Treatment of Substandard Rocket Fuel 1,1-Dimethylhydrazine via Its Methylene Derivative into Heterocycles Based on Pyrrolo-[3,4c]Quinolines, Cyclododeca[b]piran and Pyrrole
Abstract
1. Introduction
2. Results
2.1. Results of the Syntheses
2.1.1. Structures Based on MDH and MDEA with TCEKs 1a,b,c and 2
- pyrrolo[3,4c]-quinolines 9a,b (TCEKs 1a,b with MDH) (see Figure 6, Section 3 Discussion);
- 9′ (TCEK 1a with MDEA) (see Figure 6, Section 3).
- 8a,4-(epiminomethano)quinoline-3,4-dicarbonitrile 11c (TCEK 1c with MDH) (see Figure 7, Section 3);
- cyclodode[b]pyran-3,4-dicarbonitrile 8 (TCEK 2 with MDH) (see Figure 9, Section 3).
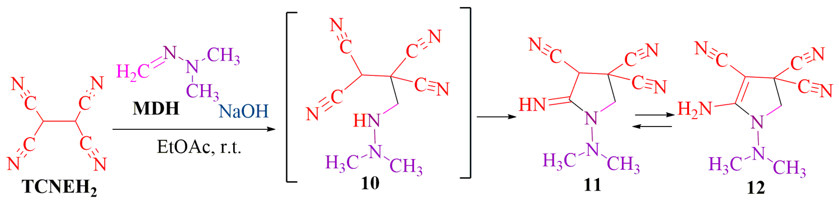
2.1.2. Structures Based on MDH with TCNEH2
- pyrrole derivative 12 (see Figure 14, Section 3);
2.1.3. Elemental Analysis of the Structures Obtained
- 3-Amino-5-(dimethylamino)-1-oxo-4,5,6,7,8,9-hexahydro-1H-pyrrolo[3,4-c]quinoline-3a,9b-dicarbonitrile (9a). Found: C 60.28; H 6.31; N 28.05. C15H18N6O. Calculated %: C 60.39; H 6.08; N 28.17.
- 3-Amino-5-(dimethylamino)-1-oxo-8-(propyl)-4,5,6,7,8,9-hexahydro-1H-pyrrolo[3,4-c]quinoline-3a,9b- dicarbonitrile (9b). Found: C 63.48; H 7.13; N 24.65. C18H24N6O. Calculated %: C 63.51; H 7.11; N 24.69.
- 3-Amino-5-(2-(dimethylamino)ethyl-1-oxo-4,5,6,7,8,9-hexahydro-1H-pyrrolo[3,4-c]quinoline-3a,9b-dicarbonitrile (9′) Found: C 62.53 H 6.75 N 25.80. C17H22N6O. Calculated %: C 62.56; H 6.79; N 25.75.
- 2-(Dimethylamino)-4a-methyl-10-oxo-5,6,7,8-tetrahydro-1H-8a,4-(epimino)quinoline-3,4(4aH)-dicarbonitrile (12c). Found: C 63.08; H 6.69; N 24.55. C15H19N5O. Calculated %: C 63.14; H 6.71; N 24.54.
- (E)2-Amino-6,7,8,9,10,11,12,13-octahydro-5H-cyclododeca [b]pyran-3,4-dicarbonitrile (8). Found: C 72.03; H 7.42; N 14.80. C17H21N3O. Calculated %: C 72.06; H 7.47; N 14.83.
- 5-Amino-1-(dimethylamino)-1,2-dihydro-3H-pyrrole-3,3,4-tricarbonitrile (12). Found, %: C 53.61; H 4.72; N 41.67. C9H10N6. Calculated %: C 53.46; H 4.98; N 41.56.
2.1.4. Crystal Data on the Structures 9a,b, 12c and 8 (See the Descriptions in Section 3, Figures 8–10 and 12)
- Crystal Data for 9a: C15H18N6O (M =298.35 g/mol): triclinic, space group P-1 (no. 2), a = 13.9756(12) Å, b = 15.0773(15) Å, c = 18.0923(13) Å, α = 112.010(8)°, β = 93.942(7)°, γ = 112.380(9)°, V = 3167.3(5) Å3, Z = 8, T = 104(7) K, μ(Cu Kα) = 0.683 mm−1, Dcalc = 1.251 g/cm3, 34121 reflections measured (5.436° ≤ 2Θ ≤ 156.656°), 12415 unique (Rint = 0.1673, Rsigma = 0.1628) which were used in all calculations. The final R1 was 0.0845 (I > 2σ(I)) and wR2 was 0.2282 (all data). CCDC number 2152262.
- Crystal Data for 9b: C22H32N6O3 (M =428.53 g/mol): triclinic, space group P-1 (no. 2), a = 9.42370(10) Å, b = 11.97650(10) Å, c = 11.99720(10) Å, α = 111.2460(10)°, β = 111.1820(10)°, γ = 93.9690(10)°, V = 1145.11(2) Å3, Z = 2, T = 102.2(9) K, μ(Cu Kα) = 0.690 mm−1, Dcalc = 1.243 g/cm3, 33743 reflections measured (8.14° ≤ 2Θ ≤ 153.026°), 4548 unique (Rint = 0.0349, Rsigma = 0.0172) which were used in all calculations. The final R1 was 0.0422 (I > 2σ(I)) and wR2 was 0.1101 (all data). CCDC number 2152263.
- Crystal Data for 12c: C15H19N5O (M =285.35 g/mol): triclinic, space group P-1 (no. 2), a = 7.5867(2) Å, b = 9.1339(3) Å, c = 10.8470(4) Å, α = 76.621(3)°, β = 82.305(3)°, γ = 81.452(3)°, V= 719.26(4) Å3, Z = 2, T = 100(1) K, μ(Cu Kα) = 0.703 mm−1, Dcalc = 1.318 g/cm3, 17589 reflections measured (8.424° ≤ 2Θ ≤ 152.906°), 2865 unique (Rint = 0.0345, Rsigma = 0.0220) which were used in all calculations. The final R1 was 0.0399 (I > 2σ(I)) and wR2 was 0.0993 (all data). CCDC number 2152264.
- Crystal Data for 8: for C17H21N3O (M =283.37 g/mol): triclinic, space group P-1 (no. 2), a = 8.5574(5) Å, b = 9.7008(6) Å, c = 9.7930(4) Å, α = 102.032(4)°, β = 103.106(4)°, γ = 101.505(5)°, V = 747.97(7) Å3, Z = 2, T = 99.9(10) K, μ(Cu Kα) = 0.632 mm−1, Dcalc = 1.258 g/cm3, 7141 reflections measured (9.618° ≤ 2Θ ≤ 153.2°), 2981 unique (Rint = 0.0614, Rsigma = 0.0595) which were used in all calculations. The final R1 was 0.0821 (I > 2σ(I)) and wR2 was 0.2326 (all data). CCDC number 2152265.
3. Discussion

4. Materials and Methods
5. Conclusions
- –
- Double bond (addition to the methylene-active position of tetracyanoketones via a Michael-type reaction);
- –
- Dimethylamine fragment (rearrangement in the 2-methylcyclohexanone derivative);
- –
- Labile hydrogen (addition to the double bond of tetracyanoethylene);
- –
- Serving as a catalyst (accelerating the cyclization of cyclohexanone into a pyran derivative).
Supplementary Materials
Author Contributions
Funding
Institutional Review Board Statement
Informed Consent Statement
Data Availability Statement
Acknowledgments
Conflicts of Interest
References
- Kolesnikov, S.V. General Information about Fuel—1,1 Dimethylhydrazine, Oxidation of Asymmetric Dimethylhydrazine (Heptyl) and Identification of Its Transformation Products in Straits: Monograph; SibAK Publishing House: Novosibirsk, Russia, 2014; Volume K60, p. 110. ISBN 978-5-4379-0359-9. [Google Scholar]
- Klages, F.; Nober, G.; Kircher, F.; Bock, M. Untersuchungen in der Hydrazinreihe. I. Die Darstellung von Tri- und Tetra-alkyl-hydrazinen. Justus Liebig’s Ann. Chem. 1941, 547, 1–38. [Google Scholar] [CrossRef]
- Middleton, W.J.; Heckert, R.E.; Little, E.L.; Krespan, C.G. Cyanocarbon Chemistry. III.1Addition Reactions of Tetracyanoethylene. J. Am. Chem. Soc. 1958, 80, 2783–2788. [Google Scholar] [CrossRef]
- Fardis, M.; Jin, H.; Jabri, S.; Cai, R.Z.; Mish, M.; Tsiang, M.; Kim, C.U. Effect of substitution on novel tricyclic HIV-1 integrase inhibitors. Bioorganic Med. Chem. Lett. 2006, 16, 4031–4035. [Google Scholar] [CrossRef]
- Yamada, R.; Fukuda, K.; Kawanishi, M.; Ohmori, Y.; Nasu, M.; Seto, M.; Sasaki, Y.; Sunazuka, T.; Zhuorong, L.; Funato, N.; et al. Synthesis and activity of staurosporine analogs with a lactone functionality. Bioorganic Med. Chem. Lett. 1996, 6, 1893–1896. [Google Scholar] [CrossRef]
- Singh, S.B.; Goetz, M.A.; Jones, E.T.; Bills, G.F.; Giacobbe, R.A.; Herranz, L.; Stevens-Mile, S.; Williams, D.L. Oteromycin: A Novel Antagonist of Endothelin Receptor. J. Org. Chem. 1995, 60, 7040–7042. [Google Scholar] [CrossRef]
- Micheli, F.; Pasquarello, A.; Tedesco, G.; Hamprecht, D.; Bonanomi, G.; Checchia, A.; Jaxa-Chamiec, A.; Damiani, F.; Davalli, S.; Donati, D.; et al. Diaryl substituted pyrrolidinones and pyrrolones as 5-HT2C inhibitors: Synthesis and biological evaluation. Bioorganic Med. Chem. Lett. 2006, 16, 3906–3912. [Google Scholar] [CrossRef]
- Butora, G.; Morriello, G.J.; Kothandaraman, S.; Guiadeen, D.; Pasternak, A.; Parsons, W.H.; MacCoss, M.; Vicario, P.P.; Cascieri, M.A.; Yang, L. 4-Amino-2-alkyl-butyramides as small molecule CCR2 antagonists with favorable pharmacokinetic properties. Bioorganic Med. Chem. Lett. 2006, 16, 4715–4722. [Google Scholar] [CrossRef]
- Toja, E.; Gorini, C.; Zirotti, C.; Barzaghi, F.; Galliani, G. Amnesia-reversal activity of a series of 5-alkoxy-1-arylsulfonyl-2-pyrrolidinones. Eur. J. Med. Chem. 1991, 26, 403–413. [Google Scholar] [CrossRef]
- Luo, S.; Li, P.; Li, S.; Du, Z.; Hu, X.; Fu, Y.; Zhang, Z. N,N-Dimethyl Tertiary Amino Group Mediated Dual Pancreas- and Lung-Targeting Therapy against Acute Pancreatitis. Mol. Pharm. 2017, 14, 1771–1781. [Google Scholar] [CrossRef] [PubMed]
- Takács, D.; Egyed, O.; Drahos, L.; Szabó, P.; Jemnitz, K.; Szabó, M.; Veres, Z.; Visy, J.; Molnár, J.; Riedl, Z.; et al. Synthesis and pharmacological investigation of new N-hydroxyalkyl-2-aminophenothiazines exhibiting marked MDR inhibitory effect. Bioorganic Med. Chem. 2013, 21, 3760–3779. [Google Scholar] [CrossRef][Green Version]
- Tompson, D.J. Steady-State Pharmacokinetic Properties of a 24-Hour Prolonged-Release Formulation of Ropinerole: Results of Two Randomized Studies in Patients with Parkinson’s Disease. Clin. Pharmacokinet. 2007, 29, 2654–2666. [Google Scholar] [CrossRef]
- Allnoch, L.; Peters, M.; Wiemer, F.; Wohlsein, P. Persistent bilateral mydriasis associated with pituitary adenoma in horses. J. Equine Vet. Med. 2020, 85, 102872. [Google Scholar] [CrossRef]
- Tatum, R.C.; McGowan, C.M.; Ireland, J.L. Efficacy of pergolide for the treatment of intermediate pituitary dysfunction in horses: A systematic review. Vet. J. 2020, 266, 105562. [Google Scholar] [CrossRef]
- Millan, M.J.; Maiofiss, L.; Cussac, D.; Audinot, V.; Boutin, J.A.; Newman-Tancredi, A. Differential actions of antiparkinson agents at multiple classes of monoaminergic receptor. I. A multivariate analysis of the binding profiles of 14 drugs at 21 native and cloned human receptor subtypes. J Pharm. Exp. Ther. 2002, 303, 791–804. [Google Scholar] [CrossRef]
- Assion, H.J. (Ed.) Malignes Neuroleptisches Syndrom; Georg Thieme Verlag: New York, NY, USA, 2004; p. 33. ISBN 978-3-131-33171-7. [Google Scholar]
- Schmuck, K.; Ullmer, C.; Kalkman, H.O.; Probst, A.; Lubbert, H. Activation of meningeal 5-HT2B receptors: An early step in the generation of migraine headache? Eur. J. Neurosci. 1996, 8, 959–967. [Google Scholar] [CrossRef]
- Dressler, D. Apomorphin bei der Behandlung des Morbus Parkinson. Der Nervenarzt 2005, 76, 681–689. [Google Scholar] [CrossRef]
- Shih, S.-R.; Chen, S.-J.; Hakimelahi, G.H.; Liu, H.-J.; Tseng, C.-T.; Shia, K.-S. Selective human enterovirus and rhinovirus inhibitors: An overview of capsid-binding and protease-inhibiting molecules. Med. Res. Rev. 2004, 24, 449–474. [Google Scholar] [CrossRef] [PubMed]
- Dickinson, C.L. Cyanocarbon Chemistry. XV.1A New Synthesis of 3,4-Dicyano-2(1H)-pyridones. J. Am. Chem. Soc. 1960, 82, 4367–4369. [Google Scholar] [CrossRef]
- Fedoseev, S.V.; Ershov, O.V.; Belikov, M.Y.; Lipin, K.V.; Bardasov, I.N.; Nasakin, O.E.; Tafeenko, V.A. Domino synthesis of 3-amino-8-hydroxy-1,6-dioxo-2,7-diazaspiro[4.4]non-3-ene-4-carbonitriles. Tetrahedron Lett. 2013, 54, 2143–2145. [Google Scholar] [CrossRef]
- Belikov, M.Y.; Ershov, O.V.; Eremkin, A.V.; Nasakin, O.E.; Tafeenko, V.A.; Nurieva, E.V. Reaction between 4-oxoalkane-1,1,2,2-tetracarbonitriles and morpholine: Regioselective synthesis of 5-amino-2-(morpholin-4-yl)-3-(2-oxoalkyl)-3H-pyrrol-3,4-dicarbonitriles. Tetrahedron Lett. 2011, 52, 6407–6410. [Google Scholar] [CrossRef]
- Dyachenko, V.D.; Rusanov, E.B. Isopropylidenemalononitrile in the synthesis of 2-amino-4,6,6-trimethylcyclohexa-2,4-diene-1,1,3-tricarbonitrile, 6-amino-2-(4-methoxybenzoylmethylsulfanyl)-4,4-dimethyl-1,4-dihydropyridine-3,5-dicarbonitrile, and fused 2-aminopyrans according to Michael. Russ. J. Org. Chem. 2006, 42, 1374–1379. [Google Scholar] [CrossRef]
- Dürr, U.; Kisch, H. In the Dark and in the Light: Homogeneous and Heterogeneous Catalytic Activation of 1,2-Diazenes. Synlett 2000, 12, 1335–1341. [Google Scholar] [CrossRef]
- Voelker, E.J.; Pleiss, M.G.; Moore, J.A. Heterocyclic studies. 33. 5-Methyl-6-phenyl-1,2-diazabicyclo[3.2.0]-2,6-heptadiene-4-one. Thermolysis to 4-methyl-5-phenylpyridazine. J. Org. Chem. 1970, 35, 3615–3619. [Google Scholar] [CrossRef]
- Moore, J.A.; Kwart, H.; Wheeler, G.; Bruner, H. Heterocyclic studies. XXIII. The cleavage of 2,3-dihydro-1,2-diazepin-4-ones with base. J. Org. Chem. 1967, 32, 1342–1346. [Google Scholar] [CrossRef]
- Banert, K.; Pester, T. Too Short-Lived or Not Existing Species: N-Azidoamines Reinvestigated. J. Org. Chem. 2019, 84, 4033–4039. [Google Scholar] [CrossRef]
- Hecht, S.M.; Werner, D.; Traficante, D.D.; Sundaralingam, M.; Prusiner, P.; Ito, T.; Sakurai, T. Structure determination of the N-methyl isomers of 5-amino-3,4-dicyanopyrazole and certain related pyrazolo[3,4-d]pyrimidines. J. Org. Chem. 1975, 40, 1815–1822. [Google Scholar] [CrossRef]
- Maryasov, M.A.; Davydova, V.V.; Nasakin, O.E.; Shteingolts, S.A.; Lodochnikova, O.A. Synthesis of 2,2-Dimethylhydrazonebut-2-enenitriles and [(2,2-Dimethylhydrazono)methyl]phenylacrylonitriles for Development of Antimicrobial Fluorescent Dyes. Gen. Chem. J. 2021, 91, 1613–1618. [Google Scholar] [CrossRef]
- Sheldrick, G.M. SHELXT: Integration of space group definition and structural solution. Act Crystallogr. 2015, 71, 3–8. [Google Scholar]
- Sheldrick, G.M. A Brief History of SHELX. Act Crystallogr. 2007, 64, 112–122. [Google Scholar] [CrossRef]
- Macrae, C.F.; Edgington, P.R.; McCabe, P.; Pidcock, E.; Shields, G.P.; Taylor, R.R.; Tauler, M.; Van De Strick, J. Mercury: Visualization and analysis of crystal structures. J. Appl. Crystallogr. 2006, 39, 453–457. [Google Scholar] [CrossRef]














| Structural Number | Yield, % | Melting Point, °C | IR (Nujol), νmax/cm−1 | MNR1Hδ, ppm, J, Hz (DMSO-d6) | MNR 13C ppm, (DMSO-d6) | HRMS(ESI) and Mass-Spectra, m/z |
|---|---|---|---|---|---|---|
![]() 9a | 84 | 217–219 | 1659 (s) (C=C), 1736 (vs.) (C=O), 2241 (w) (C≡N), 3291 (vs., br) (NH2) | 9.63 (d, J = 30.32 Hz, 2H, NH2), 3.73 (d, J =11.67 Hz, 1H, CH24), 3.34 (d, J = 11.75 Hz, 1H, CH24), 2.33 (s, 6H, N(CH3)2), 2.28 (m, 2H, CH210), 2.24–2.10 (m, 2H, CH27), 1.65–1.54 (m, 2H, CH29), 1.53–1.29 (m, 2H, CH28). | 178.15 (C=O), 177.07 (C2), 144.94 (C6), 116.16 (C≡N21), 115.24 (C≡N16), 95.07 (C11), 59.76 (C3), 52.94 (C12), 51.08 (CH24), 39.52 (N(CH3)2), 24.92 (CH27), 24.55(CH28), 22.01 (CH29), 21.88 (CH210). | [M + H]+ 299.1620 (calculated for [C15H19N6O]+—299.1620). |
![]() 9b | 75 | 214–216 | 1640 (s) (C=C), 1745 (s) (C=O), 2251 (s) (C≡N), 3494 (vs., br) (NH2) | 9.61 (d, J = 15.42 Hz, 2H, NH2), 3.96 (d, J =11.66 Hz, 1H, CH26), 3.20 (d, J = 11.63 Hz, 1H, CH26), 2.47 (m, 2H, CH210), 1.91 (t, J = 12.45 Hz, 2H, CH213), 1.72 (m, 2H, CH212), 1.49–1.42 (m, 2H, CH11), 1.38–1.28 (m, 2H, CH214), 1.28–1.17 (m, 2H, CH215), 1.04 (s, 3H, NCH317), 1.03 (s, 3H, NCH318), 0.88 (t, J = 7.01 Hz, 3H, CH3). | 178.07 (C=O), 177.15 (C5), 145.03 (C9), 116.19 (C≡N20), 115.30 (C≡N19), 94.70 (C8), 62.07 (C4), 53.33 (C3), 51.57 (CH26), 39.55 (N(CH3)217,18), 37.85 (CH6), 31.91(CH214, CH11), 28.41(CH213), 25.33 ((CH210,12)2), 19.63 (CH215), 14.18 (CH3). | [M + H]+ 341.2090 (calculated for [C18H24N6O]+—341.2090). |
![]() 9′ | 62 | 235–236 | 1661 (s) (C=C), 1748 (vs.) (C=O), 2253 (w) (C≡N), 3291 (br), 3403 (w, br) (NH2) | 9.60 (s, 2H, NH2), 3.66–3.48 (dd, 2H, J = 12.88, 7.66 CH24), 3.25–3.00 (dh, 2H, J = 7.94, 1.88, CH218), 2.29 (dh, J = 6.60, 1.53 Hz, 2H, CH219), 2.18–2.15 (m, 4H, (CH27,10), 2 2.14 (s, 6H, N(CH3)2), 1.54 (m, 2H, CH28), 1.50 (m, 2H, CH29). | 179.31 (C=O), 177.80 (C2), 142.47 ((C11,6)2), 117.16 (C≡N23), 116.05 (C≡N16), 58.90 (CH219), 54.11 (C3), 51.78 (C12), 51.11 (C4), 47.74 (CH218), 46.24 (N(CH3)2), 25.94 (CH27), 25.78 (CH28), 22.93 (CH29), 22.70 (CH210). | Gas-chromatography mass-spectrum: [M+H]+ 326 (calculated for [C17H22N6O]+—326.1933) |
![]() 12c | 48 | >250 | 1579 (s) (C=C), 1717 (vs) (C=O), 2168 (vs) (=C-C≡N), 2242 (w) (C≡N), 3167 (br), 3282 (w) (NH) | 8.42 (s, 1H, NH1), 7.06 (s, 1H, NH6), 2.91 (s, 6H, N(CH3)2), 2.03–1.07 (m, 8H, (CH212−7)4), 0.89 (s, 3H, CH3) | 168.68 (C=O), 157.75 (C5), 120.99 (C≡N14), 115.88 (C≡N11), 71.98 (C5), 54.29 (C7), 51.62 (C12), 40.67 (C3), 40.09 (N(CH3)219,20), 31.86 (CH28), 26.66 (CH211), 20.86 (CH29), 20.06 (CH210), 13.72 (CH3). | [M + H]+ 286.1668 (calculated for [C15H20N5O]+—286.1668) |
![]() 8 | 64 | 210–212 | 1547 (s) (C=C), 1658 (vs.) (C=C), 1731 (w) (=C-O), 2182 (s), 2233 (s) (C≡N), 3379 (w, br) (NH2) | 8.12 (s, 2H, NH2), 5.27 (t, J = 8.16 Hz, 1H, CH15), 2.20 (q, J = 6.15 Hz, 2H, CH214), 1.67–1.08 (m, 16H, (CH213−6)8). | 163.23 (C2), 145.43 (C16), 130.86 (C5), 116.93 (C4), 115.23 (CH15), 114.59 (C≡N20), 113.99 (C≡N18), 104.30 (C3), 28.33 (CH26), 27.93 (CH27), 27.53 (CH28), 26.72 (CH29), 26.43 (CH210), 26.20 (CH211), 25.85 (CH212), 25.66 (CH213), 25.09 (CH214). | [M + H]+ 284.1763 (calculated for [C17H22N3O]+—284.1763) |
![]() 12 | 81 | 163–165 | 1646 (vs.) (C=C), 2112 (vs.), 2165 (s) (C≡N), 3177 (w, br), 3240 (w, br), 3362 (w, br), 3386 (w, br) (NH2) | 7.56 (s, 2H, NH2), 4.05 (s, 2H, CH25), 2.43 (s, 6H, N(CH3)2). | 161.85 (C3), 117.70 (C≡N9), 115.14 ((C≡N11,10)2), 48.42 (CH25), 46.42 (C2), 42.24 (N(CH3)2), 34.59 (C1) | [M + H]+ 203.1047 (calculated for [C9H10N6]+—203.1045) |
| Identification Code | 9a | 9b | 12c | 8 |
|---|---|---|---|---|
| Empirical formula | C15H18N6O | C22H32N6O3 | C15H19N5O | C17H21N3O |
| Formula weight | 298.35 | 428.53 | 285.35 | 283.37 |
| Temperature/K | 104(7) | 102.2(9) | 100(1) | 99.9(10) |
| Crystal system | triclinic | triclinic | triclinic | triclinic |
| Space group | P-1 | P-1 | P-1 | P-1 |
| a/Å | 13.9756(12) | 9.42370(10) | 7.5867(2) | 8.5574(5) |
| b/Å | 15.0773(15) | 11.97650(10) | 9.1339(3) | 9.7008(6) |
| c/Å | 18.0923(13) | 11.99720(10) | 10.8470(4) | 9.7930(4) |
| α/° | 112.010(8) | 111.2460(10) | 76.621(3) | 102.032(4) |
| β/° | 93.942(7) | 111.1820(10) | 82.305(3) | 103.106(4) |
| γ/° | 112.380(9) | 93.9690(10) | 81.452(3) | 101.505(5) |
| Volume/Å3 | 3167.3(5) | 1145.11(2) | 719.26(4) | 747.97(7) |
| Z | 8 | 2 | 2 | 2 |
| ρcalcmg/mm3 | 1.251 | 1.243 | 1.318 | 1.258 |
| μ/mm−1 | 0.683 | 0.690 | 0.703 | 0.632 |
| F(000) | 1264.0 | 460.0 | 304.0 | 304.0 |
| Crystal size/mm3 | 0.18 × 0.08 × 0.02 | 0.208 × 0.191 × 0.123 | 0.1 × 0.05 × 0.04 | 0.15 × 0.1 × 0.04 |
| 2Θ range for data collection | 5.436 to 156.656° | 8.14 to 153.026° | 8.424 to 152.906° | 9.618 to 153.2° |
| Index ranges | −17 ≤ h ≤ 17, −18 ≤ k ≤ 18, −15 ≤ l ≤ 22 | −10 ≤ h ≤ 11, −14 ≤ k ≤ 14, −15 ≤ l ≤ 14 | −9 ≤ h ≤ 8, −11 ≤ k ≤ 11, −12 ≤ l ≤ 13 | −10 ≤ h ≤ 10, −12 ≤ k ≤ 12, −11 ≤ l ≤ 12 |
| Reflections collected | 34,121 | 33,743 | 17,589 | 7141 |
| Independent reflections | 12,415 [R(int) = 0.1673] | 4548 [R(int) = 0.0349] | 2865 [R(int) = 0.0345] | 2981 [R(int) = 0.0614] |
| Data/restraints/parameters | 12,415/0/801 | 4548/45/302 | 2865/0/193 | 2981/0/190 |
| Goodness-of-fit on F2 | 1.003 | 1.034 | 1.021 | 1.090 |
| Final R indexes [I ≥ 2σ (I)] | R1 = 0.0845, wR2 = 0.1731 | R1 = 0.0422, wR2 = 0.1082 | R1 = 0.0399, wR2 = 0.0966 | R1 = 0.0821, wR2 = 0.2250 |
| CCDC numbers | 2,152,262 | 2,152,263 | 2,152,264 | 2,152,265 |
| 1–9a | 1–9b | 1–6c | 2′–9′ | |
|---|---|---|---|---|
| R1 | ![]() | ![]() | ![]() | ![]() |
| R2 | ![]() | ![]() | ![]() | ![]() |
| R3 | ![]() | ![]() | ![]() | ![]() |
| 1′ | a | a | a | b |
Disclaimer/Publisher’s Note: The statements, opinions and data contained in all publications are solely those of the individual author(s) and contributor(s) and not of MDPI and/or the editor(s). MDPI and/or the editor(s) disclaim responsibility for any injury to people or property resulting from any ideas, methods, instructions or products referred to in the content. |
© 2023 by the authors. Licensee MDPI, Basel, Switzerland. This article is an open access article distributed under the terms and conditions of the Creative Commons Attribution (CC BY) license (https://creativecommons.org/licenses/by/4.0/).
Share and Cite
Ivanova, E.; Maryasov, M.; Andreeva, V.; Osipova, M.; Vasilieva, T.; Eremkin, A.; Lodochnikova, O.; Grishaev, D.; Nasakin, O.E. Treatment of Substandard Rocket Fuel 1,1-Dimethylhydrazine via Its Methylene Derivative into Heterocycles Based on Pyrrolo-[3,4c]Quinolines, Cyclododeca[b]piran and Pyrrole. Int. J. Mol. Sci. 2023, 24, 13076. https://doi.org/10.3390/ijms241713076
Ivanova E, Maryasov M, Andreeva V, Osipova M, Vasilieva T, Eremkin A, Lodochnikova O, Grishaev D, Nasakin OE. Treatment of Substandard Rocket Fuel 1,1-Dimethylhydrazine via Its Methylene Derivative into Heterocycles Based on Pyrrolo-[3,4c]Quinolines, Cyclododeca[b]piran and Pyrrole. International Journal of Molecular Sciences. 2023; 24(17):13076. https://doi.org/10.3390/ijms241713076
Chicago/Turabian StyleIvanova, Elizaveta, Maxim Maryasov, Vera Andreeva, Margarita Osipova, Tatyana Vasilieva, Alexey Eremkin, Olga Lodochnikova, Denis Grishaev, and Oleg E. Nasakin. 2023. "Treatment of Substandard Rocket Fuel 1,1-Dimethylhydrazine via Its Methylene Derivative into Heterocycles Based on Pyrrolo-[3,4c]Quinolines, Cyclododeca[b]piran and Pyrrole" International Journal of Molecular Sciences 24, no. 17: 13076. https://doi.org/10.3390/ijms241713076
APA StyleIvanova, E., Maryasov, M., Andreeva, V., Osipova, M., Vasilieva, T., Eremkin, A., Lodochnikova, O., Grishaev, D., & Nasakin, O. E. (2023). Treatment of Substandard Rocket Fuel 1,1-Dimethylhydrazine via Its Methylene Derivative into Heterocycles Based on Pyrrolo-[3,4c]Quinolines, Cyclododeca[b]piran and Pyrrole. International Journal of Molecular Sciences, 24(17), 13076. https://doi.org/10.3390/ijms241713076












