Asymmetrical Methylene-Bridge Linked Fully Iodinated Azoles as Energetic Biocidal Materials with Improved Thermal Stability
Abstract
1. Introduction
2. Results and Discussion
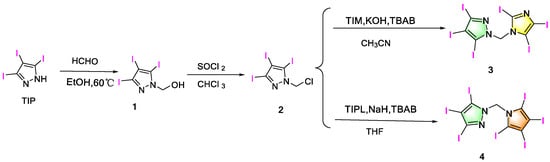
2.1. Synthesis
2.2. Single-Crystal X-ray Analysis
2.3. Physicochemical and Energetic Properties
2.4. Design and Tests of High Iodine Content Composites
3. Materials and Methods
3.1. General Methods
3.2. (3,4,5-Triiodo-1H-pyrazol-1-yl) Methanol (1)
3.3. 1-(Chloromethyl)-3,4,5-triiodo-1H-pyrazole (2)
3.4. 3,4,5-Triiodo-1-((2,4,5-triiodo-1H-imidazol-1-yl)methyl)-1H-pyrazole (3)
3.5. 3,4,5-Triiodo-1-((periodo-1H-pyrrol-1-yl) methyl)-1H-pyrazole (4)
4. Conclusions
Supplementary Materials
Author Contributions
Funding
Institutional Review Board Statement
Informed Consent Statement
Data Availability Statement
Conflicts of Interest
References
- Budd, J.; Miller, B.S.; Manning, E.M.; Lampos, V.; Zhuang, M.; Edelstein, M.; Rees, G.; Emery, V.C.; Stevens, M.M.; Keegan, N.; et al. Digital technologies in the public-health response to COVID-19. Nat. Med. 2020, 26, 1183–1192. [Google Scholar] [CrossRef] [PubMed]
- Mühlemann, B.; Vinner, L.; Margaryan, A.; Wilhelmson, H.; Castro, C.d.l.F.; Allentoft, M.E.; Damgaard, P.d.B.; Hansen, A.J.; Nielsen, S.H.; Strand, L.M.; et al. Diverse variola virus (smallpox) strains were widespread in northern Europe in the Viking Age. Science 2020, 369, eaaw8977. [Google Scholar] [CrossRef] [PubMed]
- Bershteyn, A.; Kim, H.Y.; Braithwaite, R.S. Real-Time Infectious Disease Modeling to Inform Emergency Public Health Decision Making. Annu. Rev. Public Health 2022, 43, 397–418. [Google Scholar] [CrossRef]
- Geller, C.; Varbanov, M.; Duval, R.E. Human Coronaviruses: Insights into Environmental Resistance and Its Influence on the Development of New Antiseptic Strategies. Viruses 2012, 4, 3044–3068. [Google Scholar] [CrossRef] [PubMed]
- Wang, C.C.; Prather, K.A.; Sznitman, J.; Jimenez, J.L.; Lakdawala, S.S.; Tufekci, Z.; Marr, L.C. Airborne transmission of respiratory viruses. Science 2021, 373, eabd9149. [Google Scholar] [CrossRef] [PubMed]
- Yougbare, S.; Mutalik, C.; Okoro, G.; Lin, I.H.; Krisnawati, D.I.; Jazidie, A.; Nuh, M.; Chang, C.C.; Kuo, T.R. Emerging Trends in Nanomaterials for Antibacterial Applications. Int. J. Nanomed. 2021, 16, 5831–5867. [Google Scholar] [CrossRef]
- Mutalik, C.; Saukani, M.; Khafid, M.; Krisnawati, D.I.; Widodo; Darmayanti, R.; Puspitasari, B.; Cheng, T.-M.; Kuo, T.-R. Gold-Based Nanostructures for Antibacterial Application. Int. J. Mol. Sci. 2023, 24, 10006. [Google Scholar] [CrossRef]
- Mutalik, C.; Okoro, G.; Krisnawati, D.I.; Jazidie, A.; Rahmawati, E.Q.; Rahayu, D.; Hsu, W.-T.; Kuo, T.-R. Copper sulfide with morphology-dependent photodynamic and photothermal antibacterial activities. J. Colloid Interface Sci. 2021, 607, 1825–1835. [Google Scholar] [CrossRef]
- Mutalik, C.; Wang, D.-Y.; Krisnawati, D.I.; Jazidie, A.; Yougbare, S.; Kuo, T.-R. Light-Activated Heterostructured Nanomaterials for Antibacterial Applications. Nanomaterials 2020, 10, 643. [Google Scholar] [CrossRef]
- Zhong, Y.; Zheng, X.T.; Zhao, S.; Su, X.; Loh, X.J. Stimuli-Activable Metal-Bearing Nanomaterials and Precise On-Demand Antibacterial Strategies. ACS Nano 2022, 16, 19840–19872. [Google Scholar] [CrossRef]
- Shen, W. Dynamically adjusted strategy in response to developments in the COVID-19 pandemic as a new normal. Glob. Heal. 2021, 17, 89. [Google Scholar] [CrossRef] [PubMed]
- Nardell, E.A.; Nathavitharana, R.R. Airborne Spread of SARS-CoV-2 and a Potential Role for Air Disinfection. JAMA 2020, 324, 141–142. [Google Scholar] [CrossRef] [PubMed]
- Noorimotlagh, Z.; Jaafarzadeh, N.; Martinez, S.S.; Mirzaee, S.A. A systematic review of possible airborne transmission of the COVID-19 virus (SARS-CoV-2) in the indoor air environment. Environ. Res. 2021, 193, 110612. [Google Scholar] [CrossRef] [PubMed]
- Dev Kumar, G.; Mishra, A.; Dunn, L.; Townsend, A.; Oguadinma, I.C.; Bright, K.R.; Gerba, C.P. Biocides and Novel Antimicrobial Agents for the Mitigation of Coronaviruses. Front. Microbiol. 2020, 11, 1351. [Google Scholar] [CrossRef]
- Bloomfield, S.F.; Megid, R. Interaction of iodine with Bacillus subtilis spores and spore forms. Appl. Bacteriol. 1994, 76, 492–499. [Google Scholar] [CrossRef]
- Wei, D.; Xue, Y.-Q. Research Progress of Iodine Fungicides. Liaoning Chem. Ind. 2011, 40, 159–160. [Google Scholar]
- Li, Q.; Korza, G.; Setlow, P. Killing the spores of Bacillus species by molecular iodine. J. Appl. Microbiol. 2017, 122, 54–64. [Google Scholar] [CrossRef]
- Chen, P.; Dou, H.; Fei, T.; He, C.; Pang, S. Research Progress in Iodine-based Energetic Biocidal Agents. Chin. J. Energetic Mater. 2018, 26, 958–996. [Google Scholar]
- Sun, Y.; Wang, X.; Fan, L.; Xie, X.; Miao, Z.; Ma, Y.; He, T.; Zha, Z. Facile synthesis of monodisperse chromogenic amylose–iodine nanoparticles as an efficient broad-spectrum antibacterial agent. J. Mater. Chem. B 2020, 8, 3010–3015. [Google Scholar] [CrossRef]
- Kaiho, T. Iodine Chemistry and Applications; John Wiley & Sons, Inc.: Hoboken, NJ, USA, 2015. [Google Scholar]
- He, C.; Zhang, J.; Shreeve, J.M. Dense iodine-rich compounds with low detonation pressures as biocidal agents. Chemistry 2013, 19, 7503–7509. [Google Scholar] [CrossRef]
- Chand, D.; He, C.; Hooper, J.P.; Mitchell, L.A.; Parrish, D.A.; Shreeve, J.M. Mono- and diiodo-1,2,3-triazoles and their mono nitro derivatives. Dalton Trans. 2016, 45, 9684–9688. [Google Scholar] [CrossRef]
- He, C.; Hooper, J.P.; Shreeve, J.M. Iodine-Rich Imidazolium Iodate and Periodate Salts: En Route to Single-Based Biocidal Agents. Inorg. Chem. 2016, 55, 12844–12850. [Google Scholar] [CrossRef] [PubMed]
- Zhao, G.; He, C.; Kumar, D.; Hooper, J.P.; Imler, G.H.; Parrish, D.A.; Shreeve, J.M. 1,3,5-Triiodo-2,4,6-trinitrobenzene (TITNB) from benzene: Balancing performance and high thermal stability of functional energetic materials. Chem. Eng. J. 2019, 378, 122119. [Google Scholar] [CrossRef]
- Chand, D.; Shreeve, J.M. Versatile polyiodopyrazoles: Synthesis and biocidal promise. Chem. Commun. 2015, 51, 3438–3441. [Google Scholar] [CrossRef]
- Katritzky, A.R.; Cundy, D.J.; Chen, J. Polyiodoimidazoles and their nitration products. Energetic-Mater. 1993, 11, 346–352. [Google Scholar] [CrossRef]
- He, C.; Zhao, G.; Hooper, J.P.; Shreeve, J.M. Energy and Biocides Storage Compounds: Synthesis and Characterization of Energetic Bridged Bis(triiodoazoles). Inorg. Chem. 2017, 56, 13547–13552. [Google Scholar] [CrossRef] [PubMed]
- Chinnam, A.K.; Shlomovich, A.; Shamis, O.; Petrutik, N.; Kumar, D.; Wang, K.; Komarala, E.P.; Tov, D.S.; Sućeska, M.; Yan, Q.L.; et al. Combustion of energetic iodine-rich coordination polymer—Engineering of new biocidal materials. Chem. Eng. J. 2018, 350, 1084–1091. [Google Scholar] [CrossRef]
- Zhao, G.; He, C.; Zhou, W.; Hooper, J.P.; Imler, G.H.; Parrish, D.A.; Shreeve, J.M. Control of Biohazards: A High Performance Energetic Polycyclized Iodine-Containing Biocide. Inorg. Chem. 2018, 57, 8673–8680. [Google Scholar] [CrossRef]
- Chang, J.; He, C.; Pang, S.; Shreeve, J.M. N, N’-methylene-bridged nitroiodoazoles: Biocidal compounds with enhanced thermal stability. Chem. Eng. J. 2022, 450, 137841. [Google Scholar] [CrossRef]
- Kumar, D.; Mitchell, L.A.; Parrish, D.A.; Shreeve, J.N.M. Asymmetric N,N′-ethylene-bridged azole-based compounds: Two way control of the energetic properties of compounds. J. Mater. Chem. A 2016, 4, 9931–9940. [Google Scholar] [CrossRef]
- Tang, Y.; He, C.; Imler, G.H.; Parrish, D.A.; Shreeve, J.N.M. Design and synthesis of N-methylene-C linked tetrazole and nitramino-1,2,4-triazole: An approach to promising energetic materials. J. Mater. Chem. A 2016, 4, 13923–13929. [Google Scholar] [CrossRef]
- Kumar, D.; Imler, G.H.; Parrish, D.A.; Shreeve, J.M. N-Acetonitrile Functionalized Nitropyrazoles: Precursors to Insensitive Asymmetric N-Methylene-C Linked Azoles. Chemistry 2017, 23, 7876–7881. [Google Scholar] [CrossRef]
- Kumar, D.; Imler, G.H.; Parrish, D.A.; Shreeve, J.N.M. Aminoacetonitrile as precursor for nitrogen rich stable and insensitive asymmetric N-methylene-C linked tetrazole-based energetic compounds. J. Mater. Chem. A 2017, 5, 16767–16775. [Google Scholar] [CrossRef]
- Liu, Y.; He, C.; Tang, Y.; Imler, G.H.; Parrish, D.A.; Shreeve, J.M. Asymmetric nitrogen-rich energetic materials resulting from the combination of tetrazolyl, dinitromethyl and (1,2,4-oxadiazol-5-yl)nitroamino groups with furoxan. Dalton. Trans. 2018, 47, 16558–16566. [Google Scholar] [CrossRef]
- Yan, T.; Yang, C.; Ma, J.; Cheng, G.; Yang, H. Intramolecular integration of multiple heterocyclic skeletons for energetic materials with enhanced energy & safety. Chem. Eng. J. 2022, 428, 131400. [Google Scholar]
- Jin, X.; Xiao, M.; Zhou, J.; Zhou, G.; Hu, B. Design of Energetic Materials Based on Asymmetric Oxadiazole. Chemistryopen 2019, 8, 692–700. [Google Scholar] [CrossRef]
- Kumar, D.; Imler, G.H.; Parrish, D.A.; Shreeve, J.N.M. Resolving synthetic challenges faced in the syntheses of asymmetric N, N′-ethylene-bridged energetic compounds. New J. Chem. 2017, 41, 4040–4047. [Google Scholar] [CrossRef]
- Cai, J.; Xie, C.; Xiong, J.; Zhang, J.; Yin, P.; Pang, S. High performance and heat-resistant pyrazole-1,2,4-triazole energetic materials: Tuning the thermal stability by asymmetric framework and azo-bistriazole bridge. Chem. Eng. J. 2022, 433, 134480. [Google Scholar] [CrossRef]
- Xiong, J.; Cai, J.; Lai, Q.; Yin, P.; Pang, S. Asymmetric assembly of pyrazole and 1,2,3-triazole with a methylene bridge: Regioisomerism and energetic properties. Chem. Commun. 2022, 58, 10647–10650. [Google Scholar] [CrossRef] [PubMed]
- Xiong, J.; Chang, J.; Cai, J.; Yin, P.; Pang, S. N-Functionalization of 5-Aminotetrazoles: Balancing Energetic Performance and Molecular Stability by Introducing ADNP. Int. J. Mol. Sci. 2022, 23, 15841. [Google Scholar] [CrossRef]
- Zhao, G.; Kumar, D.; He, C.; Hooper, J.P.; Imler, G.H.; Parrish, D.A.; Shreeve, J.M. New Generation Agent Defeat Weapons: Energetic N,N′-Ethylene-Bridged Polyiodoazoles. Chemistry 2017, 23, 16753–16757. [Google Scholar] [CrossRef]
- Elguero, J. A Selective synthesis of unsymmetrical 1.1′-netxylenebisdiazoles by solid-liquid phase transfer catalysis. Heterocycles 1986, 24, 2233–2237. [Google Scholar] [CrossRef]
- Lu, T.; Chen, F. Multiwfn: A multifunctional wavefunction analyzer. J. Comput. Chem. Comput. Chem. 2012, 33, 580–592. [Google Scholar] [CrossRef] [PubMed]
- Cavallo, G.; Metrangolo, P.; Milani, R.; Pilati, T.; Priimagi, A.; Resnati, G.; Terraneo, G. The Halogen Bond. Chem. Rev. 2016, 116, 2478–2601. [Google Scholar] [CrossRef]
- Yeo, C.I.; Tan, Y.S.; Kwong, H.C.; Lee, V.S.; Tiekink, E.R.T. I⋯N halogen bonding in 1 : 1 co-crystals formed between 1,4-diiodotetrafluorobenzene and the isomeric n-pyridinealdazines (n = 2, 3 and 4): Assessment of supramolecular association and influence upon solid-state photoluminescence properties. CrystEngComm 2022, 24, 7579–7591. [Google Scholar] [CrossRef]
- Bennion, J.C.; Vogt, L.; Tuckerman, M.E.; Matzger, A.J. Isostructural Cocrystals of 1,3,5-Trinitrobenzene Assembled by Halogen Bonding. Cryst. Growth Des. 2016, 16, 4688–4693. [Google Scholar] [CrossRef]
- Spackman, M.A.; McKinnon, J.J. Fingerprinting intermolecular interactions in molecular crystals. CrystEngComm 2002, 66, 378–392. [Google Scholar] [CrossRef]
- Spackman, M.A.; Jayatilaka, D. Hirshfeld surface analysis. CrystEngComm 2009, 11, 19–32. [Google Scholar] [CrossRef]
- Becke, A.D. Density-functional thermochemistry. III. The role of exact exchange. J. Chem. Phys. 1992, 98, 5648–5652. [Google Scholar] [CrossRef]
- Stephens, P.J.; Chabalowski, C.; Jakanen, K.J. Ab initio calculation of vibrational circular dichroism spectra using large basis set MP2 force fields. Chem. Phys. Lett. 1994, 225, 247–257. [Google Scholar] [CrossRef]
- Stromberg, A.; Gropen, O.; Wahlgren, U. Gaussian basis sets for the fourth-row main group elements, In–Xe. Comput. Chem. 1982, 4, 98075316. [Google Scholar] [CrossRef]
- Glukhovtsev, M.N.; Pross, A. Extension of Gaussian2 (G2) theory to bromine and iodinecontaining molecules: Use of effective core potentials. J. Chem. Phys. 1995, 103, 1878–1885. [Google Scholar] [CrossRef]
- Westwell, M.S.; Searle, M.S.; Wales, D.J.; Williams, D.H. Empirical Correlations between Thermodynamic Properties and Intermolecular Forces. J. Am. Chem. Soc. 1995, 117, 5013–5015. [Google Scholar] [CrossRef]
- Tang, J.; Bai, W. Prescription Design and Optimization of the Multi-Component mixed explosives. Explos. Mater. 1992, 70, 62–69. [Google Scholar]







| Compd | Tm a (°C) | Td b (°C) | d c (g cm−3) | ΔHf d (kJ mol−1) | D e (m s−1) | P f (Gpa) | Iodine Content (%) |
|---|---|---|---|---|---|---|---|
| 3 | 244 | 285 | 3.606 | 676.4 | 2574 | 6.77 | 84.27 |
| 4 | 187 | 260 | 3.024 | 967.8 | 2376 | 5.77 | 86.38 |
| TIM | 191 | 252 | 3.27 | 416.0 | 2646 | 4.37 | 85.41 |
| TIPL | - | 168 | 3.62 | 449.9 | 2253 | 3.27 | 88.95 |
Disclaimer/Publisher’s Note: The statements, opinions and data contained in all publications are solely those of the individual author(s) and contributor(s) and not of MDPI and/or the editor(s). MDPI and/or the editor(s) disclaim responsibility for any injury to people or property resulting from any ideas, methods, instructions or products referred to in the content. |
© 2023 by the authors. Licensee MDPI, Basel, Switzerland. This article is an open access article distributed under the terms and conditions of the Creative Commons Attribution (CC BY) license (https://creativecommons.org/licenses/by/4.0/).
Share and Cite
Zhao, X.; Zhang, X.; Liu, Y.; Pang, S.; He, C. Asymmetrical Methylene-Bridge Linked Fully Iodinated Azoles as Energetic Biocidal Materials with Improved Thermal Stability. Int. J. Mol. Sci. 2023, 24, 10711. https://doi.org/10.3390/ijms241310711
Zhao X, Zhang X, Liu Y, Pang S, He C. Asymmetrical Methylene-Bridge Linked Fully Iodinated Azoles as Energetic Biocidal Materials with Improved Thermal Stability. International Journal of Molecular Sciences. 2023; 24(13):10711. https://doi.org/10.3390/ijms241310711
Chicago/Turabian StyleZhao, Xinyuan, Xun Zhang, Yan Liu, Siping Pang, and Chunlin He. 2023. "Asymmetrical Methylene-Bridge Linked Fully Iodinated Azoles as Energetic Biocidal Materials with Improved Thermal Stability" International Journal of Molecular Sciences 24, no. 13: 10711. https://doi.org/10.3390/ijms241310711
APA StyleZhao, X., Zhang, X., Liu, Y., Pang, S., & He, C. (2023). Asymmetrical Methylene-Bridge Linked Fully Iodinated Azoles as Energetic Biocidal Materials with Improved Thermal Stability. International Journal of Molecular Sciences, 24(13), 10711. https://doi.org/10.3390/ijms241310711
