Genome-Wide Identification and Analysis of the Genes Encoding Q-Type C2H2 Zinc Finger Proteins in Grapevine
Abstract
1. Introduction
2. Results
2.1. Identification of Q-Type ZFP Gene Family in Grape Genome
2.2. Phylogenetic Analysis of ZFP Proteins in Grape Genomes
2.3. Gene Structure and Conserved Motif Analysis of the ZFP
2.4. Analysis of Cis-Acting Elements of VvZFP, VrZFP, and VaZFP Genes
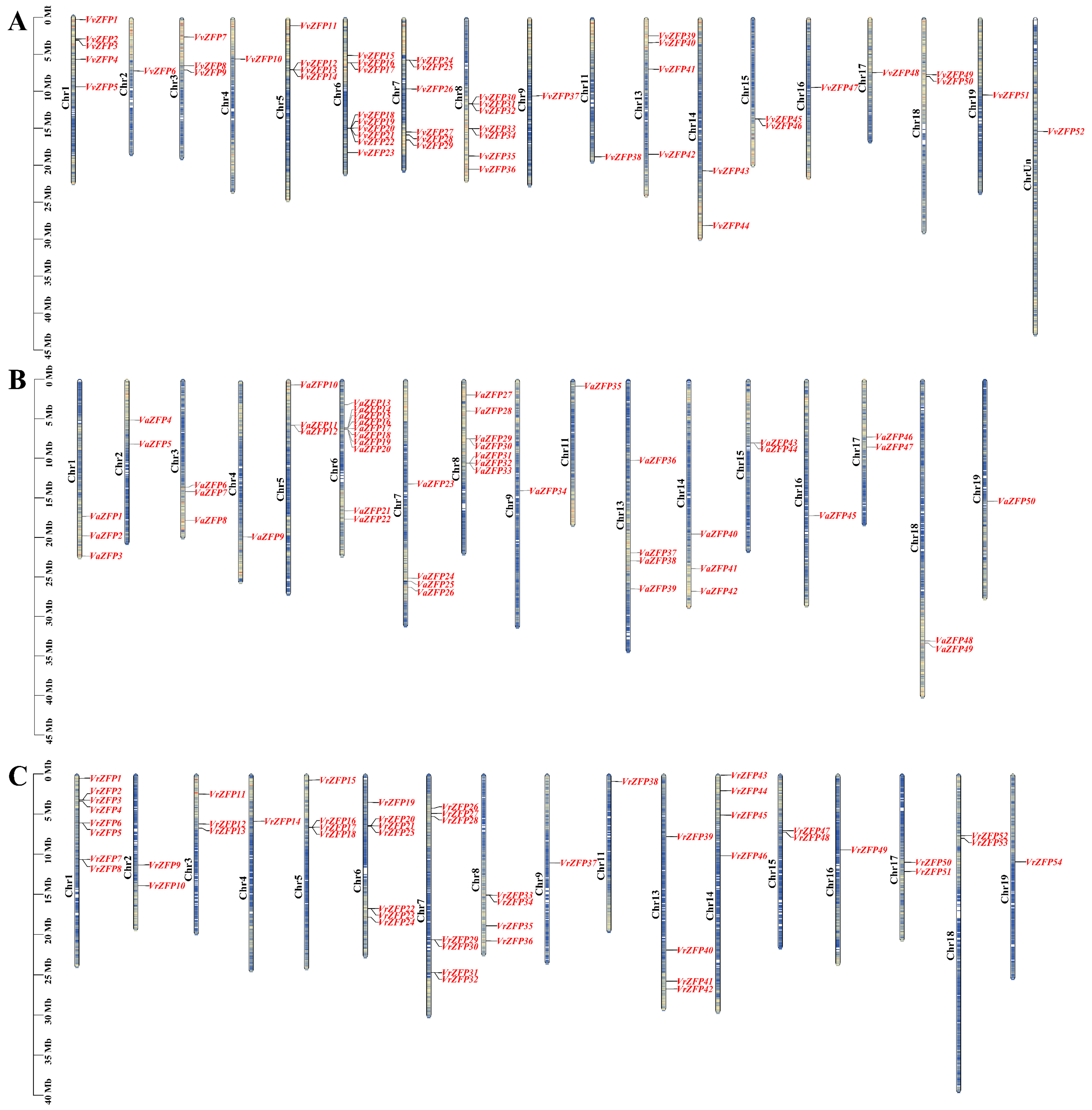
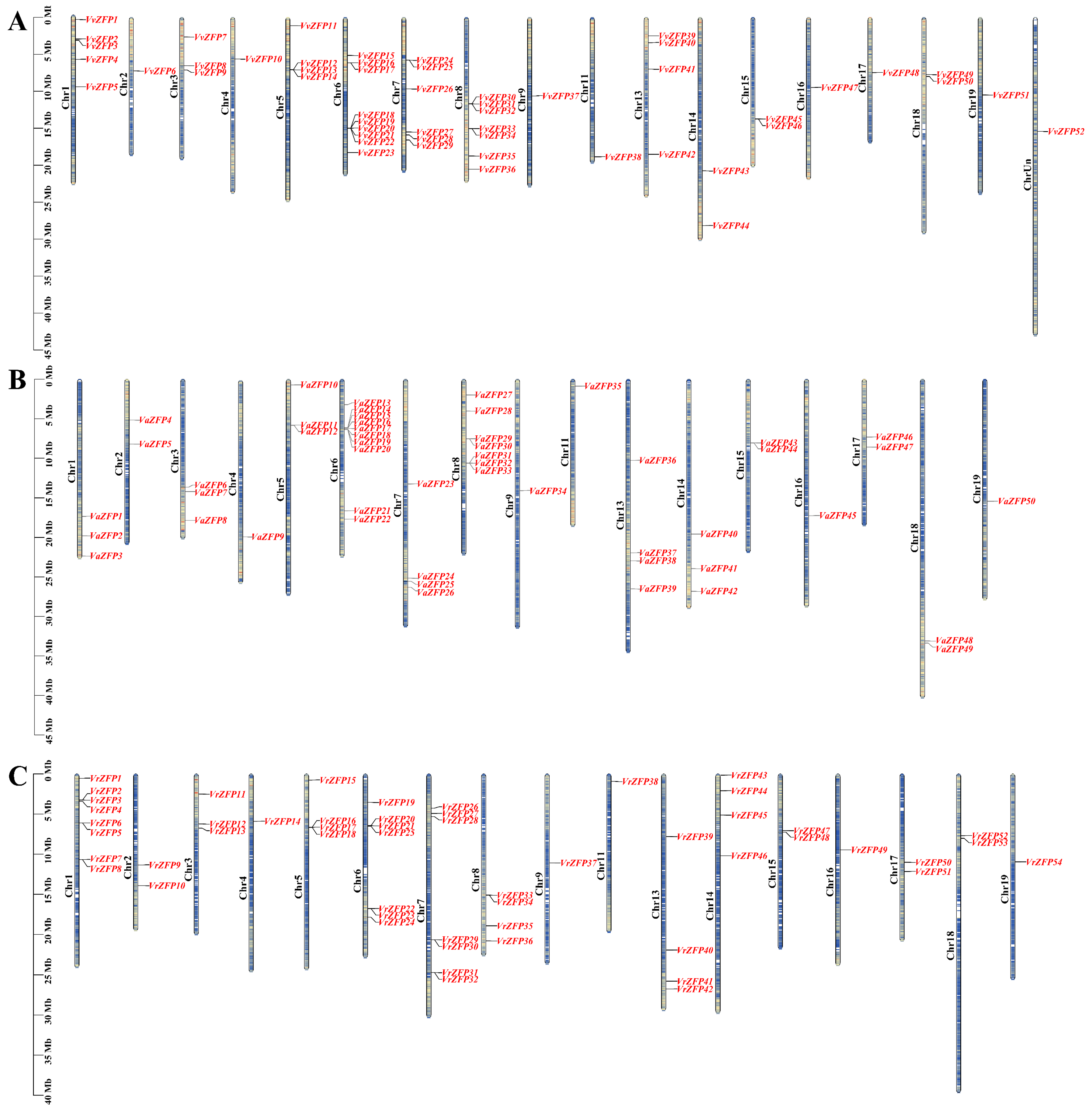
2.5. Chromosomal Localization of ZFP Genes in the Grape Genome
2.6. Analysis of Duplication, Ka/Ks, and Codon Usage Bias of ZFP Genes in Grape Genome
2.7. Analysis of VvZFP Gene Expression
2.8. qRT-PCR Analysis of the VvZFP
2.8.1. Expression of VvZFP Genes under MeJA Treatment
2.8.2. Expression of VvZFP Genes under ABA Treatment
2.8.3. Expression of VvZFP Genes under SA Treatment
2.8.4. Expression of VvZFP Genes under 4 °C Treatment
2.9. Subcellular Localization of VvZFP10 and VvZFP46 Proteins
3. Discussion
3.1. Identification of Q-Type C2H2 ZFPs in Grapes
3.2. Chromosomal Localization, Gene Duplication, Ka/Ks, and Codon Usage Bias Analyses
3.3. Responses to MeJA, ABA, SA, and Low-Temperature (4 °C) Treatments
4. Materials and Methods
4.1. Identification of the VvZFP, VrZFP, and VaZFP Genes
4.2. Physicochemical Property and Subcellular Localization
4.3. Analysis of Phylogenetic Clustering, Cis-Elements, and Protein Conserved Motifs
4.4. Chromosomal Location Analysis of the VvZFP, VrZFP, VaZFP Genes
4.5. Codon Usage Bias Analysis
4.6. Synteny and Evolution Selection Pressure Analyses
4.7. Organization and qRT-PCR Expression Analyses of VvZFP Family Genes
4.8. Cloning and Subcellular Localization Analysis of VvZFP10 and VvZFP46
5. Conclusions
Supplementary Materials
Author Contributions
Funding
Institutional Review Board Statement
Informed Consent Statement
Data Availability Statement
Conflicts of Interest
Abbreviations
References
- Pavletich, N.; Pabo, C. Zinc finger-DNA recognition: Crystal structure of a Zif268-DNA complex at 2.1 A. Science 1991, 252, 809. [Google Scholar] [CrossRef] [PubMed]
- Kim, C.A.; Berg, J.M. A 2.2 resolution crystal structure of a designed zinc finger protein bound to DNA. Nat. Struct. Bol. 1996, 3, 940–945. [Google Scholar] [CrossRef] [PubMed]
- Kim, S.H.; Hong, J.K.; Lee, S.C.; Sohn, K.H.; Jung, H.W.; Hwang, B.K. CAZFP1, Cys2/His2-type zinc-finger transcription factor gene functions as a pathogen-induced early-defense gene in Capsicum annuum. Plant Mol. Biol. 2004, 55, 883–904. [Google Scholar] [CrossRef] [PubMed]
- Takatsuji, H.; Mori, M.; Benfey, P.N.; Ren, L.; Chua, N.H. Characterization of a zinc finger DNA-binding protein expressed specifically in Petunia petals and seedlings. EMBO J. 1992, 11, 241–249. [Google Scholar] [CrossRef] [PubMed]
- Kubo, K.-I.; Sakamoto, A.; Kobayashi, A.; Rybka, Z.; Kanno, Y.; Nakagawa, H.; Nishino, T.; Takatsuji, H. Cys2/His2 zinc-finger protein family of petunia: Evolution and general mechanism of target-sequence recognition. Nucleic Acids Res. 1998, 26, 608–615. [Google Scholar] [CrossRef]
- Kam, J.; Gresshoff, P.M.; Shorter, R.; Xue, G.-P. The Q-type C2H2 zinc finger subfamily of transcription factors in Triticum aestivum is predominantly expressed in roots and enriched with members containing an EAR repressor motif and responsive to drought stress. Plant Mol. Biol. 2008, 67, 05–322. [Google Scholar] [CrossRef]
- Kim, S.H.; Ahn, Y.O.; Ahn, M.-J.; Jeong, J.C.; Lee, H.-S.; Kwak, S.-S. Cloning and characterization of an Orange gene that increases carotenoid accumulation and salt stress tolerance in transgenic sweetpotato cultures. Plant Physiol. Biochem. 2013, 70, 445–454. [Google Scholar] [CrossRef] [PubMed]
- Wang, F.; Tong, W.; Zhu, H.; Kong, W.; Peng, R.; Liu, Q.; Yao, Q. A novel Cys(2)/His(2) zinc finger protein gene from sweetpotato, IbZFP1, is involved in salt and drought tolerance in transgenic Arabidopsis. Planta 2016, 243, 783–797. [Google Scholar] [CrossRef]
- Liu, Z.; Coulter, J.A.; Li, Y.; Zhang, X.; Meng, J.; Zhang, J.; Liu, Y. Genome-wide identification and analysis of the Q-type C2H2 gene family in potato (Solanum tuberosum L.). Int. J. Biol. Macromol. 2020, 153, 327–340. [Google Scholar] [CrossRef]
- Zhang, S.; Liu, J.; Zhong, G.; Wang, B. Genome-Wide Identification and Expression Patterns of the C2H2-Zinc Finger Gene Family Related to Stress Responses and Catechins Accumulation in Camellia sinensis [L.] O. Kuntze. Int. J. Mol. Sci. 2021, 22, 4197. [Google Scholar] [CrossRef]
- Sun, S.; Wang, B.; Jiang, Q.; Li, Z.; Jia, S.; Wang, Y.; Guo, H. Genome-wide analysis of BpDof genes and the tolerance to drought stress in birch (Betula platyphylla). PeerJ 2021, 9, 11938. [Google Scholar] [CrossRef] [PubMed]
- Vogel, V. Mechanotransduction Involving Multimodular Proteins: Converting Force into Biochemical Signals. Annu. Rev. Biophys. Biomol. Struct. 2006, 35, 459–488. [Google Scholar] [CrossRef]
- Rizhsky, L.; Davletova, S.; Liang, H.; Mittler, R. The Zinc Finger Protein Zat12 Is Required for Cytosolic Ascorbate Peroxidase 1 Expression during Oxidative Stress in Arabidopsis. J. Biol. Chem. 2004, 279, 11736–11743. [Google Scholar] [CrossRef] [PubMed]
- Davletova, S.; Schlauch, K.; Coutu, J.; Mittler, R. The zinc-finger protein Zat12 plays a central role in reactive oxygen and abiotic stress signaling in Arabidopsis. Plant Physiol. 2005, 139, 847–856. [Google Scholar] [CrossRef]
- Mittler, R.; Kim, Y.; Song, L.; Coutu, J.; Coutu, A.; Ciftci-Yilmaz, S.; Lee, H.; Stevenson, B.; Zhu, J.-K. Gain- and loss-of-function mutations in Zat10 enhance the tolerance of plants to abiotic stress. FEBS Lett. 2006, 580, 6537–6542. [Google Scholar] [CrossRef]
- Chinnusamy, V.; Zhu, J.; Zhu, J.K. Gene regulation during cold acclimation in plants. Physiol. Plant. 2010, 126, 52–61. [Google Scholar] [CrossRef]
- Kim, J.C.; Lee, S.H.; Cheong, Y.H.; Yoo, C.-M.; Lee, S.I.; Chun, H.J.; Yun, D.-J.; Hong, J.C.; Lee, S.Y.; Lim, C.O.; et al. A novel cold-inducible zinc finger protein from soybean, SCOF-1, enhances cold tolerance in transgenic plants. Plant J. 2001, 25, 247–259. [Google Scholar] [CrossRef]
- Ciftci-Yilmaz, S.; Morsy, M.R.; Song, L.; Coutu, A.; Krizek, B.A.; Lewis, M.W.; Warren, D.; Cushman, J.; Connolly, E.L.; Mittler, R. The EAR-motif of the Cys2/His2-type Zinc Finger Protein Zat7 Plays a Key Role in the Defense Response of Arabidopsis to Salinity Stress. J. Biol. Chem. 2007, 282, 9260–9268. [Google Scholar] [CrossRef] [PubMed]
- Huang, J.; Yang, X.; Wang, M.-M.; Tang, H.-J.; Ding, L.-Y.; Shen, Y.; Zhang, H.-S. A novel rice C2H2-type zinc finger protein lacking DLN-box/EAR-motif plays a role in salt tolerance. Biochim. Biophys. Acta 2007, 1769, 220–227. [Google Scholar] [CrossRef]
- Sugano, S.; Kaminaka, H.; Rybka, Z.; Catala, R.; Salinas, J.; Matsui, K.; Ohme-Takagi, M.; Takatsuji, H. Stress-responsive zinc finger geneZPT2-3plays a role in drought tolerance in petunia. Plant J. 2003, 36, 830–841. [Google Scholar] [CrossRef]
- Sakamoto, H.; Maruyama, K.; Sakuma, Y.; Meshi, T.; Iwabuchi, M.; Shinozaki, K.; Yamaguchi-Shinozaki, K. Arabidopsis Cys2/His2-type zinc-finger proteins function as transcription repressors under drought, cold, and high-salinity stress conditions. Plant Physiol. 2004, 136, 2734–2746. [Google Scholar] [CrossRef] [PubMed]
- Chinnusamy, V.; Schumaker, K.; Zhu, J.-K. Molecular genetic perspectives on cross-talk and specificity in abiotic stress signalling in plants. J. Exp. Bot. 2004, 55, 225–236. [Google Scholar] [CrossRef] [PubMed]
- Englbrecht, C.C.; Schoof, H.; Böhm, S. Conservation, diversification and expansion of C2H2 zinc finger proteins in the Arabidopsis thaliana genome. BMC Genom. 2004, 5, 39. [Google Scholar] [CrossRef] [PubMed]
- Minglei, Y.; Jiangtao, C.; Dawei, W.; Junhua, H.; Hua, W.; Daping, G.; Liu, G. Genome-wide identification and expression profiling of the C2H2 type zinc finger protein transcription factor family in tobacco. Hereditas 2016, 38, 337–349. [Google Scholar] [CrossRef]
- Zhang, S. Genome-wide Identification and Characterization of Zinc Finger Proteins in Cucumber. Master’s Thesis, Chinese Academy of Agricultural Sciences, Beijing, China, 2017. [Google Scholar]
- Agarwal, P.; Arora, R.; Ray, S.; Singh, A.K.; Singh, V.P.; Takatsuji, H.; Kapoor, S.; Tyagi, A.K. Genome-wide identification of C2H2 zinc-finger gene family in rice and their phylogeny and expression analysis. Plant Mol. Biol. 2007, 65, 467–485. [Google Scholar] [CrossRef] [PubMed]
- Liu, Q.; Wang, Z.; Xu, X.; Zhang, H.; Li, C. Genome-Wide Analysis of C2H2 Zinc-Finger Family Transcription Factors and Their Responses to Abiotic Stresses in Poplar (Populus trichocarpa). PLoS ONE 2015, 10, e0134753. [Google Scholar] [CrossRef]
- Kumar, S.; Stecher, G.; Tamura, K. MEGA7: Molecular Evolutionary Genetics Analysis Version 7.0 for Bigger Datasets. Mol. Biol. Evol. 2016, 33, 1870–1874. [Google Scholar] [CrossRef]
- Pabo, C.O.; Peisach, E.; Grant, R.A. Design and selection of novel Cys2His2 zinc finger proteins. Annu. Rev. Biochem. 2001, 70, 313–340. [Google Scholar] [CrossRef] [PubMed]
- Wang, Y.; Xin, H.; Fan, P.; Zhang, J.; Liu, Y.; Dong, Y.; Wang, Z.; Yang, Y.; Zhang, Q.; Ming, R. The genome of Shanputao (Vitis amurensis) provides a new insight into cold tolerance of grapevine. Plant J. 2021, 105, 1495–1506. [Google Scholar] [CrossRef]
- Fasoli, M.; Dal Santo, S.; Zenoni, S.; Tornielli, G.B.; Farina, L.; Zamboni, A.; Porceddu, A.; Venturini, L.; Bicego, M.; Murino, V. The Grapevine Expression Atlas Reveals a Deep Transcriptome Shift Driving the Entire Plant into a Maturation Program. Plant Cell Online 2012, 24, 3489–3505. [Google Scholar] [CrossRef]
- Willems, E.; Leyns, L.; Vandesompele, J. Standardization of real-time PCR gene expression data from independent biological replicates. Anal. Biochem. 2008, 379, 127–129. [Google Scholar] [CrossRef] [PubMed]
- Sakamoto, A.; Minami, M.; Huh, G.H.; Iwabuchi, M. The putative zinc-finger protein WZF1 interacts with a cis-acting element of wheat histone genes. Eur. J. Biochem. 1993, 217, 1049–1056. [Google Scholar] [CrossRef] [PubMed]
- Lawrence, S.D.; Novak, N.G. The remarkable plethora of infestation-responsive Q-type C2H2 transcription factors in potato. BMC Res. Notes 2018, 11, 398. [Google Scholar] [CrossRef] [PubMed]
- Ohta, M.; Matsui, K.; Hiratsu, K.; Shinshi, H.; Ohme-Takagi, M. Repression domains of class II ERF transcriptional repressors share an essential motif for active repression. Plant Cell 2001, 13, 1959–1968. [Google Scholar] [CrossRef] [PubMed]
- Hiratsu, K.; Ohta, M.; Matsui, K.; Ohme-Takagi, M. The SUPERMAN protein is an active repressor whose carboxy-terminal repression domain is required for the development of normal flowers. FEBS Lett. 2002, 514, 351–354. [Google Scholar] [CrossRef] [PubMed]
- Sekimata, M. Sequence-specific transcriptional repression by an MBD2-interacting zinc finger protein MIZF. Nucleic Acids Res. 2004, 32, 590–597. [Google Scholar] [CrossRef] [PubMed]
- Uehara, Y.; Takahashi, Y.; Berberich, T.; Miyazaki, A.; Takahashi, H.; Matsui, K.; Ohme-Takagi, M.; Saitoh, H.; Terauchi, R.; Kusano, T. Tobacco ZFT1, a Transcriptional Repressor with a Cys2/His2 Type Zinc Finger Motif that Functions in Spermine-Signaling Pathway. Plant Mol. Biol. 2005, 59, 435–448. [Google Scholar] [CrossRef] [PubMed]
- Sateesh, K.; Kevin, R. EAR motif-mediated transcriptional repression in plants: An underlying mechanism for epigenetic regulation of gene expression. Epigenetics 2011, 6, 141–146. [Google Scholar] [CrossRef]
- Sakamoto, H.; Araki, T.; Meshi, T.; Iwabuchi, M. Expression of a subset of the Arabidopsis Cys(2)/His(2)-type zinc-finger protein gene family under water stress. Genes 2000, 248, 23–32. [Google Scholar] [CrossRef]
- Otto, S.P.; Whitton, J. Polyploid incidence and evolution. Annu. Rev. Genet. 2000, 34, 401–437. [Google Scholar] [CrossRef] [PubMed]
- Gilmour, S.J.; Zarka, D.G.; Stockinger, E.J.; Salazar, M.P.; Houghton, J.M.; Thomashow, M.F. Low temperature regulation of the Arabidopsis CBF family of AP2 transcriptional activators as an early step in cold-induced COR gene expression. Plant J. 1998, 16, 433–442. [Google Scholar] [CrossRef] [PubMed]
- Haake, V.; Cook, D.; Riechmann, J.L.; Pineda, O.; Thomashow, M.F.; Zhang, J.Z. Transcription Factor CBF4 Is a Regulator of Drought Adaptation in Arabidopsis. Plant Physiol. 2002, 130, 639–648. [Google Scholar] [CrossRef]
- Sharp, P.M.; Li, W.H. The codon Adaptation Index—A measure of directional synonymous codon usage bias, and its potential applications. Nucleic Acids Res. 1987, 15, 1281–1295. [Google Scholar] [CrossRef] [PubMed]
- Sau, K.; Sau, S.; Mandal, S.C.; Ghosh, T.C. Factors Influencing the Synonymous Codon and Amino Acid Usage Bias in AT-rich Pseudomonas aeruginosa Phage PhiKZ. Acta Biochim. Biophys. Sin. 2010, 37, 625–633. [Google Scholar] [CrossRef] [PubMed][Green Version]
- Kielbowicz-Matuk, A. Involvement of plant C2H2-type zinc finger transcription factors in stress responses. Plant Sci. 2012, 185, 78–85. [Google Scholar] [CrossRef]
- Zhang, H.; Liu, Y.; Wen, F.; Yao, D.; Wang, L.; Guo, J.; Ni, L.; Zhang, A.; Tan, M.; Jiang, M. A novel rice C2H2-type zinc finger protein, ZFP36, is a key player involved in abscisic acid-induced antioxidant defence and oxidative stress tolerance in rice. J. Exp. Bot. 2014, 65, 5795–5809. [Google Scholar] [CrossRef]
- Ali-Benali, M.A.; Badawi, M.; Houde, Y.; Houde, M. Identification of oxidative stress-responsive C2H2 zinc fingers associated with Al tolerance in near-isogenic wheat lines. Plant Soil 2013, 366, 199–212. [Google Scholar] [CrossRef]
- Pauwels, L.; Morreel, K.; De Witte, E.; Lammertyn, F.; Van Montagu, M.; Boerjan, W.; Inzé, D.; Goossens, A. Mapping methyl jasmonate-mediated transcriptional reprogramming of metabolism and cell cycle progression in cultured Ara-bidopsis cells. Proc. Natl. Acad. Sci. USA 2008, 105, 1380–1385. [Google Scholar] [CrossRef] [PubMed]
- Gourcilleau, D.; Lenne, C.; Armenise, C.; Moulia, B.; Julien, J.L.; Bronner, G.; Leblanc-Fournier, N. Phylogenetic Study of Plant Q-type C2H2 Zinc Finger Proteins and Expression Analysis of Poplar Genes in Response to Osmotic, Cold and Mechanical Stresses. DNA Res. 2011, 18, 77–92. [Google Scholar] [CrossRef]
- Ciftci-Yilmaz, S.; Mittler, R. The zinc finger network of plants. Cellular and molecular life sciences. Cell Mol. Life Sci. 2008, 65, 1150–1160. [Google Scholar] [CrossRef]
- Zhang, H.; Ni, L.; Liu, Y.; Wang, Y.; Zhang, A.; Tan, M.; Jiang, M. The C2H2-type Zinc Finger Protein ZFP182 is Involved in Abscisic Acid-Induced Antioxidant Defense in Rice. J. Integr. Plant Biol. 2012, 54, 500–510. [Google Scholar] [CrossRef] [PubMed]
- Girollet, N.; Rubio, B.; Lopez-Roques, C.; Valière, S.; Ollat, N.; Bert, P.-F. De novo phased assembly of the Vitis riparia grape genome. Sci. Data 2019, 6, 127. [Google Scholar] [CrossRef] [PubMed]
- Camacho, C.; Coulouris, G.; Avagyan, V.; Ma, N.; Papadopoulos, J.; Bealer, K.; Madden, T.L. BLAST+: Architecture and applications. BMC Bioinform. 2009, 10, 421. [Google Scholar] [CrossRef] [PubMed]
- Bailey, T.L.; Gribskov, M. Combining evidence using p-values: Application to sequence homology searches. Bioinformatics 1998, 14, 48–54. [Google Scholar] [CrossRef] [PubMed]
- Chen, C.; Chen, H.; Zhang, Y.; Thomas, H.R.; Frank, M.H.; He, Y.; Xia, R. TBtools: An Integrative Toolkit Developed for Interactive Analyses of Big Biological Data. Mol. Plant 2020, 13, 1194–1202. [Google Scholar] [CrossRef] [PubMed]
- Hershberg, R.; Petrov, D.A. Selection on codon bias. Annu. Rev. Genet. 2008, 42, 287–299. [Google Scholar] [CrossRef] [PubMed]
- Plotkin, J.B.; Kudla, G. Synonymous but not the same: The causes and consequences of codon bias. Nat. Rev. Genet. 2011, 12, 32–42. [Google Scholar] [CrossRef] [PubMed]
- Yupeng, W.; Haibao, T.; Debarry, J.D.; Xu, T.; Jingping, L.; Xiyin, W.; Tae-Ho, L.; Huizhe, J.; Barry, M.; Hui, G. MCScanX: A toolkit for detection and evolutionary analysis of gene synteny and collinearity. Nucleic Acids Res. 2012, 40, e49. [Google Scholar] [CrossRef]
- Gamborg, O.L.; Miller, R.A.; Ojima, K. Nutrient requirements of suspension cultures of soybean root cells. Exp. Cell Res. 1968, 50, 151–158. [Google Scholar] [CrossRef] [PubMed]
- Kassambara, A. ‘ggplot2’ Based Publication Ready Plots, Version 0.1.0; R Foundation: Ames, IA, USA, 2017.
- Villanueva, R.A.M.; Chen, Z.J. Ggplot2: Elegant Graphics for Data Analysis (2nd ed.). Meas-Interdiscip. Res. 2019, 17, 160–167. [Google Scholar] [CrossRef]












| Gene Name | Gene ID | Chr: Start..End | CDS (bp) | Peptide (aa) | MW (Da) | pI | Aliphatic Index | Instability Index | Subcellular Localization | Alpha Helix (%) | Extended Strand (%) | Beta Turn (%) | Random Coil (%) |
|---|---|---|---|---|---|---|---|---|---|---|---|---|---|
| VvZFP1 | Vitvi01g00063 | Chr1: 616,107..617,675 | 1572 | 523 | 57,541.70 | 8.82 | 61.63 | 48.42 | Nucleus. | 32.88 | 17.37 | 0.00 | 49.75 |
| VvZFP2 | Vitvi01g01939 | Chr1: 3,252,820..3,255,454 | 1056 | 351 | 37,407.67 | 7.55 | 59.03 | 50.27 | Nucleus. | 32.59 | 16.04 | 0.00 | 51.37 |
| VvZFP3 | Vitvi01g00309 | Chr1: 3,422,695..3,423,360 | 669 | 222 | 23,139.71 | 8.37 | 56.24 | 53.3 | Nucleus. | 27.97 | 22.15 | 0.00 | 49.87 |
| VvZFP4 | Vitvi01g00529 | Chr1: 6,009,188..6,009,928 | 744 | 247 | 26,776.90 | 5.43 | 65.85 | 53.07 | Nucleus. | 31.95 | 17.08 | 0.00 | 50.97 |
| VvZFP5 | Vitvi01g00845 | Chr1: 9,724,651..9,725,541 | 894 | 297 | 33,581.02 | 9.10 | 58.54 | 64.60 | Nucleus. | 10.86 | 12.00 | 3.71 | 73.43 |
| VvZFP6 | Vitvi02g00686 | Chr2: 7,241,834..7,242,586 | 666 | 221 | 24,181.37 | 5.06 | 55.09 | 61.21 | Nucleus. | 26.36 | 8.64 | 2.73 | 62.27 |
| VvZFP7 | Vitvi03g00230 | Chr3: 2,660,982..2,661,950 | 789 | 262 | 28,337.08 | 8.42 | 69.96 | 58.16 | Nucleus. | 14.94 | 13.79 | 3.83 | 67.43 |
| VvZFP8 | Vitvi03g00582 | Chr3: 6,548,735..6,549,304 | 573 | 190 | 21,159.71 | 6.52 | 57.83 | 50.21 | Nucleus. | 29.63 | 8.47 | 1.59 | 60.32 |
| VvZFP9 | Vitvi03g00630 | Chr3: 7,125,512..7,126,219 | 711 | 236 | 25,656.66 | 8.53 | 52.38 | 70.23 | Nucleus. | 15.32 | 8.09 | 3.40 | 73.19 |
| VvZFP10 | Vitvi04g00527 | Chr4: 5,630,158..5,631,018 | 864 | 287 | 31,544.12 | 5.96 | 65.56 | 56.93 | Nucleus. | 21.33 | 12.24 | 1.75 | 66.69 |
| VvZFP11 | Vitvi05g00082 | Chr5: 1,128,866..1,129,489 | 627 | 208 | 22,072.40 | 8.59 | 47.25 | 77.98 | Nucleus. | 29.47 | 10.63 | 3.86 | 56.04 |
| VvZFP12 | Vitvi05g01913 | Chr5: 7,082,504..7,083,190 | 690 | 229 | 25,470.51 | 8.72 | 63.68 | 53.86 | Nucleus. | 27.63 | 8.33 | 3.51 | 60.53 |
| VvZFP13 | Vitvi05g01914 | Chr5: 7,094,682..7,095,305 | 627 | 208 | 23,008.67 | 6.21 | 64.59 | 66.8 | Nucleus. | 33.33 | 10.63 | 6.76 | 49.28 |
| VvZFP14 | Vitvi05g01915 | Chr5: 7,102,567..7,103,103 | 540 | 179 | 20,359.12 | 6.97 | 34.61 | 62.89 | Nucleus. | 14.61 | 9.55 | 2.81 | 73.03 |
| VvZFP15 | Vitvi06g01682 | Chr6: 5,152,508..5,152,987 | 483 | 160 | 17,811.68 | 9.15 | 81.51 | 46.90 | Nucleus. | 19.50 | 11.32 | 2.52 | 66.67 |
| VvZFP16 | Vitvi06g01710 | Chr6: 6,156,545..6,157,123 | 582 | 193 | 20,968.39 | 6.90 | 57.50 | 38.51 | Nucleus. | 14.58 | 8.33 | 2.08 | 75.00 |
| VvZFP17 | Vitvi06g00521 | Chr6: 6,160,463..6,161,281 | 822 | 273 | 30,657.63 | 9.19 | 66.11 | 63.46 | Nucleus. | 25.37 | 10.66 | 1.10 | 62.87 |
| VvZFP18 | Vitvi06g01862 | Chr6: 14,981,645..14,982,970 | 1329 | 442 | 48,569.67 | 9.58 | 55.78 | 47.97 | Nucleus. | 24.49 | 8.16 | 3.17 | 64.17 |
| VvZFP19 | Vitvi06g01864 | Chr6: 14,989,117..14,990,382 | 1269 | 422 | 45,557.15 | 9.08 | 51.48 | 60.45 | Nucleus. | 16.15 | 8.55 | 4.51 | 70.78 |
| VvZFP20 | Vitvi06g01865 | Chr6: 15,002,349..15,003,701 | 1356 | 451 | 49,058.13 | 9.49 | 58.53 | 45.02 | Nucleus. | 18.67 | 10.00 | 3.78 | 65.56 |
| VvZFP21 | Vitvi06g01866 | Chr6: 15,005,234..15,006,622 | 1392 | 463 | 50,164.48 | 9.31 | 59.76 | 46.43 | Nucleus. | 19.97 | 12.77 | 4.11 | 63.20 |
| VvZFP22 | Vitvi06g01867 | Chr6: 15,013,314..15,014,594 | 1284 | 427 | 45,964.15 | 8.68 | 58.57 | 53.67 | Nucleus. | 23.00 | 8.22 | 3.76 | 65.02 |
| VvZFP23 | Vitvi06g01350 | Chr6: 18,287,579..18,288,448 | 873 | 290 | 30,928.25 | 6.70 | 56.06 | 71.75 | Nucleus. | 10.73 | 11.07 | 3.46 | 74.74 |
| VvZFP24 | Vitvi07g02261 | Chr7: 5,788,161..5,788,703 | 546 | 181 | 20,235.54 | 9.15 | 54.78 | 58.62 | Nucleus. | 26.67 | 10.00 | 3.89 | 59.44 |
| VvZFP25 | Vitvi07g02262 | Chr7: 5,794,112..5,794,639 | 531 | 176 | 19,739.77 | 4.79 | 51.89 | 67.57 | Nucleus. | 22.29 | 10.86 | 2.86 | 64.00 |
| VvZFP26 | Vitvi07g02342 | Chr7: 9,671,071..9,671,622 | 555 | 184 | 20,226.55 | 9.03 | 59.29 | 48.14 | Nucleus. | 24.59 | 11.48 | 3.28 | 60.66 |
| VvZFP27 | Vitvi07g01602 | Chr7: 15,505,941..15,506,642 | 705 | 234 | 25,007.84 | 7.22 | 60.39 | 67.42 | Nucleus. | 16.31 | 6.44 | 3.00 | 74.25 |
| VvZFP28 | Vitvi07g01645 | Chr7: 15,914,286..15,914,867 | 585 | 194 | 21,466.78 | 6.16 | 50.67 | 43.88 | Nucleus. | 30.57 | 9.84 | 1.55 | 58.03 |
| VvZFP29 | Vitvi07g01724 | Chr7: 16,589,850..16,590,740 | 894 | 297 | 31,837.31 | 6.87 | 48.48 | 65.66 | Nucleus. | 12.50 | 21.96 | 7.43 | 58.11 |
| VvZFP30 | Vitvi08g04156 | Chr8: 11,691,926..11,692,954 | 1032 | 343 | 37,210.24 | 9.37 | 51.46 | 61.82 | Nucleus. | 24.27 | 10.82 | 4.09 | 60.82 |
| VvZFP31 | Vitvi08g04157 | Chr8: 11,698,586..11,699,560 | 978 | 325 | 35,886.02 | 8.11 | 59.01 | 54.74 | Nucleus. | 29.94 | 9.57 | 4.94 | 55.56 |
| VvZFP32 | Vitvi08g02113 | Chr8: 11,710,332..11,711,297 | 969 | 322 | 34,967.55 | 8.99 | 49.84 | 45.38 | Nucleus. | 22.12 | 10.59 | 5.61 | 61.68 |
| VvZFP33 | Vitvi08g02203 | Chr8: 15,040,331..15,040,891 | 1164 | 387 | 20,527.68 | 5.85 | 57.20 | 48.76 | Nucleus. | 15.59 | 15.05 | 2.15 | 67.20 |
| VvZFP34 | Vitvi08g01249 | Chr8: 15,048,333..15,049,244 | 801 | 266 | 29,979.58 | 9.08 | 59.28 | 70.52 | Nucleus. | 24.91 | 8.30 | 2.64 | 64.15 |
| VvZFP35 | Vitvi08g01600 | Chr8: 18,752,543..18,753,373 | 684 | 227 | 30,176.53 | 6.37 | 54.17 | 70.05 | Nucleus. | 11.96 | 13.41 | 3.26 | 71.38 |
| VvZFP36 | Vitvi08g01771 | Chr8: 20,543,918..20,544,634 | 720 | 239 | 26,467.24 | 6.76 | 53.28 | 56.27 | Nucleus. | 15.97 | 13.03 | 1.26 | 69.75 |
| VvZFP37 | Vitvi09g00827 | Chr9: 10,638,815..10,639,618 | 807 | 268 | 29,405.59 | 7.13 | 67.64 | 55.45 | Nucleus. | 19.10 | 13.11 | 2.25 | 65.54 |
| VvZFP38 | Vitvi11g01259 | Chr11: 18,868,891..18,869,355 | 468 | 155 | 17,251.04 | 7.91 | 62.08 | 59.60 | Nucleus. | 27.92 | 14.29 | 3.25 | 54.55 |
| VvZFP39 | Vitvi13g00262 | Chr13: 2,500,654..2,501,184 | 534 | 177 | 19,227.15 | 9.25 | 73.81 | 59.02 | Nucleus. | 22.16 | 14.77 | 1.70 | 61.36 |
| VvZFP40 | Vitvi13g00340 | Chr13: 3,432,929..3,433,777 | 852 | 283 | 30,817.44 | 6.86 | 66.77 | 67.47 | Nucleus. | 26.24 | 8.51 | 2.13 | 63.12 |
| VvZFP41 | Vitvi13g00694 | Chr13: 7,002,863..7,003,771 | 912 | 303 | 33,185.90 | 6.00 | 83.96 | 59.90 | Nucleus. | 16.89 | 14.24 | 4.30 | 64.57 |
| VvZFP42 | Vitvi13g01403 | Chr13: 18,524,495..18,525,421 | 930 | 309 | 33,906.90 | 8.29 | 52.89 | 65.25 | Nucleus. | 21.1 | 10.06 | 2.27 | 66.56 |
| VvZFP43 | Vitvi14g02872 | Chr14: 20,758,279..20,758,911 | 636 | 211 | 23,154.29 | 8.83 | 59.19 | 62.25 | Nucleus. | 24.76 | 13.33 | 0.48 | 61.43 |
| VvZFP44 | Vitvi14g01822 | Chr14: 28,162,609..28,163,331 | 726 | 241 | 27,027.55 | 8.89 | 66.71 | 54.50 | Nucleus. | 30.83 | 11.67 | 3.75 | 53.75 |
| VvZFP45 | Vitvi15g00644 | Chr15: 13,742,179..13,743,973 | 1479 | 492 | 53,927.39 | 6.94 | 61.81 | 53.23 | Nucleus. | 22.61 | 8.76 | 3.87 | 64.77 |
| VvZFP46 | Vitvi15g01472 | Chr15: 13,755,848..13,756,927 | 1083 | 360 | 40,177.60 | 5.36 | 57.99 | 70.04 | Nucleus. | 30.08 | 9.47 | 3.06 | 57.38 |
| VvZFP47 | Vitvi16g00499 | Chr16: 9,490,833..9,491,540 | 711 | 236 | 26,341.58 | 8.77 | 53.62 | 56.48 | Nucleus. | 20.43 | 12.77 | 3.83 | 62.98 |
| VvZFP48 | Vitvi17g00670 | Chr17: 7,475,229..7,477,459 | 1059 | 352 | 38,525.41 | 9.42 | 61.14 | 57.18 | Nucleus. | 28.77 | 13.39 | 3.13 | 54.70 |
| VvZFP49 | Vitvi18g00675 | Chr18: 7,732,710..7,733,411 | 705 | 234 | 25,291.37 | 8.91 | 61.24 | 72.28 | Nucleus. | 12.88 | 7.73 | 3.00 | 76.39 |
| VvZFP50 | Vitvi18g00708 | Chr18: 8,000,360..8,000,941 | 585 | 194 | 21,621.29 | 8.37 | 53.11 | 54.30 | Nucleus. | 25.91 | 11.40 | 2.07 | 60.62 |
| VvZFP51 | Vitvi19g00912 | Chr19: 10,503,115..10,505,322 | 1830 | 609 | 65,943.19 | 6.43 | 52.88 | 43.44 | Nucleus. | 19.74 | 9.87 | 0.00 | 70.39 |
| VvZFP52 | Vitvi02g00560 | ChrUn: 15,415,314..15,416,285 | 975 | 324 | 35,711.51 | 5.80 | 55.91 | 70.98 | Nucleus. | 27.76 | 16.50 | 0.00 | 55.75 |
| VaZFP1 | VAG0100928.1 | Chr1: 17,333,363..17,334,103 | 741 | 246 | 26,762.87 | 5.42 | 65.85 | 52.76 | Nucleus | 23.58 | 12.20 | 0.00 | 64.23 |
| VaZFP2 | VAG0101159.1 | Chr1: 19,799,732..19,802,380 | 897 | 298 | 31,807.04 | 8.17 | 48.09 | 57.43 | Nucleus | 12.08 | 9.40 | 0.00 | 78.52 |
| VaZFP3 | VAG0101417.1 | Chr1: 22,359,578..22,361,926 | 1656 | 551 | 61,040.87 | 9.00 | 62.29 | 48.67 | Nucleus | 26.13 | 13.79 | 0.00 | 60.07 |
| VaZFP4 | VAG0101986.1 | Chr2: 5,166,395..5,168,415 | 1104 | 367 | 40,529.11 | 6.36 | 56.68 | 69.07 | Nucleus | 32.97 | 6.54 | 0.00 | 60.49 |
| VaZFP5 | VAG0102194.1 | Chr2: 8,213,767..8,215,736 | 774 | 257 | 28,235.06 | 5.10 | 57.78 | 62.65 | Nucleus | 29.57 | 7.00 | 0.00 | 63.42 |
| VaZFP6 | VAG0103111.1 | Chr3: 13,633,297..13,653,939 | 1473 | 490 | 54,091.12 | 8.10 | 72.63 | 53.50 | Cell membrane, Nucleus | 27.55 | 7.14 | 0.00 | 65.31 |
| VaZFP7 | VAG0103166.1 | Chr3: 14,187,647..14,189,709 | 714 | 237 | 26,675.28 | 8.36 | 64.18 | 49.68 | Nucleus | 22.36 | 13.08 | 0.00 | 64.56 |
| VaZFP8 | VAG0103518.1 | Chr3: 17,847,415..17,848,383 | 969 | 322 | 35,038.46 | 7.57 | 66.09 | 54.66 | Nucleus | 18.32 | 12.73 | 0.00 | 68.94 |
| VaZFP9 | VAG0104819.1 | Chr4: 19,776,441..19,777,301 | 861 | 286 | 31,604.16 | 5.96 | 65.56 | 56.33 | Nucleus | 23.43 | 8.39 | 0.00 | 68.18 |
| VaZFP10 | VAG0105424.1 | Chr5: 724,847..731,076 | 774 | 257 | 28,247.83 | 9.64 | 61.13 | 60.37 | Nucleus | 24.51 | 20.62 | 0.00 | 54.86 |
| VaZFP11 | VAG0105875.1 | Chr5: 5,823,943..5,824,794 | 684 | 227 | 25,553.70 | 7.63 | 67.84 | 49.78 | Nucleus | 39.21 | 2.20 | 0.00 | 58.59 |
| VaZFP12 | VAG0105876.1 | Chr5: 5,836,792..5,845,261 | 1098 | 365 | 40,943.95 | 8.24 | 43.10 | 64.52 | Nucleus | 19.45 | 3.84 | 0.00 | 76.71 |
| VaZFP13 | VAG0106999.1 | Chr6: 3,224,617..3,225,495 | 879 | 292 | 31,485.92 | 6.27 | 55.48 | 69.89 | Nucleus | 7.88 | 15.41 | 0.00 | 76.71 |
| VaZFP14 | VAG0107168.1 | Chr6: 6,152,873..6,154,261 | 1389 | 462 | 50,333.62 | 9.28 | 60.17 | 48.09 | Nucleus | 23.59 | 8.23 | 0.00 | 68.18 |
| VaZFP15 | VAG0107169.1 | Chr6: 6,167,187..6,170,659 | 1125 | 374 | 40,810.87 | 9.39 | 58.21 | 51.67 | Nucleus | 17.38 | 13.10 | 0.00 | 69.52 |
| VaZFP16 | VAG0107172.1 | Chr6: 6,206,628..6,207,884 | 1257 | 418 | 45,670.68 | 9.97 | 56.27 | 52.09 | Nucleus | 25.84 | 7.89 | 0.00 | 66.27 |
| VaZFP17 | VAG0107173.1 | Chr6: 6,214,231..6,215,511 | 1281 | 426 | 45,912.17 | 8.66 | 60.63 | 53.82 | Nucleus | 8.45 | 13.62 | 0.00 | 77.93 |
| VaZFP18 | VAG0107180.1 | Chr6: 6,339,579..6,340,862 | 1284 | 427 | 46,126.56 | 9.03 | 59.79 | 52.37 | Nucleus | 10.30 | 13.35 | 0.00 | 76.35 |
| VaZFP19 | VAG0107181.1 | Chr6: 6,347,333..6,348,721 | 1389 | 462 | 50,062.39 | 9.44 | 59.76 | 46.49 | Nucleus | 21.86 | 8.23 | 0.00 | 69.91 |
| VaZFP20 | VAG0107185.1 | Chr6: 6,369,265..6,370,530 | 1266 | 421 | 45,542.21 | 9.22 | 62.30 | 52.83 | Nucleus | 12.83 | 10.69 | 0.00 | 76.48 |
| VaZFP21 | VAG0107708.1 | Chr6: 16,631,844..16,632,662 | 819 | 272 | 30,572.47 | 9.19 | 62.02 | 64.40 | Nucleus | 23.53 | 14.71 | 0.00 | 61.76 |
| VaZFP22 | VAG0107805.1 | Chr6: 17,689,739..17,695,113 | 666 | 221 | 24,781.68 | 9.81 | 77.69 | 54.48 | Nucleus | 28.51 | 10.86 | 0.00 | 60.63 |
| VaZFP23 | VAG0109054.1 | Chr7: 13,229,020..13,235,502 | 1083 | 360 | 40,449.95 | 5.69 | 56.14 | 59.44 | Nucleus | 23.33 | 10.56 | 0.00 | 66.11 |
| VaZFP24 | VAG0109724.1 | Chr7: 25,148,488..25,161,891 | 2583 | 860 | 94,567.56 | 7.30 | 81.55 | 46.58 | Cell membrane | 36.51 | 13.26 | 0.00 | 50.23 |
| VaZFP25 | VAG0109762.1 | Chr7: 25,543,220..25,571,722 | 2448 | 815 | 92,490.14 | 6.10 | 63.55 | 38.40 | Nucleus | 24.54 | 19.51 | 0.00 | 55.95 |
| VaZFP26 | VAG0109816.1 | Chr7: 26,316,847..26,317,734 | 888 | 295 | 31,755.23 | 6.46 | 46. 00 | 66.23 | Nucleus | 15.93 | 13.22 | 0.00 | 70.85 |
| VaZFP27 | VAG0110325.1 | Chr8: 1,994,129..1,995,217 | 762 | 253 | 28,208.24 | 8.26 | 51.66 | 52.61 | Nucleus | 13.83 | 15.81 | 0.00 | 70.36 |
| VaZFP28 | VAG0110521.1 | Chr8: 4,033,984..4,034,814 | 831 | 276 | 30,176.53 | 6.37 | 54.17 | 70.05 | Nucleus | 28.39 | 7.26 | 0.00 | 64.35 |
| VaZFP29 | VAG0110874.1 | Chr8: 7,544,736..7,545,647 | 798 | 265 | 29,979.58 | 9.08 | 59.28 | 70.52 | Nucleus | 17.84 | 7.60 | 0.00 | 74.56 |
| VaZFP30 | VAG0110875.1 | Chr8: 7,551,607..7,553,542 | 537 | 178 | 19,482.45 | 6.30 | 53.82 | 54.81 | Nucleus | 23.03 | 6.18 | 0.00 | 70.79 |
| VaZFP31 | VAG0111156.1 | Chr8: 10,604,900..10,605,886 | 987 | 328 | 35,580.28 | 8.88 | 48.78 | 46.77 | Nucleus | 12.32 | 15.58 | 0.00 | 72.10 |
| VaZFP32 | VAG0111157.1 | Chr8: 10,616,669..10,617,622 | 954 | 317 | 35,110.09 | 8.39 | 59.09 | 50.64 | Nucleus | 28.39 | 7.26 | 0.00 | 64.35 |
| VaZFP33 | VAG0111158.1 | Chr8: 10,623,270..10,624,298 | 1029 | 342 | 37,242.19 | 9.39 | 50.03 | 63.91 | Nucleus | 23.03 | 6.18 | 0.00 | 70.79 |
| VaZFP34 | VAG0112436.1 | Chr9: 14,077,157..14,077,960 | 804 | 267 | 29,405.59 | 7.13 | 67.64 | 55.45 | Nucleus | 27.92 | 8.68 | 0.00 | 63.40 |
| VaZFP35 | VAG0114471.1 | Chr11: 864,420..896,550 | 2172 | 723 | 80,321.46 | 4.94 | 75.17 | 42.25 | Nucleus | 15.55 | 7.93 | 0.00 | 76.52 |
| VaZFP36 | VAG0117437.1 | Chr13: 10,279,271..10,280,197 | 927 | 308 | 33,975.97 | 8.30 | 52.89 | 65.28 | Nucleus | 28.37 | 7.09 | 0.00 | 64.54 |
| VaZFP37 | VAG0118243.1 | Chr13: 2,1951,931..21,959,029 | 633 | 210 | 23,176.69 | 10.00 | 74.38 | 69.36 | Nucleus | 15.73 | 13.11 | 0.00 | 71.16 |
| VaZFP38 | VAG0118338.1 | Chr13: 22,954,546..22,955,394 | 849 | 282 | 30,794.36 | 6.63 | 66.42 | 66.79 | Nucleus | 32.92 | 14.11 | 0.00 | 52.97 |
| VaZFP39 | VAG0118611.1 | Chr13: 26,509,806..26,510,795 | 990 | 329 | 35,924.05 | 9.00 | 64.44 | 72.84 | Nucleus | 31.90 | 9.05 | 0.00 | 59.05 |
| VaZFP40 | VAG0119731.1 | Chr14: 19,561,186..19,584,426 | 822 | 273 | 30,537.70 | 9.38 | 55.90 | 60.37 | Nucleus | 27.47 | 7.69 | 0.00 | 64.84 |
| VaZFP41 | VAG0120008.1 | Chr14: 23,954,383..23,955,312 | 474 | 157 | 17,102.01 | 7.91 | 52.93 | 61.88 | Nucleus | 15.50 | 12.46 | 0.00 | 72.04 |
| VaZFP42 | VAG0120315.1 | Chr14: 26,818,406..26,819,535 | 900 | 299 | 33,836.44 | 8.99 | 69.83 | 59.54 | Nucleus | 19.16 | 9.74 | 0.00 | 71.10 |
| VaZFP43 | VAG0121158.1 | Chr15: 8,053,433..8,054,836 | 1404 | 467 | 51,114.12 | 6.76 | 60.60 | 47.41 | Nucleus | 22.06 | 12.63 | 0.00 | 65.31 |
| VaZFP44 | VAG0121159.1 | Chr15: 8,066,755..8,067,837 | 1083 | 360 | 40,236.63 | 5.35 | 57.83 | 68.71 | Nucleus | 23.61 | 8.06 | 0.00 | 68.33 |
| VaZFP45 | VAG0122572.1 | Chr16: 17,249,757..17,250,691 | 732 | 243 | 27,101.48 | 8.72 | 53.46 | 56.73 | Nucleus | 29.63 | 12.76 | 0.00 | 57.61 |
| VaZFP46 | VAG0123756.1 | Chr17: 7,323,153..7,324,843 | 1590 | 529 | 58,536.29 | 8.57 | 58.66 | 54.59 | Nucleus | 24.01 | 15.12 | 0.00 | 60.87 |
| VaZFP47 | VAG0123852.1 | Chr17: 8,584,588..8,597,041 | 954 | 317 | 35,447.08 | 6.92 | 65.27 | 49.71 | Nucleus | 30.28 | 7.89 | 0.00 | 61.83 |
| VaZFP48 | VAG0125708.1 | Chr18: 33,103,767..33,114,322 | 1677 | 558 | 61,587.31 | 5.94 | 77.06 | 40.08 | Nucleus | 18.46 | 27.78 | 0.00 | 53.76 |
| VaZFP49 | VAG0125736.1 | Chr18: 33,378,797..33,381,058 | 789 | 262 | 28,363.71 | 8.40 | 58.21 | 79.33 | Nucleus | 17.94 | 8.78 | 0.00 | 73.28 |
| VaZFP50 | VAG0126909.1 | Chr19: 15,420,039..15,422,244 | 1827 | 608 | 66,030.26 | 6.36 | 53.36 | 44.38 | Nucleus | 19.57 | 10.53 | 0.00 | 69.90 |
| VaZFP51 | VAG0128236.1 | Scaffold_187: 19,406..19,986 | 498 | 165 | 18,085.18 | 7.73 | 55.09 | 38.21 | Nucleus | 30.30 | 10.30 | 0.00 | 59.39 |
| VaZFP52 | VAG0128237.1 | Scaffold_187: 23,941..24,759 | 819 | 272 | 30,553.43 | 9.08 | 62.02 | 65.27 | Nucleus | 23.90 | 15.07 | 0.00 | 61.03 |
| VaZFP53 | VAG0129335.1 | Scaffold_503: 45,030..50,401 | 693 | 230 | 26,231.45 | 6.24 | 67.00 | 58.53 | Nucleus | 27.83 | 11.30 | 0.00 | 60.87 |
| VaZFP54 | VAG0130661.1 | Scaffold_1,201: 6,417..8,127 | 693 | 230 | 25,480.89 | 8.90 | 74.74 | 44.92 | Nucleus | 41.74 | 7.83 | 0.00 | 50.43 |
| VaZFP55 | VAG0131613.1 | Scaffold_1,769: 9,136..19,344 | 2535 | 844 | 93,149.44 | 7.82 | 61.39 | 53.56 | Nucleus | 27.01 | 14.81 | 0.00 | 58.18 |
| VrZFP1 | XP_034681774.1 | Chr1: 553,635..556,371 | 1566 | 521 | 57,509.68 | 8.90 | 61.94 | 48.70 | Nucleus | 22.65 | 15.16 | 0.00 | 62.19 |
| VrZFP2 | XP_034682326.1 | Chr1: 3,258,529..3,261,625 | 825 | 274 | 29,280.15 | 8.49 | 44.85 | 56.43 | Nucleus | 8.76 | 9.12 | 0.00 | 82.12 |
| VrZFP3 | XP_034682333.1 | Chr1: 3,258,870..3,260,994 | 822 | 273 | 29,209.07 | 8.49 | 44.65 | 56.60 | Nucleus | 8.79 | 9.52 | 0.00 | 81.68 |
| VrZFP4 | XP_034695126.1 | Chr1: 3,424,130..3,425,166 | 666 | 221 | 23,139.71 | 8.37 | 56.24 | 53.30 | Nucleus | 21.72 | 13.57 | 0.00 | 64.71 |
| VrZFP5 | XP_034697189.1 | Chr1: 6,102,930..6,106,907 | 741 | 246 | 26,810.93 | 5.43 | 63.86 | 56.18 | Nucleus | 22.36 | 12.20 | 0.00 | 65.45 |
| VrZFP6 | XP_034697191.1 | Chr1: 6,102,755..6,106,907 | 741 | 246 | 26,810.93 | 5.43 | 63.86 | 56.18 | Nucleus | 22.36 | 12.20 | 0.00 | 65.45 |
| VrZFP7 | XP_034674477.1 | Chr1: 10,678,040..10,683,798 | 855 | 284 | 32,077.11 | 9.08 | 56.69 | 66.02 | Nucleus | 18.31 | 14.44 | 0.00 | 67.25 |
| VrZFP8 | XP_034674418.1 | Chr1: 10,678,300..10,679,190 | 891 | 296 | 33,638.13 | 9.07 | 59.66 | 63.17 | Nucleus | 19.93 | 16.22 | 0.00 | 63.85 |
| VrZFP9 | XP_034705328.1 | Chr2: 11,357,933..11,359,159 | 747 | 248 | 27,154.83 | 4.96 | 58.31 | 64.55 | Nucleus | 25.40 | 7.26 | 0.00 | 67.34 |
| VrZFP10 | XP_034703703.1 | Chr2: 13,915,433..13,916,772 | 981 | 326 | 35,996.77 | 5.68 | 54.51 | 71.19 | Cell membrane | 26.38 | 8.59 | 0.00 | 65.03 |
| VrZFP11 | XP_034682127.1 | Chr3: 2,510,558..2,511,978 | 969 | 322 | 35,038.46 | 7.57 | 66.09 | 54.66 | Nucleus | 18.32 | 12.73 | 0.00 | 68.94 |
| VrZFP12 | XP_034680378.1 | Chr3: 6,228,170..6,233,006 | 570 | 189 | 21,216.78 | 6.52 | 56.30 | 51.58 | Nucleus | 19.58 | 6.88 | 0.00 | 73.54 |
| VrZFP13 | XP_034679895.1 | Chr3: 6,752,634..6,753,590 | 708 | 235 | 25,608.61 | 8.53 | 53.23 | 71.97 | Nucleus | 10.64 | 4.68 | 0.00 | 84.68 |
| VrZFP14 | XP_034682721.1 | Chr4: 5,909,744..5,911,153 | 864 | 287 | 31,672.25 | 5.96 | 65.33 | 56.98 | Nucleus | 23.00 | 8.36 | 0.00 | 68.64 |
| VrZFP15 | XP_034686446.1 | Chr5: 776,318..777,298 | 708 | 235 | 25,349.21 | 8.87 | 51.15 | 73.99 | Nucleus | 25.11 | 14.47 | 0.00 | 60.43 |
| VrZFP16 | XP_034686918.1 | Chr5: 6,643,815..6,644,992 | 687 | 228 | 25,498.55 | 8.72 | 65.39 | 53.58 | Nucleus | 31.14 | 3.95 | 0.00 | 64.91 |
| VrZFP17 | XP_034685738.1 | Chr5: 6,656,758..6,657,378 | 621 | 206 | 22,844.47 | 6.21 | 64.42 | 62.93 | Nucleus | 23.30 | 0.97 | 0.00 | 75.73 |
| VrZFP18 | XP_034686948.1 | Chr5: 6,664,514..6,665,574 | 537 | 178 | 20,294.01 | 6.53 | 32.42 | 62.89 | Nucleus | 17.42 | 5.06 | 0.00 | 77.53 |
| VrZFP19 | XP_034688450.1 | Chr6: 3,546,885..3,547,993 | 891 | 296 | 31,697.13 | 6.27 | 56.05 | 70.01 | Nucleus | 7.77 | 15.54 | 0.00 | 76.69 |
| VrZFP20 | XP_034689063.1 | Chr6: 6,443,038..6,444,321 | 1284 | 427 | 46,095.59 | 9.14 | 59.34 | 54.52 | Nucleus | 9.84 | 13.35 | 0.00 | 76.81 |
| VrZFP21 | XP_034689064.1 | Chr6: 6,451,092..6,452,480 | 1389 | 462 | 50,154.40 | 9.29 | 60.39 | 47.21 | Nucleus | 22.08 | 8.66 | 0.00 | 69.26 |
| VrZFP22 | XP_034688666.1 | Chr6: 16,774,764..16,776,116 | 819 | 272 | 30,626.48 | 9.10 | 60.59 | 70.40 | Nucleus | 23.53 | 13.97 | 0.00 | 62.50 |
| VrZFP23 | XP_034689169.1 | Chr6: 16,779,202..16,779,783 | 582 | 193 | 21,182.56 | 6.10 | 58.19 | 37.24 | Nucleus | 28.50 | 12.44 | 0.00 | 59.07 |
| VrZFP24 | XP_034688453.1 | Chr6: 17,847,675..17,848,394 | 480 | 159 | 17,839.70 | 9.17 | 81.51 | 50.20 | Nucleus | 28.30 | 9.43 | 0.00 | 62.26 |
| VrZFP25 | XP_034689071.1 | Chr6: 6,514,792..6,516,054 | 1263 | 420 | 45,497.08 | 9.17 | 61.29 | 53.16 | Nucleus | 11.90 | 12.14 | 0.00 | 75.95 |
| VrZFP26 | XP_034689322.1 | Chr7: 4,267,202..4,268,089 | 888 | 295 | 31,820.29 | 6.64 | 47.97 | 67.37 | Nucleus | 15.25 | 14.24 | 0.00 | 70.51 |
| VrZFP27 | XP_034691695.1 | Chr7: 4,923,281..4,924,383 | 582 | 193 | 21,442.80 | 6.16 | 52.69 | 45.49 | Nucleus | 23.32 | 10.88 | 0.00 | 65.80 |
| VrZFP28 | XP_034689870.1 | Chr7: 5,329,636..5,330,682 | 693 | 230 | 24,733.61 | 7.22 | 61.61 | 67.80 | Nucleus | 8.26 | 13.04 | 0.00 | 78.70 |
| VrZFP29 | XP_034691020.1 | Chr7: 20,623,883..20,626,719 | 576 | 191 | 20,988.50 | 9.19 | 58.85 | 45.75 | Nucleus | 37.70 | 8.38 | 0.00 | 53.93 |
| VrZFP30 | XP_034691021.1 | Chr7: 20,624,803..20,626,501 | 576 | 191 | 20,988.50 | 9.19 | 58.85 | 45.75 | Nucleus | 37.70 | 8.38 | 0.00 | 53.93 |
| VrZFP31 | XP_034691940.1 | Chr7: 24,703,955..24,706,387 | 528 | 175 | 19,741.78 | 4.78 | 54.11 | 66.80 | Nucleus | 20.57 | 11.43 | 0.00 | 68.00 |
| VrZFP32 | XP_034690590.1 | Chr7: 24,711,726..24,712,268 | 543 | 180 | 20,346.73 | 9.30 | 56.94 | 59.24 | Nucleus | 31.67 | 9.44 | 0.00 | 58.89 |
| VrZFP33 | XP_034694709.1 | Chr8: 15,096,568..15,097,500 | 561 | 186 | 20,496.71 | 6.14 | 59.30 | 48.92 | Nucleus | 22.04 | 9.14 | 0.00 | 68.82 |
| VrZFP34 | XP_034693315.1 | Chr8: 15,104,445..1,510,5955 | 912 | 303 | 34,090.07 | 8.70 | 59.87 | 69.40 | Nucleus | 27.39 | 8.91 | 0.00 | 63.70 |
| VrZFP35 | XP_034694346.1 | Chr8: 18,924,297..18,925,593 | 837 | 278 | 30,314.61 | 6.07 | 53.78 | 69.19 | Nucleus | 10.43 | 15.47 | 0.00 | 74.10 |
| VrZFP36 | XP_034693265.1 | Chr8: 20,767,588..20,768,748 | 717 | 238 | 26,451.18 | 6.76 | 53.28 | 58.92 | Nucleus | 14.29 | 13.03 | 0.00 | 72.69 |
| VrZFP37 | XP_034696432.1 | Chr9: 11,094,899..11,096,011 | 804 | 267 | 29,396.58 | 7.10 | 67.64 | 56.92 | Nucleus | 15.73 | 13.11 | 0.00 | 71.16 |
| VrZFP38 | XP_034700480.1 | Chr11: 930,628..933,010 | 465 | 154 | 17,251.04 | 7.91 | 62.08 | 59.60 | Nucleus | 20.13 | 16.23 | 0.00 | 63.64 |
| VrZFP39 | XP_034704073.1 | Chr13: 7,805,286..7,806,164 | 879 | 292 | 32,002.73 | 8.61 | 51.78 | 64.67 | Nucleus | 15.75 | 9.93 | 0.00 | 74.32 |
| VrZFP40 | XP_034703438.1 | Chr13: 21,915,467..21,916,664 | 909 | 302 | 33,145.87 | 6.13 | 60.86 | 80.72 | Nucleus | 20.53 | 7.62 | 0.00 | 71.85 |
| VrZFP41 | XP_034704234.1 | Chr13: 25,793,212..25,794,054 | 843 | 280 | 30,664.17 | 6.67 | 65.50 | 68.04 | Nucleus | 30. 00 | 6.79 | 0.00 | 63.21 |
| VrZFP42 | XP_034704827.1 | Chr13: 26,761,501..26,762,303 | 531 | 176 | 19,162.04 | 9.10 | 71.59 | 55.76 | Nucleus | 29.55 | 10.23 | 0.00 | 60.23 |
| VrZFP43 | XP_034706344.1 | Chr14: 154,977..157,422 | 1713 | 570 | 63,789.92 | 6.39 | 55.60 | 57.03 | Nucleus | 22.98 | 13.86 | 0.00 | 63.16 |
| VrZFP44 | XP_034708229.1 | Chr14: 2,105,931..2,107,900 | 870 | 289 | 32,409.72 | 8.79 | 68.55 | 57.69 | Nucleus | 30.10 | 12.46 | 0.00 | 57.44 |
| VrZFP45 | XP_034706389.1 | Chr14: 5,129,008..5,129,403 | 396 | 131 | 14,365.07 | 8.69 | 60.53 | 69.37 | Nucleus | 25.95 | 6.11 | 0.00 | 67.94 |
| VrZFP46 | XP_034707874.1 | Chr14: 10,193,748..10,194,599 | 633 | 210 | 23,213.31 | 8.83 | 57.33 | 60.93 | Nucleus | 27.62 | 8.57 | 0.00 | 63.81 |
| VrZFP47 | XP_034708534.1 | Chr15: 7,068,109..7,069,605 | 1080 | 359 | 40,180.52 | 5.36 | 56.63 | 69.67 | Nucleus | 23.40 | 8.36 | 0.00 | 68.25 |
| VrZFP48 | XP_034708821.1 | Chr15: 7,266,510..7,267,953 | 1404 | 467 | 51,080.1 | 6.76 | 61.43 | 47.82 | Nucleus | 22.06 | 12.63 | 0.00 | 65.31 |
| VrZFP49 | XP_034711786.1 | Chr16: 9,463,294..9,464,251 | 708 | 235 | 26,355.61 | 8.77 | 53.62 | 57.54 | Nucleus | 30.64 | 11.91 | 0.00 | 57.45 |
| VrZFP50 | XP_034672939.1 | Chr17: 11,002,420..11,003,574 | 591 | 196 | 21,982.62 | 6.18 | 60.26 | 55.26 | Nucleus | 29.59 | 7.65 | 0.00 | 62.76 |
| VrZFP51 | XP_034712135.1 | Chr17: 12,160,011..12,162,489 | 1692 | 563 | 62,310.44 | 8.64 | 57.02 | 54.64 | Nucleus | 20.60 | 14.92 | 0.00 | 64.48 |
| VrZFP52 | XP_034674136.1 | Chr18: 7,697,776..7,698,816 | 702 | 233 | 25,322.34 | 8.91 | 59.14 | 74.76 | Nucleus | 18.03 | 6.87 | 0.00 | 75.11 |
| VrZFP53 | XP_034674743.1 | Chr18: 8,025,926..8,027,417 | 582 | 193 | 21,543.18 | 8.73 | 52.12 | 53.15 | Nucleus | 24.35 | 8.81 | 0.00 | 66.84 |
| VrZFP54 | XP_034678325.1 | Chr19: 10,956,892..10,959,545 | 1,836 | 611 | 66,157.24 | 6.28 | 51.18 | 43.75 | Nucleus | 18.99 | 9.98 | 0.00 | 71.03 |
Disclaimer/Publisher’s Note: The statements, opinions and data contained in all publications are solely those of the individual author(s) and contributor(s) and not of MDPI and/or the editor(s). MDPI and/or the editor(s) disclaim responsibility for any injury to people or property resulting from any ideas, methods, instructions or products referred to in the content. |
© 2023 by the authors. Licensee MDPI, Basel, Switzerland. This article is an open access article distributed under the terms and conditions of the Creative Commons Attribution (CC BY) license (https://creativecommons.org/licenses/by/4.0/).
Share and Cite
Chu, M.; Wang, T.; Li, W.; Liu, Y.; Bian, Z.; Mao, J.; Chen, B. Genome-Wide Identification and Analysis of the Genes Encoding Q-Type C2H2 Zinc Finger Proteins in Grapevine. Int. J. Mol. Sci. 2023, 24, 15180. https://doi.org/10.3390/ijms242015180
Chu M, Wang T, Li W, Liu Y, Bian Z, Mao J, Chen B. Genome-Wide Identification and Analysis of the Genes Encoding Q-Type C2H2 Zinc Finger Proteins in Grapevine. International Journal of Molecular Sciences. 2023; 24(20):15180. https://doi.org/10.3390/ijms242015180
Chicago/Turabian StyleChu, Mingyu, Tiaoye Wang, Wenfang Li, Yashi Liu, Zhiyuan Bian, Juan Mao, and Baihong Chen. 2023. "Genome-Wide Identification and Analysis of the Genes Encoding Q-Type C2H2 Zinc Finger Proteins in Grapevine" International Journal of Molecular Sciences 24, no. 20: 15180. https://doi.org/10.3390/ijms242015180
APA StyleChu, M., Wang, T., Li, W., Liu, Y., Bian, Z., Mao, J., & Chen, B. (2023). Genome-Wide Identification and Analysis of the Genes Encoding Q-Type C2H2 Zinc Finger Proteins in Grapevine. International Journal of Molecular Sciences, 24(20), 15180. https://doi.org/10.3390/ijms242015180

