Is the Triggering of PD-L1 Dimerization a Potential Mechanism for Food-Derived Small Molecules in Cancer Immunotherapy? A Study by Molecular Dynamics
Abstract
1. Introduction
2. Results and Discussion
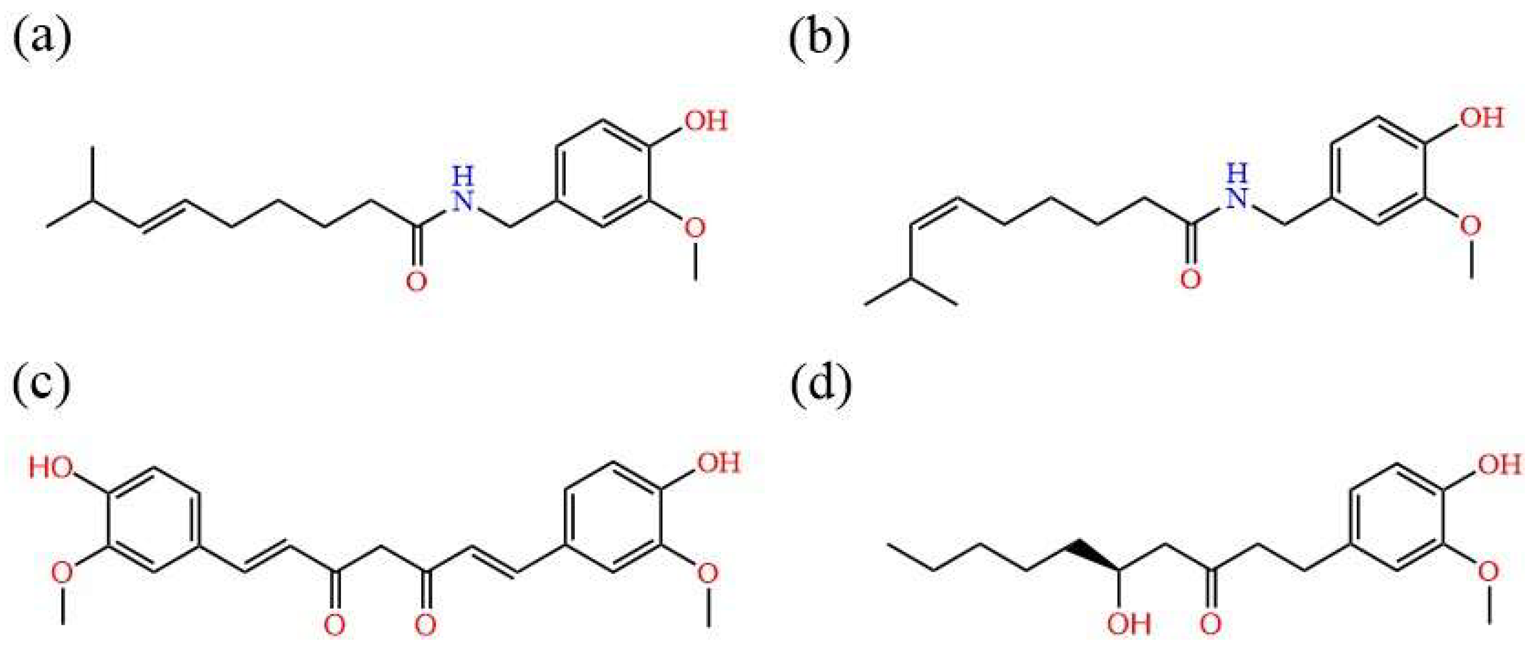
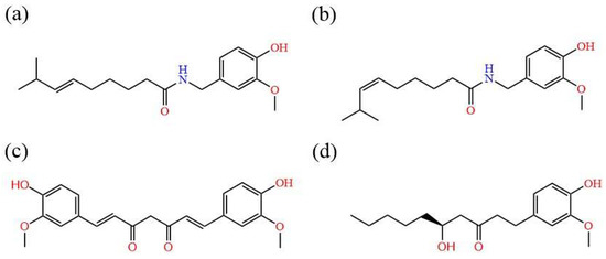
2.1. Docking of PD-L1 Dimer and Small Molecules
2.2. RMSD and
2.3. RMSF
2.4. Binding Free Energy Calculation
2.5. Per-Residue Energy Decomposition and Contact Numbers
2.6. Binding Mode Analysis
2.7. Cross-Correlation Matrix
2.8. Free Energy Landscape (FEL)
3. Materials and Methods
3.1. Molecular Docking and Initial Structure Construction
3.2. Molecular Dynamics Simulation
3.3. Binding Free Energy Calculation
3.4. Simulation Analysis
4. Conclusions
Supplementary Materials
Author Contributions
Funding
Institutional Review Board Statement
Informed Consent Statement
Data Availability Statement
Acknowledgments
Conflicts of Interest
Abbreviations
References
- Francisco, L.M.; Sage, P.T.; Sharpe, A.H. The PD-1 Pathway in Tolerance and Autoimmunity: PD-1 Pathway, Tregs, and Autoimmune Diseases. Immunol. Rev. 2010, 236, 219–242. [Google Scholar] [CrossRef] [PubMed]
- Gianchecchi, E.; Delfino, D.V.; Fierabracci, A. Recent Insights into the Role of the PD-1/PD-L1 Pathway in Immunological Tolerance and Autoimmunity. Autoimmun. Rev. 2013, 12, 1091–1100. [Google Scholar] [CrossRef] [PubMed]
- Dermani, F.K.; Samadi, P.; Rahmani, G.; Kohlan, A.K.; Najafi, R. PD-1/PD-L1 Immune Checkpoint: Potential Target for Cancer Therapy. J. Cell. Physiol. 2019, 234, 1313–1325. [Google Scholar] [CrossRef] [PubMed]
- Zak, K.M.; Grudnik, P.; Magiera, K.; Dömling, A.; Dubin, G.; Holak, T.A. Structural Biology of the Immune Checkpoint Receptor PD-1 and Its Ligands PD-L1/PD-L2. Structure 2017, 25, 1163–1174. [Google Scholar] [CrossRef] [PubMed]
- Salmaninejad, A.; Valilou, S.F.; Shabgah, A.G.; Aslani, S.; Alimardani, M.; Pasdar, A.; Sahebkar, A. PD-1/PD-L1 Pathway: Basic Biology and Role in Cancer Immunotherapy. J. Cell. Physiol. 2019, 234, 16824–16837. [Google Scholar] [CrossRef] [PubMed]
- Wu, Q.; Jiang, L.; Li, S.; He, Q.; Yang, B.; Cao, J. Small Molecule Inhibitors Targeting the PD-1/PD-L1 Signaling Pathway. Acta Pharm. Sin. 2021, 42, 1–9. [Google Scholar] [CrossRef]
- Guzik, K.; Tomala, M.; Muszak, D.; Konieczny, M.; Hec, A.; Błaszkiewicz, U.; Pustuła, M.; Butera, R.; Dömling, A.; Holak, T.A. Development of the Inhibitors That Target the PD-1/PD-L1 Interaction—A Brief Look at Progress on Small Molecules, Peptides and Macrocycles. Molecules 2019, 24, 2071. [Google Scholar] [CrossRef]
- Guzik, K.; Zak, K.M.; Grudnik, P.; Magiera, K.; Musielak, B.; Törner, R.; Skalniak, L.; Dömling, A.; Dubin, G.; Holak, T.A. Small-Molecule Inhibitors of the Programmed Cell Death-1/Programmed Death-Ligand 1 (PD-1/PD-L1) Interaction via Transiently Induced Protein States and Dimerization of PD-L1. J. Med. Chem. 2017, 60, 5857–5867. [Google Scholar] [CrossRef]
- Zak, K.M.; Kitel, R.; Przetocka, S.; Golik, P.; Guzik, K.; Musielak, B.; Dömling, A.; Dubin, G.; Holak, T.A. Structure of the Complex of Human Programmed Death 1, PD-1, and Its Ligand PD-L1. Structure 2015, 23, 2341–2348. [Google Scholar] [CrossRef]
- Zhao, H.; Caflisch, A. Molecular Dynamics in Drug Design. Eur. J. Med. Chem. 2015, 91, 4–14. [Google Scholar] [CrossRef]
- Shi, D.; An, X.; Bai, Q.; Bing, Z.; Zhou, S.; Liu, H.; Yao, X. Computational Insight Into the Small Molecule Intervening PD-L1 Dimerization and the Potential Structure-Activity Relationship. Front. Chem. 2019, 7, 764. [Google Scholar] [CrossRef] [PubMed]
- Guo, Y.; Jin, Y.; Wang, B.; Liu, B. Molecular Mechanism of Small-Molecule Inhibitors in Blocking the PD-1/PD-L1 Pathway through PD-L1 Dimerization. IJMS 2021, 22, 4766. [Google Scholar] [CrossRef]
- Almahmoud, S.; Zhong, H.A. Molecular Modeling Studies on the Binding Mode of the PD-1/PD-L1 Complex Inhibitors. Int. J. Mol. Sci. 2019, 20, 4654. [Google Scholar] [CrossRef] [PubMed]
- Mejías, C.; Guirola, O. Pharmacophore Model of Immunocheckpoint Protein PD-L1 by Cosolvent Molecular Dynamics Simulations. J. Mol. Graph. Model. 2019, 91, 105–111. [Google Scholar] [CrossRef] [PubMed]
- Zhou, Z.-X.; Zhang, H.-X.; Zheng, Q.-C. Predicting a Kind of Unusual Multiple-States Dimerization-Modes Transformation in Protein PD-L1 System by Computational Investigation and a Generalized Rate Theory. Front. Chem. 2021, 9, 783444. [Google Scholar] [CrossRef]
- Soremekun, O.S.; Olotu, F.A.; Agoni, C.; Soliman, M.E.S. Recruiting Monomer for Dimer Formation: Resolving the Antagonistic Mechanisms of Novel Immune Check Point Inhibitors against Programmed Death Ligand-1 in Cancer Immunotherapy. Mol. Simul. 2019, 45, 777–789. [Google Scholar] [CrossRef]
- Bailly, C.; Vergoten, G. N-Glycosylation and Ubiquitinylation of PD-L1 Do Not Restrict Interaction with BMS-202: A Molecular Modeling Study. Comput. Biol. Chem. 2020, 88, 107362. [Google Scholar] [CrossRef]
- Ganesan, A.; Ahmed, M.; Okoye, I.; Arutyunova, E.; Babu, D.; Turnbull, W.L.; Kundu, J.K.; Shields, J.; Agopsowicz, K.C.; Xu, L.; et al. Comprehensive in Vitro Characterization of PD-L1 Small Molecule Inhibitors. Sci. Rep. 2019, 9, 12392. [Google Scholar] [CrossRef]
- Bailly, C.; Vergoten, G. Flurbiprofen as a Biphenyl Scaffold for the Design of Small Molecules Binding to PD-L1 Protein Dimer. Biochem. Pharmacol. 2020, 178, 114042. [Google Scholar] [CrossRef]
- Le Biannic, R.; Magnez, R.; Klupsch, F.; Leleu-Chavain, N.; Thiroux, B.; Tardy, M.; El Bouazzati, H.; Dezitter, X.; Renault, N.; Vergoten, G.; et al. Pyrazolones as Inhibitors of Immune Checkpoint Blocking the PD-1/PD-L1 Interaction. Eur. J. Med. Chem. 2022, 236, 114343. [Google Scholar] [CrossRef]
- Fattakhova, E.; Hofer, J.; DiFlumeri, J.; Cobb, M.; Dando, T.; Romisher, Z.; Wellington, J.; Oravic, M.; Radnoff, M.; Patil, S.P. Identification of the FDA-Approved Drug Pyrvinium as a Small-Molecule Inhibitor of the PD-1/PD-L1 Interaction. ChemMedChem 2021, 16, 2769–2774. [Google Scholar] [CrossRef] [PubMed]
- Gupta, M.; Chandan, K.; Sarwat, M. Natural Products and Their Derivatives as Immune Check Point Inhibitors: Targeting Cytokine/Chemokine Signalling in Cancer. Semin. Cancer Biol. 2022, S1044579X22001535. [Google Scholar] [CrossRef] [PubMed]
- Deng, L.-J.; Chen, J.-X.; Qi, M.; Li, N.; Lei, Y.-H.; Zhang, D.-M. Natural Products and Their Derivatives: Promising Modulators of Tumor Immunotherapy. J. Leukoc. Biol. 2020, 108, 493–508. [Google Scholar] [CrossRef] [PubMed]
- Mishra, B.B.; Tiwari, V.K. Natural Products: An Evolving Role in Future Drug Discovery. Eur. J. Med. Chem. 2011, 46, 4769–4807. [Google Scholar] [CrossRef] [PubMed]
- Morelli, M.B.; Marinelli, O.; Aguzzi, C.; Zeppa, L.; Nabissi, M.; Amantini, C.; Tomassoni, D.; Maggi, F.; Santoni, M.; Santoni, G. Unveiling the Molecular Mechanisms Driving the Capsaicin-Induced Immunomodulatory Effects on PD-L1 Expression in Bladder and Renal Cancer Cell Lines. Cancers 2022, 14, 2644. [Google Scholar] [CrossRef] [PubMed]
- Chiang, C.; Zhang, M.; Wang, D.; Xiao, T.; Zhu, L.; Chen, K.; Huang, J.; Huang, J.; Zhu, J.; Li, L.; et al. Therapeutic Potential of Targeting MKK3-P38 Axis with Capsaicin for Nasopharyngeal Carcinoma. Theranostics 2020, 10, 7906–7920. [Google Scholar] [CrossRef]
- Manna, I.; Das, D.; Mondal, S.; Bandyopadhyay, M. Potential Pharmacotherapeutic Phytochemicals from Zingiberaceae for Cancer Prevention. In Pharmacotherapeutic Botanicals for Cancer Chemoprevention; Kumar, M., Sharma, A., Kumar, P., Eds.; Springer: Singapore, 2020; pp. 221–281. ISBN 978-9-81-155998-3. [Google Scholar]
- Sp, N.; Kang, D.Y.; Lee, J.-M.; Bae, S.W.; Jang, K.-J. Potential Antitumor Effects of 6-Gingerol in P53-Dependent Mitochondrial Apoptosis and Inhibition of Tumor Sphere Formation in Breast Cancer Cells. Int. J. Mol. Sci. 2021, 22, 4660. [Google Scholar] [CrossRef]
- Verdura, S.; Cuyàs, E.; Cortada, E.; Brunet, J.; Lopez-Bonet, E.; Martin-Castillo, B.; Bosch-Barrera, J.; Encinar, J.A. Resveratrol Targets PD-L1 Glycosylation and Dimerization to Enhance Antitumor T-Cell Immunity. Aging 2020, 12, 8. [Google Scholar] [CrossRef]
- Guo, Y.; Liang, J.; Liu, B.; Jin, Y. Molecular Mechanism of Food-Derived Polyphenols on PD-L1 Dimerization: A Molecular Dynamics Simulation Study. Int. J. Mol. Sci. 2021, 22, 10924. [Google Scholar] [CrossRef]
- Bayly, C.I.; Cieplak, P.; Cornell, W.; Kollman, P.A. A Well-Behaved Electrostatic Potential Based Method Using Charge Restraints for Deriving Atomic Charges: The RESP Model. J. Phys. Chem. 1993, 97, 10269–10280. [Google Scholar] [CrossRef]
- Valdés-Tresanco, M.S.; Valdés-Tresanco, M.E.; Valiente, P.A.; Moreno, E. Gmx_MMPBSA: A New Tool to Perform End-State Free Energy Calculations with GROMACS. J. Chem. Theory Comput. 2021, 17, 6281–6291. [Google Scholar] [CrossRef] [PubMed]
- Miller, B.R.; McGee, T.D.; Swails, J.M.; Homeyer, N.; Gohlke, H.; Roitberg, A.E. MMPBSA.Py: An Efficient Program for End-State Free Energy Calculations. J. Chem. Theory Comput. 2012, 8, 3314–3321. [Google Scholar] [CrossRef] [PubMed]
- Stein, S.A.M.; Loccisano, A.E.; Firestine, S.M.; Evanseck, J.D. Chapter 13 Principal Components Analysis: A Review of Its Application on Molecular Dynamics Data. In Annual Reports in Computational Chemistry; Elsevier: Amsterdam, The Netherlands, 2006; Volume 2, pp. 233–261. ISBN 978-0-444-52822-3. [Google Scholar]
- Barrett, C.P.; Noble, M.E.M. Dynamite Extended: Two New Services to Simplify Protein Dynamic Analysis. Bioinformatics 2005, 21, 3174–3175. [Google Scholar] [CrossRef] [PubMed]
- Mu, Y.; Nguyen, P.H.; Stock, G. Energy Landscape of a Small Peptide Revealed by Dihedral Angle Principal Component Analysis. Proteins 2004, 58, 45–52. [Google Scholar] [CrossRef] [PubMed]
- Papaleo, E.; Mereghetti, P.; Fantucci, P.; Grandori, R.; De Gioia, L. Free-Energy Landscape, Principal Component Analysis, and Structural Clustering to Identify Representative Conformations from Molecular Dynamics Simulations: The Myoglobin Case. J. Mol. Graph. Model. 2009, 27, 889–899. [Google Scholar] [CrossRef]
- Mittal, L.; Srivastava, M.; Kumari, A.; Tonk, R.K.; Awasthi, A.; Asthana, S. Interplay among Structural Stability, Plasticity, and Energetics Determined by Conformational Attuning of Flexible Loops in PD-1. J. Chem. Inf. Model. 2021, 61, 358–384. [Google Scholar] [CrossRef]
- Seeliger, D.; de Groot, B.L. Ligand Docking and Binding Site Analysis with PyMOL and Autodock/Vina. J. Comput. Aided Mol. Des. 2010, 24, 417–422. [Google Scholar] [CrossRef]
- Śledź, P.; Caflisch, A. Protein Structure-Based Drug Design: From Docking to Molecular Dynamics. Curr. Opin. Struct. Biol. 2018, 48, 93–102. [Google Scholar] [CrossRef]
- Hevener, K.E.; Zhao, W.; Ball, D.M.; Babaoglu, K.; Qi, J.; White, S.W.; Lee, R.E. Validation of Molecular Docking Programs for Virtual Screening against Dihydropteroate Synthase. J. Chem. Inf. Model. 2009, 49, 444–460. [Google Scholar] [CrossRef]
- Gunasekaran, K.; Nussinov, R. How Different Are Structurally Flexible and Rigid Binding Sites? Sequence and Structural Features Discriminating Proteins That Do and Do Not Undergo Conformational Change upon Ligand Binding. J. Mol. Biol. 2007, 365, 257–273. [Google Scholar] [CrossRef]
- Genheden, S.; Ryde, U. The MM/PBSA and MM/GBSA Methods to Estimate Ligand-Binding Affinities. Expert Opin. Drug Discov. 2015, 10, 449–461. [Google Scholar] [CrossRef] [PubMed]
- Liu, X.; Peng, L.; Zhou, Y.; Zhang, Y.; Zhang, J.Z.H. Computational Alanine Scanning with Interaction Entropy for Protein–Ligand Binding Free Energies. J. Chem. Theory Comput. 2018, 14, 1772–1780. [Google Scholar] [CrossRef] [PubMed]
- Andrade, L.; Albuquerque, A.; Santos-Costa, A.; Vasconcelos, D.; Savino, W.; Sartori, G.R.; Martins Da Silva, J.H. Investigation of Unprecedented Sites and Proposition of New Ligands for Programmed Cell Death Protein I through Molecular Dynamics with Probes and Virtual Screening. J. Chem. Inf. Model. 2022, 62, 1236–1248. [Google Scholar] [CrossRef] [PubMed]
- Tu, Y.; Ma, S.; Liu, F.; Sun, Y.; Dong, X. Hematoxylin Inhibits Amyloid β-Protein Fibrillation and Alleviates Amyloid-Induced Cytotoxicity. J. Phys. Chem. B 2016, 120, 11360–11368. [Google Scholar] [CrossRef]
- Tarakeshwar, P.; Kim, K.S. Comparison of the Nature of p and Conventional H-Bonds: A Theoretical Investigation. J. Mol. Struct. 2002, 615, 227–238. [Google Scholar] [CrossRef]
- Chen, C.; Xiao, Y.; Zhang, L. A Directed Essential Dynamics Simulation of Peptide Folding. Biophys. J. 2005, 88, 3276–3285. [Google Scholar] [CrossRef]
- Guan, S.; Wang, T.; Kuai, Z.; Qian, M.; Tian, X.; Zhang, X.; Yu, Y.; Wang, S.; Zhang, H.; Li, H.; et al. Exploration of Binding and Inhibition Mechanism of a Small Molecule Inhibitor of Influenza Virus H1N1 Hemagglutinin by Molecular Dynamics Simulation. Sci. Rep. 2017, 7, 3786. [Google Scholar] [CrossRef]
- Zhan, D.; Guan, S.; Jin, H.; Han, W.; Wang, S. Stereoselectivity of Phosphotriesterase with Paraoxon Derivatives: A Computational Study. J. Biomol. Struct. Dyn. 2016, 34, 600–611. [Google Scholar] [CrossRef]
- Pagadala, N.S.; Syed, K.; Tuszynski, J. Software for Molecular Docking: A Review. Biophys. Rev. 2017, 9, 91–102. [Google Scholar] [CrossRef]
- Irwin, J.J.; Shoichet, B.K. ZINC—A Free Database of Commercially Available Compounds for Virtual Screening. J. Chem. Inf. Model. 2005, 45, 177–182. [Google Scholar] [CrossRef]
- Frisch, M.J.; Trucks, G.W.; Schlegel, H.B.; Scuseria, G.E.; Robb, M.A.; Cheeseman, J.R.; Scalmani, G.; Barone, V.; Petersson, G.A.; Nakatsuji, H.; et al. Gaussian 09, Revision E01; Gaussian, Inc.: Wallingford, CT, USA, 2016. [Google Scholar]
- Grimme, S.; Ehrlich, S.; Goerigk, L. Effect of the Damping Function in Dispersion Corrected Density Functional Theory. J. Comput. Chem. 2011, 32, 1456–1465. [Google Scholar] [CrossRef]
- Grimme, S.; Antony, J.; Ehrlich, S.; Krieg, H. A Consistent and Accurate Ab Initio Parametrization of Density Functional Dispersion Correction (DFT-D) for the 94 Elements H-Pu. J. Chem. Phys. 2010, 132, 154104. [Google Scholar] [CrossRef] [PubMed]
- Schäfer, A.; Huber, C.; Ahlrichs, R. Fully Optimized Contracted Gaussian Basis Sets of Triple Zeta Valence Quality for Atoms Li to Kr. J. Chem. Phys. 1994, 100, 5829–5835. [Google Scholar] [CrossRef]
- Guex, N.; Peitsch, M.C. SWISS-MODEL and the Swiss-Pdb Viewer: An Environment for Comparative Protein Modeling. Electrophoresis 1997, 18, 2714–2723. [Google Scholar] [CrossRef] [PubMed]
- Trott, O.; Olson, A.J. AutoDock Vina: Improving the Speed and Accuracy of Docking with a New Scoring Function, Efficient Optimization, and Multithreading. J. Comput. Chem. 2009. [Google Scholar] [CrossRef] [PubMed]
- Abraham, M.J.; Murtola, T.; Schulz, R.; Páll, S.; Smith, J.C.; Hess, B.; Lindahl, E. GROMACS: High Performance Molecular Simulations through Multi-Level Parallelism from Laptops to Supercomputers. SoftwareX 2015, 1–2, 19–25. [Google Scholar] [CrossRef]
- Wang, J.; Wolf, R.M.; Caldwell, J.W.; Kollman, P.A.; Case, D.A. Development and Testing of a General Amber Force Field. J. Comput. Chem. 2004, 25, 1157–1174. [Google Scholar] [CrossRef] [PubMed]
- Hornak, V.; Abel, R.; Okur, A.; Strockbine, B.; Roitberg, A.; Simmerling, C. Comparison of Multiple Amber Force Fields and Development of Improved Protein Backbone Parameters. Proteins 2006, 65, 712–725. [Google Scholar] [CrossRef]
- Lu, T.; Chen, F. Multiwfn: A Multifunctional Wavefunction Analyzer. J. Comput. Chem. 2012, 33, 580–592. [Google Scholar] [CrossRef]
- Lu, T. Sobtop, Version [1.0(Dev)]. Available online: http://Sobereva.Com/Soft/Sobtop (accessed on 27 October 2022).
- Mark, P.; Nilsson, L. Structure and Dynamics of the TIP3P, SPC, and SPC/E Water Models at 298 K. J. Phys. Chem. A 2001, 105, 9954–9960. [Google Scholar] [CrossRef]
- Essmann, U.; Perera, L.; Berkowitz, M.L.; Darden, T.; Lee, H.; Pedersen, L.G. A Smooth Particle Mesh Ewald Method. J. Chem. Phys. 1995, 103, 8577–8593. [Google Scholar] [CrossRef]
- Duan, L.; Liu, X.; Zhang, J.Z.H. Interaction Entropy: A New Paradigm for Highly Efficient and Reliable Computation of Protein–Ligand Binding Free Energy. J. Am. Chem. Soc. 2016, 138, 5722–5728. [Google Scholar] [CrossRef] [PubMed]
- Liu, X.; Peng, L.; Zhang, J.Z.H. Accurate and Efficient Calculation of Protein–Protein Binding Free Energy-Interaction Entropy with Residue Type-Specific Dielectric Constants. J. Chem. Inf. Model. 2019, 59, 272–281. [Google Scholar] [CrossRef] [PubMed]
- Ekberg, V.; Ryde, U. On the Use of Interaction Entropy and Related Methods to Estimate Binding Entropies. J. Chem. Theory Comput. 2021, 17, 5379–5391. [Google Scholar] [CrossRef]
- Humphrey, W.; Dalke, A.; Schulten, K. VMD: Visual Molecular Dynamics. J. Mol. Graph. 1996, 14, 33–38. [Google Scholar] [CrossRef]
- Sun, X.; Yan, X.; Zhuo, W.; Gu, J.; Zuo, K.; Liu, W.; Liang, L.; Gan, Y.; He, G.; Wan, H.; et al. PD-L1 Nanobody Competitively Inhibits the Formation of the PD-1/PD-L1 Complex: Comparative Molecular Dynamics Simulations. Int. J. Mol. Sci. 2018, 19, 1984. [Google Scholar] [CrossRef]











| Component (kcal/mol) | Capsaicin | Zucapsaicin | Curcumin | 6-Gingerol |
|---|---|---|---|---|
| −56.86 ± 3.14 | −55.41 ± 2.56 | −55.81 ± 2.40 | −52.45 ± 3.02 | |
| −4.76 ± 1.44 | −3.06 ± 2.19 | −4.14 ± 1.50 | −7.06 ± 2.79 | |
| 15.88 ± 1.10 | 15.25 ± 1.60 | 19.02 ± 1.57 | 15.27 ± 1.72 | |
| −4.29 ± 0.13 | −4.40 ± 0.12 | −4.74 ± 0.09 | −4.22 ± 0.03 | |
| −61.62 ± 3.28 | −58.46 ± 2.89 | −59.94 ± 2.93 | −58.12 ± 3.20 | |
| 11.59 ± 1.10 | 10.80 ± 1.59 | 14.27 ± 1.56 | 11.05 ± 1.71 | |
| 7.50 ± 0.87 | 3.91 ± 0.08 | 6.48 ± 0.05 | 7.87 ± 0.05 | |
| 3.28 | 2.93 | 3.20 | 2.89 | |
| −42.53 ± 3.30 | −43.75 ± 2.58 | −39.19 ± 2.55 | −39.20 ± 2.66 |
| Component (kcal/mol) | PD-L1 Monomer/Capsaicin | PD-L1 Monomer/Zucapsaicin | PD-L1 Monomer/Curcumin | PD-L1 Monomer/6-Gingerol |
|---|---|---|---|---|
| −16.06 ± 5.43 | −24.61 ± 5.02 | −29.37 ± 3.89 | −20.89 ± 4.62 | |
| −1.66 ± 0.46 | −2.80 ± 1.94 | −4.21 ± 2.80 | −6.03 ± 4.65 | |
| 5.23 ± 3.55 | 7.30 ± 2.55 | 10.15 ± 3.02 | 8.91 ± 2.24 | |
| −2.06 ± 0.99 | −2.67 ± 0.40 | −2.86 ± 0.36 | −2.44 ± 0.40 | |
| −17.73 ± 6.36 | −27.41 ± 5.50 | −33.57 ± 5.52 | −26.93 ± 6.32 | |
| 3.17 ± 1.89 | 4.63 ± 2.44 | 7.29 ± 2.80 | 6.47 ± 0.62 | |
| −14.56 ± 5.52 | −22.79 ± 4.53 | −26.28 ± 3.47 | −20.46 ± 4.30 |
| Residue Number | Van Der Waals (kcal/mol) | Ele (kcal/mol) | PB (kcal/mol) | Total (kcal/mol) | Contact Number |
|---|---|---|---|---|---|
| (A)Ile-54 | −1.333 | −0.127 | 0.246 | −1.215 | 18.98 ± 3.12 |
| (A)Val-55 | −0.523 | 0.062 | 0.084 | −0.376 | 6.22 ± 2.87 |
| (A)Tyr-56 | −1.648 | −0.059 | 0.214 | −1.495 | 11.43 ± 2.31 |
| (A)Gln-66 | −0.713 | 0.006 | 0.084 | −0.376 | 9.31 ± 2.53 |
| (A)Met-115 | −1.945 | −0.185 | 0.761 | −1.370 | 20.47 ± 2.92 |
| (A)Ile-116 | −0.674 | 0.060 | 0.142 | −0.471 | 6.79 ± 1.92 |
| (A)Ala-121 | −1.973 | −0.108 | 0.517 | −1.563 | 28.98 ± 1.79 |
| (A)Asp-122 | −0.786 | 0.247 | 0.231 | −0.307 | 7.47 ± 1.92 |
| (A)Tyr-123 | −0.665 | −0.102 | 0.083 | −0.684 | 6.31 ± 1.30 |
| (B)Ile-54 | −1.992 | 0.873 | 0.065 | −1.054 | 22.15 ± 2.35 |
| (B)Val-55 | −1.108 | −0.419 | 0.431 | −1.096 | 11.43 ± 2.31 |
| (B)Tyr-56 | −2.164 | 0.083 | 0.130 | −1.951 | 19.12 ± 1.28 |
| (B)Gln-66 | −0.965 | −2.317 | 1.211 | −2.072 | 12.77 ± 1.21 |
| (B)Met-115 | −1.996 | −1.537 | 0.882 | −2.651 | 22.68 ± 3.98 |
| (B)Ile-116 | −1.033 | 0.551 | 0.167 | −0.315 | 9.29 ± 2.44 |
| (B)Ala-121 | −1.131 | −0.620 | 0.133 | −1.618 | 22.48 ± 2.62 |
| (B)Tyr-123 | −0.944 | 0.025 | 0.191 | −0.728 | 11.31 ± 1.42 |
| Residue Number | Van Der Waals (kcal/mol) | Ele (kcal/mol) | PB (kcal/mol) | Total (kcal/mol) | Contact Number |
|---|---|---|---|---|---|
| (A)ILE-54 | −0.826 | 0.053 | −0.014 | −0.787 | 14.75 ± 2.62 |
| (A)Tyr-56 | −2.841 | −0.254 | 0.391 | −2.703 | 23.44 ± 2.23 |
| (A)Arg-113 | −1.945 | −0.185 | 0.761 | −1.370 | 16.64 ± 2.17 |
| (A)Met-115 | −1.608 | −0.443 | 0.486 | −1.565 | 17.84 ± 1.94 |
| (A)Ser-117 | −0.123 | −0.021 | 0.059 | −0.084 | 1.72 ± 0.71 |
| (A)Tyr-123 | −0.793 | −0.361 | 0.486 | −0.668 | 5.14 ± 1.27 |
| (B)Tyr-56 | −1.563 | 0.119 | 0.489 | −0.954 | 10.78 ± 1.03 |
| (B)Trp-57 | −0.417 | −0.101 | 0.007 | −0.512 | 3.13 ± 0.94 |
| (B)Arg-113 | −2.202 | −0.015 | −0.130 | −2.318 | 16.36 ± 0.95 |
| (B)Cys-114 | −0.928 | −0.804 | 0.390 | −1.342 | 7.29 ± 0.83 |
| (B)Met-115 | −2.625 | −0.071 | 0.249 | −2.447 | 28.73 ± 2.18 |
| (B)Ala-121 | −1.084 | −0.100 | 1.008 | −0.175 | 19.17 ± 2.77 |
| (B)Tyr-123 | −3.199 | −0.954 | 0.722 | −3.431 | 33.83 ± 2.72 |
| Residue Number | Van Der Waals (kcal/mol) | Ele (kcal/mol) | PB (kcal/mol) | Total (kcal/mol) | Contact Number |
|---|---|---|---|---|---|
| (A)Ile-54 | −0.685 | −0.298 | 0.112 | −0.871 | 7.33 ± 1.59 |
| (A)Tyr-56 | −1.459 | −0.379 | 0.237 | −1.601 | 12.41 ± 1.23 |
| (A)Met-115 | −2.315 | −0.259 | 0.736 | −1.839 | 21.89 ± 2.40 |
| (A)Ile-116 | −0.841 | −0.111 | 0.317 | −0.634 | 8.18 ± 1.14 |
| (A)Ser-117 | −0.775 | −0.143 | 0.124 | −0.794 | 9.70 ± 1.97 |
| (A)Ala-121 | −1.287 | 0.214 | 0.269 | −0.803 | 17.24 ± 1.43 |
| (A)Asp-122 | −1.911 | −2.262 | 3.077 | −1.095 | 21.18 ± 2.29 |
| (A)Tyr-123 | −2.998 | −1.095 | 1.469 | −2.624 | 24.88 ± 2.03 |
| (B)Tyr-56 | −2.467 | 0.113 | 0.671 | −1.682 | 23.65 ± 2.38 |
| (B)Val-76 | −0.489 | −0.069 | 0.019 | −0.539 | 6.80 ± 1.47 |
| (B)Met-115 | −1.505 | −0.896 | 0.376 | −2.025 | 16.22 ± 1.47 |
| (B)Ile-116 | −0.717 | −0.333 | 0.405 | −0.645 | 4.66 ± 1.01 |
| (B)Ser-117 | −0.692 | −0.142 | 0.022 | −0.813 | 6.98 ± 1.63 |
| (B)Ala-121 | −1.432 | −0.841 | 0.451 | −1.823 | 18.90 ± 1.24 |
| (B)Tyr-123 | −1.131 | 0.136 | 0.038 | −0.955 | 10.68 ± 1.71 |
| Residue Number | Van Der Waals (kcal/mol) | Ele (kcal/mol) | PB (kcal/mol) | Total (kcal/mol) | Contact Number |
|---|---|---|---|---|---|
| (A)ILE-54 | −1.425 | −0.111 | 0.173 | −1.362 | 20.73 ± 2.69 |
| (A)Val-55 | −0.734 | −0.249 | 0.289 | −0.693 | 9.15 ± 4.31 |
| (A)Tyr-56 | −1.405 | 0.046 | 0.154 | −1.204 | 18.67 ± 2.14 |
| (A)Gln-66 | −0.944 | −0.094 | 0.434 | −0.604 | 11.14 ± 1.98 |
| (A)Met-115 | −1.568 | −0.245 | 0.508 | −1.305 | 17.84 ± 3.47 |
| (A)Ile-116 | −0.585 | 0.126 | 0.150 | −0.308 | 4.88 ± 3.06 |
| (A)Ser-117 | −0.754 | −1.228 | 0.601 | −1.382 | 12.32 ± 3.58 |
| (A)Ala-121 | −1.694 | −0.103 | 0.294 | −1.502 | 25.34 ± 2.74 |
| (A)Asp-122 | −0.937 | −0.010 | 0.563 | −0.384 | 9.21 ± 2.02 |
| (A)Tyr-123 | −0.575 | 0.031 | 0.005 | −0.537 | 5.84 ± 1.44 |
| (B)Ile-54 | −1.483 | −0.271 | 0.276 | −1.478 | 16.21 ± 2.41 |
| (B)Val-55 | −0.932 | 0.268 | 0.242 | −0.421 | 9.22 ± 2.31 |
| (B)Tyr-56 | −2.385 | −0.126 | 0.272 | −2.240 | 20.74 ± 1.72 |
| (B)Gln-66 | −0.647 | −2.810 | 1.318 | −2.148 | 10.44 ± 2.52 |
| (B)Met-115 | −1.745 | −0.003 | 0.760 | −0.988 | 21.84 ± 3.64 |
| (B)Ile-116 | −0.846 | −0.186 | 0.310 | −0.721 | 8.68 ± 2.65 |
| (B)Ser-117 | −0.831 | −0.373 | 0.300 | −0.904 | 13.11 ± 2.55 |
| (B)Ala-121 | −1.212 | 0.170 | 0.445 | −0.596 | 24.75 ± 2.70 |
| (B)Asp-122 | −0.644 | −0.746 | 0.651 | −0.738 | 9.51 ± 3.87 |
| (B)Tyr-123 | −0.826 | 0.072 | 0.182 | −0.571 | 14.55 ± 3.64 |
| H-Bonds Donor | H-Bonds Acceptor | H-Bonds Occupancy | Average Numbers of H-Bonds |
|---|---|---|---|
| Capsaicin-O21 | (B)Gln-66-side-OE1 | 91.40% | 19 |
| Capsaicin-O21 | (A)Ala-121-main-O | 41.12% | |
| (A)Ile-116-main-N | Capsaicin-O22 | 24.35% | |
| (B)Gln-66-side-NE2 | Capsaicin-O20 | 11.58% | |
| (A)Ser-117-main-N | Capsaicin-O22 | 10.18% | |
| Zucapsaicin-O3 | (A)Gln-66-side-NE2 | 29.34% | 14 |
| Zucapsaicin-N4 | (B)Met-115-side-SD | 23.15% | |
| Zucapsaicin-O3 | (B)Ala-121-main-O | 36.73% | |
| Zucapsaicin-O3 | (A)Asp-73-side-OD1 | 19.56% | |
| Zucapsaicin-O3 | (A)Gln-66-side-OE1 | 36.53% | |
| (B)Ile-116-main-N | Zucapsaicin-O1 | 17.37% | |
| (B)Ser-117-main-N | Zucapsaicin-O1 | 22.55% | |
| (B)Ser-117-side-OG | Zucapsaicin-O1 | 11.38% | |
| 6-gingerol-O19 | (B)Gln-66-side-OE1 | 85.03% | 25 |
| (B)Ser-117-side-OG | 6-gingerol-O20 | 56.11% | |
| (B)Gln-66-side-NE2 | 6-gingerol-O19 | 13.97% | |
| 6-gingerol-O19 | (B)Ala-121-main-O | 37.33% | |
| 6-gingerol-O21 | (B)Met-115-main-O | 21.16% | |
| 6-gingerol-O21 | (B)Ile-54-main-O | 16.97% | |
| (B)Ile-116-main-N | 6-gingerol-O21 | 14.57% | |
| Curcumin-O27 | Tyr-56-side-OH | 13.37% | 18 |
| (A)Tyr-123-main-N | Curcumin-side-O23 | 55.69% | |
| Curcumin-O22 | (A)Ala121-main-O | 20.16% | |
| (A)Asp-122-main-N | Curcumin-side-O23 | 35.33% | |
| (A)Lys-124-side-NZ | Curcumin-O27 | 20.56% | |
| (B)Ile-116-main-N | Curcumin-O24 | 43.71% |
Disclaimer/Publisher’s Note: The statements, opinions and data contained in all publications are solely those of the individual author(s) and contributor(s) and not of MDPI and/or the editor(s). MDPI and/or the editor(s) disclaim responsibility for any injury to people or property resulting from any ideas, methods, instructions or products referred to in the content. |
© 2023 by the authors. Licensee MDPI, Basel, Switzerland. This article is an open access article distributed under the terms and conditions of the Creative Commons Attribution (CC BY) license (https://creativecommons.org/licenses/by/4.0/).
Share and Cite
Wu, X.; Wang, N.; Liang, J.; Wang, B.; Jin, Y.; Liu, B.; Yang, Y. Is the Triggering of PD-L1 Dimerization a Potential Mechanism for Food-Derived Small Molecules in Cancer Immunotherapy? A Study by Molecular Dynamics. Int. J. Mol. Sci. 2023, 24, 1413. https://doi.org/10.3390/ijms24021413
Wu X, Wang N, Liang J, Wang B, Jin Y, Liu B, Yang Y. Is the Triggering of PD-L1 Dimerization a Potential Mechanism for Food-Derived Small Molecules in Cancer Immunotherapy? A Study by Molecular Dynamics. International Journal of Molecular Sciences. 2023; 24(2):1413. https://doi.org/10.3390/ijms24021413
Chicago/Turabian StyleWu, Xiaoyan, Na Wang, Jianhuai Liang, Bingfeng Wang, Yulong Jin, Boping Liu, and Yang Yang. 2023. "Is the Triggering of PD-L1 Dimerization a Potential Mechanism for Food-Derived Small Molecules in Cancer Immunotherapy? A Study by Molecular Dynamics" International Journal of Molecular Sciences 24, no. 2: 1413. https://doi.org/10.3390/ijms24021413
APA StyleWu, X., Wang, N., Liang, J., Wang, B., Jin, Y., Liu, B., & Yang, Y. (2023). Is the Triggering of PD-L1 Dimerization a Potential Mechanism for Food-Derived Small Molecules in Cancer Immunotherapy? A Study by Molecular Dynamics. International Journal of Molecular Sciences, 24(2), 1413. https://doi.org/10.3390/ijms24021413

