ClNAC100 Is a NAC Transcription Factor of Chinese Fir in Response to Phosphate Starvation
Abstract
1. Introduction
2. Results
2.1. Cloning and Bioinformatics Analysis of ClNAC100 Gene from Chinese Fir
2.2. ClNAC100 Transactivation Activity Analysis
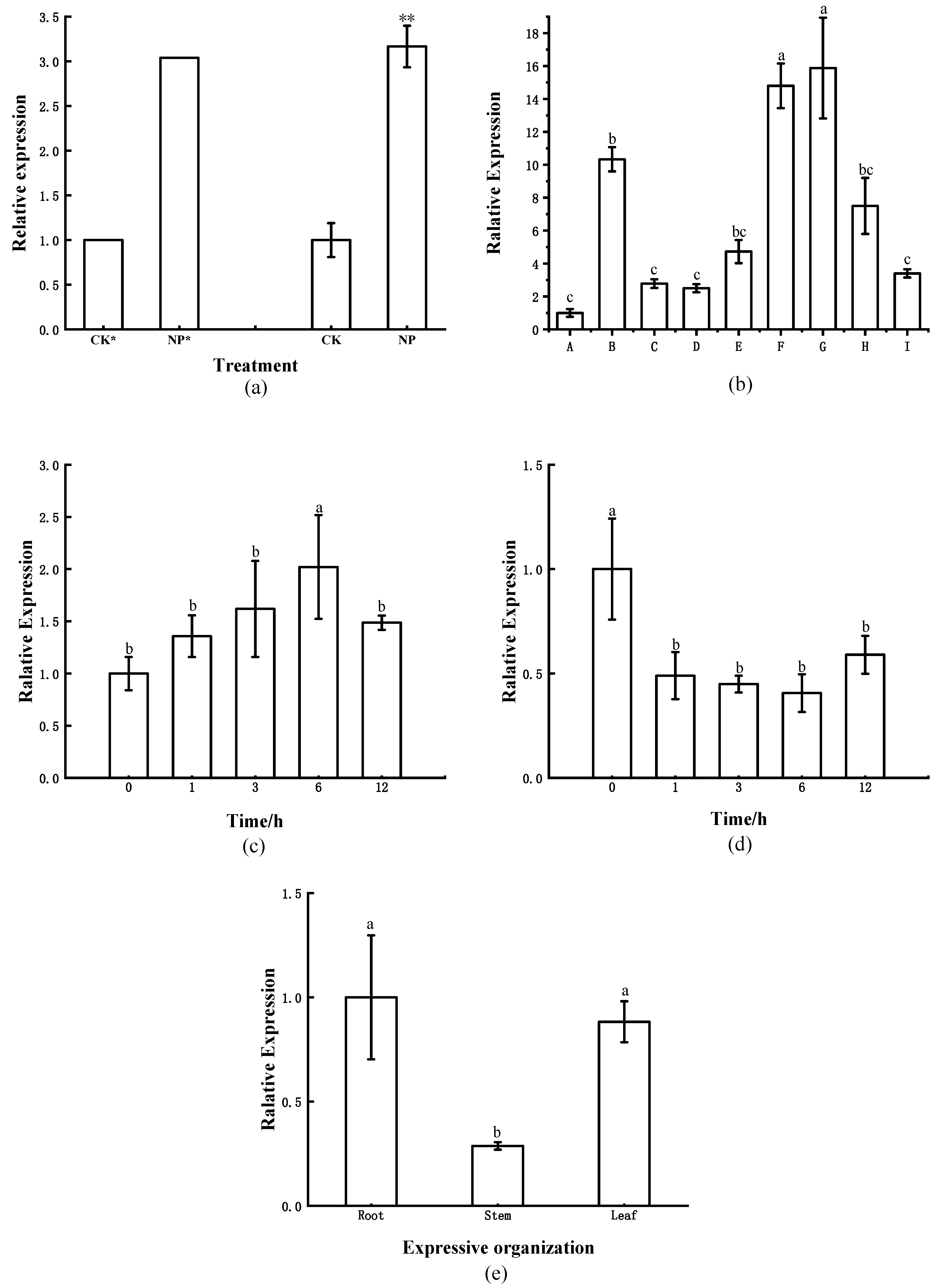
2.3. ClNAC100 Expression Pattern Analysis
2.4. Promoter Cloning and Activity Analysis of ClNAC100
2.5. Combined with ClNAC100 Gene Promoter Protein Screening
2.6. Screening of ClNAC100 Interacting Proteins
3. Discussion
4. Materials and Methods
4.1. Plant Materials and Treatments
4.2. Cloning of the ClNAC100
4.3. Bioinformatics Analysis
4.4. Transactivation Activity Analysis
4.5. ClNAC100 Expression Pattern Analysis
4.6. Promoter Cloning and Activity Analysis of ClNAC100
4.7. Yeast One-Hybrid
4.8. Yeast Two-Hybrid
5. Conclusions
Supplementary Materials
Author Contributions
Funding
Institutional Review Board Statement
Informed Consent Statement
Data Availability Statement
Conflicts of Interest
References
- Vance, C.P. Symbiotic Nitrogen Fixation and Phosphorus Acquisition. Plant Nutrition in a World of Declining Renewable Resources. Plant Physiol. 2001, 127, 390–397. [Google Scholar] [CrossRef] [PubMed]
- Liang, L.; Hu, D.; Yan, S.; Zheng, H.; Wang, R.; Wei, R. Research Progress of the Phosphorus Stress Response in Cunninghamia lanceolata. J. Mt. Agr. Biol. 2022, 41, 42–48. [Google Scholar]
- Ham, B.-K.; Chen, J.; Yan, Y.; Lucas, W.J. Insights into plant phosphate sensing and signaling. Curr. Opin. Biotechnol. 2018, 49, 1–9. [Google Scholar] [CrossRef] [PubMed]
- Srivastava, S.; Upadhyay, M.K.; Srivastava, A.K.; Abdelrahman, M.; Suprasanna, P.; Tran, L.-S.P. Cellular and Subcellular Phosphate Transport Machinery in Plants. Int. J. Mol. Sci. 2018, 19, 1914. [Google Scholar] [CrossRef]
- Ried, M.K.; Wild, R.; Zhu, J.; Pipercevic, J.; Sturm, K.; Broger, L.; Harmel, R.K.; Abriata, L.A.; Hothorn, L.A.; Fiedler, D.; et al. Inositol pyrophosphates promote the interaction of SPX domains with the coiled-coil motif of PHR transcription factors to regulate plant phosphate homeostasis. Nat. Commun. 2021, 12, 384. [Google Scholar] [CrossRef]
- Wu, P.; Ma, X.; Tigabu, M.; Wang, C.; Liu, A.; Odén, P.C. Root morphological plasticity and biomass production of two Chinese fir clones with high phosphorus efficiency under low phosphorus stress. Can. J. For. Res. 2011, 41, 228–234. [Google Scholar] [CrossRef]
- Wu, H.; Xiang, W.; Chen, L.; Ouyang, S.; Xiao, W.; Li, S.; Forrester, D.I.; Lei, P.; Zeng, Y.; Deng, X.; et al. Soil Phosphorus Bioavailability and Recycling Increased with Stand Age in Chinese Fir Plantations. Ecosystems 2020, 23, 973–988. [Google Scholar] [CrossRef]
- Chacon-Lopez, A.; Ibarra-Laclette, E.; Sanchez-Calderon, L.; Gutierrez-Alanis, D.; Herrera-Estrella, L. Global expression pattern comparison between low phosphorus insensitive 4 and WT Arabidopsis reveals an important role of reactive oxygen species and jasmonic acid in the root tip response to phosphate starvation. Plant Signal. Behav. 2011, 6, 382–392. [Google Scholar] [CrossRef]
- Yamagishi, M.; Zhou, K.; Osaki, M.; Miller, S.S.; Vance, C.P. Real-time RT-PCR profiling of transcription factors including 34 MYBs and signaling components in white lupin reveals their P status dependent and organ-specific expression. Plant Soil 2011, 342, 481–493. [Google Scholar] [CrossRef]
- Nilsson, L.; Müller, R.; Nielsen, T.H. Dissecting the plant transcriptome and the regulatory responses to phosphate deprivation. Physiol. Plant. 2010, 139, 129–143. [Google Scholar] [CrossRef]
- Osorio, M.B.; Ng, S.; Berkowitz, O.; De Clercq, I.; Mao, C.; Shou, H.; Whelan, J.; Jost, R. SPX4 Acts on PHR1-Dependent and -Independent Regulation of Shoot Phosphorus Status in Arabidopsis. Plant Physiol. 2019, 181, 332–352. [Google Scholar] [CrossRef] [PubMed]
- Nilsson, L.; Müller, R.; Nielsen, T.H. Increased expression of the MYB-related transcription factor, PHR1, leads to enhanced phosphate uptake in Arabidopsis thaliana. Plant Cell Environ. 2007, 30, 1499–1512. [Google Scholar] [CrossRef] [PubMed]
- Baek, D.; Kim, M.C.; Chun, H.J.; Kang, S.; Park, H.C.; Shin, G.; Park, J.; Shen, M.; Hong, H.; Kim, W.-Y.; et al. Regulation of miR399f Transcription by AtMYB2 Affects Phosphate Starvation Responses in Arabidopsis. Plant Physiol. 2013, 161, 362–373. [Google Scholar] [CrossRef] [PubMed]
- Zhang, J.; Zhou, X.; Xu, Y.; Yao, M.; Xie, F.; Gai, J.; Li, Y.; Yang, S. Soybean SPX1 is an important component of the response to phosphate deficiency for phosphorus homeostasis. Plant Sci. 2016, 248, 82–91. [Google Scholar] [CrossRef] [PubMed]
- Devaiah, B.N.; Madhuvanthi, R.; Karthikeyan, A.S.; Raghothama, K.G. Phosphate Starvation Responses and Gibberellic Acid Biosynthesis are Regulated by the MYB62 Transcription Factor in Arabidopsis. Mol. Plant 2009, 2, 43–58. [Google Scholar] [CrossRef]
- Devaiah, B.N.; Karthikeyan, A.S.; Raghothama, K.G. WRKY75 Transcription Factor Is a Modulator of Phosphate Acquisition and Root Development in Arabidopsis. Plant Physiol. 2007, 143, 1789–1801. [Google Scholar] [CrossRef]
- Wang, H.; Xu, Q.; Kong, Y.-H.; Chen, Y.; Duan, J.-Y.; Wu, W.-H.; Chen, Y.-F. Arabidopsis WRKY45 Transcription Factor Activates PHOSPHATE TRANSPORTER1;1 Expression in Response to Phosphate Starvation. Plant Physiol. 2014, 164, 2020–2029. [Google Scholar] [CrossRef]
- Tran, L.-S.P.; Nakashima, K.; Sakuma, Y.; Simpson, S.D.; Fujita, Y.; Maruyama, K.; Fujita, M.; Seki, M.; Shinozaki, K.; Yamaguchi-Shinozaki, K. Isolation and Functional Analysis of Arabidopsis Stress-Inducible NAC Transcription Factors That Bind to a Drought-Responsive cis-Element in the early responsive to dehydration stress 1 Promoter[W]. Plant Cell 2004, 16, 2481–2498. [Google Scholar] [CrossRef]
- Jensen, M.K.; Skriver, K. NAC transcription factor gene regulatory and protein-protein interaction networks in plant stress responses and senescence. IUBMB Life 2014, 66, 156–166. [Google Scholar] [CrossRef]
- Baillo, E.H.; Kimotho, R.N.; Zhang, Z.; Xu, P. Transcription Factors Associated with Abiotic and Biotic Stress Tolerance and Their Potential for Crops Improvement. Genes 2019, 10, 771. [Google Scholar] [CrossRef]
- Ernst, H.A.; Olsen, A.N.; Skriver, K.; Larsen, S.; Leggio, L.L. Structure of the conserved domain of ANAC, a member of the NAC family of transcription factors. EMBO Rep. 2004, 5, 297–303. [Google Scholar] [CrossRef]
- Xie, C.; Ding, Z. NAC1 Maintains Root Meristem Activity by Repressing the Transcription of E2Fa in Arabidopsis. Int. J. Mol. Sci. 2022, 23, 12258. [Google Scholar] [CrossRef]
- De Oliveira, T.M.; Cidade, L.C.; Gesteira, A.S.; Filho, M.A.C.; Filho, W.S.S.; Costa, M.G.C. Analysis of the NAC transcription factor gene family in citrus reveals a novel member involved in multiple abiotic stress responses. Tree Genet. Genomes 2011, 7, 1123–1134. [Google Scholar] [CrossRef]
- Diao, P.; Chen, C.; Zhang, Y.; Meng, Q.; Lv, W.; Ma, N. The role of NAC transcription factor in plant cold response. Plant Signal. Behav. 2020, 15, 1785668. [Google Scholar] [CrossRef]
- Sun, Y.; Wu, Q.; Xie, Z.; Huang, J. Transcription factor OsNAC016 negatively regulates phosphate-starvation response in rice. Plant Sci. 2023, 329, 111618. [Google Scholar] [CrossRef]
- Zhang, X.L.; Wu, Q.; Tao, Y.; Zhu, X.F.; Takahashi, N.; Umeda, M.; Shen, R.F.; Ma, J.F. ANAC044 is associated with P reutilization in P deficient Arabidopsis thaliana root cell wall in an ethylene dependent manner. Environ. Exp. Bot. 2021, 185, 104386. [Google Scholar] [CrossRef]
- Du, Q.; Lv, W.; Guo, Y.; Yang, J.; Wang, S.; Li, W. MIR164b represses iron uptake by regulating the NAC domain transcription factor5-Nuclear Factor Y, Subunit A8 module in Arabidopsis. Plant Physiol. 2022, 189, 1095–1109. [Google Scholar] [CrossRef]
- Nadira, U.A.; Ahmed, I.M.; Wu, F.; Zhang, G. The regulation of root growth in response to phosphorus deficiency mediated by phytohormones in a Tibetan wild barley accession. Acta Physiol. Plant. 2016, 38, 105. [Google Scholar] [CrossRef]
- Williamson, L.C.; Ribrioux, S.P.; Fitter, A.H.; Leyser, H.O. Phosphate Availability Regulates Root System Architecture in Arabidopsis. Plant Physiol. 2001, 126, 875–882. [Google Scholar] [CrossRef] [PubMed]
- Svistoonoff, S.; Creff, A.; Reymond, M.; Sigoillot-Claude, C.; Ricaud, L.; Blanchet, A.; Nussaume, L.; Desnos, T. Root tip contact with low-phosphate media reprograms plant root architecture. Nat. Genet. 2007, 39, 792–796. [Google Scholar] [CrossRef] [PubMed]
- Jensen, M.K.; Kjaersgaard, T.; Petersen, K.; Skriver, K. NAC genes: Time-specific regulators of hormonal signaling in Arabidopsis. Plant Signal. Behav. 2010, 5, 907–910. [Google Scholar] [CrossRef]
- Wang, Q.; Guo, C.; Li, Z.; Sun, J.; Deng, Z.; Wen, L.; Li, X.; Guo, Y. Potato NAC Transcription Factor StNAC053 Enhances Salt and Drought Tolerance in Transgenic Arabidopsis. Int. J. Mol. Sci. 2021, 22, 2568. [Google Scholar] [CrossRef]
- Chen, Q.; Abdullah, S.; Chen, Y.; Huang, Y.; Cheng, K.; Li, W. Genome-wide identification and expression analysis of Nam gene family in rice. Acta Bot. Boreali-Occident. Sin. 2020, 40, 907–917. [Google Scholar]
- Wittenmayer, L.; Merbach, W. Plant responses to drought and phosphorus deficiency: Contribution of phytohormones in root-related processes. J. Plant Nutr. Soil Sci. 2005, 168, 531–540. [Google Scholar] [CrossRef]
- Chiou, T.-J.; Lin, S.-I. Signaling Network in Sensing Phosphate Availability in Plants. Annu. Rev. Plant Biol. 2011, 62, 185–206. [Google Scholar] [CrossRef]
- Nakashima, K.; Takasaki, H.; Mizoi, J.; Shinozaki, K.; Yamaguchi-Shinozaki, K. NAC transcription factors in plant abiotic stress responses. Biochim. Biophys. Acta (BBA)-Gene Regul. Mech. 2012, 1819, 97–103. [Google Scholar] [CrossRef] [PubMed]
- Shen, S.; Zhang, Q.; Shi, Y.; Sun, Z.; Zhang, Q.; Hou, S.; Wu, R.; Jiang, L.; Zhao, X.; Guo, Y. Genome-Wide Analysis of the NAC Domain Transcription Factor Gene Family in Theobroma cacao. Genes 2019, 11, 35. [Google Scholar] [CrossRef]
- Bishop, E.H.; Kumar, R.; Luo, F.; Saski, C.; Sekhon, R.S. Genome-wide identification, expression profiling, and network analysis of AT-hook gene family in maize. Genomics 2020, 112, 1233–1244. [Google Scholar] [CrossRef] [PubMed]
- Wang, M.; Chen, B.; Zhou, W.; Xie, L.; Wang, L.; Zhang, Y.; Zhang, Q. Genome-wide identification and expression analysis of the AT-hook Motif Nuclear Localized gene family in soybean. BMC Genom. 2021, 22, 361. [Google Scholar] [CrossRef] [PubMed]
- Wong, M.M.; Bhaskara, G.B.; Wen, T.-N.; Lin, W.-D.; Nguyen, T.T.; Chong, G.L.; Verslues, P.E. Phosphoproteomics of Arabidopsis Highly ABA-Induced1 identifies AT-Hook–Like10 phosphorylation required for stress growth regulation. Proc. Natl. Acad. Sci. USA 2019, 116, 2354–2363. [Google Scholar] [CrossRef]
- Singh, P.; Mukhopadhyay, K. Comprehensive molecular dissection of TIFY Transcription factors reveal their dynamic responses to biotic and abiotic stress in wheat (Triticum aestivum L.). Sci. Rep. 2021, 11, 9739. [Google Scholar] [CrossRef] [PubMed]
- Grunewald, W.; Vanholme, B.; Pauwels, L.; Plovie, E.; Inze, D.; Gheysen, G.; Goossens, A. Expression of the Arabidopsis jasmonate signalling repressor JAZ1/TIFY10A is stimulated by auxin. EMBO Rep. 2009, 10, 923–928. [Google Scholar] [CrossRef]
- Zhang, C.; Yang, R.; Zhang, T.; Zheng, D.; Li, X.; Zhang, Z.B.; Li, L.G.; Wu, Z.Y. ZmTIFY16, a novel maize TIFY transcription factor gene, promotes root growth and development and enhances drought and salt tolerance in Arabidopsis and Zea mays. Plant Growth Regul. 2023, 100, 149–160. [Google Scholar] [CrossRef]
- Premathilake, A.T.; Ni, J.; Shen, J.; Bai, S.; Teng, Y. Transcriptome analysis provides new insights into the transcriptional regulation of methyl jasmonate-induced flavonoid biosynthesis in pear calli. BMC Plant Biol. 2020, 20, 388. [Google Scholar] [CrossRef]
- Jia, H.; Wang, J.; Yang, Y.; Liu, G.; Bao, Y.; Cui, H. Changes in flavonol content and transcript levels of genes in the flavonoid pathway in tobacco under phosphorus deficiency. Plant Growth Regul. 2015, 76, 225–231. [Google Scholar] [CrossRef]
- Popescu, S.C.; Popescu, G.V.; Bachan, S.; Zhang, Z.; Seay, M.; Gerstein, M.; Snyder, M.; Dinesh-Kumar, S.P. Differential binding of calmodulin-related proteins to their targets revealed through high-density Arabidopsis protein microarrays. Proc. Natl. Acad. Sci. USA 2007, 104, 4730–4735. [Google Scholar] [CrossRef]
- Gao, L. Molecular Mechanism Analysis of Low Phosphate Stress Response Mediated by Calcium Signal in Arabidopsis. Ph.D. Thesis, Henan University, Kaifeng, China, 2014. [Google Scholar]
- Zhu, X.; Wang, P.; Bai, Z.; Herde, M.; Ma, Y.; Li, N.; Liu, S.; Huang, C.F.; Cui, R.; Ma, H.; et al. Calmodulin-like protein CML24 interacts with CAMTA2 and WRKY46 to regulate ALMT1-dependent Al resistance in Arabidopsis thaliana. New Phytol. 2022, 233, 2471–2487. [Google Scholar] [CrossRef]
- Ramaiah, M.; Jain, A.; Yugandhar, P.; Raghothama, K.G. ATL8, a RING E3 ligase, modulates root growth and phosphate homeostasis in Arabidopsis. Plant Physiol. Biochem. 2022, 179, 90–99. [Google Scholar] [CrossRef] [PubMed]
- Kant, S.; Peng, M.; Rothstein, S.J. Genetic Regulation by NLA and MicroRNA827 for Maintaining Nitrate-Dependent Phosphate Homeostasis in Arabidopsis. PLoS Genet. 2011, 7, e1002021. [Google Scholar] [CrossRef] [PubMed]
- Ye, Q.; Wang, H.; Su, T.; Wu, W.-H.; Chen, Y.-F. The Ubiquitin E3 Ligase PRU1 Regulates WRKY6 Degradation to Modulate Phosphate Homeostasis in Response to Low-Pi Stress in Arabidopsis. Plant Cell 2018, 30, 1062–1076. [Google Scholar] [CrossRef] [PubMed]
- Selote, D.; Matthiadis, A.; Gillikin, J.W.; Sato, M.H.; Long, T.A. The E3 ligase BRUTUS facilitates degradation of VOZ1/2 transcription factors. Plant Cell Environ. 2018, 41, 2463–2474. [Google Scholar] [CrossRef] [PubMed]








| Prediction Software | TSS Site | Score |
|---|---|---|
| TSSP | −1882 bp | 0.6 |
| labtool | −800 bp | 1.208 |
| Protein ID | Protein Annotation |
|---|---|
| Protein-No.1 | N-carbamoyl-beta-alanine amidohydrolase |
| Protein-No.2 | Cytochrome b561 and DOMON domain-containing protein At5g35735 |
| Protein-No.3 | Eukaryotic translation initiation factor 5A |
| Protein-No.4 | Proton-coupled transporter that transports a wide |
| Protein-No.5 | Prolyl aminopeptidase |
| Protein-No.6 | Calcium-binding protein CML24 |
| Protein-No.7 | Glycerol-3-phosphate acyltransferase 9 |
| Protein-No.8 | Proteasome subunit alpha type-6 |
| Protein-No.9 | Caffeic acid 3-O-methyltransferase 1 |
| Protein-No.10 | (R, S)-reticuline 7-O-methyltransferase |
| Protein-No.11 | PPIases accelerate the folding of proteins. |
| Protein-No.12 | MLO-like protein 6 |
| Protein-No.13 | Cytochrome b6-f complex iron-sulfur subunit |
| Protein-No.14 | AT-hook motif nuclear-localized protein10 |
| Protein-No.15 | Uracil-DNA glycosylase, mitochondrial |
| Protein-No.16 | TIFY DOMAIN PROTEIN 8, TIFY8 |
| Protein-No.17 | Belongs to the cytochrome P450 family |
| Protein-No.18 | Phenylalanine--tRNA ligase beta subunit |
| Protein ID | Protein Annotation |
|---|---|
| Protein-No.1 | Heavy metal-associated isoprenylated plant protein 39 |
| Protein-No.2 | Protein translation factor SUI1 homolog |
| Protein-No.3 | E3 ubiquitin-protein ligase RING |
| Protein-No.4 | ATCBR, CBR, CBR1, NADH:CYTOCHROME B5 REDUCTASE 1 |
| Protein-No.5 | Potassium transporter 10 |
Disclaimer/Publisher’s Note: The statements, opinions and data contained in all publications are solely those of the individual author(s) and contributor(s) and not of MDPI and/or the editor(s). MDPI and/or the editor(s) disclaim responsibility for any injury to people or property resulting from any ideas, methods, instructions or products referred to in the content. |
© 2023 by the authors. Licensee MDPI, Basel, Switzerland. This article is an open access article distributed under the terms and conditions of the Creative Commons Attribution (CC BY) license (https://creativecommons.org/licenses/by/4.0/).
Share and Cite
Zhao, Y.; Huang, S.; Wei, L.; Li, M.; Cai, T.; Ma, X.; Shuai, P. ClNAC100 Is a NAC Transcription Factor of Chinese Fir in Response to Phosphate Starvation. Int. J. Mol. Sci. 2023, 24, 10486. https://doi.org/10.3390/ijms241310486
Zhao Y, Huang S, Wei L, Li M, Cai T, Ma X, Shuai P. ClNAC100 Is a NAC Transcription Factor of Chinese Fir in Response to Phosphate Starvation. International Journal of Molecular Sciences. 2023; 24(13):10486. https://doi.org/10.3390/ijms241310486
Chicago/Turabian StyleZhao, Yuxuan, Shuotian Huang, Lihui Wei, Meng Li, Tingting Cai, Xiangqing Ma, and Peng Shuai. 2023. "ClNAC100 Is a NAC Transcription Factor of Chinese Fir in Response to Phosphate Starvation" International Journal of Molecular Sciences 24, no. 13: 10486. https://doi.org/10.3390/ijms241310486
APA StyleZhao, Y., Huang, S., Wei, L., Li, M., Cai, T., Ma, X., & Shuai, P. (2023). ClNAC100 Is a NAC Transcription Factor of Chinese Fir in Response to Phosphate Starvation. International Journal of Molecular Sciences, 24(13), 10486. https://doi.org/10.3390/ijms241310486

