model for Translating Scientific Results into Community Benefits. J. Clin. Med. 2020, 9, 1532. [Google Scholar] [CrossRef] [PubMed]






| First Author | Year of Publication | DOI | Study Design | Country | Mean Age | No. of Patients in Control | No. of Patients in Intervention | Intervention | Control | Ref. |
|---|---|---|---|---|---|---|---|---|---|---|
| Khamverdi | 2020 | 10.1080/00016357.2020.1836392 | RCT | Iran | 22.74 | 18 | 18 | chitosan | placebo | [27] |
| Hayashi | 2007 | 10.1016/j.jdent.2007.08.004 | RCT | Japan | 32.8 | 6 | 6 | chitosan | placebo | [25] |
| Hayashi | 2006 | 10.1016/j.archoralbio.2006.10.004 | RCT | Japan | 23.7 | 50 | 50 | chitosan | placebo | [26] |
Disclaimer/Publisher’s Note: The statements, opinions and data contained in all publications are solely those of the individual author(s) and contributor(s) and not of MDPI and/or the editor(s). MDPI and/or the editor(s) disclaim responsibility for any injury to people or property resulting from any ideas, methods, instructions or products referred to in the content. |
© 2023 by the authors. Licensee MDPI, Basel, Switzerland. This article is an open access article distributed under the terms and conditions of the Creative Commons Attribution (CC BY) license (https://creativecommons.org/licenses/by/4.0/).
Share and Cite
Róna, V.; Bencze, B.; Kelemen, K.; Végh, D.; Tóth, R.; Kói, T.; Hegyi, P.; Varga, G.; Rózsa, N.K.; Géczi, Z. Effect of Chitosan on the Number of Streptococcus mutans in Saliva: A Meta-Analysis and Systematic Review. Int. J. Mol. Sci. 2023, 24, 15270. https://doi.org/10.3390/ijms242015270
Róna V, Bencze B, Kelemen K, Végh D, Tóth R, Kói T, Hegyi P, Varga G, Rózsa NK, Géczi Z. Effect of Chitosan on the Number of Streptococcus mutans in Saliva: A Meta-Analysis and Systematic Review. International Journal of Molecular Sciences. 2023; 24(20):15270. https://doi.org/10.3390/ijms242015270
Chicago/Turabian StyleRóna, Virág, Bulcsú Bencze, Kata Kelemen, Dániel Végh, Réka Tóth, Tamás Kói, Péter Hegyi, Gábor Varga, Noémi Katinka Rózsa, and Zoltán Géczi. 2023. "Effect of Chitosan on the Number of Streptococcus mutans in Saliva: A Meta-Analysis and Systematic Review" International Journal of Molecular Sciences 24, no. 20: 15270. https://doi.org/10.3390/ijms242015270
APA StyleRóna, V., Bencze, B., Kelemen, K., Végh, D., Tóth, R., Kói, T., Hegyi, P., Varga, G., Rózsa, N. K., & Géczi, Z. (2023). Effect of Chitosan on the Number of Streptococcus mutans in Saliva: A Meta-Analysis and Systematic Review. International Journal of Molecular Sciences, 24(20), 15270. https://doi.org/10.3390/ijms242015270

