Development of Mn2+-Specific Biosensor Using G-Quadruplex-Based DNA
Abstract
1. Introduction
2. Results
2.1. Evaluation of IRDAptamer Library Responsiveness to Mn2+ and Screening of Mn2+-Specific IRDAptamers
2.2. Evaluation of G-Quadruplex Formation Ability of Mn2+-Specific IRDAptamer MnG4C1 Using Thioflavin T
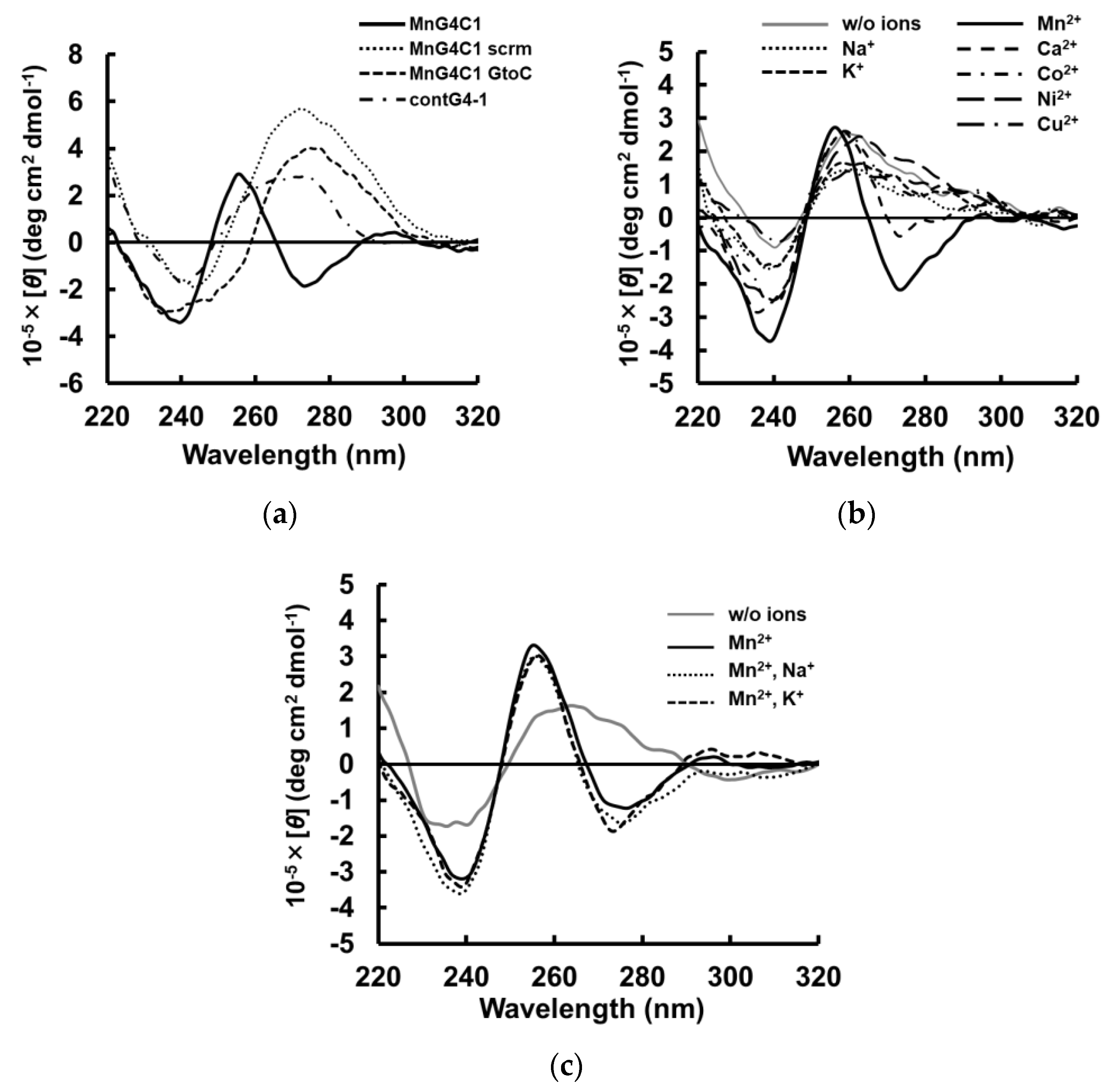
2.3. Topological Analysis of the Non-Canonical G-Quadruplex Structure of MnG4C1 in Response to Mn2+
2.4. Effects of the Loop Region on Mn2+ Recognition and Evaluation of Metal Ion Specificity of MnG4C1
2.5. Structural Stability of the Non-Canonical G-Quadruplex Structure MnG4C1
2.6. FRET Analysis Based on the Structural Transition of MnG4C1
3. Discussion
4. Materials and Methods
4.1. DNA and Sample Preparation
4.2. Screening of DNA Aptamer Using SELEX Method
4.3. Fluorescent Measurements for Thioflavin T
4.4. Circular Dichroism Spectroscopy
4.5. Thermostability Analysis Using CD Spectroscopy
4.6. Serum Stability
4.7. Fluorescent Measurement for FRET
4.8. Statistical Analysis
Supplementary Materials
Author Contributions
Funding
Institutional Review Board Statement
Informed Consent Statement
Data Availability Statement
Conflicts of Interest
References
- Endo, M.; Sugiyama, H. DNA Origami Nanomachines. Molecules 2018, 23, 1766. [Google Scholar] [CrossRef] [PubMed]
- Pitikultham, P.; Wang, Z.; Wang, Y.; Shang, Y.; Jiang, Q.; Ding, B. Stimuli-Responsive DNA Origami Nanodevices and Their Biological Applications. ChemMedChem 2022, 17, e202100635. [Google Scholar] [CrossRef] [PubMed]
- Röthlisberger, P.; Gasse, C.; Hollenstein, M. Nucleic Acid Aptamers: Emerging Applications in Medical Imaging, Nanotechnology, Neurosciences, and Drug Delivery. Int. J. Mol. Sci. 2017, 18, 2430. [Google Scholar] [CrossRef] [PubMed]
- Hong, F.; Zhang, F.; Liu, Y.; Yan, H. DNA Origami: Scaffolds for Creating Higher Order Structures. Chem. Rev. 2017, 117, 12584–12640. [Google Scholar] [CrossRef]
- Ramezani, H.; Dietz, H. Building machines with DNA molecules. Nat. Rev. Genet. 2020, 21, 5–26. [Google Scholar] [CrossRef]
- Hill, A.C.; Hall, J. High-order structures from nucleic acids for biomedical applications. Mater. Chem. Front. 2020, 4, 1074–1088. [Google Scholar] [CrossRef]
- Marsh, T.C.; Vesenka, J.; Henderson, E. A new DNA nanostructure, the G-wire, imaged by scanning probe microscopy. Nucleic Acid Res. 1995, 23, 696–700. [Google Scholar] [CrossRef]
- Spindler, L.; Rigler, M.; Drevenšek-Olenik, I.; Ma’ani Hessari, N.; Webba da Silva, M. Effect of Base Sequence on G-Wire Formati- on in Solution. J. Nucleic Acids 2010, 2010, 431651. [Google Scholar] [CrossRef]
- Usui, K.; Okada, A.; Sakashita, S.; Shimooka, M.; Tsuruoka, T.; Nakano, S.; Miyoshi, D.; Mashima, T.; Katahira, M.; Hamada, Y. DNA G-Wire Formation Using an Artificial Peptide is Controlled by Protease Activity. Molecules 2017, 22, 1991. [Google Scholar] [CrossRef]
- Zhu, Q.; Liu, G.; Kai, M. DNA Aptamers in the Diagnosis and Treatment of Human Diseases. Molecules 2015, 20, 20979–20997. [Google Scholar] [CrossRef]
- Santosh, B.; Yadava, P.K. Nucleic Acid Aptamers: Research Tools in Disease Diagnostics and Therapeutics. BioMed Res. Int. 2014, 2014, 540451. [Google Scholar] [CrossRef] [PubMed]
- Zhou, W.; Saran, R.; Liu, J. Metal Sensing by DNA. Chem. Rev. 2017, 117, 8272–8325. [Google Scholar] [CrossRef] [PubMed]
- Sigel, R.K.O.; Sigel, H. A Stability Concept for Metal Ion Coordination to Single-Stranded Nucleic Acids and Affinities of Individual Sites. Acc. Chem. Res. 2010, 43, 974–984. [Google Scholar] [CrossRef] [PubMed]
- Jones, M.R.; Seeman, N.C.; Mirkin, C.A. Programmable materials and the nature of the DNA bond. Science 2015, 347, 1260901. [Google Scholar] [CrossRef]
- Williamson, J.R.; Raghuraman, M.K.; Cech, T.R. Monovalent cation-induced structure of telomeric DNA: The G-quartet model. Cell 1989, 59, 871–880. [Google Scholar] [CrossRef]
- Sen, D.; Gilbert, W. A sodium-potassium switch in the formation of four-stranded G4-DNA. Nature 1990, 344, 410–414. [Google Scholar] [CrossRef]
- Bhattacharyya, D.; Arachchilage, G.M.; Basu, S. Metal Cations in G-Quadruplex Folding and Stability. Front. Chem. 2016, 4, 38. [Google Scholar] [CrossRef]
- Chambers, V.S.; Marsico, G.; Boutell, J.M.; Antonio, M.D.; Smith, G.P.; Balasubramanian, S. High-throughput sequencing of DNA G-quadruplex structures in the human genome. Nat. Biotechnol. 2015, 33, 877–881. [Google Scholar] [CrossRef]
- Hänsel-Hertsch, R.; Antonio, M.D.; Balasubramanian, S. DNA G-quadruplexes in the human genome: Detection, functions and therapeutic potential. Nat. Rev. Mol. Cell Biol. 2017, 18, 279–284. [Google Scholar] [CrossRef]
- Fujii, T.; Podbevšek, P.; Plavec, J.; Sugimoto, N. Effects of metal ions and cosolutes on G-quadruplex topology. J. Inorg. Biochem. 2017, 166, 190–198. [Google Scholar] [CrossRef]
- Kehl-Fie, T.E.; Skaar, E.P. Nutritional immunity beyond iron: A role for manganese and zinc. Curr. Opin. Chem. Biol. 2010, 14, 218–224. [Google Scholar] [CrossRef] [PubMed]
- Takeda, A. Manganese action in brain function. Brain Res. Rev. 2003, 41, 79–87. [Google Scholar] [CrossRef] [PubMed]
- Aguirre, J.D.; Culotta, V.C. Battles with Iron: Manganese in Oxidative Stress Protection. J. Biol. Chem. 2012, 287, 13541–13548. [Google Scholar] [CrossRef] [PubMed]
- Mukhopadhyay, S.; Bachert, C.; Smith, D.R.; Linstedt, A.D. Manganese-induced Trafficking and Turnover of the cis-Golgi Glycoprotein GPP130. Mol. Biol. Cell 2010, 21, 1282–1292. [Google Scholar] [CrossRef]
- Martins, A.C., Jr.; Morcillo, P.; Ijomone, O.M.; Venkataramani, V.; Harrison, F.E.; Lee, E.; Bowman, A.B.; Aschner, M. New Insights on the Role of Manganese in Alzheimer’s Disease and Parkinson’s Disease. Int. J. Environ. Res. Public Health 2019, 16, 3546. [Google Scholar] [CrossRef] [PubMed]
- Perl, D.P.; Olanow, C.W. The neuropathology of manganese-induced Parkinsonism. J. Neuropathol. Exp. Neurol. 2007, 66, 675–682. [Google Scholar] [CrossRef]
- Aschner, M.; Erikson, K.M.; Hernández, E.H.; Tjalkens, R. Manganese and its role in Parkinson’s disease: From transport to neuropathology. Neuromolecular Med. 2009, 11, 252–266. [Google Scholar] [CrossRef]
- Carter, K.P.; Young, A.M.; Palmer, A.E. Fluorescent sensors for measuring metal ions in living systems. Chem. Rev. 2014, 114, 4564–4601. [Google Scholar] [CrossRef]
- Zhang, Y.; Sun, Y.; Cai, L.; Gao, Y.; Cai, Y. Optical fiber sensors for measurement of heavy metal ion concentration: A review. Measurement 2020, 158, 107742. [Google Scholar] [CrossRef]
- Chen, X.; Han, C.; Cheng, H.; Wang, Y.; Liu, J.; Xu, Z.; Hu, L. Rapid speciation analysis of mercury in seawater and marine fish by cation exchange chromatography hyphenated with inductively coupled plasma mass spectrometry. J. Chromatogr. A 2013, 1314, 86–93. [Google Scholar] [CrossRef]
- Gao, Y.; Shi, Z.; Zong, Q.; Wu, P.; Su, J.; Liu, R. Direct determination of mercury in cosmetic samples by isotope dilution inductively coupled plasma mass spectrometry after dissolution with formic acid. Anal. Chim. Acta 2014, 812, 6–11. [Google Scholar] [CrossRef] [PubMed]
- Mena, M.L.; McLeod, C.W.; Jones, P.; Withers, A.; Minganti, V.; Capelli, R.; Quevauviller, P. Microcolumn preconcentration and gas chromatography-microwave induced plasma-atomic emission spectrometry (GC-MIP-AES) for mercury speciation in waters. Freenius J. Anal. Chem. 1995, 351, 456–460. Available online: https://link.springer.com/article/10.1007/BF00322919 (accessed on 16 May 2023). [CrossRef]
- Dai, Z.; Khosla, N.; Canary, J.W. Visible colour displacement sensing system for manganese (II). Supramol. Chem. 2009, 21, 296–300. [Google Scholar] [CrossRef]
- Liang, J.; Canary, J.W. Discrimination between hard metals with soft ligand donor atoms: An on-fluorescence probe for manganese (II). Angew. Chem. Int. Ed. 2010, 49, 7710–7713. [Google Scholar] [CrossRef] [PubMed]
- Ramdzan, N.S.M.; Fen, Y.W.; Anas, N.A.A.; Omar, N.A.S.; Saleviter, S. Development of Biopolymer and Conducting Polymer-Based Optical Sensors for Heavy Metal Ion Detection. Molecules 2020, 25, 2548. [Google Scholar] [CrossRef] [PubMed]
- Tabassum, R.; Gupta, B.D. Fiber optic manganese ions sensor using SPR and nanocomposite of ZnO-polypyrrole. Sens. Actuators B Chem. 2015, 220, 903–909. [Google Scholar] [CrossRef]
- Egorov, V.M.; Smirnova, S.V.; Formanovsky, A.A.; Pletnev, I.V.; Zolotov, Y.A. Dissolution of cellulose in ionic liquids as a way to obtain test materials for metal-ion detection. Anal. Bioanal. Chem. 2007, 387, 2263–2269. [Google Scholar] [CrossRef]
- Mao, X.; Su, H.; Tian, D.; Li, H.; Yang, R. Bipyrene-Functionalized Graphene as a “Turn-On” Fluorescence Sensor for Manganese (II) Ions in Living cells. ACS Appl. Mater. Interfaces 2013, 5, 592–597. [Google Scholar] [CrossRef]
- Kaneko, A.; Watari, M.; Mizunuma, M.; Saito, H.; Furukawa, K.; Chuman, Y. Development of Specific Inhibitors for Oncogenic Phosphatase PPM1D by Using Ion-Responsive DNA Aptamer Library. Catalysts 2020, 10, 1153. [Google Scholar] [CrossRef]
- Mohanty, J.; Barooah, N.; Dhamodharan, V.; Harikrishna, S.; Pradeepkumar, P.I.; Bhasikuttan, A.C. Thioflavin T as an efficient inducer and selective fluorescent sensor for the human telomeric G-quadruplex DNA. J. Am. Chem. Soc. 2013, 135, 367–376. [Google Scholar] [CrossRef]
- Gabelica, V.; Maeda, R.; Fujimoto, T.; Yaku, H.; Murashima, T.; Sugimoto, N.; Miyoshi, D. Multiple and Cooperative Binding of Fluorescence Light-up Probe Thioflavin T with Human Telomere DNA G-Quadruplex. Biochemistry 2013, 52, 5620–5628. [Google Scholar] [CrossRef] [PubMed]
- Mergny, J.L.; Sen, D. DNA Quadruple Helices in Nanotechnology. Chem. Rev. 2019, 119, 6290–6325. [Google Scholar] [CrossRef]
- Zhou, J.; Fleming, A.M.; Averill, A.M.; Burrows, C.J.; Wallace, S.S. The NEIL glycosylases remove oxidized guanine lesions from telomeric and promoter quadruplex DNA structures. Nucleic Acid Res. 2015, 43, 4039–4054. [Google Scholar] [CrossRef] [PubMed]
- Villar-Guerra, R.D.; Trent, J.O.; Chaires, J.B. G-Quadruplex Secondary Structure Obtained from Circular Dichroism Spectroscopy. Angew. Chem. Int. Ed. 2018, 57, 7171–7175. [Google Scholar] [CrossRef] [PubMed]
- Ishikawa, R.; Yasuda, M.; Sasaki, S.; Ma, Y.; Nagasawa, K.; Tera, M. Stabilization of telomeric G-quadruplex by ligand binding increases susceptibility to S1 nuclease. Chem. Commun. 2021, 57, 7236–7239. [Google Scholar] [CrossRef]
- Biyani, M.; Nishigaki, K. Structural characterization of ultra-stable higher-ordered aggregates generated by novel guanine-rich DNA sequences. Gene 2005, 364, 130–138. [Google Scholar] [CrossRef]
- Futian, B.; Lu, G.; Jun, A. An Update of DNA Hydrogel Application in Biosensing. Part. Part. Syst. Charact. 2023, 40, 2200176. [Google Scholar] [CrossRef]
- Li, F.; Tang, J.; Geng, J.; Luo, D.; Yang, D. Polymeric DNA hydrogel: Design, synthesis and applications. Prog. Polym. Sci. 2019, 98, 101163. [Google Scholar] [CrossRef]
- Iqbal, S.; Ahmed, F.; Xiong, H. Responsive-DNA hydrogel based intelligent materials: Preparation and applications. Chem. Eng. J. 2021, 420, 130384. [Google Scholar] [CrossRef]
- Zhong, R.; Xiao, M.; Zhu, C.; Shen, X.; Tang, Q.; Zhang, W.; Wang, L.; Song, S.; Qu, X.; Pei, H.; et al. Logic Catalytic Interconversion of G-Molecular Hydrogel. ACS Appl. Mater. Interfaces 2018, 10, 4512–4518. [Google Scholar] [CrossRef]
- Dave, N.; Chan, M.Y.; Huang, P.J.; Smith, B.D.; Liu, J. Regenerable DNA-functionalized hydrogels for ultrasensitive, instrument-free mercury (II) detection and removal in water. J. Am. Chem. Soc. 2010, 132, 12668–12673. [Google Scholar] [CrossRef] [PubMed]
- Trantírek, L.; Stefl, R.; Vorlícková, M.; Koca, J.; Sklenár, V.; Kypr, J. An A-type double helix of DNA having B-type puckering of the deoxyribose rings. J. Mol. Biol. 2000, 297, 907–922. [Google Scholar] [CrossRef] [PubMed]
- Stefl, R.; Trantírek, L.; Vorlícková, M.; Koca, J.; Sklenár, V.; Kypr, J. A-like guanine-guanine stacking in the aqueous DNA duplex of d(GGGGCCCC). J. Mol. Biol. 2001, 307, 513–524. [Google Scholar] [CrossRef] [PubMed]
- Xu, Q.; Shoemaker, R.K.; Braunlin, W.H. Induction of B-A transitions of deoxyoligonucleotides by multivalent cations in dilute aqueous solution. Biophys. J. 1993, 65, 1039–1049. [Google Scholar] [CrossRef]
- Miyoshi, D.; Karimata, H.; Wang, Z.; Koumoto, K.; Sugimoto, N. Artificial G-Wire Switch with 2,2‘-Bipyridine Units Responsive to Divalent Metal Ions. J. Am. Chem. Soc. 2007, 129, 5919–5925. [Google Scholar] [CrossRef]
- Oliviero, G.; D’Errico, S.; Pinto, B.; Nici, F.; Dardano, P.; Rea, I.; De Stefano, L.; Mayol, L.; Piccialli, G.; Borbone, N. Self-Assembly of G-Rich Oligonucleotides Incorporating a 3′-3′ Inversion of Polarity Site: A New Route Towards G-Wire DNA Nanostructures. Chemistryopen 2017, 6, 599–605. [Google Scholar] [CrossRef]
- Marzano, M.; Falanga, A.P.; Dardano, P.; D’Errico, S.; Rea, I.; Terracciano, M.; De Stefano, L.; Piccialli, G.; Borbone, N.; Oliviero, G. π-π stacked DNA G-wire nanostructures formed by a short G-rich oligonucleotide containing a 3′-3′ inversion of polarity site. Org. Chem. Front. 2020, 7, 2187–2195. [Google Scholar] [CrossRef]
- Hardin, C.C.; Perry, A.G.; White, K. Thermodynamic and kinetic characterization of the dissociation and assembly of quadruplex nucleic acids. Biopolymers 2001, 56, 147–194. [Google Scholar] [CrossRef]
- Blume, S.W.; Guarcello, V.; Zacharias, W.; Miller, D.M. Divalent transition metal cations counteract potassium-induced quadruplex assembly of oligo(dG) sequences. Nucleic Acid Res. 1997, 25, 617–625. [Google Scholar] [CrossRef]
- He, F.; Tang, Y.; Wang, S.; Li, Y.; Zhu, D. Fluorescent Amplifying Recognition for DNA G-Quadruplex Folding with a Cationic Conjugated Polymer: A Platform for Homogeneous Potassium Detection. J. Am. Chem. Soc. 2005, 127, 12343–12346. [Google Scholar] [CrossRef]
- Takenaka, S.; Juskowiak, B. Fluorescence detection of potassium ion using the G-quadruplex structure. Anal. Sci. 2011, 27, 1167–1172. [Google Scholar] [CrossRef] [PubMed]
- Liu, L.; Shao, Y.; Peng, J.; Huang, C.; Liu, H.; Zhang, L. Molecular rotor-based fluorescent probe for selective recognition of hybrid G-quadruplex and as a K+ sensor. Anal. Chem. 2014, 86, 1622–1631. [Google Scholar] [CrossRef] [PubMed]
- Zhang, D.; Han, J.; Li, Y.; Fan, L.; Li, X. Aptamer-Based K(+) Sensor: Process of Aptamer Transforming into G-Quadruplex. J. Phys. Chem. B 2016, 120, 6606–6611. [Google Scholar] [CrossRef] [PubMed]
- Nagatoishi, S.; Nojima, T.; Galezowska, E.; Juskowiak, B.; Takenaka, S. G quadruplex-based FRET probes with the thrombin-binding aptamer (TBA) sequence designed for the efficient fluorometric detection of the potassium ion. ChemBioChem 2006, 7, 1730–1737. [Google Scholar] [CrossRef]
- Cruz, R.P.; Withers, J.B.; Li, Y. Dinucleotide junction cleavage versatility of 8-17 deoxyribozyme. Chem. Biol. 2004, 11, 57–67. [Google Scholar] [CrossRef]
- Sun, X.; Li, Q.; Xiang, J.; Wang, L.; Zhang, X.; Lan, L.; Xu, S.; Yang, F.; Tang, Y. Novel fluorescent cationic benzothiazole dye that responds to G-quadruplex aptamer as a novel K+ sensor. Analyst 2017, 142, 3352–3355. [Google Scholar] [CrossRef]
- Hasegawa, H.; Savory, N.; Abe, K.; Ikebukuro, K. Methods for Improving Aptamer Binding Affinity. Molecules 2016, 21, 421. [Google Scholar] [CrossRef]
- Fellouse, F.A.; Esaki, K.; Birtalan, S.; Raptis, D.; Cancasci, V.J.; Koide, A.; Jhurani, P.; Vasser, M.; Wiesmann, C.; Kossiakoff, A.A.; et al. High-throughput generation of synthetic antibodies from highly functional minimalist phage-displayed libraries. J. Mol. Biol. 2007, 373, 924–940. [Google Scholar] [CrossRef]
- Bakalar, B.; Heddi, B.; Schmitt, E.; Mechulam, Y.; Phan, A.T. A Minimal Sequence for Left-Handed G-Quadruplex Formation. Angew. Chem. Int. Ed. 2019, 58, 2331–2335. [Google Scholar] [CrossRef]
- Brcic, J.; Plavec, J. NMR structure of a G-quadruplex formed by four d(G4C2) repeats: Insights into structural polymorphism. Nucleic Acid Res. 2018, 46, 11605–11617. [Google Scholar] [CrossRef]
- Reddy-Sannapureddi, R.K.; Mohanty, M.K.; Gautam, A.K.; Sathyamoorthy, B. Characterization of DNA G-quadruplex Topologies with NMR Chemical Shifts. J. Phys. Chem. Lett. 2020, 11, 10016–10022. [Google Scholar] [CrossRef] [PubMed]
- Li, Y.; Han, X.; Zhou, S.; Yan, Y.; Xiang, X.; Zhao, B.; Guo, X. Structural Features of DNA G-Quadruplexes Revealed by Surface-Enhanced Raman Spectroscopy. J. Phys. Chem. Lett. 2018, 9, 3245–3252. [Google Scholar] [CrossRef] [PubMed]
- Miljanić, S.; Ratkaj, M.; Matković, M.; Piantanida, I.; Gratteri, P.; Bazzicalupi, C. Assessment of human telomeric G-quadruplex structures using surface-enhanced Raman spectroscopy. Anal. Bioanal. Chem. 2017, 409, 2285–2295. [Google Scholar] [CrossRef] [PubMed]









| Name | Sequence | Frequency |
|---|---|---|
| MnG4C1 | 5′-AGGG-GGGGAG-TTAGGG-CGCACG-TTAGGG-GTGCTA-TTAGGG-3′ | 3 |
| Others | 5′-AGGG-NNNNNN-TTAGGG-NNNNNN-TTAGGG-NNNNNN-TTAGGG-3′ | 28 |
| Total | 31 |
| Method | Cations | Apparent KD (EC50) Value |
|---|---|---|
| ThT fluorescent analysis | K+ | 4.66 ± 1.21 mM |
| Mn2+ | 2.60 ± 0.98 µM | |
| CD analysis | K+ | 5.25 ± 3.99 mM |
| Mn2+ | 32.7 ± 4.5 µM | |
| FRET analysis | K+ | 34.1 ± 12.7 mM |
| Mn2+ | 1.52 ± 0.17 µM |
Disclaimer/Publisher’s Note: The statements, opinions and data contained in all publications are solely those of the individual author(s) and contributor(s) and not of MDPI and/or the editor(s). MDPI and/or the editor(s) disclaim responsibility for any injury to people or property resulting from any ideas, methods, instructions or products referred to in the content. |
© 2023 by the authors. Licensee MDPI, Basel, Switzerland. This article is an open access article distributed under the terms and conditions of the Creative Commons Attribution (CC BY) license (https://creativecommons.org/licenses/by/4.0/).
Share and Cite
Mizunuma, M.; Suzuki, M.; Kobayashi, T.; Hara, Y.; Kaneko, A.; Furukawa, K.; Chuman, Y. Development of Mn2+-Specific Biosensor Using G-Quadruplex-Based DNA. Int. J. Mol. Sci. 2023, 24, 11556. https://doi.org/10.3390/ijms241411556
Mizunuma M, Suzuki M, Kobayashi T, Hara Y, Kaneko A, Furukawa K, Chuman Y. Development of Mn2+-Specific Biosensor Using G-Quadruplex-Based DNA. International Journal of Molecular Sciences. 2023; 24(14):11556. https://doi.org/10.3390/ijms241411556
Chicago/Turabian StyleMizunuma, Masataka, Mirai Suzuki, Tamaki Kobayashi, Yuki Hara, Atsushi Kaneko, Kazuhiro Furukawa, and Yoshiro Chuman. 2023. "Development of Mn2+-Specific Biosensor Using G-Quadruplex-Based DNA" International Journal of Molecular Sciences 24, no. 14: 11556. https://doi.org/10.3390/ijms241411556
APA StyleMizunuma, M., Suzuki, M., Kobayashi, T., Hara, Y., Kaneko, A., Furukawa, K., & Chuman, Y. (2023). Development of Mn2+-Specific Biosensor Using G-Quadruplex-Based DNA. International Journal of Molecular Sciences, 24(14), 11556. https://doi.org/10.3390/ijms241411556

