Extended Rate Constants Distribution (RCD) Model for Sorption in Heterogeneous Systems: 4. Kinetics of Metal Ions Sorption in the Presence of Complexing Agents—Application to Cu(II) Sorption on Polyethyleneimine Cryogel from Acetate and Tartrate Solutions
Abstract
1. Introduction
2. Results and Discussion
2.1. Brief Introduction to RCD Model
2.2. RCD Model for Sorption in the Presence of Complexing Agents (RCD-Complex Model)
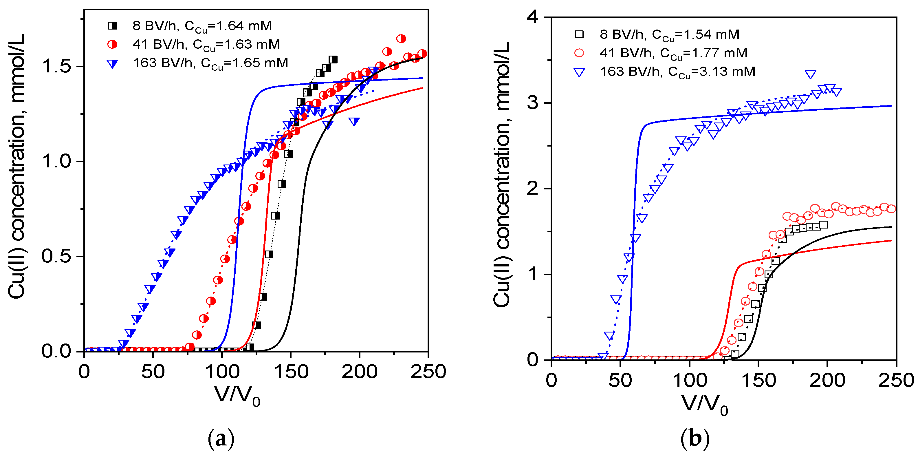
2.3. Cu(II) Soprtion on PEI Cryogel in the Presence of Acetate and Tartrate
2.4. Comments on Cu(II) Sorption Mechanism in Relation to Application of RCD-Complex Model
2.5. Description of PEI Sorption Site Characteristics in Presence of Complexing Agents Using RCD Model
2.6. Determination of Sorption Rate Constants for Different Ionic Forms of Cu(II)
3. Materials and Methods
3.1. Materials
3.2. Cryogel Synthesis and Characterization
3.3. Investigation of the Sorption in Fixed-Bed and Sorption Isotherms
3.4. Data Analysis
3.4.1. Calculation of RCD Functions for Metal Ions in the Presence of Complexing Agents
3.4.2. Predictive Modeling Using RCD Model
4. Conclusions
Supplementary Materials
Author Contributions
Funding
Institutional Review Board Statement
Informed Consent Statement
Data Availability Statement
Acknowledgments
Conflicts of Interest
Appendix A
References
- Peng, W.; Li, H.; Liu, Y.; Song, S. A review on heavy metal ion adsorption from water by graphene oxide and its composites. J. Mol. Liq. 2017, 230, 496–504. [Google Scholar] [CrossRef]
- Feng, X.; Long, R.; Wang, L.; Liu, C.; Bai, Z.; Liu, X. A review on heavy metal ion adsorption from water by layered double hydroxide and its composites. Sep. Purif. Technol. 2022, 284, 120099. [Google Scholar] [CrossRef]
- Chai, W.S.; Cheun, J.Y.; Kumar, P.S.; Mubashir, M.; Majeed, Z.; Banat, F.; Ho, S.-H.; Show, P.L. A review on conventional and novel materials towards heavy metal adsorption in wastewater treatment application. J. Clean. Prod. 2021, 296, 126589. [Google Scholar] [CrossRef]
- Baimenov, A.; Berillo, D.A.; Poulopoulos, S.G.; Inglezakis, V.J. A review of cryogels synthesis, characterization and applications on the removal of heavy metals from aqueous solutions. Adv. Colloid Interface Sci. 2020, 276, 102088. [Google Scholar] [CrossRef] [PubMed]
- Önnby, L. Application of cryogels in water and wastewater treatment. In Supermacroporous Cryogels; CRC Press: Boca Raton, FL, USA, 2016; pp. 333–361. [Google Scholar] [CrossRef]
- Dragan, E.S.; Dinu, M.V. Advances in porous chitosan-based composite hydrogels: Synthesis and applications. React. Funct. Polym. 2020, 146, 104372. [Google Scholar] [CrossRef]
- Podorozhko, E.A.; Lunev, I.A.; Ryabev, A.N.; Kil’deeva, N.R.; Lozinsky, V.I. A study of cryostructuring of a polymer system. 39. Poly(vinyl alcohol) composite cryogels filled with chitosan microparticles. Colloid J. 2015, 77, 186–195. [Google Scholar] [CrossRef]
- Dragan, E.S.; Humelnicu, D.; Dinu, M.V.; Olariu, R.I. Kinetics, equilibrium modeling, and thermodynamics on removal of Cr(VI) ions from aqueous solution using novel composites with strong base anion exchanger microspheres embedded into chitosan/poly(vinyl amine) cryogels. Chem. Eng. J. 2017, 330, 675–691. [Google Scholar] [CrossRef]
- Wang, S.; Vincent, T.; Roux, J.-C.; Faur, C.; Guibal, E. Innovative conditioning of algal-based sorbents: Macro-porous discs for palladium sorption. Chem. Eng. J. 2017, 325, 521–532. [Google Scholar] [CrossRef]
- Wang, S.; Vincent, T.; Faur, C.; Guibal, E. Algal Foams Applied in Fixed-Bed Process for Lead(II) Removal Using Recirculation or One-Pass Modes. Mar. Drugs 2017, 15, 315. [Google Scholar] [CrossRef]
- Pettignano, A.; Tanchoux, N.; Cacciaguerra, T.; Vincent, T.; Bernardi, L.; Guibal, E.; Quignard, F. Sodium and acidic alginate foams with hierarchical porosity: Preparation, characterization and efficiency as a dye adsorbent. Carbohydr. Polym. 2017, 178, 78–85. [Google Scholar] [CrossRef]
- Li, R.; An, Q.D.; Xiao, Z.Y.; Zhai, B.; Zhai, S.R.; Shi, Z. Preparation of PEI/CS aerogel beads with a high density of reactive sites for efficient Cr(VI) sorption: Batch and column studies. RSC Adv. 2017, 7, 40227–40236. [Google Scholar] [CrossRef]
- Yan, Y.; Wan, B.; Mansor, M.; Wang, X.; Zhang, Q.; Kappler, A.; Feng, X. Co-sorption of metal ions and inorganic anions/organic ligands on environmental minerals: A review. Sci. Total Environ. 2022, 803, 149918. [Google Scholar] [CrossRef]
- Violante, A.; Pigna, M. Effects of low molecular mass organic ligands on the adsorption of heavy metals on mixed Fe-Al oxides. In Proceedings of the 7th International conference on biogeochemistry of trace elements “Biotic and abiotic processes in soil rhizosphere”, Uppsala, Sweden, 15–19 June 2003; pp. 134–135. [Google Scholar]
- Yang, J.K.; Lee, S.M.; Davis, A.P. Effect of background electrolytes and pH on the adsorption of Cu(II)/EDTA onto TiO2. J. Colloid Interface Sci. 2006, 295, 14–20. [Google Scholar] [CrossRef] [PubMed]
- Ling, C.; Liu, F.; Pei, Z.; Zhang, X.; Wei, M.; Zhang, Y.; Zheng, L.; Zhang, J.; Li, A.; Xing, B. Citric Acid Enhanced Copper Removal by a Novel Multi-amines Decorated Resin. Sci. Rep. 2015, 5, 9944. [Google Scholar] [CrossRef]
- Liu, Y.; Lou, Z.; Sun, Y.; Zhou, X.; Baig, S.A.; Xu, X. Influence of complexing agent on the removal of Pb(II) from aqueous solutions by modified mesoporous SiO2. Microporous Mesoporous Mater. 2017, 246, 1–13. [Google Scholar] [CrossRef]
- Maketon, W.; Ogden, K.L. Synergistic effects of citric acid and polyethyleneimine to remove copper from aqueous solutions. Chemosphere 2009, 75, 206–211. [Google Scholar] [CrossRef]
- Maketon, W.K.; Ogden, K.L. Treatment of copper from Cu CMP waste streams using polyethyleneimine. IEEE Trans. Semicond. Manuf. 2008, 21, 481–485. [Google Scholar] [CrossRef]
- Tan, K.L.; Hameed, B.H. Insight into the adsorption kinetics models for the removal of contaminants from aqueous solutions. J. Taiwan Inst. Chem. Eng. 2017, 74, 25–48. [Google Scholar] [CrossRef]
- Weber, W.J.; Morris, J.C.; Sanit, J. Kinetics of Adsorption on Carbon from Solution. J. Sanit. Eng. Div. Am. Soc. Civ. Eng. 1963, 89, 31–38. [Google Scholar] [CrossRef]
- Lagergren, S. Zur Theorie der Sogenannten Adsorption Geloster Stoffe. K. Sven. Vetensk. Akad. Handl. 1898, 24, 1–39. [Google Scholar]
- Alberti, G.; Amendola, V.; Pesavento, M.; Biesuz, R. Beyond the synthesis of novel solid phases: Review on modelling of sorption phenomena. Coord. Chem. Rev. 2012, 256, 28–45. [Google Scholar] [CrossRef]
- Malash, G.F.; El-Khaiary, M.I. Piecewise linear regression: A statistical method for the analysis of experimental adsorption data by the intraparticle-diffusion models. Chem. Eng. J. 2010, 163, 256–263. [Google Scholar] [CrossRef]
- Douven, S.; Paez, C.A.; Gommes, C.J. The range of validity of sorption kinetic models. J. Colloid Interface Sci. 2015, 448, 437–450. [Google Scholar] [CrossRef] [PubMed]
- Hu, Q.; Xie, Y.; Feng, C.; Zhang, Z. Fractal-like kinetics of adsorption on heterogeneous surfaces in the fixed-bed column. Chem. Eng. J. 2019, 358, 1471–1478. [Google Scholar] [CrossRef]
- Golikov, A.; Malakhova, I.; Azarova, Y.; Eliseikina, M.; Privar, Y.; Bratskaya, S. Extended Rate Constant Distribution Model for Sorption in Heterogeneous Systems. 1: Application to Kinetics of Metal Ion Sorption on Polyethyleneimine Cryogels. Ind. Eng. Chem. Res. 2020, 59, 1123–1134. [Google Scholar] [CrossRef]
- Malakhova, I.; Golikov, A.; Azarova, Y.; Bratskaya, S. Extended Rate Constants Distribution (RCD) Model for Sorption in Heterogeneous Systems: 2. Importance of Diffusion Limitations for Sorption Kinetics on Cryogels in Batch. Gels 2020, 6, 15. [Google Scholar] [CrossRef]
- Golikov, A.; Malakhova, I.; Privar, Y.; Parotkina, Y.; Bratskaya, S. Extended Rate Constant Distribution Model for Sorption in Heterogeneous Systems: 3. From Batch to Fixed-Bed Application and Predictive Modeling. Ind. Eng. Chem. Res. 2020, 59, 19415–19425. [Google Scholar] [CrossRef]
- Kuan, W.H.; Lo, S.L.; Chang, C.M.; Wang, M.K. A geometric approach to determine adsorption and desorption kinetic constants. Chemosphere 2000, 41, 1741–1747. [Google Scholar] [CrossRef]
- Novak, L.T.; Adriano, D.C. Phosphorus Movement in Soils: Soil-Orthophosphate Reaction Kinetics1. J. Environ. Qual. 1975, 4, 261. [Google Scholar] [CrossRef]
- Liu, Y.; Shen, L. From Langmuir kinetics to first- and second-order rate equations for adsorption. Langmuir 2008, 24, 11625–11630. [Google Scholar] [CrossRef]
- Zhang, J. Physical insights into kinetic models of adsorption. Sep. Purif. Technol. 2019, 229, 115832. [Google Scholar] [CrossRef]
- Salvestrini, S. Analysis of the Langmuir rate equation in its differential and integrated form for adsorption processes and a comparison with the pseudo first and pseudo second order models. React. Kinet. Mech. Catal. 2018, 123, 455–472. [Google Scholar] [CrossRef]
- Malakhova, I.; Privar, Y.; Azarova, Y.; Eliseikina, M.; Golikov, A.; Skatova, A.; Bratskaya, S. Supermacroporous monoliths based on polyethyleneimine: Fabrication and sorption properties under static and dynamic conditions. J. Environ. Chem. Eng. 2020, 8, 104395. [Google Scholar] [CrossRef]
- Tzeferis, P.G.; Agatzini-Leonardou, S. Leaching of nickel and iron from Greek non-sulphide nickeliferous ores by organic acids. Hydrometallurgy 1994, 36, 345–360. [Google Scholar] [CrossRef]
- Ballesteros, J.C.; Chainet, E.; Ozil, P.; Meas, Y.; Trejo, G. Electrodeposition of copper from non-cyanide alkaline solution containing tartrate. Int. J. Electrochem. Sci. 2011, 6, 2632–2651. [Google Scholar] [CrossRef]
- Choi, H.; Al-Abed, S.R. PCB congener sorption to carbonaceous sediment components: Macroscopic comparison and characterization of sorption kinetics and mechanism. J. Hazard. Mater. 2009, 165, 860–866. [Google Scholar] [CrossRef]
- Monazam, E.R.; Shadle, L.J.; Miller, D.C.; Pennline, H.W.; Fauth, D.J.; Hoffman, J.S.; Gray, M.L. Equilibrium and kinetics analysis of carbon dioxide capture using immobilized amine on a mesoporous silica. AIChE J. 2013, 59, 923–935. [Google Scholar] [CrossRef]
- Warrinnier, R.; Goossens, T.; Braun, S.; Gustafsson, J.P.; Smolders, E. Modelling heterogeneous phosphate sorption kinetics on iron oxyhydroxides and soil with a continuous distribution approach. Eur. J. Soil Sci. 2018, 69, 475–487. [Google Scholar] [CrossRef]
- Svitel, J.; Balbo, A.; Mariuzza, R.A.; Gonzales, N.R.; Schuck, P. Combined affinity and rate constant distributions of ligand populations from experimental surface binding kinetics and equilibria. Biophys. J. 2003, 84, 4062–4077. [Google Scholar] [CrossRef]
- Chu, K.H. Fixed-bed sorption: Setting the record straight on the Bohart-Adams and Thomas models. J. Hazard. Mater. 2010, 177, 1006–1012. [Google Scholar] [CrossRef]
- Ma, A.; Abushaikha, A.; Allen, S.J.; McKay, G. Ion exchange homogeneous surface diffusion modelling by binary site resin for the removal of nickel ions from wastewater in fixed-beds. Chem. Eng. J. 2019, 358, 1–10. [Google Scholar] [CrossRef]
- Lange, N.A.; Dean, J.A. Lange’s Handbook of Chemistry; McGraw-Hill: New York, NY, USA, 1979; ISBN 0070161917. [Google Scholar]
- World Health Organisation. Guidelines for Drinking-Water Quality: Fourth Edition Incorporating the First Addendum; WHO: Geneva, Switzerland, 2017; ISBN 9241546964.
- Guzman, J.; Saucedo, I.; Revilla, J.; Navarro, R.; Guibal, E. Copper sorption by chitosan in the presence of citrate ions: Influence of metal speciation on sorption mechanism and uptake capacities. Int. J. Biol. Macromol. 2003, 33, 57–65. [Google Scholar] [CrossRef]
- Bratskaya, S.; Voit, A.; Privar, Y.; Ziatdinov, A.; Ustinov, A.; Marinin, D.; Pestov, A. Metal ion binding by pyridylethyl-containing polymers: Experimental and theoretical study. Dalt. Trans. 2016, 45, 12372–12383. [Google Scholar] [CrossRef] [PubMed]
- Deacon, G.B.; Phillips, R.J. Relationships between the carbon-oxygen stretching frequencies of carboxylato complexes and the type of carboxylate coordination. Coord. Chem. Rev. 1980, 33, 227–250. [Google Scholar]
- Bottari, E.; Liberti, A.; Rufolo, A. On the formation of CuII-tartrate complexes in acid solution. Inorganica Chim. Acta 1969, 3, 201–206. [Google Scholar] [CrossRef]








| Cu, 1.56 mM, L, 0.001 M | Cu, 1.56 mM, L, 0.1 M | Cu, 1.56 mM, L, 1.0 M | Cu, 0.78 mM, L, 0.05 M | ||
|---|---|---|---|---|---|
| L = Acetate | Cu 2+ [CuL]+ | 91.0% 8.27% | 3.90% 22.7% | 0.03% 0.866% | 11.2% 39.1% |
| [CuL2]0 | 0.13% | 29.1% | 6.95% | 28.1% | |
| [CuL3]−1 | 0.0017% | 44.3% | 92.2% | 21.5% |
| Cu, 1.56 mM, L, 0.1 M | Cu, 3.12 mM, L, 0.1 M | Cu, 1.56 mM, L, 0.01 M | Cu, 1.56 mM, L, 3.12 mM | ||
|---|---|---|---|---|---|
| L = Tartrate | Cu2+ | 0.0047% | 0.00583% | 17.9% | 46.5% |
| [CuL] | 0.025% | 0.02% | 38.6% | 41.9% | |
| [CuL2]2− | 0.233% | 0.239% | 37.5% | 11.1% | |
| [CuL3]4− | 1.43% | 1.42% | 4.62% | 0.236% | |
| [CuL4]6− | 98.3% | 98.3% | 1.28% | 0.007% |
| CCu, mmol/L | CL, mol/L | Flow Rate, BV/h | Qeff, mmol/g * | Qmax, mmol/g * | |
|---|---|---|---|---|---|
| Water | 3.15 | 0 | 17(8) | 2.43 | 2.95 |
| 1.56 | 0 | 41 | 1.78 | 2.42 | |
| 1.56 | 0 | 163 | 1.59 | 1.87 | |
| L = Acetate | 1.64 | 0.1 | 8 | 2.32 | 2.90 |
| 1.63 | 0.1 | 41 | 1.42 | 2.64 | |
| 1.65 | 0.1 | 163 | 0.48 | 2.16 | |
| 1.69 | 0.001 | 8 | 1.99 | 2.58 | |
| 1.67 | 1 | 8 | 1.90 | 2.77 | |
| 1.3 | 1 | 30 | 1.03 | 2.09 | |
| L = Tartrate | 1.54 | 0.1 | 8 | 2.40 | 2.84 |
| 1.77 | 0.1 | 41 | 2.38 | 2.90 | |
| 3.13 | 0.1 | 163 | 1.25 | 2.85 | |
| 1.57 | 0.01 | 130 | 3.87 | 5.61 | |
| 1.65 | 0.00312 | 8 | >5.41 | >5.41 | |
| 1.67 | 0.00312 | 84 | 1.73 | >5.44 |
Disclaimer/Publisher’s Note: The statements, opinions and data contained in all publications are solely those of the individual author(s) and contributor(s) and not of MDPI and/or the editor(s). MDPI and/or the editor(s) disclaim responsibility for any injury to people or property resulting from any ideas, methods, instructions or products referred to in the content. |
© 2023 by the authors. Licensee MDPI, Basel, Switzerland. This article is an open access article distributed under the terms and conditions of the Creative Commons Attribution (CC BY) license (https://creativecommons.org/licenses/by/4.0/).
Share and Cite
Golikov, A.; Privar, Y.; Balatskiy, D.; Polyakova, N.; Bratskaya, S. Extended Rate Constants Distribution (RCD) Model for Sorption in Heterogeneous Systems: 4. Kinetics of Metal Ions Sorption in the Presence of Complexing Agents—Application to Cu(II) Sorption on Polyethyleneimine Cryogel from Acetate and Tartrate Solutions. Int. J. Mol. Sci. 2023, 24, 12385. https://doi.org/10.3390/ijms241512385
Golikov A, Privar Y, Balatskiy D, Polyakova N, Bratskaya S. Extended Rate Constants Distribution (RCD) Model for Sorption in Heterogeneous Systems: 4. Kinetics of Metal Ions Sorption in the Presence of Complexing Agents—Application to Cu(II) Sorption on Polyethyleneimine Cryogel from Acetate and Tartrate Solutions. International Journal of Molecular Sciences. 2023; 24(15):12385. https://doi.org/10.3390/ijms241512385
Chicago/Turabian StyleGolikov, Alexey, Yuliya Privar, Denis Balatskiy, Natalia Polyakova, and Svetlana Bratskaya. 2023. "Extended Rate Constants Distribution (RCD) Model for Sorption in Heterogeneous Systems: 4. Kinetics of Metal Ions Sorption in the Presence of Complexing Agents—Application to Cu(II) Sorption on Polyethyleneimine Cryogel from Acetate and Tartrate Solutions" International Journal of Molecular Sciences 24, no. 15: 12385. https://doi.org/10.3390/ijms241512385
APA StyleGolikov, A., Privar, Y., Balatskiy, D., Polyakova, N., & Bratskaya, S. (2023). Extended Rate Constants Distribution (RCD) Model for Sorption in Heterogeneous Systems: 4. Kinetics of Metal Ions Sorption in the Presence of Complexing Agents—Application to Cu(II) Sorption on Polyethyleneimine Cryogel from Acetate and Tartrate Solutions. International Journal of Molecular Sciences, 24(15), 12385. https://doi.org/10.3390/ijms241512385

