Development and Characterization of Near-Isogenic Lines Derived from Synthetic Wheat Revealing the 2 kb Insertion in the PPD-D1 Gene Responsible for Heading Delay and Grain Number Improvement
Abstract
1. Introduction
2. Results
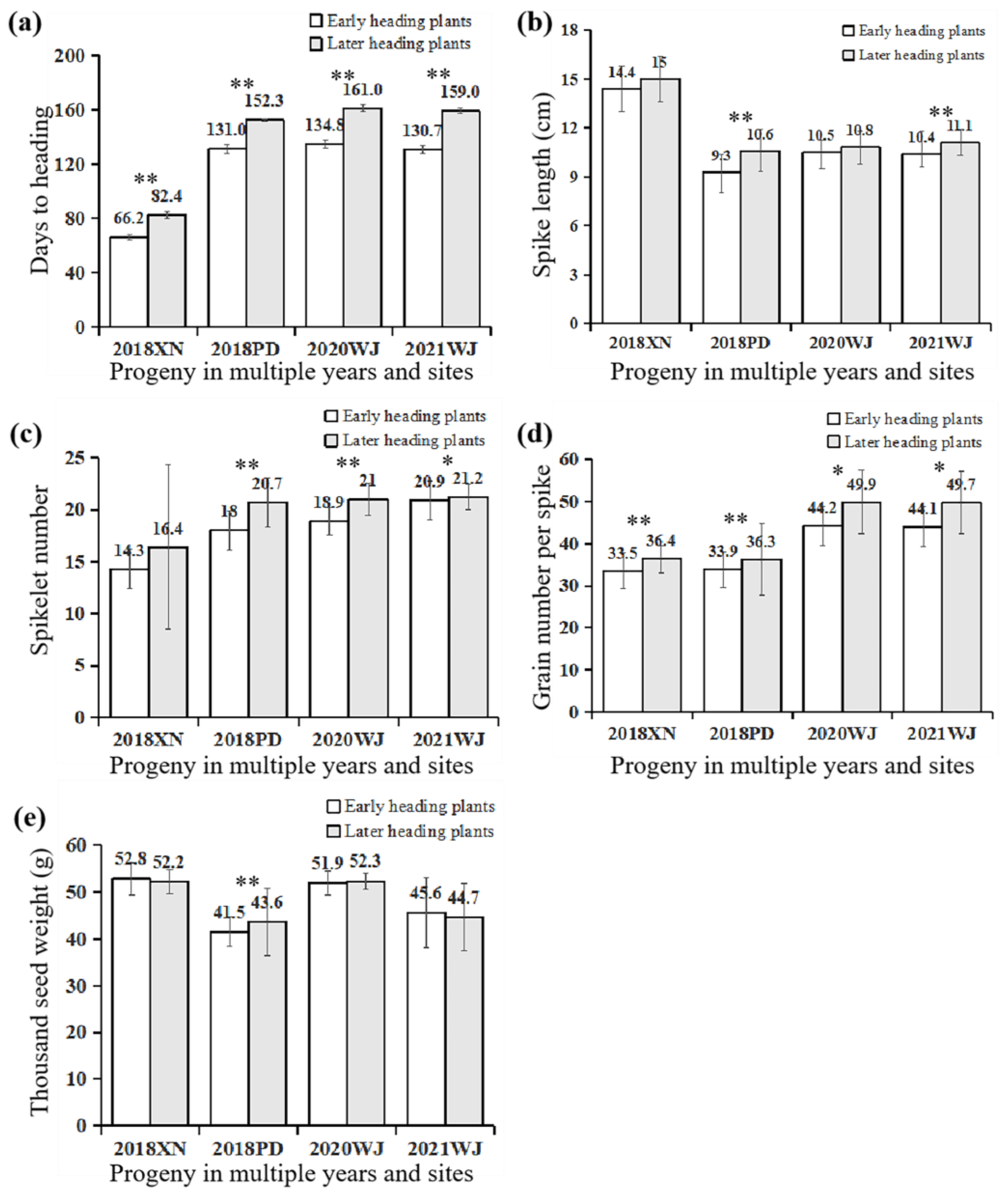
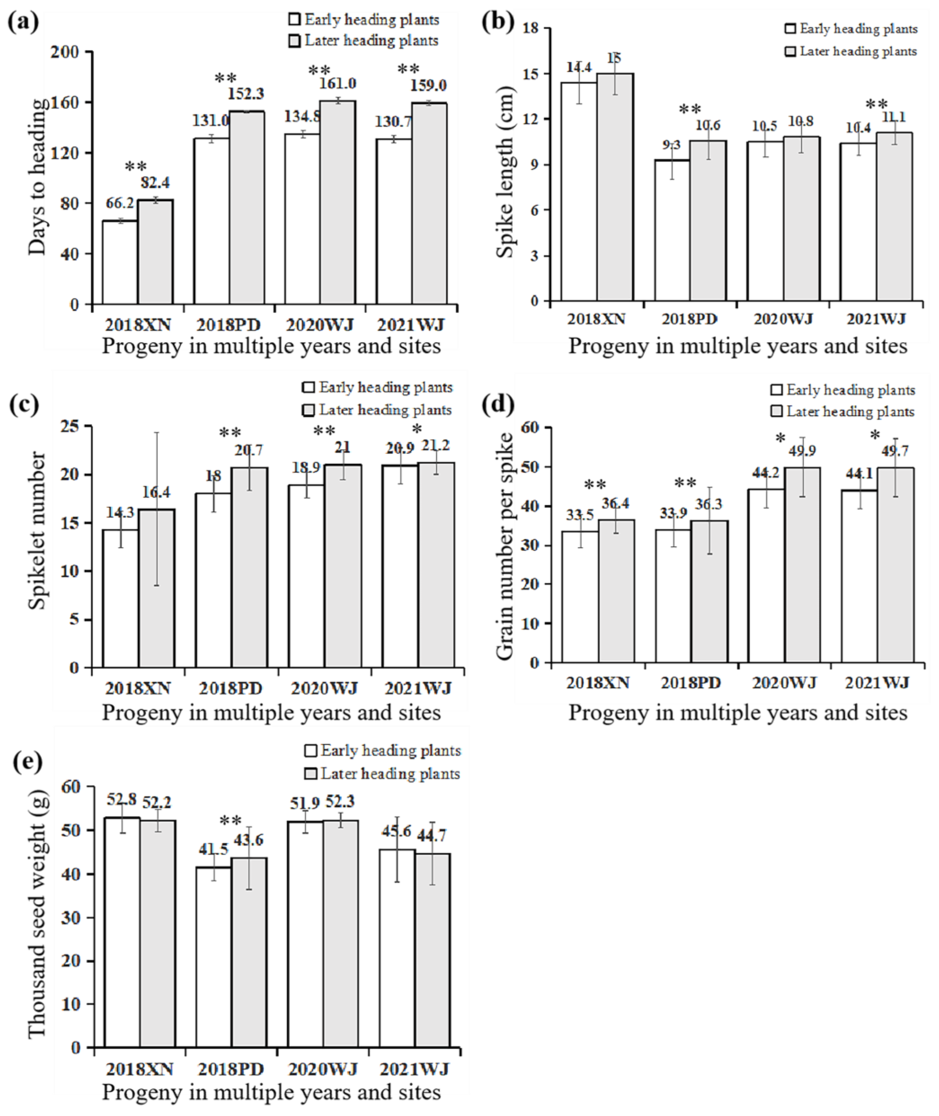
2.1. Heading Date Analysis
2.2. Correlations of Heading Date and Agronomic Traits
2.3. Evaluation of the Different SNP Alleles between the Early Heading Pool and the Later Heading Pool
2.4. PPD-D1 Allele Detection
2.5. Association of 2 kb Insertion with Later Heading
3. Discussion
3.1. A 2 kb Insertion in the Sensitivity PPD-D1 Allele Is Responsible for Delays in Heading with Improvement in Agronomic Traits
3.2. Incomplete Dominant Gene PPD-D1 Gene Model for Heterosis
3.3. Implication for Breeding
4. Materials and Methods
4.1. Plant Materials
4.2. Field Trials and Trait Evaluation
4.3. SNP Genotyping
4.4. DNA Amplification and Sequencing
Author Contributions
Funding
Institutional Review Board Statement
Informed Consent Statement
Data Availability Statement
Conflicts of Interest
References
- Brenchley, R.; Spannagl, M.; Pfeifer, M.; Barker, G.L.; D’Amore, R.; Allen, A.M.; McKenzie, N.; Kramer, M.; Kerhornou, A.; Bolser, D.; et al. Analysis of the bread wheat genome using whole-genome shotgun sequencing. Nature 2012, 491, 705–710. [Google Scholar] [CrossRef]
- Zhou, Y.; Bai, S.; Li, H.; Sun, G.; Zhang, D.; Ma, F.; Zhao, X.; Nie, F.; Li, J.; Chen, L.; et al. Introgressing the Aegilops tauschii genome into wheat as a basis for cereal improvement. Nat. Plants 2021, 7, 774–786. [Google Scholar] [CrossRef]
- Brancourt-Hulmel, M.; Doussinault, G.; Lecomte, C.; Bérard, P.; Le Buanec, B.; Trottet, M. Genetic improvement of agronomic traits of winter wheat cultivars released in France from 1946 to 1992. Crop Sci. 2003, 43, 37–45. [Google Scholar] [CrossRef]
- Finnegan, E.J.; Ford, B.; Wallace, X.; Pettolino, F.; Griffin, P.T.; Schmitz, R.J.; Zhang, P.; Barrero, J.M.; Hayden, M.J.; Boden, S.A.; et al. Zebularine treatment is associated with deletion of FT-B1 leading to an increase in spikelet number in bread wheat. Plant Cell Environ. 2018, 41, 1346–1360. [Google Scholar] [CrossRef] [PubMed]
- Sreenivasulu, N.; Schnurbusch, T. A genetic playground for enhancing grain number in cereals. Trends Plant Sci. 2012, 17, 91–101. [Google Scholar] [CrossRef]
- Kihara, H. Discovery of the DD-analyser, one of the ancestors of Triticum vulgare. Agric. Hortic. 1944, 19, 889–890. [Google Scholar]
- McFadden, E.S.; Sears, E.R. The artifcial synthesis of Triticum spelta. Rec. Genet. Soc. Am. 1944, 13, 26–27. [Google Scholar]
- McFadden, E.S.; Sears, E.R. The origin of Triticum spelta and its free-threshing hexaploid relatives. J. Hered. 1946, 37, 81–89. [Google Scholar] [CrossRef] [PubMed]
- Dubcovsky, J.; Dvorak, J. Genome plasticity a key factor in the success of polyploid wheat under domestication. Science 2007, 316, 1862–1866. [Google Scholar] [CrossRef] [PubMed]
- Haudry, A.; Cenci, A.; Ravel, C.; Bataillon, T.; Brunel, D.; Poncet, C.; Hochu, I.; Poirier, S.; Santoni, S.; Glémin, S.; et al. Grinding up wheat: A massive loss of nucleotide diversity since domestication. Mol. Biol. Evol. 2007, 24, 1506–1517. [Google Scholar] [CrossRef]
- Li, A.; Liu, D.; Yang, W.; Kishii, M.; Mao, L. Synthetic hexaploid wheat: Yesterday, today, and tomorrow. Engineering 2018, 4, 552–558. [Google Scholar] [CrossRef]
- Pritchard, D.J.; Hollington, P.A.; Davies, W.P.; Gorham, J.; De Diaz Leon, J.L.; Mujeeb-Kazi, A. K+/Na+ discrimination in synthetic hexaploid wheat lines: Transfer of the trait for K+/Na+ discrimination from Aegilops tauschii into a Triticum turgidum background. Cereal Res. Commun. 2002, 30, 261–267. [Google Scholar] [CrossRef]
- Mujeeb-Kazi, A.; Gul, A.; Farooq, M.; Rizwan, S.; Ahmad, I. Rebirth of synthetic hexaploids with global implications for wheat improvement. Aust. J. Agric. Res. 2008, 59, 391–398. [Google Scholar] [CrossRef]
- Hao, M.; Zhang, L.; Zhao, L.; Dai, S.; Li, A.; Yang, W.; Xie, D.; Li, Q.; Ning, S.; Yan, Z.; et al. A breeding strategy targeting the secondary gene pool of bread wheat: Introgression from a synthetic hexaploid wheat. Theor. Appl. Genet. 2019, 132, 2285–2294. [Google Scholar] [CrossRef]
- Guo, Z.; Song, Y.; Zhou, R.; Ren, Z.; Jia, J. Discovery, evaluation and distribution of haplotypes of the wheat Ppd-D1 gene. New Phytol. 2010, 185, 841–851. [Google Scholar] [CrossRef]
- Boden, S.A.; Cavanagh, C.; Cullis, B.R.; Ramm, K.; Greenwood, J.; Finnegan, E.J.; Trevaskis, B.; Swain, S.M. Ppd-1 is a key regulator of inflorescence architecture and paired spikelet development in wheat. Nat. Plants 2015, 1, 14016. [Google Scholar] [CrossRef]
- Scarth, R.; Law, C.N. The location of the photoperiod gene, Ppd2 and an additional genetic factor for ear-emergence time on chromosome 2B of wheat. Heredity 1983, 51, 607–619. [Google Scholar] [CrossRef]
- Scarth, R.; Law, C.N. The control of the day-length response in wheat by the group 2 chromosomes. Z. Pflanzenzücht. 1984, 92, 140–150. [Google Scholar]
- McIntosh, R.A.; Yamazaki, Y.; Devos, K.M.; Dubcovsky, J.; Rogers, W.J.; Appels, R. Catalogue of gene symbols for wheat. In Proceedings of 10th International Wheat Genetics Symposium; McIntosh, R.A., Pogna, N.E., Eds.; Istituto Sperimentale per la Cerealicoltura: Rome, Italy, 2003; pp. 1–47. [Google Scholar]
- Shaw, L.M.; Turner, A.S.; Laurie, D.A. The impact of photoperiod insensitive Ppd-1a mutations on the photoperiod pathway across the three genomes of hexaploid wheat (Triticum aestivum). Plant J. 2012, 71, 71–84. [Google Scholar] [CrossRef] [PubMed]
- Bentley, A.R.; Horsnell, R.; Werner, C.P.; Turner, A.S.; Rose, G.A.; Bedard, C.; Howell, P.; Wilhelm, E.P.; Mackay, I.J.; Howells, R.M.; et al. Short, natural, and extended photoperiod response in BC2F4 lines of bread wheat with different photoperiod-1 (Ppd-1) alleles. J. Exp. Bot. 2013, 64, 1783–1793. [Google Scholar] [CrossRef]
- Worland, A.J.; Börner, A.; Korzun, V.; Li, W.M.; Petrovíc, S.; Sayers, E.J. The influence of photoperiod genes on the adaptability of European winter wheats. Euphytica 1998, 100, 385–394. [Google Scholar] [CrossRef]
- Snape, J.W.; Butterworth, K.; Whitechurch, E.; Worland, A.J. Waiting for fine times: Genetics of flowering time in wheat. Euphytica 2001, 119, 185–190. [Google Scholar] [CrossRef]
- González, F.G.; Slafer, G.A.; Miralles, D.J. Pre-anthesis development and number of fertile florets in wheat as affected by photoperiod sensitivity genes Ppd-D1 and Ppd-B1. Euphytica 2005, 146, 253–269. [Google Scholar] [CrossRef]
- Ochagavía, H.; Prieto, P.; Savin, R.; Griffiths, S.; Slafer, G. Dynamics of leaf and spikelet primordia initiation in wheat as affected by Ppd-1a alleles under field conditions. J. Exp. Bot. 2018, 69, 2621–2631. [Google Scholar] [CrossRef]
- Scarth, R.; Kirby, E.J.M.; Law, C.N. Effects of the photoperiod genes Ppd1 and Ppd2 on growth and development of the shoot apex in wheat. Ann. Bot. 1985, 55, 351–359. [Google Scholar] [CrossRef]
- Royo, C.; Dreisigacker, S.; Alfaro, C.; Ammar, K.; Villegas, D. Effect of Ppd-1 genes on durum wheat flowering time and grain filling duration in a wide range of latitudes. J. Agric. Sci. 2015, 154, 612–631. [Google Scholar] [CrossRef]
- Díaz, A.; Zikhali, M.; Turner, A.S.; Isaac, P.; Laurie, D.A. Copy number variation affecting the photoperiod-B1 and vernalization-A1 genes is associated with altered flowering time in wheat (Triticum aestivum). PLoS ONE 2012, 7, e33234. [Google Scholar] [CrossRef]
- Pérez-Gianmarco, T.I.; Slafer, G.A.; González, F.G. Wheat pre-anthesis development as affected by photoperiod sensitivity genes (Ppd-1) under contrasting photoperiods. Funct. Plant Biol. 2018, 45, 645–657. [Google Scholar] [CrossRef]
- Pérez-Gianmarco, T.I.; Slafer, G.A.; González, F.G. Photoperiod-sensitivity genes shape floret development in wheat. J. Exp. Bot. 2019, 70, 1339–1348. [Google Scholar] [CrossRef]
- Ning, S.; Zhao, L.; Li, S.; Li, S.; Zang, T.; Liu, Y.E.; Yang, H.; Chen, X.; Chen, X.; Yi, Y.; et al. Delays in heading and improvements in both spikelet number and spike length are associated with the Aegilops tausschii photoperiod-sensitive ppd-D1b allele. Cereal Res. Commun. 2022. [Google Scholar] [CrossRef]
- Beales, J.; Turner, A.; Griffiths, S.; Snape, J.W.; Laurie, D.A. A pseudo-response regulator is misexpressed in the photoperiod insensitive Ppd-D1a mutant of wheat (Triticum aestivum L.). Theor. Appl. Genet. 2007, 115, 721–733. [Google Scholar] [CrossRef] [PubMed]
- Yang, W.; Liu, D.; Li, J.; Zhang, L.; Wei, H.; Hu, X.; Zheng, Y.; He, Z.; Zou, Y. Synthetic hexaploid wheat and its utilization for wheat genetic improvement in China. J. Genet. Genomics 2009, 36, 539–546. [Google Scholar] [CrossRef] [PubMed]
- Ogbonnaya, F.C.; Abdalla, O.; Mujeeb-Kazi, A.; Kazi, A.G.; Xu, S.S.; Gosman, N.; Lagudah, E.S.; Bonnett, D.; Sorrells, M.E.; Tsujimoto, H. Synthetic hexaploids: Harnessing species of the primary gene pool for wheat improvement. In Plant Breeding Reviews; Janick, J., Ed.; Wiley-Blackwell: Hoboken, NJ, USA, 2013; pp. 35–122. [Google Scholar]
- Börner, A.; Ogbonnaya, F.C.; Röder, M.S.; Rasheed, A.; Periyannan, S.; Lagudah, E.S. Aegilops tauschii Introgressions in Wheat. In Alien Introgression in Wheat: Cytogenetics, Molecular Biology, and Genomics; Molnár-Láng, M., Ceoloni, C., Doležel, J., Eds.; Springer International Publishing: Cham, Germany, 2015; pp. 245–271. [Google Scholar]
- Blake, N.K.; Lanning, S.P.; Martin, J.M.; Doyle, M.; Sherman, J.D.; Naruoka, Y.; Talbert, L.E. Effect of variation for major growth habit genes on maturity and yield in five spring wheat populations. Crop Sci. 2009, 49, 1211–1220. [Google Scholar] [CrossRef]
- Kiss, T.; Balla, K.; Veisz, O.; Láng, L.; Bedő, Z.; Griffiths, S.; Isaac, P.; Karsai, I. Allele frequencies in the VRN-A1, VRN-B1 and VRN-D1 vernalization response and PPD-B1 and PPD-D1 photoperiod sensitivity genes, and their effects on heading in a diverse set of wheat cultivars (Triticum aestivum L.). Mol. Breed. 2014, 34, 297–310. [Google Scholar] [CrossRef] [PubMed]
- Robson, F.; Costa, M.M.; Hepworth, S.R.; Vizir, I.; Piñeiro, M.; Reeves, P.H.; Putterill, J.; Coupland, G. Functional importance of conserved domains in the flowering-time gene CONSTANS demonstrated by analysis of mutant alleles and transgenic plants. Plant J. 2001, 28, 619–631. [Google Scholar] [CrossRef] [PubMed]
- Zhao, X.; Guo, Y.; Kang, L.; Yin, C.; Bi, A.; Xu, D.; Zhang, Z.; Zhang, J.; Yang, X.; Xu, J.; et al. Population genomics unravels the Holocene history of bread wheat and its relatives. Nat. Plants 2023, 9, 403–419. [Google Scholar] [CrossRef]
- He, Q.; Deng, H.; Sun, P.; Zhang, W.; Shu, F.; Xing, J.; Peng, Z. Hybrid rice. Engineering 2020, 6, 967–973. [Google Scholar] [CrossRef]
- Cheng, S.H.; Zhuang, J.Y.; Fan, Y.Y.; Du, J.H.; Cao, L.Y. Progress in research and development on hybrid rice: A super-domesticate in China. Ann. Bot. 2007, 100, 959–966. [Google Scholar] [CrossRef]
- Li, S.; Yang, D.; Zhu, Y. Characterization and use of male sterility in hybrid rice breeding. J. Integr. Plant Biol. 2007, 49, 791–804. [Google Scholar] [CrossRef]
- Luo, D.; Xu, H.; Liu, Z.; Guo, J.; Li, H.; Chen, L.; Fang, C.; Zhang, Q.; Bai, M.; Yao, N.; et al. A detrimental mitochondrial-nuclear interaction causes cytoplasmic male sterility in rice. Nat. Genet. 2013, 45, 573–577. [Google Scholar] [CrossRef]
- Wei, X.; Xu, J.; Guo, H.; Jiang, L.; Chen, S.; Yu, C.; Zhou, Z.; Hu, P.; Zhai, H.; Wan, J. DTH8 suppresses flowering in rice, influencing plant height and yield potential simultaneously. Plant Physiol. 2010, 153, 1747–1758. [Google Scholar] [CrossRef]
- Yan, W.H.; Wang, P.; Chen, H.X.; Zhou, H.J.; Li, Q.P.; Wang, C.R.; Ding, Z.H.; Zhang, Y.S.; Yu, S.B.; Xing, Y.Z.; et al. A major QTL, Ghd8, plays pleiotropic roles in regulating grain productivity, plant height, and heading date in rice. Mol. Plant 2011, 4, 319–330. [Google Scholar] [CrossRef]
- Dai, X.; Ding, Y.; Tan, L.; Fu, Y.; Liu, F.; Zhu, Z.; Sun, X.; Sun, X.; Gu, P.; Cai, H.; et al. LHD1, an allele of DTH8/Ghd8, controls late heading date in common wild rice (Oryza rufipogon). J. Integr. Plant Biol. 2012, 54, 790–799. [Google Scholar] [CrossRef] [PubMed]
- Zhang, J.; Zhou, X.; Yan, W.; Zhang, Z.; Lu, L.; Han, Z.; Zhao, H.; Liu, H.; Song, P.; Hu, Y.; et al. Combinations of the Ghd7, Ghd8 and Hd1 genes largely define the ecogeographical adaptation and yield potential of cultivated rice. New Phytol. 2015, 208, 1056–1066. [Google Scholar] [CrossRef] [PubMed]
- Li, D.; Huang, Z.; Song, S.; Xin, Y.; Mao, D.; Lv, Q.; Zhou, M.; Tian, D.; Tang, M.; Wu, Q.; et al. Integrated analysis of phenome, genome, and transcriptome of hybrid rice uncovered multiple heterosis-related loci for yield increase. Proc. Natl. Acad. Sci. USA 2016, 113, E6026–E6035. [Google Scholar] [CrossRef]
- Huang, X.; Yang, S.; Gong, J.; Zhao, Q.; Feng, Q.; Zhan, Q.; Zhao, Y.; Li, W.; Cheng, B.; Xia, J.; et al. Genomic architecture of heterosis for yield traits in rice. Nature 2016, 537, 629–633. [Google Scholar] [CrossRef]
- Lin, T.; Zhou, C.; Chen, G.; Yu, J.; Wu, W.; Ge, Y.; Liu, X.; Li, J.; Jiang, X.; Tang, W.; et al. Heterosis-associated genes confer high yield in super hybrid rice. Theor. Appl. Genet. 2020, 133, 3287–3297. [Google Scholar] [CrossRef]
- Dowla, M.A.N.N.U.; Edwards, I.; O’Hara, G.; Islam, S.; Ma, W. Developing wheat for improved yield and adaptation under a changing climate: Optimization of a few key genes. Engineering 2018, 4, 514–522. [Google Scholar] [CrossRef]
- Bänziger, M.; Edmeades, G.O.; Lafitte, H.R. Selection for drought tolerance increases maize yields across a range of nitrogen levels. Crop Sci. 1999, 39, 1035–1040. [Google Scholar] [CrossRef]
- Borrell, A.K.; Hammer, G.L.; Henzell, R.G. Does maintaining green leaf area in sorghum improve yield under drought? II. Dry matter production and yield. Crop Sci. 2000, 40, 1037–1048. [Google Scholar] [CrossRef]
- Foulkes, M.J.; Sylvester-Bradley, R.; Weightman, R.; Snape, J.W. Identifying physiological traits associated with improved drought resistance in winter wheat. Field Crops Res. 2007, 103, 11–24. [Google Scholar] [CrossRef]
- Hafsi, M.; Mechmeche, W.; Bouamama, L.; Djekoune, A.; Zaharieva, M.; Monneveux, P. Flag leaf senescence, as evaluated by numerical image analysis, and its relationship with yield under drought in durum wheat. J. Agron. Crop Sci. 2000, 185, 275–280. [Google Scholar] [CrossRef]
- Dias, A.S.; Lidon, F.C. Evaluation of grain filling rate and duration in bread and durum wheat, under heat stress after anthesis. J. Agron. Crop Sci. 2009, 195, 137–147. [Google Scholar] [CrossRef]
- Kumari, M.; Singh, V.P.; Tripathi, R.; Joshi, A.K. Variation for staygreen trait and its association with canopy temperature depression and yield traits under terminal heat stress in wheat. In Wheat Production in Stressed Environments; Buck, H.T., Nisi, J.E., Salomón, N., Eds.; Springer: Dordrecht, Germany, 2007; pp. 357–363. [Google Scholar]
- Blake, N.K.; Lanning, S.P.; Martin, J.M.; Sherman, J.D.; Talbert, L.E. Relationship of flag leaf characteristics to economically important traits in two spring wheat crosses. Crop Sci. 2007, 47, 491–494. [Google Scholar] [CrossRef]
- Naruoka, Y.; Sherman, J.D.; Lanning, S.P.; Blake, N.K.; Martin, J.M.; Talbert, L.E. Genetic analysis of green leaf duration in spring wheat. Crop Sci. 2012, 52, 99–109. [Google Scholar] [CrossRef]
- Wickham, H. ggplot2: Elegant Graphics for Data Analysis; Springer: New York, NY, USA, 2016. [Google Scholar]







| Populations | No. | Heading Date | Expected Ratio | χ2 | p-Value | ||
|---|---|---|---|---|---|---|---|
| Early | Segregation | Later | |||||
| WJN3141_F7 | 150 | 121 (≤153 days) | 29 (≥159 days) | 3:1 | 2.569 | 0.109 | |
| WJN3141_F7:8 | 150 | 42 (≤143 days) | 79 | 29 (≥159 days) | 1:2:1 | 2.680 | 0.262 |
| WJN3151_F7 | 151 | 118 (≤153 days) | 33 (≥162 days) | 3:1 | 0.797 | 0.372 | |
| WJN3151_F7:8 | 151 | 31 (≤141 days) | 87 | 33 (≥162 days) | 1:2:1 | 3.556 | 0.169 |
| Code | No. | Days to Heading | Plant Height (cm) | Tiller No. | Main Spike Length (cm) | Spikelet Number of Main Spike | Grain Number per Spike |
|---|---|---|---|---|---|---|---|
| early heading plants | 73 | 135.9 ± 2.1 | 87.8 ± 3.9 | 7.2 ± 2.4 | 11.2 ± 1.0 | 19.8 ± 1.2 | 22.0 ± 4.5 |
| slightly delayed heading plants | 166 | 145.0 ± 2.3 ** | 86.3 ± 9.6 | 6.8 ± 2.6 | 11.4 ± 6.7 | 20.3 ± 1.8 | 40.1 ± 3.5 ** |
| later heading plants | 62 | 162.7 ± 2.7 ** | 88.1 ± 5.9 | 8.3 ± 2.5 | 11.8 ± 1.3 | 23.8 ± 1.8 ** | 53.2 ± 5.2 ** |
| Code | Phenotypes | Polymorphic Site Markers | Genotypes | ||
|---|---|---|---|---|---|
| Ppd-D1_F/R1 | Ppd-D1_F/R2 | Exon 7_KASP587 | |||
| Syn-SAU-24 | later heading | 414 bp | – | intact | ppd-1b |
| MY1848 | early heading | – | 288 bp | 5 bp deletion | Ppd-1a |
| WJN3201 | early heading | – | 288 bp | intact | Ppd-1a |
| WJN3161 | later heading | 414 bp | – | 5 bp deletion | ppd-1b |
| 18DTN45 | later heading | 414 bp | – | 5 bp deletion | ppd-1b |
| WJN3141 | slightly delayed heading | 414 bp | 288 bp | intact/5 bp deletion | Ppd-1a/ppd-1b |
| WJN3151 | slightly delayed heading | 414 bp | 288 bp | intact/5 bp deletion | Ppd-1a/ppd-1b |
| Target | Primer Name | Sequence of Primer (5′-3′) | Initial Denaturation | 35 Cycle | Final Extension | Size (bp) |
|---|---|---|---|---|---|---|
| in the promoter region | Ppd-D1_F | ACGCCTCCCACTACACTG | 94 °C/5 min | 94 °C/30 s, 54 °C/30 s. 72 °C/45 s | 72 °C/10 min | 414 or 453 bp/no amplification |
| Ppd-D1_R1 | GTTGGTTCAAACAGAGAGC | |||||
| Ppd-D1_F | ACGCCTCCCACTACACTG | 94 °C/5 min | 94 °C/30 s, 54 °C/30 s. 72 °C/2.5 min | 72 °C/10 min | 288 bp/no amplification | |
| Ppd-D1_R2 | CACTGGTGGTAGCTGAGATT | |||||
| 5 bp deletion in exon 7 | Exon 7_KASP587-1F | GAAGGTGACCAAGTTCATGCTAATCAAGGCGGTGCAGGGTTC | / | / | / | / |
| Exon 7_KASP587-2F | GAAGGTCGGAGTCAACGGATTAATCAAGGCGGTGCAGGGTTG | |||||
| Exon 7_KASP587-R | TTGCTTCATCTGAGCGGCGTC | |||||
| 5’UTR to 3’UTR | Ppd-D1_Frag1_F | GGCCCACAAAATCCACATCC | 94 °C/5 min | 94 °C/30 s, 59 °C/30 s. 72 °C/2.5 min | 72 °C/10 min | 1829 bp |
| Ppd-D1_Frag1_R | ATTGGAATCATCGCCACTCT | |||||
| Ppd-D1_Frag2_F | AGAGTGGCGATGATTCCAAT | 94 °C/5 min | 94 °C/30 s, 59 °C/30 s. 72 °C/40 s | 72 °C/10 min | 416 bp | |
| Ppd-D1_Frag2_R | TGGACAAATTGACCTCTAGTGCA | |||||
| Ppd-D1_Frag3_F | TGCACTAGAGGTCAATTTGTCCA | 94 °C/5 min | 94 °C/30 s, 59 °C/30 s. 72 °C/3 min | 72 °C/10 min | 2766 bp | |
| Ppd-D1_Frag3_R | GCGGAATGAATTGCGCTTTCA |
Disclaimer/Publisher’s Note: The statements, opinions and data contained in all publications are solely those of the individual author(s) and contributor(s) and not of MDPI and/or the editor(s). MDPI and/or the editor(s) disclaim responsibility for any injury to people or property resulting from any ideas, methods, instructions or products referred to in the content. |
© 2023 by the authors. Licensee MDPI, Basel, Switzerland. This article is an open access article distributed under the terms and conditions of the Creative Commons Attribution (CC BY) license (https://creativecommons.org/licenses/by/4.0/).
Share and Cite
Ning, S.; Li, S.; Xu, K.; Liu, D.; Ma, L.; Ma, C.; Hao, M.; Zhang, L.; Chen, W.; Zhang, B.; et al. Development and Characterization of Near-Isogenic Lines Derived from Synthetic Wheat Revealing the 2 kb Insertion in the PPD-D1 Gene Responsible for Heading Delay and Grain Number Improvement. Int. J. Mol. Sci. 2023, 24, 10834. https://doi.org/10.3390/ijms241310834
Ning S, Li S, Xu K, Liu D, Ma L, Ma C, Hao M, Zhang L, Chen W, Zhang B, et al. Development and Characterization of Near-Isogenic Lines Derived from Synthetic Wheat Revealing the 2 kb Insertion in the PPD-D1 Gene Responsible for Heading Delay and Grain Number Improvement. International Journal of Molecular Sciences. 2023; 24(13):10834. https://doi.org/10.3390/ijms241310834
Chicago/Turabian StyleNing, Shunzong, Shengke Li, Kai Xu, Dongmei Liu, Li Ma, Chunfang Ma, Ming Hao, Lianquan Zhang, Wenjie Chen, Bo Zhang, and et al. 2023. "Development and Characterization of Near-Isogenic Lines Derived from Synthetic Wheat Revealing the 2 kb Insertion in the PPD-D1 Gene Responsible for Heading Delay and Grain Number Improvement" International Journal of Molecular Sciences 24, no. 13: 10834. https://doi.org/10.3390/ijms241310834
APA StyleNing, S., Li, S., Xu, K., Liu, D., Ma, L., Ma, C., Hao, M., Zhang, L., Chen, W., Zhang, B., Jiang, Y., Huang, L., Chen, X., Jiang, B., Yuan, Z., & Liu, D. (2023). Development and Characterization of Near-Isogenic Lines Derived from Synthetic Wheat Revealing the 2 kb Insertion in the PPD-D1 Gene Responsible for Heading Delay and Grain Number Improvement. International Journal of Molecular Sciences, 24(13), 10834. https://doi.org/10.3390/ijms241310834

