BSA-Seq and Transcriptomic Analysis Provide Candidate Genes Associated with Inflorescence Architecture and Kernel Orientation by Phytohormone Homeostasis in Maize
Abstract
1. Introduction
2. Results
2.1. The Reversed Kernel1 Phenotype Affects Both Ear and Tassel Development
2.2. rk1 Mapping
2.3. UFM Differentiation Is Inhibited While LFM Differentiation Is Initiated in rk1
2.4. The Order of UFM and LFM Development Is Reversed in rk1
2.5. rk1 Influences the Expression of Genes Involved in Cell Differentiation, Organ Development, Phytohormone Responses, and Carbohydrate Metabolism
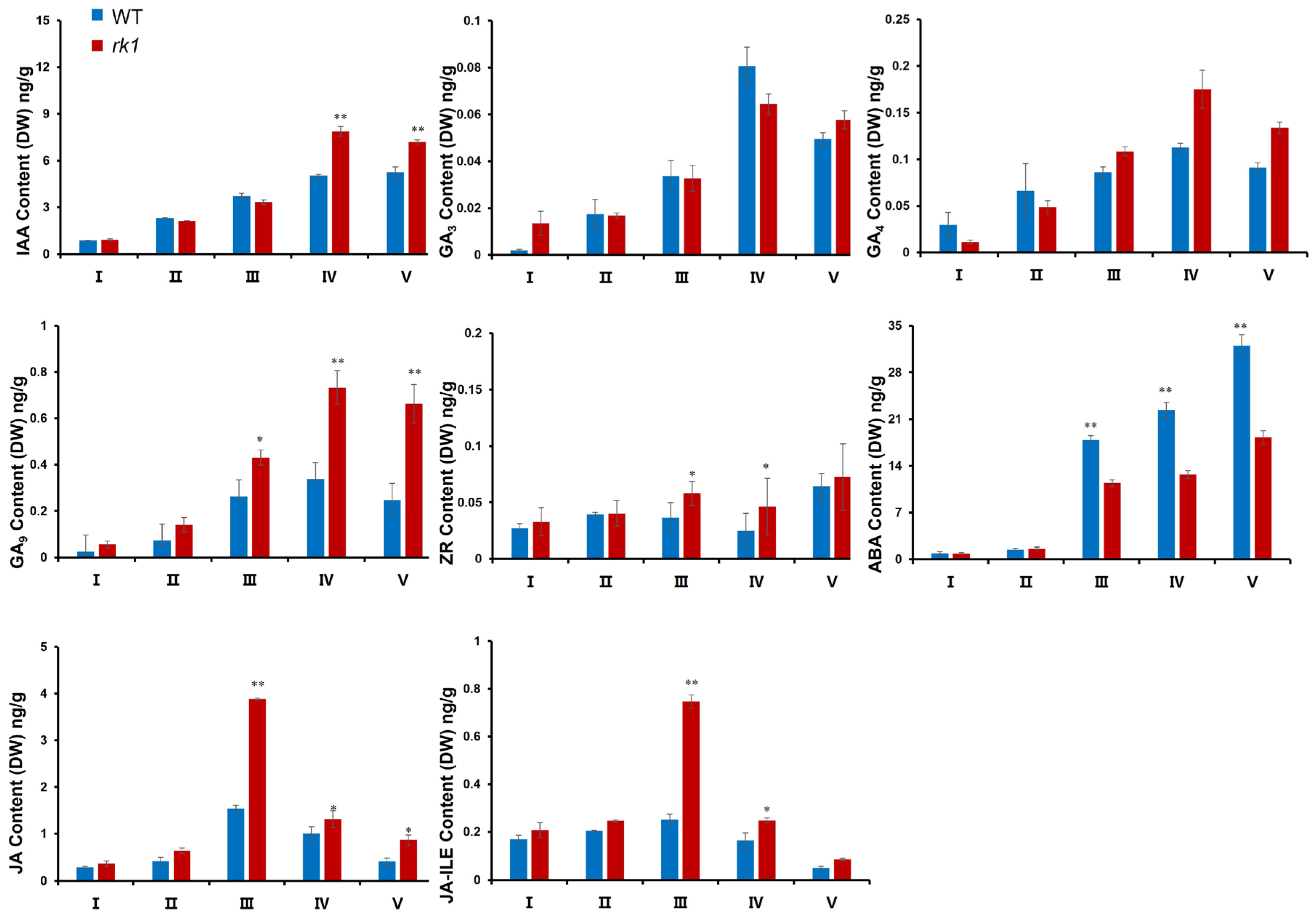
2.6. rk1 Affects Phytohormone Homeostasis
3. Discussion
3.1. rk1 Is a Novel Mutant Impaired in Inflorescence Development
3.2. rk1 Influences Organ Differentiation, Phytohormone Homeostasis, and Nutrient Contents
4. Materials and Methods
4.1. Plant Materials
4.2. Morphological Evaluation
4.3. Paraffin Sectioning
4.4. Scanning Electron Microscopy
4.5. RNA Isolation, Library Construction, and RNA Sequencing
4.6. Bulk Segregant Analysis Sequencing (BSA-Seq)
4.7. Quantitative RT-PCR
4.8. Immunolabeling
4.9. Extraction and Evaluation of Endogenous Phytohormones by Liquid Chromatography–Mass Spectrometry (LC-MS)
5. Conclusions
Supplementary Materials
Author Contributions
Funding
Institutional Review Board Statement
Informed Consent Statement
Data Availability Statement
Acknowledgments
Conflicts of Interest
References
- Thompson, B. Genetic and Hormonal Regulation of Maize Inflorescence Development. In Advances in Botanical Research; Elsevier: Amsterdam, The Netherlands, 2014; Volume 72, pp. 263–296. [Google Scholar]
- Li, Q.; Liu, B. Genetic Regulation of Maize Flower Development and Sex Determination. Planta 2017, 245, 1–14. [Google Scholar] [CrossRef] [PubMed]
- Tanaka, W.; Pautler, M.; Jackson, D.; Hirano, H.Y. Grass Meristems II: Inflorescence Architecture, Flower Development and Meristem Fate. Plant Cell Physiol. 2013, 54, 313–324. [Google Scholar] [CrossRef]
- Kellogg, E.A. Evolutionary History of the Grasses1. Plant Physiol. 2001, 125, 1198–1205. [Google Scholar] [CrossRef] [PubMed]
- Krizek, B.A.; Fletcher, J.C. Molecular Mechanisms of Flower Development: An Armchair Guide. Nat. Rev. Genet. 2005, 6, 688–698. [Google Scholar] [CrossRef] [PubMed]
- Cheng, P.C.; Greyson, R.I.; Walden, D.B. Organ Initiation and the Development of Unisexual Flowers in the Tassel and Ear of Zea Mays. Am. J. Bot. 1983, 70, 450–462. [Google Scholar] [CrossRef]
- Thompson, B.E.; Bartling, L.; Whipple, C.; Hall, D.H.; Sakai, H.; Schmidt, R.; Hake, S. Bearded-Ear Encodes a MADS Box Transcription Factor Critical for Maize Floral Development. Plant Cell 2009, 21, 2578–2590. [Google Scholar] [CrossRef]
- Irish, E.E.; Szymkowiak, E.J.; Garrels, K. The wandering carpel Mutation of Zea Mays (Gramineae) Causes Misorientation and Loss of Zygomorphy in Flowers and Two-Seeded Kernels. Am. J. Bot. 2003, 90, 551–560. [Google Scholar] [CrossRef]
- Chuck, G.; Meeley, R.; Hake, S. Floral Meristem Initiation and Meristem Cell Fate Are Regulated by the Maize AP2 Genes ids1 and sid1. Development 2008, 135, 3013–3019. [Google Scholar] [CrossRef]
- Kaplinsky, N.J.; Freeling, M. Combinatorial Control of Meristem Identity in Maize Inflorescences. Development 2003, 130, 1149–1158. [Google Scholar] [CrossRef]
- Sachan, J.K.S.; Sarkar, K.R. Reversed Germ Orientation—A Developmental Mutant in Maize. Indian J. Genet. Pl. Br. 1980, 281–284. [Google Scholar]
- Santner, A.; Calderon-Villalobos, L.I.A.; Estelle, M. Plant Hormones Are Versatile Chemical Regulators of Plant Growth. Nat. Chem. Biol. 2009, 5, 301–307. [Google Scholar] [CrossRef] [PubMed]
- Liu, Q.; Galli, M.; Liu, X.; Federici, S.; Buck, A.; Cody, J.; Labra, M.; Gallavotti, A. NEEDLE1 Encodes a Mitochondria Localized ATP-Dependent Metalloprotease Required for Thermotolerant Maize Growth. Proc. Natl. Acad. Sci. USA 2019, 116, 19736–19742. [Google Scholar] [CrossRef] [PubMed]
- Benková, E.; Michniewicz, M.; Sauer, M.; Teichmann, T.; Seifertová, D.; Jürgens, G.; Friml, J. Local, Efflux-Dependent Auxin Gradients as a Common Module for Plant Organ Formation. Cell 2003, 115, 591–602. [Google Scholar] [CrossRef] [PubMed]
- Heisler, M.G.; Ohno, C.; Das, P.; Sieber, P.; Reddy, G.V.; Long, J.A.; Meyerowitz, E.M. Patterns of Auxin Transport and Gene Expression during Primordium Development Revealed by Live Imaging of the Arabidopsis Inflorescence Meristem. Curr. Biol. 2005, 15, 1899–1911. [Google Scholar] [CrossRef] [PubMed]
- Barazesh, S.; Mcsteen, P. Hormonal Control of Grass Inflorescence Development. Trends Plant Sci. 2008, 13, 656–662. [Google Scholar] [CrossRef]
- Irish, E.E. Regulation of Sex Determination in Maize. BioEssays 1996, 18, 363–369. [Google Scholar] [CrossRef]
- Bommineni, V.R.; Greyson, R.I. Regulation of Flower Development in Cultured Ears of Maize (Zea Mays L.). Plant Reprod. 1990, 3, 109–115. [Google Scholar] [CrossRef]
- Bensen, R.J. Cloning and Characterization of the Maize Anl Gene. Plant Cell 1995, 7, 75–84. [Google Scholar]
- Peng, J.; Richards, D.E.; Hartley, N.M.; Murphy, G.P.; Devos, K.M.; Flintham, J.E.; Beales, J.; Fish, L.J.; Worland, A.J.; Pelica, F.; et al. ‘Green Revolution’ Genes Encode Mutant Gibberellin Response Modulators. Nature 1999, 400, 256–261. [Google Scholar] [CrossRef]
- Hartwig, T.; Chuck, G.S.; Fujioka, S.; Klempien, A.; Weizbauer, R.; Potluri, D.P.V.; Choe, S.; Johal, G.S.; Schulz, B. Brassinosteroid Control of Sex Determination in Maize. Proc. Natl. Acad. Sci. USA 2011, 108, 19814–19819. [Google Scholar] [CrossRef]
- Young, T.E.; Giesler-Lee, J.; Gallie, D.R. Senescence-Induced Expression of Cytokinin Reverses Pistil Abortion during Maize Flower Development. Plant J. 2004, 38, 910–922. [Google Scholar] [CrossRef] [PubMed]
- Nambara, E.; Okamoto, M.; Tatematsu, K.; Yano, R.; Seo, M.; Kamiya, Y. Abscisic Acid and the Control of Seed Dormancy and Germination. Seed Sci. Res. 2010, 20, 55–67. [Google Scholar] [CrossRef]
- Rock, C.D. Tansley Review No. 120: Pathways to Abscisic Acid-regulated Gene Expression. N. Phytol. 2000, 148, 357–396. [Google Scholar] [CrossRef]
- Taiz, L.; Zeiger, E. Abscisic Acid: A Seed Maturation and Stress Signal. In Plant Physiology, 4th ed.; Sinauer Associates: Sunderland, UK, 2006; Volume 89, Chapter 23. [Google Scholar]
- Jia, H.F.; Chai, Y.M.; Li, C.L.; Lu, D.; Luo, J.J.; Qin, L.; Shen, Y.Y. Abscisic Acid Plays an Important Role in the Regulation of Strawberry Fruit Ripening. Plant Physiol. 2011, 157, 188–199. [Google Scholar] [CrossRef]
- Lejeune, P.; Prinsen, E.; Onckelen, H.V.; Bernier, G. Hormonal Control of Ear Abortion in a Stress-Sensitive Maize (Zea Mays) Inbred. Funct. Plant Biol. 1998, 25, 481–488. [Google Scholar] [CrossRef]
- Calderon-Urrea, A.; Dellaporta, S.L. Cell Death and Cell Protection Genes Determine the Fate of Pistils in Maize. Development 1999, 126, 435–441. [Google Scholar] [CrossRef]
- Acosta, I.F.; Laparra, H.; Romero, S.P.; Schmelz, E.; Hamberg, M.; Mottinger, J.P.; Moreno, M.A.; Dellaporta, S.L. Tasselseed1 Is a Lipoxygenase Affecting Jasmonic Acid Signaling in Sex Determination of Maize. Science 2009, 323, 262–265. [Google Scholar] [CrossRef] [PubMed]
- Lunde, C.; Kimberlin, A.; Leiboff, S.; Koo, A.J.; Hake, S. Tasselseed5 Overexpresses a Wound-Inducible Enzyme, ZmCYP94B1, That Affects Jasmonate Catabolism, Sex Determination, and Plant Architecture in Maize. Commun. Biol. 2019, 2, 114. [Google Scholar] [CrossRef]
- Karaszewska, A.; Jankowska, B.; Mika, M.; Grochowska, M.J. Effects of Growth Regulator Treatments on the Hormone Pattern in the Trunk and the Collar Tissue of Apple Trees. Acta Hortic. 1986, 179, 185–194. [Google Scholar] [CrossRef]
- Chiu, R.S.; Saleh, Y.; Gazzarrini, S. Inhibition of FUSCA3 Degradation at High Temperature Is Dependent on ABA Signaling and Is Regulated by the ABA/GA Ratio. Plant Signal. Behav. 2016, 11, e1247137. [Google Scholar] [CrossRef]
- Dai, D.; Ma, Z.; Song, R. Maize Kernel Development. Mol. Breed. 2021, 41, 2. [Google Scholar] [CrossRef] [PubMed]
- Cook, F.; Hughes, A.; Nibau, C.; Orman-Ligeza, B.; Schatlowski, N.; Uauy, C.; Trafford, K. Barley Lys3 Mutants Are Unique amongst Shrunken-Endosperm Mutants in Having Abnormally Large Embryos. J. Cereal Sci. 2018, 82, 16–24. [Google Scholar] [CrossRef] [PubMed]
- Nagasawa, N.; Hibara, K.I.; Heppard, E.P.; Vander Velden, K.A.; Luck, S.; Beatty, M.; Nagato, Y.; Sakai, H. GIANT EMBRYO Encodes CYP78A13, Required for Proper Size Balance between Embryo and Endosperm in Rice. Plant J. 2013, 75, 592–605. [Google Scholar] [CrossRef] [PubMed]
- Henry, K.F.; Goldberg, R.B. Using Giant Scarlet Runner Bean Embryos to Uncover Regulatory Networks Controlling Suspensor Gene Activity. Front. Plant Sci. 2015, 6, 44. [Google Scholar] [CrossRef]
- Parkinson, S.E.; Gross, S.M.; Hollick, J.B. Maize Sex Determination and Abaxial Leaf Fates Are Canalized by a Factor That Maintains Repressed Epigenetic States. Dev. Biol. 2007, 308, 462–473. [Google Scholar] [CrossRef]
- Laudencia-Chingcuanco, D.; Hake, S. The Indeterminate Floral Apex1 Gene Regulates Meristem Determinacy and Identity in the Maize Inflorescence. Development 2002, 129, 2629–2638. [Google Scholar] [CrossRef]
- Bommert, P.; Lunde, C.; Nardmann, J.; Vollbrecht, E.; Running, M.; Jackson, D.; Hake, S.; Werr, W. Thick Tassel Dwarf1 Encodes a Putative Maize Ortholog of the Arabidopsis CLAVATA1 Leucine-Rich Repeat Receptor-like Kinase. Development 2005, 132, 1235–1245. [Google Scholar] [CrossRef]
- Ambrose, B.A.; Lerner, D.R.; Ciceri, P.; Padilla, C.M.; Yanofsky, M.F.; Schmidt, R.J. Molecular and Genetic Analyses of the Silky1 Gene Reveal Conservation in Floral Organ Specification between Eudicots and Monocots. Mol. Cell 2000, 5, 569–579. [Google Scholar] [CrossRef]
- Bartlett, M.E.; Williams, S.K.; Taylor, Z.; DeBlasio, S.; Goldshmidt, A.; Hall, D.H.; Schmidt, R.J.; Jackson, D.P.; Whipple, C.J. The Maize PI/GLO Ortholog Zmm16/Sterile Tassel Silky Ear1 Interacts with the Zygomorphy and Sex Determination Pathways in Flower Development. Plant Cell 2015, 27, 3081–3098. [Google Scholar] [CrossRef]
- Chuck, G.; Muszynski, M.; Kellogg, E.; Hake, S.; Schmidt, R.J. The Control of Spikelet Meristem Identity by the Branched Silkless1 Gene in Maize. Science 2002, 298, 1238–1241. [Google Scholar] [CrossRef]
- Jones, D.F. Heritable Characters in Maize. XXIII. Silkless. J. Hered. 1925, 339–341. [Google Scholar] [CrossRef]
- Mena, M.; Ambrose, B.A.; Meeley, R.B.; Briggs, S.P.; Yanofsky, M.F.; Schmidt, R.J. Diversification of C-Function Activity in Maize Flower Development. Science 1996, 274, 1537–1540. [Google Scholar] [CrossRef] [PubMed]
- Thompson, B.E.; Hake, S. Translational Biology: From Arabidopsis Flowers to Grass Inflorescence Architecture. Plant Physiol. 2009, 149, 38–45. [Google Scholar] [CrossRef] [PubMed]
- Vollbrecht, E.; Schmidt, R.J. Development of the Inflorescences. In Handbook of Maize: Its Biology; Springer: Berlin/Heidelberg, Germany, 2009; pp. 13–40. [Google Scholar]
- Vysotskaya, L.; Veselov, S.; Dmitriy, V.; Filippenko, V.; Ivanov, E.; Ivanov, I.; Kudoyarova, G. Immunohistological Localization and Quantification of IAA in Studies of Root Growth Regulation. Russ. J. Plant Physiol. 2007, 54, 827–832. [Google Scholar] [CrossRef]
- Yin, T.; Quinn, J.A. Tests of a Mechanistic Model of One Hormone Regulating Both Sexes in Buchloe Dactyloides (Poaceae). Am. J. Bot. 1995, 82, 745–751. [Google Scholar] [CrossRef]
- Dewitte, W.; Chiappetta, A.; Azmi, A.; Witters, E.; Strnad, M.; Rembur, J.; Noin, M.; Chriqui, D.; Van Onckelen, H. Dynamics of Cytokinins in Apical Shoot Meristems of a Day-Neutral Tobacco during Floral Transition and Flower Formation. Plant Physiol. 1999, 119, 111–122. [Google Scholar] [CrossRef]
- Meng, X.; Wang, J.; Li, R. Immuno-electron microscopic localization of ABA in anthers of photoperiod-sensitive cytoplasmic male-sterile wheat. Wuhan Univ. J. Nat. Sci. 2001, 47, 775–781. [Google Scholar]
- Gallavotti, A.; Yang, Y.; Schmidt, R.J.; Jackson, D. The Relationship between Auxin Transport and Maize Branching. Plant Physiol. 2008, 147, 1913–1923. [Google Scholar] [CrossRef]
- Chen, Y.; Hou, M.; Liu, L.; Wu, S.; Shen, Y.; Ishiyama, K.; Kobayashi, M.; McCarty, D.R.; Tan, B.C. The Maize DWARF1 Encodes a Gibberellin 3-Oxidase and Is Dual Localized to the Nucleus and Cytosol. Plant Physiol. 2014, 166, 2028–2039. [Google Scholar] [CrossRef]
- Best, N.B.; Hartwig, T.; Budka, J.; Fujioka, S.; Johal, G.; Schulz, B.; Dilkes, B.P. Nana Plant2 Encodes a Maize Ortholog of the Arabidopsis Brassinosteroid Biosynthesis Gene DWARF1, Identifying Developmental Interactions between Brassinosteroids and Gibberellins. Plant Physiol. 2016, 171, 2633–2647. [Google Scholar] [CrossRef]
- Yan, Y.; Christensen, S.; Isakeit, T.; Engelberth, J.; Meeley, R.; Hayward, A.; Emery, R.J.N.; Kolomiets, M.V. Disruption of OPR7 and OPR8 Reveals the Versatile Functions of Jasmonic Acid in Maize Development and Defense. Plant Cell 2012, 24, 1420–1436. [Google Scholar] [CrossRef] [PubMed]
- Luo, H.; Meng, D.; Liu, H.; Xie, M.; Yin, C.; Liu, F.; Dong, Z.; Jin, W. Ectopic Expression of the Transcriptional Regulator Silky3 Causes Pleiotropic Meristem and Sex Determination Defects in Maize Inflorescences. Plant Cell 2020, 32, 3750–3773. [Google Scholar] [CrossRef] [PubMed]
- Zhang, W.J.; Zhang, P.L.; Wang, Y.; Qian, C.J.; Zhang, Y.X.; Lv, X.L.; Li, F.H.; Wang, H.W.; Zhu, M.; Zhong, X.M.; et al. Comparative Analysis of the Effects of Artificial Ageing on Seed Vigour in Maize Types with Inverted Giant Embryos and Normal Embryos. Seed Sci. Technol. 2017, 45, 691–707. [Google Scholar] [CrossRef]
- Jiao, Y.; Peluso, P.; Shi, J.; Liang, T.; Stitzer, M.C.; Wang, B.; Campbell, M.S.; Stein, J.C.; Wei, X.; Chin, C.S.; et al. Improved Maize Reference Genome with Single-Molecule Technologies. Nature 2017, 546, 524–527. [Google Scholar] [CrossRef] [PubMed]
- Li, H.; Durbin, R. Fast and Accurate Short Read Alignment with Burrows–Wheeler Transform. Bioinformatics 2009, 25, 1754–1760. [Google Scholar] [CrossRef]
- McKenna, A.; Hanna, M.; Banks, E.; Sivachenko, A.; Cibulskis, K.; Kernytsky, A.; Garimella, K.; Altshuler, D.; Gabriel, S.; Daly, M.; et al. The Genome Analysis Toolkit: A MapReduce Framework for Analyzing next-Generation DNA Sequencing Data. Genome Res. 2010, 20, 1297–1303. [Google Scholar] [CrossRef]
- Zhang, H.; Wang, X.; Pan, Q.; Li, P.; Liu, Y.; Lu, X.; Zhong, W.; Li, M.; Han, L.; Li, J.; et al. QTG-Seq Accelerates QTL Fine Mapping through QTL Partitioning and Whole-Genome Sequencing of Bulked Segregant Samples. Mol. Plant 2019, 12, 426–437. [Google Scholar] [CrossRef]
- Dyachok, J.; Paez-Garcia, A.; Yoo, C.-M.; Palanichelvam, K.; Blancaflor, E.B. Fluorescence Imaging of the Cytoskeleton in Plant Roots. In Cytoskeleton Methods and Protocols: Methods and Protocols; Methods in Molecular Biology; Gavin, R.H., Ed.; Springer: New York, NY, USA, 2016; pp. 139–153. [Google Scholar]
- Zhang, A.; Xu, Y.; Pan, H.; Zhang, J.; Gao, Z.; Shu, B.; Guo, C. Dynamic Changes of Endogenous Hormone Content in Dangshansu Pear during Fruit Development. Agric. Sci. Technol. 2011, 12, 940–962. [Google Scholar]








Disclaimer/Publisher’s Note: The statements, opinions and data contained in all publications are solely those of the individual author(s) and contributor(s) and not of MDPI and/or the editor(s). MDPI and/or the editor(s) disclaim responsibility for any injury to people or property resulting from any ideas, methods, instructions or products referred to in the content. |
© 2023 by the authors. Licensee MDPI, Basel, Switzerland. This article is an open access article distributed under the terms and conditions of the Creative Commons Attribution (CC BY) license (https://creativecommons.org/licenses/by/4.0/).
Share and Cite
Wang, Y.; Li, Y.; Zhang, W.; Yang, Y.; Ma, Y.; Li, X.; Meng, D.; Luo, H.; Xue, W.; Lv, X.; et al. BSA-Seq and Transcriptomic Analysis Provide Candidate Genes Associated with Inflorescence Architecture and Kernel Orientation by Phytohormone Homeostasis in Maize. Int. J. Mol. Sci. 2023, 24, 10728. https://doi.org/10.3390/ijms241310728
Wang Y, Li Y, Zhang W, Yang Y, Ma Y, Li X, Meng D, Luo H, Xue W, Lv X, et al. BSA-Seq and Transcriptomic Analysis Provide Candidate Genes Associated with Inflorescence Architecture and Kernel Orientation by Phytohormone Homeostasis in Maize. International Journal of Molecular Sciences. 2023; 24(13):10728. https://doi.org/10.3390/ijms241310728
Chicago/Turabian StyleWang, Yang, Yang Li, Wenjie Zhang, Yue Yang, Yuting Ma, Xinyang Li, Dexuan Meng, Haishan Luo, Wei Xue, Xiangling Lv, and et al. 2023. "BSA-Seq and Transcriptomic Analysis Provide Candidate Genes Associated with Inflorescence Architecture and Kernel Orientation by Phytohormone Homeostasis in Maize" International Journal of Molecular Sciences 24, no. 13: 10728. https://doi.org/10.3390/ijms241310728
APA StyleWang, Y., Li, Y., Zhang, W., Yang, Y., Ma, Y., Li, X., Meng, D., Luo, H., Xue, W., Lv, X., Li, F., Du, W., & Geng, X. (2023). BSA-Seq and Transcriptomic Analysis Provide Candidate Genes Associated with Inflorescence Architecture and Kernel Orientation by Phytohormone Homeostasis in Maize. International Journal of Molecular Sciences, 24(13), 10728. https://doi.org/10.3390/ijms241310728
