Lipopolysaccharide-Induced Delirium-like Behaviour in a Rat Model of Chronic Cerebral Hypoperfusion Is Associated with Increased Indoleamine 2,3-Dioxygenase Expression and Endotoxin Tolerance
Abstract
1. Introduction
2. Results
2.1. Verification Phase
2.1.1. The Effects of CCH on the Behaviour
2.1.2. The Effects of CCH on the Brain Amyloid-β (Aβ) Depositions
2.2. Experimental Phase
2.2.1. The Effects of LPS Treatments on the Body Weight (BW) in a Rat Model of CCH
2.2.2. The Effects of LPS Treatment on the Natural and Learned Behaviours in a Rat Model of CCH
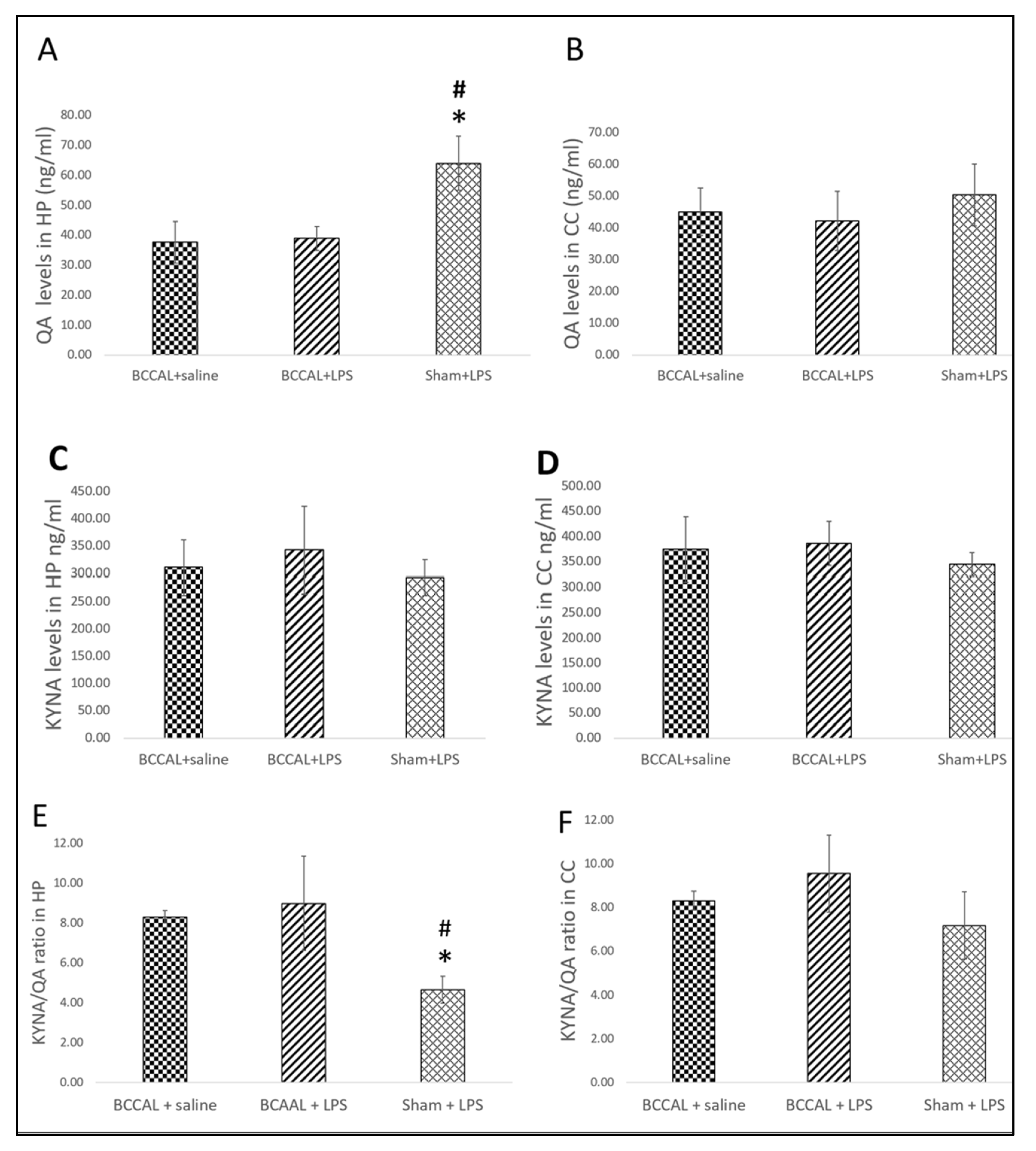
2.2.3. The Effects of LPS on the KP Metabolites in a Rat Model of CCH
3. Discussion
4. Materials and Methods
4.1. Animals
4.2. Animal Grouping and Protocols
4.3. Bilateral Common Carotid Ligation Surgical Procedure
4.4. Lipopolysaccharide (LPS) Treatment
4.5. Behavioural Tests
4.5.1. Buried Food Test
4.5.2. Open Field Test
4.5.3. Y-Maze Test
4.6. Plasma and Brain Tissue Collection
4.7. Neurochemical Assays
4.7.1. Amyloid Beta Peptide (Aβ)
4.7.2. Kynurenine Metabolite Levels
4.7.3. IDO Enzyme Levels
4.8. Statistical Analysis
5. Conclusions
Author Contributions
Funding
Institutional Review Board Statement
Informed Consent Statement
Data Availability Statement
Conflicts of Interest
References
- Gogia, B.; Fang, X. Differentiating Delirium Versus Dementia in the Elderly; StatPearls Publishing: Treasure Island, FL, USA, 2021. [Google Scholar]
- European Delirium Association; American Delirium Society. The DSM-5 criteria, level of arousal and delirium diagnosis: Inclusiveness is safer. BMC Med. 2014, 12, 141. [Google Scholar]
- Gibb, K.; Seeley, A.; Quinn, T.; Siddiqi, N.; Shenkin, S.; Rockwood, K.; Davis, D. The consistent burden in published estimates of delirium occurrence in medical inpatients over four decades: A systematic review and meta-analysis study. Age Ageing 2020, 49, 352–360. [Google Scholar] [CrossRef] [PubMed]
- Ali, M.A.; Hashmi, M.; Ahmed, W.; Raza, S.A.; Khan, M.F.; Salim, B. Incidence and risk factors of delirium in surgical intensive care unit. Trauma Surg. Acute Care Open 2021, 6, e000564. [Google Scholar] [CrossRef] [PubMed]
- Abate, S.M.; Checkole, Y.A.; Mantedafro, B.; Basu, B.; Aynalem, A.E. Global prevalence and predictors of postoperative delirium among non-cardiac surgical patients: A systematic review and meta-analysis. Int. J. Surg. Open 2021, 32, 100334. [Google Scholar] [CrossRef]
- Thein, M.Z.A.; Pereira, J.V.; Nitchingham, A.; Caplan, G.A. A call to action for delirium research: Meta-analysis and regression of delirium associated mortality. BMC Geriatr. 2020, 20, 325. [Google Scholar] [CrossRef]
- Kunicki, Z.J.; Ngo, L.H.; Marcantonio, E.R.; Tommet, D.; Feng, Y.; Fong, T.G.; Schmitt, E.M.; Travison, T.G.; Jones, R.N.; Inouye, S.K. Six-Year Cognitive Trajectory in Older Adults Following Major Surgery and Delirium. JAMA Intern. Med. 2023, 183, 442–450. [Google Scholar] [CrossRef]
- Pinho, C.; Cruz, S.; Santos, A.; Abelha, F.J. Postoperative delirium: Age and low functional reserve as independent risk factors. J. Clin. Anesth. 2016, 33, 507–513. [Google Scholar] [CrossRef]
- Alhayyan, A.; McSorley, S.; Roxburgh, C.; Kearns, R.; Horgan, P.; McMillan, D. The effect of anesthesia on the postoperative systemic inflammatory response in patients undergoing surgery: A systematic review and meta-analysis. Surg. Open Sci. 2020, 2, 1–21. [Google Scholar] [CrossRef]
- Krinitski, D.; Kasina, R.; Klöppel, S.; Lenouvel, E.; Bsc, M.E.L. Associations of delirium with urinary tract infections and asymptomatic bacteriuria in adults aged 65 and older: A systematic review and meta-analysis. J. Am. Geriatr. Soc. 2021, 69, 3312–3323. [Google Scholar] [CrossRef]
- Kennedy, M.; Helfand, B.K.I.; Gou, R.Y.; Gartaganis, S.L.; Webb, M.; Moccia, J.M.; Bruursema, S.N.; Dokic, B.; McCulloch, B.; Ring, H.; et al. Delirium in older patients with COVID-19 presenting to the emergency department. JAMA Netw. Open 2020, 3, e2029540. [Google Scholar] [CrossRef]
- Yamamoto, T.; Mizobata, Y.; Kawazoe, Y.; Miyamoto, K.; Ohta, Y.; Morimoto, T.; Yamamura, H. Incidence, risk factors, and outcomes for sepsis-associated delirium in patients with mechanical ventilation: A sub-analysis of a multicenter randomized controlled trial. J. Crit. Care 2020, 56, 140–144. [Google Scholar] [CrossRef] [PubMed]
- Kim, Y.; Jin, Y.; Jin, T.; Lee, S.-M. Risk factors and outcomes of sepsis-associated delirium in intensive care unit patients: A secondary data analysis. Intensive Crit. Care Nurs. 2020, 59, 102844. [Google Scholar] [CrossRef] [PubMed]
- Chen, J.; Shi, X.; Diao, M.; Jin, G.; Zhu, Y.; Hu, W.; Xi, S. A retrospective study of sepsis-associated encephalopathy: Epidemiology, clinical features and adverse outcomes. BMC Emerg. Med. 2020, 20, 77. [Google Scholar] [CrossRef] [PubMed]
- Wilson, J.E.; Mart, M.F.; Cunningham, C.; Shehabi, Y.; Girard, T.D.; MacLullich, A.M.J.; Slooter, A.J.C.; Ely, E.W. Delirium. Nat. Rev. Dis. Prim. 2020, 6, 90. [Google Scholar] [CrossRef] [PubMed]
- Bugiani, O. Why is delirium more frequent in the elderly? Neurol. Sci. 2021, 42, 3491–3503. [Google Scholar] [CrossRef]
- Fulop, G.A.; Tarantini, S.; Yabluchanskiy, A.; Molnar, A.; Prodan, C.I.; Kiss, T.; Csipo, T.; Lipecz, A.; Balasubramanian, P.; Farkas, E.; et al. Role of age-related alterations of the cerebral venous circulation in the pathogenesis of vascular cognitive impairment. Am. J. Physiol. Circ. Physiol. 2019, 316, H1124–H1140. [Google Scholar] [CrossRef]
- Tarumi, T.; Zhang, R. Cerebral blood flow in normal aging adults: Cardiovascular determinants, clinical implications, and aerobic fitness. J. Neurochem. 2018, 144, 595–608. [Google Scholar] [CrossRef]
- Zhao, Y.; Gu, J.-H.; Dai, C.-L.; Liu, Q.; Iqbal, K.; Liu, F.; Gong, C.-X. Chronic cerebral hypoperfusion causes decrease of O-GlcNAcylation, hyperphosphorylation of tau and behavioral deficits in mice. Front. Aging Neurosci. 2014, 6, 10. [Google Scholar] [CrossRef]
- Cao, D.; Bai, Y.; Li, L. Common carotid arteries occlusion surgery in adult rats as a model of chronic cerebral hypoperfusion. Bio-Protocol 2018, 8, e2704. [Google Scholar] [CrossRef]
- Farkas, E.; Luiten, P.G.; Bari, F. Permanent, bilateral common carotid artery occlusion in the rat: A model for chronic cerebral hypoperfusion-related neurodegenerative diseases. Brain Res. Rev. 2007, 54, 162–180. [Google Scholar] [CrossRef]
- Magami, S.; Miyamoto, N.; Ueno, Y.; Hira, K.; Tanaka, R.; Yamashiro, K.; Oishi, H.; Arai, H.; Urabe, T.; Hattori, N. The Effects of Astrocyte and Oligodendrocyte Lineage Cell Interaction on White Matter Injury under Chronic Cerebral Hypoperfusion. Neuroscience 2019, 406, 167–175. [Google Scholar] [CrossRef] [PubMed]
- Mun, J.; Kang, H.-M.; Park, C. Cerebral chronic hypoperfusion in mice causes premature aging of the cerebrovasculature. Brain Res. Bull. 2023, 195, 47–54. [Google Scholar] [CrossRef] [PubMed]
- Park, J.-H.; Hong, J.-H.; Lee, S.-W.; Ji, H.D.; Jung, J.-A.; Yoon, K.-W.; Lee, J.-I.; Won, K.S.; Song, B.-I.; Kim, H.W. The effect of chronic cerebral hypoperfusion on the pathology of Alzheimer’s disease: A positron emission tomography study in rats. Sci. Rep. 2019, 9, 14102. [Google Scholar] [CrossRef] [PubMed]
- Bhattacharjee, A.K.; White, L.; Chang, L.; Ma, K.; Harry, G.J.; Deutsch, J.; Rapoport, S.I. Bilateral common carotid artery ligation transiently changes brain lipid metabolism in rats. Neurochem. Res. 2012, 37, 1490–1498. [Google Scholar] [CrossRef]
- Rots, M.L.; de Borst, G.J.; van der Toorn, A.; Moll, F.L.; Pennekamp, C.W.A.; Dijkhuizen, R.M.; Bleys, R.L.A.W. Effect of bilateral carotid occlusion on cerebral hemodynamics and perivascular innervation: An experimental rat model. J. Comp. Neurol. 2019, 527, 2263–2272. [Google Scholar] [CrossRef]
- Lee, J.-M.; Baek, S.-S.; Kim, T.-W.; Park, H.-S.; Park, S.-S.; Park, J.-M.; Kim, Y.-J.; Lee, H.-S.; Shin, M.-S. Preischemic treadmill exercise improves short-term memory by inhibiting hypoperfusion-induced disruption of blood-brain barrier after bilateral common carotid arteries occlusion. J. Exerc. Rehabil. 2019, 15, 370–376. [Google Scholar] [CrossRef]
- Jing, Z.; Shi, C.; Zhu, L.; Xiang, Y.; Chen, P.; Xiong, Z.; Li, W.; Ruan, Y.; Huang, L. Chronic cerebral hypoperfusion induces vascular plasticity and hemodynamics but also neuronal degeneration and cognitive impairment. J. Cereb. Blood Flow Metab. 2015, 35, 1249–1259. [Google Scholar] [CrossRef]
- Lee, J.-I.; Lim, J.S.; Hong, J.-H.; Kim, S.; Lee, S.-W.; Ji, H.D.; Won, K.S.; Song, B.-I.; Kim, H.W. Selective neurodegeneration of the hippocampus caused by chronic cerebral hypoperfusion: F-18 FDG PET study in rats. PLoS ONE 2022, 17, e0262224. [Google Scholar] [CrossRef]
- Otomo, S.; Maekawa, K.; Goto, T.; Baba, T.; Yoshitake, A. Pre-existing cerebral infarcts as a risk factor for delirium after coronary artery bypass graft surgery. Interact. Cardiovasc. Thorac. Surg. 2013, 17, 799–804. [Google Scholar] [CrossRef]
- Fong, T.G.; Bogardus, S.T.; Daftary, A.; Auerbach, E.; Blumenfeld, H.; Modur, S.; Leo-Summers, L.; Seibyl, J.; Inouye, S.K. Cerebral Perfusion Changes in Older Delirious Patients Using 99mTc HMPAO SPECT. J. Gerontol. Ser. A 2006, 61, 1294–1299. [Google Scholar] [CrossRef]
- Omiya, H.; Yoshitani, K.; Yamada, N.; Kubota, Y.; Takahashi, K.; Kobayashi, J.; Ohnishi, Y. Preoperative brain magnetic resonance imaging and postoperative delirium after off-pump coronary artery bypass grafting: A prospective cohort study. Can. J. Anesth./J. Can. D’anesthésie 2015, 62, 595–602. [Google Scholar] [CrossRef] [PubMed]
- Norden, D.M.; Godbout, J.P. Review: Microglia of the aged brain: Primed to be activated and resistant to regulation. Neuropathol. Appl. Neurobiol. 2013, 39, 19–34. [Google Scholar] [CrossRef] [PubMed]
- Gargaro, M.; Scalisi, G.; Manni, G.; Briseño, C.G.; Bagadia, P.; Durai, V.; Theisen, D.J.; Kim, S.; Castelli, M.; Xu, C.A.; et al. Indoleamine 2,3-dioxygenase 1 activation in mature cDC1 promotes tolerogenic education of inflammatory cDC2 via metabolic communication. Immunity 2022, 55, 1032–1050.e14. [Google Scholar] [CrossRef] [PubMed]
- Ohnishi, M.; Akagi, M.; Kotsuki, M.; Yonemura, S.; Aokawa, H.; Yamashita-Ibara, M.; Yokofujita, O.; Maehara, S.; Hata, T.; Inoue, A. Indoleamine 2,3-dioxygenase is responsible for low stress tolerance after intracerebral hemorrhage. PLoS ONE 2023, 18, e0273037. [Google Scholar] [CrossRef] [PubMed]
- Acovic, A.; Gazdic, M.; Jovicic, N.; Harrell, C.R.; Fellabaum, C.; Arsenijevic, N.; Volarevic, V. Role of indoleamine 2,3-dioxygenase in pathology of the gastrointestinal tract. Ther. Adv. Gastroenterol. 2018, 11, 1756284818815334. [Google Scholar] [CrossRef]
- Klein, C.; Patte-Mensah, C.; Taleb, O.; Bourguignon, J.-J.; Schmitt, M.; Bihel, F.; Maitre, M.; Mensah-Nyagan, A.G. The neuroprotector kynurenic acid increases neuronal cell survival through neprilysin induction. Neuropharmacology 2013, 70, 254–260. [Google Scholar] [CrossRef]
- Savitz, J.; Drevets, W.C.; Smith, C.M.; Victor, T.A.; Wurfel, B.E.; Bellgowan, P.S.F.; Bodurka, J.; Teague, T.K.; Dantzer, R. Putative Neuroprotective and Neurotoxic Kynurenine Pathway Metabolites Are Associated with Hippocampal and Amygdalar Volumes in Subjects with Major Depressive Disorder. Neuropsychopharmacology 2015, 40, 463–471. [Google Scholar] [CrossRef]
- Badawy, A.A.-B. Hypothesis kynurenic and quinolinic acids: The main players of the kynurenine pathway and opponents in inflammatory disease. Med. Hypotheses 2018, 118, 129–138. [Google Scholar] [CrossRef]
- Mithaiwala, M.N.; Santana-Coelho, D.; Porter, G.A.; O’connor, J.C. NNeuroinflammation and the Kynurenine Pathway in CNS Disease: Molecular Mechanisms and Therapeutic Implications. Cells 2021, 10, 1548. [Google Scholar] [CrossRef]
- Phing, A.H.; Makpol, S.; Nasaruddin, M.L.; Zaidi, W.A.W.; Ahmad, N.S.; Embong, H. Altered Tryptophan-Kynurenine Pathway in Delirium: A Review of the Current Literature. Int. J. Mol. Sci. 2023, 24, 5580. [Google Scholar] [CrossRef]
- Peng, M.; Zhang, C.; Dong, Y.; Zhang, Y.; Nakazawa, H.; Kaneki, M.; Zheng, H.; Shen, Y.; Marcantonio, E.R.; Xie, Z. Battery of behavioral tests in mice to study postoperative delirium. Sci. Rep. 2016, 6, 29874. [Google Scholar] [CrossRef] [PubMed]
- Kuswardhani, R.A.T.; Sugi, Y.S. Factors Related to the Severity of Delirium in the Elderly Patients With Infection. Gerontol. Geriatr. Med. 2017, 3, 2333721417739188. [Google Scholar] [CrossRef] [PubMed]
- Boettger, S.; Boettger, S.; Breitbart, W. The Phenomenology of Delirium: Presence, Severity, and Relationship between Symptoms. J. Geriatr. 2014, 2014, 427042. [Google Scholar] [CrossRef]
- Otori, T.; Katsumata, T.; Katayama, Y.; Terashi, A. Measurement of regional cerebral blood flow and glucose utilization in rat brain under chronic hypoperfusion conditions following bilateral carotid artery occlusion. Analyzed by autoradiographical methods. Nihon Ika Daigaku Zasshi 1997, 64, 428–439. [Google Scholar] [CrossRef] [PubMed][Green Version]
- Hoshi, M.; Saito, K.; Murakami, Y.; Taguchi, A.; Fujigaki, H.; Tanaka, R.; Takemura, M.; Ito, H.; Hara, A.; Seishima, M. Marked increases in hippocampal neuron indoleamine 2, 3-dioxygenase via IFN-gamma-independent pathway following transient global ischemia in mouse. Neurosci. Res. 2009, 63, 194–198. [Google Scholar] [CrossRef]
- Chen, H.; Huang, X.; Zeng, C.; Sun, D.; Liu, F.; Zhang, J.; Liao, Q.; Luo, S.; Xu, W.; Xiao, Y.; et al. The role of indoleamine 2,3-dioxygenase 1 in early-onset post-stroke depression. Front. Immunol. 2023, 14, 1125634. [Google Scholar] [CrossRef]
- Cuartero, M.I.; de la Parra, J.; Garcia-Culebras, A.; Ballesteros, I.; Lizasoain, I.; Moro, M.A. The Kynurenine Pathway in the Acute and Chronic Phases of Cerebral Ischemia. Curr. Pharm. Des. 2016, 22, 1060–1073. [Google Scholar] [CrossRef]
- Gold, A.B.; Herrmann, N.; Swardfager, W.; Black, S.E.; Aviv, R.I.; Tennen, G.; Kiss, A.; Lanctôt, K.L. The relationship between indoleamine 2, 3-dioxygenase activity and post-stroke cognitive impairment. J. Neuroinflamm. 2011, 8, 7. [Google Scholar] [CrossRef]
- Behl, T.; Kaur, I.; Sehgal, A.; Singh, S.; Bhatia, S.; Al-Harrasi, A.; Zengin, G.; Bumbu, A.G.; Andronie-Cioara, F.L.; Nechifor, A.C.; et al. The Footprint of Kynurenine Pathway in Neurodegeneration: Janus-Faced Role in Parkinson’s Disorder and Therapeutic Implications. Int. J. Mol. Sci. 2021, 22, 6737. [Google Scholar] [CrossRef]
- Oliveira, F.R.; Oliveira, V.H.; Oliveira, M.; Lima, J.W.; Calderaro, D.; Gualandro, D.M.; Caramelli, B. Hypertension, mitral valve disease, atrial fibrillation and low education level predict delirium and worst outcome after cardiac surgery in older adults. BMC Anesthesiol. 2018, 18, 15. [Google Scholar] [CrossRef]
- Abawi, M.; Nijhoff, F.; Agostoni, P.; Emmelot-Vonk, M.H.; de Vries, R.; Doevendans, P.A.; Stella, P.R. Incidence, predictive factors, and effect of delirium after transcatheter aortic valve replacement. JACC Cardiovasc. Interv. 2016, 9, 160–168. [Google Scholar] [CrossRef]
- Honda, S.; Nagai, T.; Sugano, Y.; Okada, A.; Asaumi, Y.; Aiba, T.; Noguchi, T.; Kusano, K.; Ogawa, H.; Yasuda, S.; et al. Prevalence, determinants, and prognostic significance of delirium in patients with acute heart failure. Int. J. Cardiol. 2016, 222, 521–527. [Google Scholar] [CrossRef] [PubMed]
- McPherson, J.A.; Wagner, C.E.; Boehm, L.M.M.; Hall, J.D.; Johnson, D.C.; Miller, L.R.R.; Burns, K.M.R.; Thompson, J.L.; Shintani, A.K.; Ely, E.W.; et al. Delirium in the cardiovascular ICU: Exploring modifiable risk factors. Crit. Care Med. 2013, 41, 405–413. [Google Scholar] [CrossRef]
- Hase, Y.; Ding, R.; Harrison, G.; Hawthorne, E.; King, A.; Gettings, S.; Platten, C.; Stevenson, W.; Craggs, L.J.L.; Kalaria, R.N. White matter capillaries in vascular and neurodegenerative dementias. Acta Neuropathol. Commun. 2019, 7, 16. [Google Scholar] [CrossRef] [PubMed]
- Farias, N.C.; Borelli-Montigny, G.L.; Fauaz, G.; Feres, T.; Borges, A.C.R.; Paiva, T.B. Different mechanism of LPS-induced vasodilation in resistance and conductance arteries from SHR and normotensive rats. Br. J. Pharmacol. 2002, 137, 213–220. [Google Scholar] [CrossRef] [PubMed]
- Moretti, E.H.; Rodrigues, A.C.; Marques, B.V.; Totola, L.T.; Ferreira, C.B.; Brito, C.F.; Matos, C.M.; A da Silva, F.; Santos, R.A.S.; Lopes, L.B.; et al. Autoregulation of blood flow drives early hypotension in a rat model of systemic inflammation induced by bacterial lipopolysaccharide. PNAS Nexus 2023, 2, pgad014. [Google Scholar] [CrossRef]
- Carey, C.L.; Kramer, J.H.; Josephson, S.A.; Mungas, D.; Reed, B.R.; Schuff, N.; Weiner, M.W.; Chui, H.C. Subcortical lacunes are associated with executive dysfunction in cognitively normal elderly. Stroke 2008, 39, 397–402. [Google Scholar] [CrossRef] [PubMed]
- Kramer, J.H.; Reed, B.R.; Mungas, D.; Weiner, M.W.; Chui, H.C. Executive dysfunction in subcortical ischaemic vascular disease. J. Neurol. Neurosurg. Psychiatry 2002, 72, 217–220. [Google Scholar] [CrossRef] [PubMed]
- Veldsman, M.; Werden, E.; Egorova, N.; Khlif, M.S.; Brodtmann, A. Microstructural degeneration and cerebrovascular risk burden underlying executive dysfunction after stroke. Sci. Rep. 2020, 10, 17911. [Google Scholar] [CrossRef]
- Cavaillon, J.-M.; Adib-Conquy, M. Bench-to-bedside review: Endotoxin tolerance as a model of leukocyte reprogramming in sepsis. Crit. Care 2006, 10, 233. [Google Scholar] [CrossRef][Green Version]
- López-Collazo, E.; del Fresno, C. Pathophysiology of endotoxin tolerance: Mechanisms and clinical consequences. Crit. Care 2013, 17, 242. [Google Scholar] [CrossRef] [PubMed]
- Salazar, F.; Awuah, D.; Negm, O.H.; Shakib, F.; Ghaemmaghami, A.M. The role of indoleamine 2,3-dioxygenase-aryl hydrocarbon receptor pathway in the TLR4-induced tolerogenic phenotype in human DCs. Sci. Rep. 2017, 7, 43337. [Google Scholar] [CrossRef] [PubMed]
- Bessede, A.; Gargaro, M.; Pallotta, M.T.; Matino, D.; Servillo, G.; Brunacci, C.; Bicciato, S.; Mazza, E.M.C.; Macchiarulo, A.; Vacca, C.; et al. Aryl hydrocarbon receptor control of a disease tolerance defence pathway. Nature 2014, 511, 184–190. [Google Scholar] [CrossRef] [PubMed]
- Soliman, H.; Mediavilla-Varela, M.; Antonia, S. Indoleamine 2,3-dioxygenase: Is it an immune suppressor? Cancer J. 2010, 16, 354–359. [Google Scholar] [CrossRef] [PubMed]
- Opitz, C.A.; Litzenburger, U.M.; Sahm, F.; Ott, M.; Tritschler, I.; Trump, S.; Schumacher, T.; Jestaedt, L.; Schrenk, D.; Weller, M.; et al. An endogenous tumour-promoting ligand of the human aryl hydrocarbon receptor. Nature 2011, 478, 197–203. [Google Scholar] [CrossRef]
- DiNatale, B.C.; Murray, I.A.; Schroeder, J.C.; Flaveny, C.A.; Lahoti, T.S.; Laurenzana, E.M.; Omiecinski, C.J.; Perdew, G.H. Kynurenic acid is a potent endogenous aryl hydrocarbon receptor ligand that synergistically induces interleukin-6 in the presence of inflammatory signaling. Toxicol. Sci. Off. J. Soc. Toxicol. 2010, 115, 89–97. [Google Scholar] [CrossRef]
- Riaz, F.; Pan, F.; Wei, P. Aryl hydrocarbon receptor: The master regulator of immune responses in allergic diseases. Front. Immunol. 2022, 13, 1057555. [Google Scholar] [CrossRef]
- Sonner, J.K.; Deumelandt, K.; Ott, M.; Thomé, C.M.; Rauschenbach, K.J.; Schulz, S.; Munteanu, B.; Mohapatra, S.; Adam, I.; Hofer, A.-C.; et al. The stress kinase GCN2 does not mediate suppression of antitumor T cell responses by tryptophan catabolism in experimental melanomas. Oncoimmunology 2016, 5, e1240858. [Google Scholar] [CrossRef]
- Fougeray, S.; Mami, I.; Bertho, G.; Beaune, P.; Thervet, E.; Pallet, N. Tryptophan depletion and the kinase GCN2 mediate IFN-γ-induced autophagy. J. Immunol. 2012, 189, 2954–2964. [Google Scholar] [CrossRef]
- Rashidi, A.; Miska, J.; Lee-Chang, C.; Kanojia, D.; Panek, W.K.; Lopez-Rosas, A.; Zhang, P.; Han, Y.; Xiao, T.; Pituch, K.C.; et al. GCN2 is essential for CD8(+) T cell survival and function in murine models of malignant glioma. Cancer Immunol. Immunother. 2020, 69, 81–94. [Google Scholar] [CrossRef]
- Radford, H.; Moreno, J.A.; Verity, N.; Halliday, M.; Mallucci, G.R. PERK inhibition prevents tau-mediated neurodegeneration in a mouse model of frontotemporal dementia. Acta Neuropathol. 2015, 130, 633–642. [Google Scholar] [CrossRef] [PubMed]
- Yao, L.; Li, P.; Chen, Q.; Hu, A.; Wu, Y.; Li, B. Protective effects of endotoxin tolerance on peripheral lipopolysaccharide-induced neuroinflammation and dopaminergic neuronal injury. Immunopharmacol. Immunotoxicol. 2022, 44, 326–337. [Google Scholar] [CrossRef] [PubMed]
- Liu, Y.; Xie, X.; Xia, L.-P.; Lv, H.; Lou, F.; Ren, Y.; He, Z.-Y.; Luo, X.-G. Peripheral immune tolerance alleviates the intracranial lipopolysaccharide injection-induced neuroinflammation and protects the dopaminergic neurons from neuroinflammation-related neurotoxicity. J. Neuroinflammation 2017, 14, 223. [Google Scholar] [CrossRef] [PubMed]
- Rosenzweig, H.L.; Lessov, N.S.; Henshall, D.C.; Minami, M.; Simon, R.P.; Stenzel-Poore, M.P. Endotoxin preconditioning prevents cellular inflammatory response during ischemic neuroprotection in mice. Stroke 2004, 35, 2576–2581. [Google Scholar] [CrossRef] [PubMed]
- Wang, J.; Wang, B.; Jiang, L.; Zhou, K.; Yang, G.-Y.; Jin, K. The Effect of IDO on Neural Progenitor Cell Survival Under Oxygen Glucose Deprivation. Front. Cell. Neurosci. 2020, 14, 581861. [Google Scholar] [CrossRef] [PubMed]
- Lemos, H.; Huang, L.; Chandler, P.R.; Mohamed, E.; Souza, G.R.; Li, L.; Pacholczyk, G.; Barber, G.N.; Hayakawa, Y.; Munn, D.H.; et al. Activation of the STING adaptor attenuates experimental autoimmune encephalitis. J. Immunol. 2014, 192, 5571–5578. [Google Scholar] [CrossRef]
- Nisapakultorn, K.; Makrudthong, J.; Sa-Ard-Iam, N.; Rerkyen, P.; Mahanonda, R.; Takikawa, O. Indoleamine 2,3-dioxygenase expression and regulation in chronic periodontitis. J. Periodontol. 2009, 80, 114–121. [Google Scholar] [CrossRef]
- Pena, O.M.; Hancock, D.G.; Lyle, N.H.; Linder, A.; Russell, J.A.; Xia, J.; Fjell, C.D.; Boyd, J.H.; Hancock, R.E. An Endotoxin Tolerance Signature Predicts Sepsis and Organ Dysfunction at Initial Clinical Presentation. EBioMedicine 2014, 1, 64–71. [Google Scholar] [CrossRef]
- Inouye, S.K.; Charpentier, P.A. Precipitating factors for delirium in hospitalized elderly persons. Predictive model and interrelationship with baseline vulnerability. JAMA 1996, 275, 852–857. [Google Scholar] [CrossRef]
- Schreuder, L.; Eggen, B.; Biber, K.; Schoemaker, R.G.; Laman, J.D.; de Rooij, S.E. Pathophysiological and behavioral effects of systemic inflammation in aged and diseased rodents with relevance to delirium: A systematic review. Brain Behav. Immun. 2017, 62, 362–381. [Google Scholar] [CrossRef]
- Vasunilashorn, S.M.; Lunardi, N.; Newman, J.C.; Crosby, G.; Acker, L.; Abel, T.; Bhatnagar, S.; Cunningham, C.; de Cabo, R.; Dugan, L.; et al. Preclinical and translational models for delirium: Recommendations for future research from the NIDUS delirium network. Alzheimer’s Dement. 2023, 19, 2150–2174. [Google Scholar] [CrossRef] [PubMed]
- Sodhi, R.K.; Bansal, Y.; Singh, R.; Saroj, P.; Bhandari, R.; Kumar, B.; Kuhad, A. IDO-1 inhibition protects against neuroinflammation, oxidative stress and mitochondrial dysfunction in 6-OHDA induced murine model of Parkinson’s disease. Neurotoxicology 2021, 84, 184–197. [Google Scholar] [CrossRef] [PubMed]
- Dobos, N.; de Vries, E.F.; Kema, I.P.; Patas, K.; Prins, M.; Nijholt, I.M.; Dierckx, R.A.; Korf, J.; Boer, J.A.D.; Luiten, P.G.; et al. The role of indoleamine 2,3-dioxygenase in a mouse model of neuroinflammation-induced depression. J. Alzheimer’s Dis. 2012, 28, 905–915. [Google Scholar] [CrossRef] [PubMed]
- Fertan, E.; Stover, K.R.; Brant, M.G.; Stafford, P.M.; Kelly, B.; Diez-Cecilia, E.; Wong, A.A.; Weaver, D.F.; Brown, R.E. Effects of the Novel IDO Inhibitor DWG-1036 on the Behavior of Male and Female 3xTg-AD Mice. Front. Pharmacol. 2019, 10, 1044. [Google Scholar] [CrossRef] [PubMed]
- Tattevin, P.; Monnier, D.; Tribut, O.; Dulong, J.; Bescher, N.; Mourcin, F.; Uhel, F.; Le Tulzo, Y.; Tarte, K. Enhanced indoleamine 2,3-dioxygenase activity in patients with severe sepsis and septic shock. J. Infect. Dis. 2010, 201, 956–966. [Google Scholar] [CrossRef] [PubMed]
- Ploder, M.; Spittler, A.; Kurz, K.; Neurauter, G.; Pelinka, L.E.; Roth, E.; Fuchs, D. Accelerated tryptophan degradation predicts poor survival in trauma and sepsis patients. Int. J. Tryptophan Res. 2010, 3, IJTR-S3983. [Google Scholar] [CrossRef]
- Changsirivathanathamrong, D.M.; Wang, Y.; Rajbhandari, D.R.; Maghzal, G.J.; Mak, W.M.; Woolfe, C.F.F.A.; Duflou, J.M.; Gebski, V.B.; dos Remedios, C.G.D.; Celermajer, D.S.M.; et al. Tryptophan metabolism to kynurenine is a potential novel contributor to hypotension in human sepsis. Crit. Care Med. 2011, 39, 2678–2683. [Google Scholar] [CrossRef]
- Hennigan, A.; Trotter, C.; Kelly, M. Lipopolysaccharide impairs long-term potentiation and recognition memory and increases p75NTR expression in the rat dentate gyrus. Brain Res. 2007, 1130, 158–166. [Google Scholar] [CrossRef]
- Murray, C.; Sanderson, D.J.; Barkus, C.; Deacon, R.M.; Rawlins, J.N.P.; Bannerman, D.M.; Cunningham, C. Systemic inflammation induces acute working memory deficits in the primed brain: Relevance for delirium. Neurobiol. Aging 2012, 33, 603–616.e3. [Google Scholar] [CrossRef]
- Ahmed, S.; Leurent, B.; Sampson, E.L. Sampson. Risk factors for incident delirium among older people in acute hospital medical units: A systematic review and meta-analysis. Age Ageing 2014, 43, 326–333. [Google Scholar] [CrossRef]
- Salminen, A. Role of indoleamine 2,3-dioxygenase 1 (IDO1) and kynurenine pathway in the regulation of the aging process. Ageing Res. Rev. 2022, 75, 101573. [Google Scholar] [CrossRef] [PubMed]
- Singhal, N.S.; Sun, C.-H.; Lee, E.M.; Ma, D.K. Resilience to Injury: A New Approach to Neuroprotection? Neurotherapeutics 2020, 17, 457–474. [Google Scholar] [CrossRef] [PubMed]
- Washida, K.; Hattori, Y.; Ihara, M. Animal models of chronic cerebral hypoperfusion: From mouse to primate. Int. J. Mol. Sci. 2019, 20, 6176. [Google Scholar] [CrossRef] [PubMed]
- Azam, N.F.; Stanyard, R.A.; Mat, N.H.; Hassan, Z. Cholinergic modulation of hippocampal long-term potentiation in chronic cerebral hypoperfused rats. Neurosci. Res. Notes 2018, 1, 42–57. [Google Scholar] [CrossRef]
- Machado, C.; Reis-Silva, T.; Lyra, C.; Felicio, L.; Malnic, B. Buried Food-seeking Test for the Assessment of Olfactory Detection in Mice. BIO-Protocol 2018, 8, e2897. [Google Scholar] [CrossRef] [PubMed]
- Seibenhener, M.L.; Wooten, M.C. Use of the Open Field Maze to Measure Locomotor and Anxiety-like Behavior in Mice. J. Vis. Exp. 2015, 96, e52434. [Google Scholar] [CrossRef]








) indicates the development of delirium-like behaviour under LPS treatment in the CCH rats. Abbreviations: IDO: indoleamine 2,3-dioxygenase; TRP: tryptophan; KYN: kynurenine; CCH: chronic cerebral hypoperfusion; GCN2: general control nonderepressible 2; eIF-2α: alpha subunit of eukaryotic initiation factor-2; AhR: aryl hydrocarbon receptor; LPS: lipopolysaccharide; QA: quinolinic acid; KYNA: kynurenic acid.
) indicates the development of delirium-like behaviour under LPS treatment in the CCH rats. Abbreviations: IDO: indoleamine 2,3-dioxygenase; TRP: tryptophan; KYN: kynurenine; CCH: chronic cerebral hypoperfusion; GCN2: general control nonderepressible 2; eIF-2α: alpha subunit of eukaryotic initiation factor-2; AhR: aryl hydrocarbon receptor; LPS: lipopolysaccharide; QA: quinolinic acid; KYNA: kynurenic acid.

Disclaimer/Publisher’s Note: The statements, opinions and data contained in all publications are solely those of the individual author(s) and contributor(s) and not of MDPI and/or the editor(s). MDPI and/or the editor(s) disclaim responsibility for any injury to people or property resulting from any ideas, methods, instructions or products referred to in the content. |
© 2023 by the authors. Licensee MDPI, Basel, Switzerland. This article is an open access article distributed under the terms and conditions of the Creative Commons Attribution (CC BY) license (https://creativecommons.org/licenses/by/4.0/).
Share and Cite
Ang, H.P.; Makpol, S.; Nasaruddin, M.L.; Ahmad, N.S.; Tan, J.K.; Wan Zaidi, W.A.; Embong, H. Lipopolysaccharide-Induced Delirium-like Behaviour in a Rat Model of Chronic Cerebral Hypoperfusion Is Associated with Increased Indoleamine 2,3-Dioxygenase Expression and Endotoxin Tolerance. Int. J. Mol. Sci. 2023, 24, 12248. https://doi.org/10.3390/ijms241512248
Ang HP, Makpol S, Nasaruddin ML, Ahmad NS, Tan JK, Wan Zaidi WA, Embong H. Lipopolysaccharide-Induced Delirium-like Behaviour in a Rat Model of Chronic Cerebral Hypoperfusion Is Associated with Increased Indoleamine 2,3-Dioxygenase Expression and Endotoxin Tolerance. International Journal of Molecular Sciences. 2023; 24(15):12248. https://doi.org/10.3390/ijms241512248
Chicago/Turabian StyleAng, Hui Phing, Suzana Makpol, Muhammad Luqman Nasaruddin, Nurul Saadah Ahmad, Jen Kit Tan, Wan Asyraf Wan Zaidi, and Hashim Embong. 2023. "Lipopolysaccharide-Induced Delirium-like Behaviour in a Rat Model of Chronic Cerebral Hypoperfusion Is Associated with Increased Indoleamine 2,3-Dioxygenase Expression and Endotoxin Tolerance" International Journal of Molecular Sciences 24, no. 15: 12248. https://doi.org/10.3390/ijms241512248
APA StyleAng, H. P., Makpol, S., Nasaruddin, M. L., Ahmad, N. S., Tan, J. K., Wan Zaidi, W. A., & Embong, H. (2023). Lipopolysaccharide-Induced Delirium-like Behaviour in a Rat Model of Chronic Cerebral Hypoperfusion Is Associated with Increased Indoleamine 2,3-Dioxygenase Expression and Endotoxin Tolerance. International Journal of Molecular Sciences, 24(15), 12248. https://doi.org/10.3390/ijms241512248

