Characterization and Comparative Analysis of the Complete Plastomes of Five Epidendrum (Epidendreae, Orchidaceae) Species
Abstract
:1. Introduction
2. Results
2.1. Genome Features
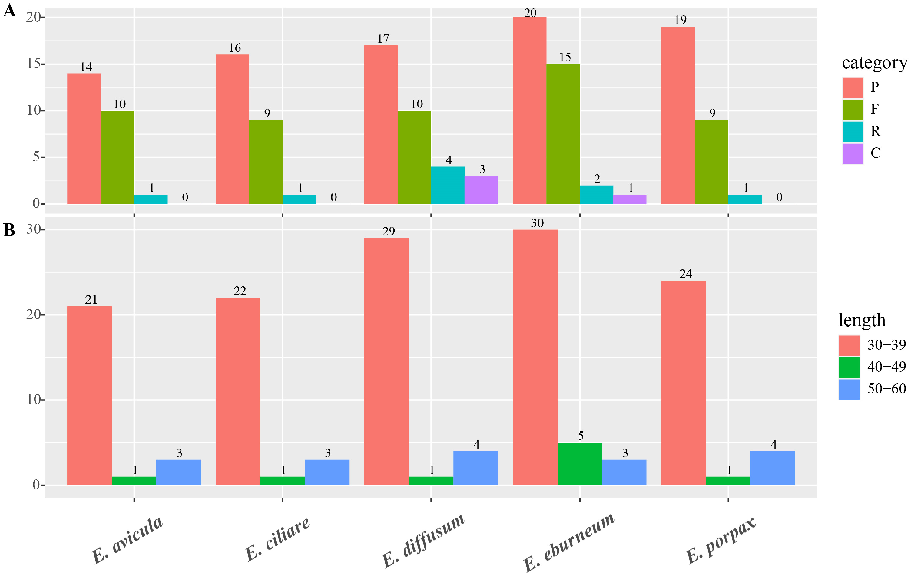
2.2. Long Repeat and Simple Sequence Repeat (SSR) Analysis
2.3. Relative Synonymous Codon Usage Analysis
2.4. Sequence Variation and Barcoding Investigation
2.5. Phylogenetic Analysis
3. Discussion
3.1. Plastome Characteristics and Structure
3.2. Plastid Genomic Evolutionary Hotspots
3.3. Phylogeny of Epidendrum and Its Related Taxon
4. Materials and Methods
4.1. Sample Sampling, DNA Extraction and Sequencing, Plastome Assembly and Annotation
4.2. Analysis of Plastome Structure, Repeat Sequences, and Codon Usage
4.3. Analysis of Sequence Variation, Barcoding Investigation, and Phylogeny
5. Conclusions
Supplementary Materials
Author Contributions
Funding
Institutional Review Board Statement
Informed Consent Statement
Data Availability Statement
Acknowledgments
Conflicts of Interest
References
- Chase, M.W.; Cameron, K.M.; Freudenstein, J.V.; Pridgeon, A.M.; Salazar, G.; Van den Berg, C.; Schuiteman, A. An updated classification of Orchidaceae. Bot. J. Linn. Soc. 2015, 177, 151–174. [Google Scholar] [CrossRef]
- Christenhusz, M.J.M.; Byng, J.W. The number of known plants species in the world and its annual increase. Phytotaxa 2016, 261, 201–217. [Google Scholar] [CrossRef]
- Pridgeon, A.M.; Cribb, P.J.; Chase, M.W.; Rasmussen, F.N. Genera Orchidacearum Volume 4: Epidendroideae (Part 1); OUP Oxford Press: Oxford, UK, 2005. [Google Scholar]
- Thwala, M.; Wahome, P.K.; Oseni, T.O.; Masarirambi, M.T. Effects of floral preservatives on the vase life of Orchid (Epidendrum radicans L.) cut flowers. Horticult. Sci. Ornament. Plants 2013, 5, 22–29. [Google Scholar]
- Mera, I.F.G.; Hernández, O.D.L.; Córdova, V.M. Phytochemical screening and in vitro anti-inflammatory activity of ethanolic extract of Epidendrum coryophorum leaves. Bionatura 2020, 5, 1387–1393. [Google Scholar] [CrossRef]
- da Silva Cintra, M.C.; Lemes, P.; Alvarado, S.T.; Pessoa, E.M. Filling the gap to avoid extinction: Conservation status of Brazilian species of Epidendrum L.(Orchidaceae). J. Nat. Conserv. 2023, 71, 126328. [Google Scholar] [CrossRef]
- Pessoa, E.M.; Alves, M.; Alves-Araújo, A.; Palma-Silva, C.; Pinheiro, F. Integrating different tools to disentangle species complexes: A case study in Epidendrum (Orchidaceae). Taxon 2012, 61, 721–734. [Google Scholar] [CrossRef]
- Pinheiro, F.; Cozzolino, S. Epidendrum (Orchidaceae) as a model system for ecological and evolutionary studies in the Neotropics. Taxon 2013, 62, 77–88. [Google Scholar] [CrossRef]
- Sujii, P.S.; Cozzolino, S.; Pinheiro, F. Hybridization and geographic distribution shapes the spatial genetic structure of two co-occurring orchid species. Heredity 2019, 123, 458–469. [Google Scholar] [CrossRef]
- Pansarin, E.R.; Amaral, M.D.C.E.D. Reproductive biology and pollination mechanisms of Epidendrum secundum (Orchidaceae). Floral variation: A consequence of natural hybridization? Plant Biol. 2008, 10, 211–219. [Google Scholar] [CrossRef]
- Cardoso-Gustavson, P.; Saka, M.N.; Pessoa, E.M.; Palma-Silva, C.; Pinheiro, F. Unidirectional transitions in nectar gain and loss suggest food deception is a stable evolutionary strategy in Epidendrum (Orchidaceae): Insights from anatomical and molecular evidence. BMC Plant Biol. 2018, 18, 179. [Google Scholar] [CrossRef]
- Pessoa, E.M.; Cordeiro, J.M.; Felix, L.P.; Almeida, E.M.; Costa, L.; Nepomuceno, Á.; Souza, G.; Chase, M.W.; Alves, M.; Van den Berg, C. Too many species: Morphometrics, molecular phylogenetics and genome structure of a Brazilian species complex in Epidendrum (Laeliinae; Orchidaceae) reveal fewer species than previously thought. Bot. J. Linn. Soc. 2021, 195, 161–188. [Google Scholar] [CrossRef]
- Pinheiro, F.; Koehler, S.; Corrêa, A.M.; Salatino, M.L.F.; Salatino, A.; de Barros, F. Phylogenetic relationships and infrageneric classification of Epidendrum subgenus Amphiglottium (Laeliinae, Orchidaceae). Plant Syst. Evol. 2009, 283, 165–177. [Google Scholar] [CrossRef]
- Dressler, R.L. The genera Amblostoma, Lanium, and Stenoglossum (Orchidaceae). Brittonia 1967, 19, 237–243. [Google Scholar] [CrossRef]
- Dressler, R.L. The delineation of genera in the Epidendrum complex. Orquídea (Méx.) 1984, 9, 277–298. [Google Scholar]
- Hagsater, E.; Tan, K.W. Towards an understanding of the genus Epidendrum. In Proceedings of the Eleventh World Orchid Conference; American Orchid Society: Miami, FL, USA, 1985; pp. 195–201. [Google Scholar]
- van den Berg, C.; Higgins, W.E.; Dressler, R.L.; Whitten, W.M.; Soto, A.; Culham, A.; Chase, M.W. A phylogenetic analysis of Laeliinae (Orchidaceae) based on sequence data from internal transcribed spacers (ITS) of nuclear ribosomal DNA. Lindleyana 2000, 15, 96–114. [Google Scholar]
- van den Berg, C.; Higgins, W.E.; Dressler, R.L.; Whitten, W.M.; Soto-Arenas, M.A.; Chase, M.W. A phylogenetic study of Laeliinae (Orchidaceae) based on combined nuclear and plastid DNA sequences. Ann. Bot. 2009, 104, 417–430. [Google Scholar] [CrossRef]
- Hágsater, E.; Granados, M.C.; Salazar, G.A.; Quiroga-González, S.; Magallón, S.; van den Berg, C.; Moriarty, L.E.; Lemmon, A.R.; Pridgeon, A.; Arosemena, A.R. Phylogenomics of Epidendrum: Untangling a Neotropical mega-diversification. In Proceedings, 22 World Orchid Conference, Conference Papers/Systematics; Asociación Ecuatoriana de Orquideología: Guayaquil, Ecuador, 2019; pp. 249–254. [Google Scholar]
- Daniell, H.; Lin, C.S.; Yu, M.; Chang, W.J. Chloroplast genomes: Diversity, evolution, and applications in genetic engineering. Genome Biol. 2016, 17, 134. [Google Scholar] [CrossRef]
- Givnish, T.J.; Spalink, D.; Ames, M.; Lyon, S.P.; Hunter, S.J.; Zuluaga, A.; Iles, W.J.; Clements, M.A.; Arroyo, M.T.; Leebens-Mack, J.; et al. Orchid phylogenomics and multiple drivers of their extraordinary diversification. Proc. R. Soc. B Biol. Sci. 2015, 282, 20151553. [Google Scholar] [CrossRef]
- Liu, D.K.; Tu, X.D.; Zhao, Z.; Zeng, M.Y.; Zhang, S.; Ma, L.; Zhang, G.Q.; Wang, M.M.; Liu, Z.J.; Lan, S.R.; et al. Plastid phylogenomic data yield new and robust insights into the phylogeny of Cleisostoma-Gastrochilus clades (Orchidaceae, Aeridinae). Mol. Phylogenet. Evol. 2020, 145, 106729. [Google Scholar] [CrossRef]
- Li, Z.H.; Jiang, Y.; Ma, X.; Li, J.W.; Yang, J.B.; Wu, J.Y.; Jin, X.H. Plastid genome evolution in the subtribe Calypsoinae (Epidendroideae, Orchidaceae). Genome Biol. Evol. 2020, 12, 867–870. [Google Scholar] [CrossRef]
- Kim, Y.K.; Jo, S.; Cheon, S.H.; Joo, M.J.; Hong, J.R.; Kwak, M.; Kim, K.J. Plastome evolution and phylogeny of Orchidaceae, with 24 new sequences. Front. Plant Sci. 2020, 11, 22. [Google Scholar] [CrossRef] [PubMed]
- Zavala-Páez, M.; Vieira, L.D.N.; Baura, V.A.D.; Balsanelli, E.; Souza, E.M.D.; Cevallos, M.C.; Chase, M.W.; Smidt, E.D.C. Comparative plastid genomics of neotropical Bulbophyllum (Orchidaceae; Epidendroideae). Front. Plant Sci. 2020, 11, 799. [Google Scholar] [CrossRef] [PubMed]
- Xue, Q.; Yang, J.; Yu, W.; Wang, H.; Hou, Z.; Li, C.; Xue, Q.; Liu, W.; Ding, X.; Niu, Z. The climate changes promoted the chloroplast genomic evolution of Dendrobium orchids among multiple photosynthetic pathways. BMC Plant Biol. 2023, 23, 189. [Google Scholar] [CrossRef] [PubMed]
- Li, Z.H.; Ma, X.; Wang, D.Y.; Li, Y.X.; Wang, C.W.; Jin, X.H. Evolution of plastid genomes of Holcoglossum (Orchidaceae) with recent radiation. BMC Evol. Biol. 2019, 19, 63. [Google Scholar] [CrossRef]
- Chen, J.; Wang, F.; Zhao, Z.; Li, M.; Liu, Z.; Peng, D. Complete Chloroplast Genomes and Comparative Analyses of Three Paraphalaenopsis (Aeridinae, Orchidaceae) Species. Int. J. Mol. Sci. 2023, 24, 11167. [Google Scholar] [CrossRef] [PubMed]
- Jiang, H.; Tian, J.; Yang, J.; Dong, X.; Zhong, Z.; Mwachala, G.; Zhang, C.; Hu, G.; Wang, Q. Comparative and phylogenetic analyses of six Kenya Polystachya (Orchidaceae) species based on the complete chloroplast genome sequences. BMC Plant Biol. 2022, 22, 177. [Google Scholar] [CrossRef]
- Sanderson, M.J.; Copetti, D.; Búrquez, A.; Bustamante, E.; Charboneau, J.L.; Eguiarte, L.E.; Kumar, S.; Lee, H.O.; Lee, J.; McMahon, M.; et al. Exceptional reduction of the plastid genome of saguaro cactus (Carnegiea gigantea): Loss of the ndh gene suite and inverted repeat. Am. J. Bot. 2015, 102, 1115–1127. [Google Scholar] [CrossRef]
- Raubeson, L.A.; Peery, R.; Chumley, T.W.; Dziubek, C.; Fourcade, H.M.; Boore, J.L.; Jansen, R.K. Comparative chloroplast genomics: Analyses including new sequences from the angiosperms Nuphar advena and Ranunculus macranthus. BMC Genom. 2007, 8, 174. [Google Scholar] [CrossRef]
- Zhang, Z.; Zhang, D.S.; Zou, L.; Yao, C.Y. Comparison of chloroplast genomes and phylogenomics in the Ficus sarmentosa complex (Moraceae). PLoS ONE 2022, 17, e0279849. [Google Scholar] [CrossRef]
- Xi, J.; Lv, S.; Zhang, W.; Zhang, J.; Wang, K.; Guo, H.; Hu, J.; Yang, Y.; Wang, J.; Xia, G.; et al. Comparative plastomes of Carya species provide new insights into the plastomes evolution and maternal phylogeny of the genus. Front. Plant Sci. 2022, 13, 990064. [Google Scholar] [CrossRef]
- Xiao, T.; He, L.; Yue, L.; Zhang, Y.; Lee, S.Y. Comparative phylogenetic analysis of complete plastid genomes of Renanthera (Orchidaceae). Front. Genet. 2022, 13, 998575. [Google Scholar] [CrossRef] [PubMed]
- Yang, X.; Luo, X.; Cai, X. Analysis of codon usage pattern in Taenia saginata based on a transcriptome dataset. Parasit. Vectors 2014, 7, 527. [Google Scholar] [CrossRef] [PubMed]
- Li, L.; Wu, Q.; Fang, L.; Wu, K.; Li, M.; Zeng, S. Comparative chloroplast genomics and phylogenetic analysis of Thuniopsis and closely related genera within Coelogyninae (Orchidaceae). Front. Genet. 2022, 13, 850201. [Google Scholar] [CrossRef] [PubMed]
- Hebert, P.D.N.; Cywinska, A.; Ball, S.L.; DeWaard, J.R. Biological Identifications through DNA Barcodes. Proc. R. Soc. Lond. B 2003, 270, 313–321. [Google Scholar] [CrossRef]
- Cameron, K.M.; Chase, M.W.; Whitten, W.M.; Kores, P.J.; Jarrell, D.C.; Albert, V.A.; Yukawa, T.; Hills, H.G.; Goldman, D.H. A phylogenetic analysis of the Orchidaceae: Evidence from rbcL nucleotide sequences. Am. J. Bot. 1999, 86, 208–224. [Google Scholar] [CrossRef]
- Cameron, K.M. An expanded phylogenetic analysis of Orchidaceae using three plastid genes: rbcL, atpB, and psaB. Am. J. Bot. 2001, 88, 104. [Google Scholar]
- Kocyan, A.; Qiu, Y.L.; Endress, P.K.; Conti, E. A phylogenetic analysis of Apostasioideae (Orchidaceae) based on ITS, trnL-F, and matK sequences. Plant Syst. Evol. 2004, 247, 203–213. [Google Scholar] [CrossRef]
- Song, Y.; Chen, Y.; Lv, J.; Xu, J.; Zhu, S.; Li, M.; Chen, N. Development of chloroplast genomic resources for Oryza species discrimination. Front. Plant Sci. 2017, 8, 1854. [Google Scholar] [CrossRef]
- van den Berg, C.; Goldman, D.H.; Freudenstein, J.V.; Pridgeon, A.M.; Cameron, K.M.; Chase, M.W. An overview of the phylogenetic relationships within Epidendroideae inferred from multiple DNA regions and recircumscription of Epidendreae and Arethuseae (Orchidaceae). Am. J. Bot. 2005, 92, 613–624. [Google Scholar] [CrossRef]
- Szlachetko, D.L. Systema orchidalium. Fragm. Flor. Geobot. 1995, Suppl. S3, 1–152. [Google Scholar]
- Rissman, A.I.; Mau, B.; Biehl, B.S.; Darling, A.E.; Glasner, J.D.; Perna, N.T. Reordering contigs of draft genomes using the Mauve aligner. Bioinformatics 2009, 25, 2071–2073. [Google Scholar] [CrossRef] [PubMed]
- Amiryousefi, A.; Hyvonen, J.; Poczai, P. IRscope: An online program to visualize the junction sites of chloroplast genomes. Bioinformatics 2018, 34, 3030–3031. [Google Scholar] [CrossRef] [PubMed]
- Kurtz, S.; Choudhuri, J.V.; Ohlebusch, E.; Schleiermacher, C.; Stoye, J.; Giegerich, R. REPuter: The manifold applications of repeat analysis on a genomic scale. Nucleic Acids Res. 2001, 29, 4633–4642. [Google Scholar] [CrossRef] [PubMed]
- Beier, S.; Thiel, T.; Münch, T.; Scholz, U.; Mascher, M. MISA-web: A web server for microsatellite prediction. Bioinformatics 2017, 33, 2583–2585. [Google Scholar] [CrossRef]
- Villanueva, R.A.M.; Chen, Z.J. ggplot2: Elegant graphics for data analysis (2nd ed.). Meas. IRP 2019, 17, 160–167. [Google Scholar] [CrossRef]
- Zhang, D.; Gao, F.; Jakovlić, I.; Zou, H.; Zhang, J.; Li, W.X.; Wang, G.T. PhyloSuite: An integrated and scalable desktop platform for streamlined molecular sequence data management and evolutionary phylogenetics studies. Mol. Ecol. Resour. 2020, 20, 348–355. [Google Scholar] [CrossRef]
- Xia, X. DAMBE7: New and improved tools for data analysis in molecular biology and evolution. Mol. Biol. Evol. 2018, 35, 1550–1552. [Google Scholar] [CrossRef]
- Brudno, M.; Malde, S.; Poliakov, A.; Do, C.B.; Couronne, O.; Dubchak, I.; Batzoglou, S. Glocal alignment: Finding rearrangements during alignment. Bioinformatics 2003, 19, i54–i62. [Google Scholar] [CrossRef]
- Rozas, J.; Ferrer-Mata, A.; Sánchez-DelBarrio, J.C.; Guirao-Rico, S.; Librado, P.; Ramos-Onsins, S.E.; Sánchez-Gracia, A. DnaSP 6: DNA sequence polymorphism analysis of large data sets. Mol. Biol. Evol. 2017, 34, 3299–3302. [Google Scholar] [CrossRef]
- Katoh, K.; Standley, D.M. MAFFT multiple sequence alignment software version 7: Improvements in performance and usability. Mol. Biol. Evol. 2013, 30, 772–780. [Google Scholar] [CrossRef]






| Feathers | E. avicula | E. ciliare | E. diffusum | E. eburneum | E. porpax |
|---|---|---|---|---|---|
| Total length (bp) | 149,741 | 149,580 | 147,902 | 150,986 | 148,859 |
| GC content (%) | 37.16 | 37.33 | 37.32 | 37.19 | 37.27 |
| LSC length (bp) | 85,456 | 85,626 | 83,582 | 85,476 | 85,344 |
| GC content (%) | 34.72 | 34.83 | 34.80 | 34.68 | 34.72 |
| SSC length (bp) | 12,659 | 12,226 | 12,518 | 12,422 | 11,059 |
| GC content (%) | 28.32 | 29.18 | 28.93 | 28.65 | 27.83 |
| IR length (bp) | 25,813 | 25,864 | 25,901 | 26,544 | 26,228 |
| GC content (%) | 43.37 | 43.41 | 43.41 | 43.23 | 43.40 |
| Number of genes | 129 | 128 | 124 | 128 | 127 |
| Protein-coding genes | 83 | 82 | 78 | 82 | 81 |
| tRNA genes | 38 | 38 | 38 | 38 | 38 |
| rRNA genes | 8 | 8 | 8 | 8 | 8 |
| ndh genes | 9 | 8 | 4 | 8 | 7 |
| Specimen voucher | MHLi or147 | MHLi or123 | MHLi or137 | MHLi or140 | MHLi or131 |
| Accession number | OR460026 | OR460022 | OR460023 | OR460025 | OR460024 |
| Codon | AA | E. avicula | E. ciliare | E. diffusum | E. eburneum | E. porpax | |||||
|---|---|---|---|---|---|---|---|---|---|---|---|
| Frequency | RSCU | Frequency | RSCU | Frequency | RSCU | Frequency | RSCU | Frequency | RSCU | ||
| UAA | * | 32 | 1.412 | 30 | 1.324 | 29 | 1.279 | 31 | 1.368 | 32 | 1.412 |
| UAG | * | 17 | 0.750 | 19 | 0.838 | 19 | 0.838 | 19 | 0.838 | 19 | 0.838 |
| UGA | * | 19 | 0.838 | 19 | 0.838 | 20 | 0.882 | 18 | 0.794 | 17 | 0.750 |
| GCA | Ala | 321 | 1.224 | 320 | 1.220 | 322 | 1.221 | 323 | 1.234 | 322 | 1.233 |
| GCC | Ala | 145 | 0.553 | 144 | 0.549 | 140 | 0.531 | 141 | 0.539 | 143 | 0.547 |
| GCG | Ala | 93 | 0.355 | 97 | 0.370 | 99 | 0.375 | 94 | 0.359 | 94 | 0.360 |
| GCU | Ala | 490 | 1.868 | 488 | 1.861 | 494 | 1.873 | 489 | 1.868 | 486 | 1.860 |
| UGC | Cys | 55 | 0.524 | 51 | 0.474 | 53 | 0.495 | 52 | 0.491 | 54 | 0.512 |
| UGU | Cys | 155 | 1.476 | 164 | 1.526 | 161 | 1.505 | 160 | 1.509 | 157 | 1.488 |
| GAC | Asp | 148 | 0.376 | 149 | 0.376 | 152 | 0.386 | 149 | 0.375 | 147 | 0.373 |
| GAU | Asp | 639 | 1.624 | 643 | 1.624 | 635 | 1.614 | 645 | 1.625 | 641 | 1.627 |
| GAA | Glu | 821 | 1.519 | 832 | 1.524 | 822 | 1.522 | 839 | 1.532 | 828 | 1.523 |
| GAG | Glu | 260 | 0.481 | 260 | 0.476 | 258 | 0.478 | 256 | 0.468 | 259 | 0.477 |
| UUC | Phe | 376 | 0.701 | 379 | 0.704 | 382 | 0.712 | 379 | 0.703 | 376 | 0.697 |
| UUU | Phe | 696 | 1.299 | 697 | 1.296 | 691 | 1.288 | 699 | 1.297 | 703 | 1.303 |
| GGA | Gly | 507 | 1.543 | 506 | 1.536 | 507 | 1.542 | 510 | 1.547 | 515 | 1.561 |
| GGC | Gly | 130 | 0.396 | 133 | 0.404 | 130 | 0.395 | 133 | 0.403 | 128 | 0.388 |
| GGG | Gly | 236 | 0.718 | 239 | 0.725 | 236 | 0.718 | 233 | 0.707 | 232 | 0.703 |
| GGU | Gly | 441 | 1.342 | 440 | 1.335 | 442 | 1.344 | 443 | 1.343 | 445 | 1.348 |
| CAC | His | 110 | 0.448 | 110 | 0.451 | 111 | 0.452 | 110 | 0.453 | 110 | 0.451 |
| CAU | His | 381 | 1.552 | 378 | 1.549 | 380 | 1.548 | 376 | 1.547 | 378 | 1.549 |
| AUA | Iso | 473 | 0.880 | 492 | 0.909 | 483 | 0.898 | 485 | 0.902 | 484 | 0.900 |
| AUC | Iso | 332 | 0.618 | 335 | 0.619 | 327 | 0.608 | 332 | 0.617 | 333 | 0.619 |
| AUU | Iso | 807 | 1.502 | 797 | 1.472 | 803 | 1.493 | 796 | 1.480 | 797 | 1.481 |
| AAA | Lys | 826 | 1.495 | 823 | 1.484 | 814 | 1.485 | 827 | 1.486 | 819 | 1.470 |
| AAG | Lys | 279 | 0.505 | 286 | 0.516 | 282 | 0.515 | 286 | 0.514 | 295 | 0.530 |
| CUA | Leu | 255 | 1.123 | 264 | 1.140 | 263 | 1.142 | 261 | 1.129 | 271 | 1.172 |
| CUC | Leu | 125 | 0.551 | 127 | 0.549 | 124 | 0.539 | 126 | 0.545 | 122 | 0.528 |
| CUG | Leu | 136 | 0.599 | 137 | 0.592 | 134 | 0.582 | 137 | 0.592 | 137 | 0.592 |
| CUU | Leu | 392 | 1.727 | 398 | 1.719 | 400 | 1.737 | 401 | 1.734 | 395 | 1.708 |
| UUA | Leu | 617 | 1.198 | 612 | 1.192 | 609 | 1.183 | 616 | 1.194 | 615 | 1.198 |
| UUG | Leu | 413 | 0.802 | 415 | 0.808 | 421 | 0.817 | 416 | 0.806 | 412 | 0.802 |
| AUG | Met | 439 | 1.000 | 438 | 1.000 | 436 | 1.000 | 446 | 1.000 | 439 | 1.000 |
| AAC | Asp | 192 | 0.413 | 188 | 0.409 | 190 | 0.410 | 191 | 0.411 | 193 | 0.420 |
| AAU | Asp | 737 | 1.587 | 731 | 1.591 | 736 | 1.590 | 738 | 1.589 | 725 | 1.580 |
| CCA | Pro | 211 | 1.098 | 213 | 1.095 | 211 | 1.090 | 212 | 1.091 | 208 | 1.081 |
| CCC | Pro | 174 | 0.905 | 174 | 0.895 | 175 | 0.904 | 176 | 0.906 | 173 | 0.899 |
| CCG | Pro | 85 | 0.442 | 84 | 0.432 | 85 | 0.439 | 84 | 0.432 | 86 | 0.447 |
| CCU | Pro | 299 | 1.555 | 307 | 1.578 | 303 | 1.566 | 305 | 1.570 | 303 | 1.574 |
| CAA | Glu | 568 | 1.548 | 565 | 1.546 | 564 | 1.547 | 569 | 1.546 | 571 | 1.550 |
| CAG | Glu | 166 | 0.452 | 166 | 0.454 | 165 | 0.453 | 167 | 0.454 | 166 | 0.450 |
| AGA | Arg | 376 | 1.510 | 388 | 1.525 | 385 | 1.513 | 384 | 1.509 | 383 | 1.520 |
| AGG | Arg | 122 | 0.490 | 121 | 0.475 | 124 | 0.487 | 125 | 0.491 | 121 | 0.480 |
| CGA | Arg | 275 | 1.558 | 269 | 1.528 | 272 | 1.541 | 271 | 1.535 | 271 | 1.542 |
| CGC | Arg | 64 | 0.363 | 67 | 0.381 | 67 | 0.380 | 67 | 0.380 | 65 | 0.370 |
| CGG | Arg | 82 | 0.465 | 81 | 0.460 | 81 | 0.459 | 81 | 0.459 | 82 | 0.467 |
| CGU | Arg | 285 | 1.615 | 287 | 1.631 | 286 | 1.620 | 287 | 1.626 | 285 | 1.622 |
| AGC | Ser | 80 | 0.409 | 78 | 0.394 | 79 | 0.406 | 78 | 0.397 | 79 | 0.403 |
| AGU | Ser | 311 | 1.591 | 318 | 1.606 | 310 | 1.594 | 315 | 1.603 | 313 | 1.597 |
| UCA | Ser | 287 | 1.073 | 288 | 1.076 | 283 | 1.062 | 284 | 1.059 | 290 | 1.074 |
| UCC | Ser | 230 | 0.860 | 227 | 0.848 | 224 | 0.841 | 231 | 0.861 | 232 | 0.859 |
| UCG | Ser | 109 | 0.407 | 112 | 0.418 | 113 | 0.424 | 115 | 0.429 | 111 | 0.411 |
| UCU | Ser | 444 | 1.660 | 444 | 1.658 | 446 | 1.674 | 443 | 1.651 | 447 | 1.656 |
| ACA | Thr | 296 | 1.221 | 298 | 1.214 | 294 | 1.212 | 306 | 1.250 | 301 | 1.229 |
| ACC | Thr | 177 | 0.730 | 173 | 0.705 | 175 | 0.722 | 172 | 0.703 | 179 | 0.731 |
| ACG | Thr | 105 | 0.433 | 104 | 0.424 | 104 | 0.429 | 100 | 0.409 | 101 | 0.412 |
| ACU | Thr | 392 | 1.616 | 407 | 1.658 | 397 | 1.637 | 401 | 1.638 | 399 | 1.629 |
| GUA | Val | 385 | 1.454 | 386 | 1.464 | 385 | 1.462 | 384 | 1.449 | 386 | 1.458 |
| GUC | Val | 135 | 0.510 | 132 | 0.500 | 133 | 0.505 | 135 | 0.509 | 131 | 0.495 |
| GUG | Val | 159 | 0.601 | 160 | 0.607 | 158 | 0.600 | 160 | 0.604 | 164 | 0.619 |
| GUU | Val | 380 | 1.435 | 377 | 1.429 | 377 | 1.432 | 381 | 1.438 | 378 | 1.428 |
| UGG | Try | 340 | 1.000 | 340 | 1.000 | 336 | 1.000 | 337 | 1.000 | 336 | 1.000 |
| UAC | Tyr | 126 | 0.370 | 124 | 0.368 | 128 | 0.383 | 128 | 0.378 | 125 | 0.370 |
| UAU | Tyr | 556 | 1.630 | 550 | 1.632 | 540 | 1.617 | 550 | 1.622 | 551 | 1.630 |
Disclaimer/Publisher’s Note: The statements, opinions and data contained in all publications are solely those of the individual author(s) and contributor(s) and not of MDPI and/or the editor(s). MDPI and/or the editor(s) disclaim responsibility for any injury to people or property resulting from any ideas, methods, instructions or products referred to in the content. |
© 2023 by the authors. Licensee MDPI, Basel, Switzerland. This article is an open access article distributed under the terms and conditions of the Creative Commons Attribution (CC BY) license (https://creativecommons.org/licenses/by/4.0/).
Share and Cite
Zhao, Z.; Zeng, M.-Y.; Wu, Y.-W.; Li, J.-W.; Zhou, Z.; Liu, Z.-J.; Li, M.-H. Characterization and Comparative Analysis of the Complete Plastomes of Five Epidendrum (Epidendreae, Orchidaceae) Species. Int. J. Mol. Sci. 2023, 24, 14437. https://doi.org/10.3390/ijms241914437
Zhao Z, Zeng M-Y, Wu Y-W, Li J-W, Zhou Z, Liu Z-J, Li M-H. Characterization and Comparative Analysis of the Complete Plastomes of Five Epidendrum (Epidendreae, Orchidaceae) Species. International Journal of Molecular Sciences. 2023; 24(19):14437. https://doi.org/10.3390/ijms241914437
Chicago/Turabian StyleZhao, Zhuang, Meng-Yao Zeng, Yu-Wei Wu, Jin-Wei Li, Zhuang Zhou, Zhong-Jian Liu, and Ming-He Li. 2023. "Characterization and Comparative Analysis of the Complete Plastomes of Five Epidendrum (Epidendreae, Orchidaceae) Species" International Journal of Molecular Sciences 24, no. 19: 14437. https://doi.org/10.3390/ijms241914437
APA StyleZhao, Z., Zeng, M.-Y., Wu, Y.-W., Li, J.-W., Zhou, Z., Liu, Z.-J., & Li, M.-H. (2023). Characterization and Comparative Analysis of the Complete Plastomes of Five Epidendrum (Epidendreae, Orchidaceae) Species. International Journal of Molecular Sciences, 24(19), 14437. https://doi.org/10.3390/ijms241914437

