The Effectiveness of Cyrene as a Solvent in Exfoliating 2D TMDs Nanosheets
Abstract
1. Introduction
2. Results and Discussion
2.1. Exfoliation of MoS2 and WS2 NSs
2.2. Optical Characterization: UV–Vis Spectra
2.3. Microscopic Characterization: AFM
2.4. Spectroscopic Characterization: Raman Spectra
2.5. Morphological Characterization: SEM
| Solvents | Surface Tension (mNm−1) | 2D Material | Stability (Days) | Lateral Size (nm) | Thickness (nm) | Surface Charge (mV) | References | 
|---|---|---|---|---|---|---|---|
| NMP | 40.1 | MoS2 WS2 | 21 14 | 340 390–500 | 1–4.5 2–5 | −32.1 −41.1 | [63,64] | 
| DMF | 37.1 | MoS2 WS2 | - 21 | 220–340 1–2 | 3–7 ~10 | - - | [65,66] | 
| Ethanol–H2O | 32.98 | MoS2 WS2 | ~21 30 | 130–150 ~100 | 1–3 ~3–4 | −22.5 −32 | [15,67] | 
| H2O | 72 | MoS2 WS2 | 30 7 | 150–250 700–800 | 1–3.5 4.56 | −27 - | [40,68] | 
| Porcelain | 38 | MoS2 WS2 | ~7 ~7 | ~2.5 ~1–2 | 4–5 <5 | - - | [69] | 
| Cyrene | 33.6 | MoS2 WS2 | >30 >60 | 19–38 11–21 | 0.9–1.5 0.5–0.9 | −50.4 −86.5 | Present work | 
2.6. TMD Exfoliation in Cyrene as Compared to Other Solvents: A Comparative Analysis of the Nanoflakes’ Typical Parameters
2.7. Surface Charge Analysis: ς-Potential
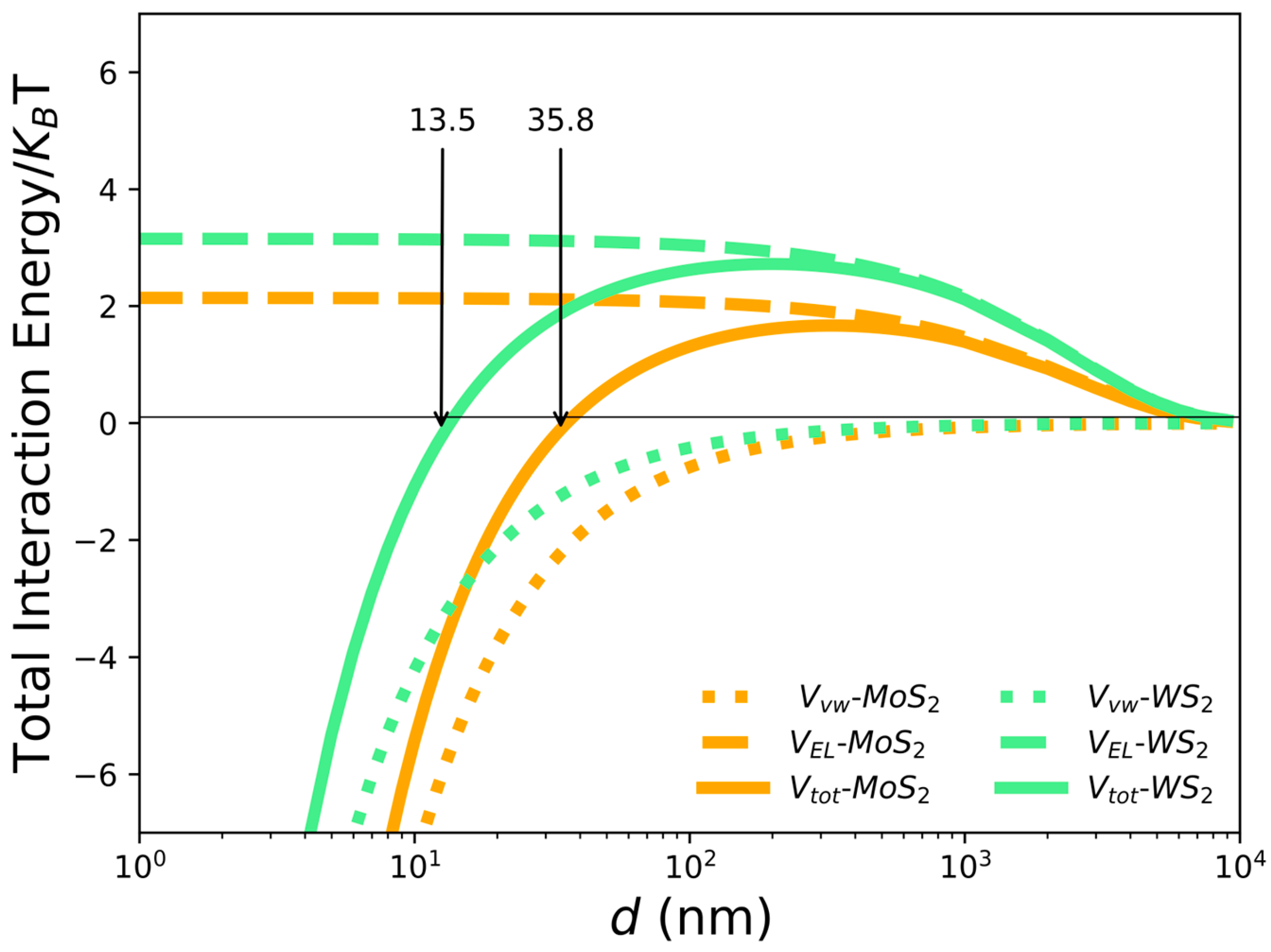
2.8. Modeling the Interaction between 2D NSs and Cyrene: DLVO Theory
3. Materials and Methods
3.1. Exfoliation and Size Selection
3.2. Characterization: UV–Vis
3.3. Characterization: Raman and AFM
3.4. Surface Charge and Average Lateral Size Measurement: ζ-Potential
3.5. Morphological Measurements: SEM
4. Conclusions
Supplementary Materials
Author Contributions
Funding
Institutional Review Board Statement
Informed Consent Statement
Data Availability Statement
Conflicts of Interest
References
- Geim, A.K.; Novoselov, K.S. The Rise of Graphene. Nat. Mater. 2007, 6, 183–191. [Google Scholar] [CrossRef] [PubMed]
- Novoselov, K.S.; Jiang, D.; Schedin, F.; Booth, T.J.; Khotkevich, V.V.; Morozov, S.V.; Geim, A.K. Two-dimensional atomic crystals. Proc. Natl. Acad. Sci. USA 2005, 102, 10451–10453. [Google Scholar] [CrossRef]
- Raimond, J.M.; Brune, M.; Computation, Q.; de Martini, F.; Monroe, C. Electric Field Effect in Atomically Thin Carbon Films. Science 2004, 306, 666–670. [Google Scholar]
- Huang, X.; Zeng, Z.; Zhang, H. Metal Dichalcogenide Nanosheets: Preparation, Properties and Applications. Chem. Soc. Rev. 2013, 42, 1934–1946. [Google Scholar] [CrossRef]
- Li, B.; Lai, C.; Zeng, G.; Huang, D.; Qin, L.; Zhang, M.; Cheng, M.; Liu, X.; Yi, H.; Zhou, C.; et al. Black Phosphorus, a Rising Star 2D Nanomaterial in the Post-Graphene Era: Synthesis, Properties, Modifications, and Photocatalysis Applications. Small 2019, 15, e1804565. [Google Scholar] [CrossRef] [PubMed]
- Wang, Q.H.; Kalantar-Zadeh, K.; Kis, A.; Coleman, J.N.; Strano, M.S. Electronics and Optoelectronics of Two-Dimensional Transition Metal Dichalcogenides. Nat. Nanotechnol. 2012, 7, 699–712. [Google Scholar] [CrossRef]
- Guo, Z.; Ding, W.; Liu, X.; Sun, Z.; Wei, L. Two-Dimensional Black Phosphorus: A New Star in Energy Applications and the Barrier to Stability. Appl. Mater. Today 2019, 14, 51–58. [Google Scholar] [CrossRef]
- Kalantar-Zadeh, K.; Ou, J.Z. Biosensors Based on Two-Dimensional MoS2. ACS Sens. 2016, 1, 5–16. [Google Scholar] [CrossRef]
- Chen, Y.; Tan, C.; Zhang, H.; Wang, L. Two-Dimensional Graphene Analogues for Biomedical Applications. Chem. Soc. Rev. 2015, 44, 2681–2701. [Google Scholar] [CrossRef]
- Li, X.; Zhu, H. Two-Dimensional MoS2: Properties, Preparation, and Applications. J. Mater. 2015, 1, 33–44. [Google Scholar] [CrossRef]
- Wu, F.; Xia, Y.; Sun, M.; Xie, A. Two-Dimensional (2D) Few-Layers WS2 Nanosheets: An Ideal Nanomaterials with Tunable Electromagnetic Absorption Performance. Appl. Phys. Lett. 2018, 113, 052906. [Google Scholar] [CrossRef]
- Chhowalla, M.; Liu, Z.; Zhang, H. Two-Dimensional Transition Metal Dichalcogenide (TMD) Nanosheets. Chem. Soc. Rev. 2015, 44, 2584–2586. [Google Scholar] [CrossRef]
- Yuan, H.; Wang, H.; Cui, Y. Two-Dimensional Layered Chalcogenides: From Rational Synthesis to Property Control via Orbital Occupation and Electron Filling. Acc. Chem. Res. 2015, 48, 81–90. [Google Scholar] [CrossRef] [PubMed]
- Desai, S.B.; Madhvapathy, S.R.; Amani, M.; Kiriya, D.; Hettick, M.; Tosun, M.; Zhou, Y.; Dubey, M.; Ager, J.W.; Chrzan, D.; et al. Gold-Mediated Exfoliation of Ultralarge Optoelectronically-Perfect Monolayers. Adv. Mater. 2016, 28, 4053–4058. [Google Scholar] [CrossRef] [PubMed]
- Shi, J.; Tong, R.; Zhou, X.; Gong, Y.; Zhang, Z.; Ji, Q.; Zhang, Y.; Fang, Q.; Gu, L.; Wang, X.; et al. Temperature-Mediated Selective Growth of MoS2/WS2 and WS2/MoS2 Vertical Stacks on Au Foils for Direct Photocatalytic Applications. Adv. Mater. 2016, 28, 10664–10672. [Google Scholar] [CrossRef]
- Liu, H.F.; Wong, S.L.; Chi, D.Z. CVD Growth of MoS2-Based Two-Dimensional Materials. Chem. Vap. Depos. 2015, 21, 241–259. [Google Scholar] [CrossRef]
- Li, H.; Wu, J.; Yin, Z.; Zhang, H. Preparation and Applications of Mechanically Exfoliated Single-Layer and Multilayer MoS2 and WSe2 Nanosheets. Acc. Chem. Res. 2014, 47, 1067–1075. [Google Scholar] [CrossRef]
- Zhou, K.-G.; Mao, N.-N.; Wang, H.-X.; Peng, Y.; Zhang, H.-L. A Mixed-Solvent Strategy for Efficient Exfoliation of Inorganic Graphene Analogues. Angew. Chem. Int. Ed. 2011, 50, 10839–10842. [Google Scholar] [CrossRef]
- Lukowski, M.A.; Daniel, A.S.; Meng, F.; Forticaux, A.; Li, L.; Jin, S. Enhanced Hydrogen Evolution Catalysis from Chemically Exfoliated Metallic MoS2 Nanosheets. J. Am. Chem. Soc. 2013, 135, 10274–10277. [Google Scholar] [CrossRef] [PubMed]
- Ciesielski, A.; Samorì, P. Graphene via Sonication Assisted Liquid-Phase Exfoliation. Chem. Soc. Rev. 2014, 43, 381–398. [Google Scholar] [CrossRef]
- Jawaid, A.; Nepal, D.; Park, K.; Jespersen, M.; Qualley, A.; Mirau, P.; Drummy, L.F.; Vaia, R.A. Mechanism for Liquid Phase Exfoliation of MoS2. Chem. Mater. 2016, 28, 337–348. [Google Scholar] [CrossRef]
- Gupta, A.; Arunachalam, V.; Vasudevan, S. Liquid-Phase Exfoliation of MoS2 Nanosheets: The Critical Role of Trace Water. J. Phys. Chem. Lett. 2016, 7, 4884–4890. [Google Scholar] [CrossRef] [PubMed]
- Hu, C.-X.; Shin, Y.; Read, O.; Casiraghi, C. Dispersant-Assisted Liquid-Phase Exfoliation of 2D Materials beyond Graphene. Nanoscale 2021, 13, 460–484. [Google Scholar] [CrossRef] [PubMed]
- Shen, J.; He, Y.; Wu, J.; Gao, C.; Keyshar, K.; Zhang, X.; Yang, Y.; Ye, M.; Vajtai, R.; Lou, J.; et al. Liquid Phase Exfoliation of Two-Dimensional Materials by Directly Probing and Matching Surface Tension Components. Nano Lett. 2015, 15, 5449–5454. [Google Scholar] [CrossRef]
- Sheldon, R.A. Metrics of Green Chemistry and Sustainability: Past, Present, and Future. ACS Sustain. Chem. Eng. 2018, 6, 32–48. [Google Scholar] [CrossRef]
- Guajardo, N.; de María, P.D. Assessing Biocatalysis Using Dihydrolevoglucosenone (Cyrene™) as Versatile Bio-Based (Co)Solvent. Mol. Catal. 2020, 485, 110813. [Google Scholar] [CrossRef]
- Kong, D.; Dolzhenko, A.V. Cyrene: A Bio-Based Sustainable Solvent for Organic Synthesis. Sustain. Chem. Pharm. 2022, 25, 100591. [Google Scholar] [CrossRef]
- Salavagione, H.J.; Sherwood, J.; De Bruyn, M.; Budarin, V.L.; Ellis, G.J.; Clark, J.H.; Shuttleworth, P.S. Identification of High Performance Solvents for the Sustainable Processing of Graphene. Green Chem. 2017, 19, 2550–2560. [Google Scholar] [CrossRef]
- De Bruyn, M.; Fan, J.; Budarin, V.L.; Macquarrie, D.J.; Gomez, L.D.; Simister, R.; Farmer, T.J.; Raverty, W.D.; McQueen-Mason, S.J.; Clark, J.H. A New Perspective in Bio-Refining: Levoglucosenone and Cleaner Lignin from Waste Biorefinery Hydrolysis Lignin by Selective Conversion of Residual Saccharides. Energy Environ. Sci. 2016, 9, 2571–2574. [Google Scholar] [CrossRef]
- Pan, K.; Fan, Y.; Leng, T.; Li, J.; Xin, Z.; Zhang, J.; Hao, L.; Gallop, J.; Novoselov, K.S.; Hu, Z. Sustainable Production of Highly Conductive Multilayer Graphene Ink for Wireless Connectivity and IoT Applications. Nat. Commun. 2018, 9, 5197. [Google Scholar] [CrossRef]
- Tkachev, S.; Monteiro, M.; Santos, J.; Placidi, E.; Ben Hassine, M.; Marques, P.; Ferreira, P.; Alpuim, P.; Capasso, A. Environmentally Friendly Graphene Inks for Touch Screen Sensors. Adv. Funct. Mater. 2021, 31, 2103287. [Google Scholar] [CrossRef]
- Adam, J.; Del Sorbo, M.R.; Kaur, J.; Romano, R.; Singh, M.; Valadan, M.; Altucci, C. Surface Interactions Studies of Novel Two-Dimensional Molybdenum Disulfide with Gram-Negative and Gram-Positive Bacteria. Anal. Lett. 2022, 56, 357–371. [Google Scholar] [CrossRef]
- Xu, Y.; Cao, H.; Xue, Y.; Li, B.; Cai, W. Liquid-Phase Exfoliation of Graphene: An Overview on Exfoliation Media, Techniques, and Challenges. Nanomaterials 2018, 8, 942. [Google Scholar] [CrossRef] [PubMed]
- Mori, F.; Kubouchi, M.; Arao, Y. Effect of Graphite Structures on the Productivity and Quality of Few-Layer Graphene in Liquid-phase Exfoliation. J. Mater. Sci. 2018, 53, 12807–12815. [Google Scholar] [CrossRef]
- He, P.; Cao, J.; Ding, H.; Liu, C.; Neilson, J.; Li, Z.; Kinloch, I.A.; Derby, B. Screen-Printing of a Highly Conductive Graphene Ink for Flexible Printed Electronics. ACS Appl. Mater. Interfaces 2019, 11, 32225–32234. [Google Scholar] [CrossRef]
- Citarella, A.; Amenta, A.; Passarella, D.; Micale, N. Cyrene: A Green Solvent for the Synthesis of Bioactive Molecules and Functional Biomaterials. Int. J. Mol. Sci. 2022, 23, 15960. [Google Scholar] [CrossRef] [PubMed]
- Occhiuzzi, J.; Politano, G.G.; D’olimpio, G.; Politano, A. The Quest for Green Solvents for the Sustainable Production of Nanosheets of Two-Dimensional (2D) Materials, a Key Issue in the Roadmap for the Ecology Transition in the Flatland. Molecules 2023, 28, 1484. [Google Scholar] [CrossRef]
- Singh, M.; Zannella, C.; Folliero, V.; Di Girolamo, R.; Bajardi, F.; Chianese, A.; Altucci, L.; Damasco, A.; Del Sorbo, M.R.; Imperatore, C.; et al. Combating Actions of Green 2D-Materials on Gram Positive and Negative Bacteria and Enveloped Viruses. Front. Bioeng. Biotechnol. 2020, 8, 569967. [Google Scholar] [CrossRef] [PubMed]
- Backes, C.; Higgins, T.M.; Kelly, A.; Boland, C.; Harvey, A.; Hanlon, D.; Coleman, J.N. Guidelines for Exfoliation, Characterization and Processing of Layered Materials Produced by Liquid Exfoliation. Chem. Mater. 2017, 29, 243–255. [Google Scholar] [CrossRef]
- Kaur, J.; Singh, M.; Dell‘aversana, C.; Benedetti, R.; Giardina, P.; Rossi, M.; Valadan, M.; Vergara, A.; Cutarelli, A.; Montone, A.M.I.; et al. Biological Interactions of Biocompatible and Water-Dispersed MoS2 Nanosheets with Bacteria and Human Cells. Sci. Rep. 2018, 8, 16386. [Google Scholar] [CrossRef] [PubMed]
- Rusciano, G.; Capaccio, A.; Sasso, A.; Singh, M.; Valadan, M.; Dell’aversana, C.; Altucci, L.; Altucci, C. Single-Cell Photothermal Analysis Induced by MoS2 Nanoparticles by Raman Spectroscopy. Front. Bioeng. Biotechnol. 2022, 10, 844011. [Google Scholar] [CrossRef]
- Backes, C.; Szydłowska, B.M.; Harvey, A.; Yuan, S.; Vega-Mayoral, V.; Davies, B.R.; Zhao, P.-L.; Hanlon, D.; Santos, E.J.G.; Katsnelson, M.I.; et al. Production of Highly Monolayer Enriched Dispersions of Liquid-Exfoliated Nanosheets by Liquid Cascade Centrifugation. ACS Nano 2016, 10, 1589–1601. [Google Scholar] [CrossRef] [PubMed]
- Wilson, J.; Yoffe, A. The Transition Metal Dichalcogenides Discussion and Interpretation of the Observed Optical, Electrical and Structural Properties. Adv. Phys. 1969, 18, 193–335. [Google Scholar] [CrossRef]
- Backes, C.; Hanlon, D.; Szydlowska, B.M.; Harvey, A.; Smith, R.J.; Higgins, T.M.; Coleman, J.N. Preparation of Liquid-Exfoliated Transition Metal Dichalcogenide Nanosheets with Controlled Size and Thickness: A State of the Art Protocol. J. Vis. Exp. 2016, 118, e54806. [Google Scholar] [CrossRef]
- Varrla, E.; Backes, C.; Paton, K.R.; Harvey, A.; Gholamvand, Z.; McCauley, J.; Coleman, J.N. Large-Scale Production of Size-Controlled MoS2 Nanosheets by Shear Exfoliation. Chem. Mater. 2015, 27, 1129–1139. [Google Scholar] [CrossRef]
- Backes, C.; Smith, R.J.; McEvoy, N.; Berner, N.C.; McCloskey, D.; Nerl, H.C.; O’Neill, A.; King, P.J.; Higgins, T.; Hanlon, D.; et al. Edge and Confinement Effects Allow In Situ Measurement of Size and Thickness of Liquid-Exfoliated Nanosheets. Nat. Commun. 2014, 5, 4576. [Google Scholar] [CrossRef]
- Antonov, L.; Nedeltcheva, D. Resolution of Overlapping UV–Vis Absorption Bands and Quantitative Analysis. Chem. Soc. Rev. 2000, 29, 217–227. [Google Scholar] [CrossRef]
- Sharma, S.; Bhagat, S.; Singh, J.; Singh, R.C.; Sharma, S. Excitation-Dependent Photoluminescence from WS2 Nanostructures Synthesized via Top-down Approach. J. Mater. Sci. 2017, 52, 11326–11336. [Google Scholar] [CrossRef]
- Kouroupis-Agalou, K.; Liscio, A.; Treossi, E.; Ortolani, L.; Morandi, V.; Pugno, N.M.; Palermo, V. Fragmentation and Exfoliation of 2-Dimensional Materials: A Statistical Approach. Nanoscale 2014, 6, 5926–5933. [Google Scholar] [CrossRef] [PubMed]
- Zhang, X.; Qiao, X.-F.; Shi, W.; Wu, J.-B.; Jiang, D.-S.; Tan, P.-H. Phonon and Raman Scattering of two-Dimensional Transition metal Dichalcogenides from Monolayer, Multilayer to Bulk Material. Chem. Soc. Rev. 2015, 44, 2757–2785. [Google Scholar] [CrossRef]
- Lee, C.; Yan, H.; Brus, L.E.; Heinz, T.F.; Hone, J.; Ryu, S. Anomalous Lattice Vibrations of Single- and Few-Layer MoS2. ACS Nano 2010, 4, 2695–2700. [Google Scholar] [CrossRef] [PubMed]
- Li, H.; Zhang, Q.; Yap, C.C.R.; Tay, B.K.; Edwin, T.H.T.; Olivier, A.; Baillargeat, D. From Bulk to Monolayer MoS2: Evolution of Raman Scattering. Adv. Funct. Mater. 2012, 22, 1385–1390. [Google Scholar] [CrossRef]
- Bissett, M.A.; Worrall, S.D.; Kinloch, I.A.; Dryfe, R.A.W. Comparison of Two-Dimensional Transition Metal Dichalcogenides for Electrochemical Supercapacitors. Electrochim. Acta 2016, 201, 30–37. [Google Scholar] [CrossRef]
- Chen, Y. Growth of a Large, Single-Crystalline WS2 Monolayer for High-Performance Photodetectors by Chemical Vapor Deposition. Micromachines 2021, 12, 137. [Google Scholar] [CrossRef]
- Deegan, R.D.; Bakajin, O.; Dupont, T.F.; Huber, G.; Nagel, S.R.; Witten, T.A. Capillary Flow as the Cause of Ring Stains from Dried Liquid Drops. Nature 1997, 389, 827–829. [Google Scholar] [CrossRef]
- Backes, C.; Campi, D.; Szydlowska, B.M.; Synnatschke, K.; Ojala, E.; Rashvand, F.; Harvey, A.; Griffin, A.; Sofer, Z.; Marzari, N.; et al. Equipartition of Energy Defines the Size–Thickness Relationship in Liquid-Exfoliated Nanosheets. ACS Nano 2019, 13, 7050–7061. [Google Scholar] [CrossRef]
- Ott, S.; Wolff, N.; Rashvand, F.; Rao, V.J.; Zaumseil, J.; Backes, C. Impact of the MoS2 Starting Material on the Dispersion Quality and Quantity after Liquid Phase Exfoliation. Chem. Mater. 2019, 31, 8424–8431. [Google Scholar] [CrossRef]
- Ma, H.; Shen, Z.; Ben, S. Understanding the Exfoliation and Dispersion of MoS2 Nanosheets in Pure Water. J. Colloid Interface Sci. 2018, 517, 204–212. [Google Scholar] [CrossRef]
- Li, W.; Yang, Z.; Sun, M.; Dong, J. Interlayer Interactions in Transition Metal Dichalcogenides Heterostructures. Rev. Phys. 2022, 9, 100077. [Google Scholar] [CrossRef]
- Gerber, I.C.; Courtade, E.; Shree, S.; Robert, C.; Taniguchi, T.; Watanabe, K.; Balocchi, A.; Renucci, P.; Lagarde, D.; Marie, X.; et al. Interlayer Excitons in Bilayer MoS2 with Strong Oscillator Strength up to Room Temperature. Phys. Rev. B 2018, 99, 035443. [Google Scholar] [CrossRef]
- Cheng, Z.; Zhang, B.; An, X.; Lu, Z.; Zhang, G.; Ma, F.; Zhou, F. First-Principles Delimitation of the Boundary between Intralayer and Interlayer in Two-Dimensional Structures. J. Phys. Chem. C 2019, 123, 26912–26920. [Google Scholar] [CrossRef]
- Ott, S.; Lakmann, M.; Backes, C. Impact of Pretreatment of the Bulk Starting Material on the Efficiency of Liquid Phase Exfoliation of WS2. Nanomaterials 2021, 11, 1072. [Google Scholar] [CrossRef] [PubMed]
- Qiao, W.; Yan, S.; He, X.; Song, X.; Li, Z.; Zhang, X.; Zhong, W.; Du, Y. Effects of Ultrasonic Cavitation Intensity on the Efficient Liquid-Exfoliation of MoS2 nanosheets. RSC Adv. 2014, 4, 50981–50987. [Google Scholar] [CrossRef]
- Landon Oakes, B.; Pint, C.; Bardhan, R.; Xu, Y.; Valentine, J.; Laibinis, P. Controlling Nanomaterial Assembly to Improve Material Performance in Energy Storage Electrodes. Ph.D. Thesis, Vanderbilt University, Nashville, TN, USA, 2016. [Google Scholar]
- Han, G.-Q.; Liu, Y.-R.; Hu, W.-H.; Dong, B.; Li, X.; Chai, Y.-M.; Liu, Y.-Q.; Liu, C.-G. WS2 Nanosheets Based on Liquid Exfoliation as Effective Electrocatalysts for Hydrogen Evolution Reaction. Mater. Chem. Phys. 2015, 167, 271–277. [Google Scholar] [CrossRef]
- Ghasemi, F.; Mohajerzadeh, S. Sequential Solvent Exchange Method for Controlled Exfoliation of MoS2 Suitable for Phototransistor Fabrication. ACS Appl. Mater. Interfaces 2016, 8, 31179–31191. [Google Scholar] [CrossRef] [PubMed]
- Kaur, J.; Gravagnuolo, A.M.; Maddalena, P.; Altucci, C.; Giardina, P.; Gesuele, F. Green Synthesis of Luminescent and Defect-free Bio-Nanosheets of MoS2: Interfacing Two-Dimensional Crystals with Hydrophobins. RSC Adv. 2017, 7, 22400–22408. [Google Scholar] [CrossRef]
- Pan, L.; Liu, Y.-T.; Xie, X.-M.; Ye, X.-Y. Facile and Green Production of Impurity-Free Aqueous Solutions of WS2 Nanosheets by Direct Exfoliation in Water. Small 2016, 12, 6703–6713. [Google Scholar] [CrossRef] [PubMed]
- Paolucci, V.; D’olimpio, G.; Lozzi, L.; Mio, A.M.; Ottaviano, L.; Nardone, M.; Nicotra, G.; Le-Cornec, P.; Cantalini, C.; Politano, A. Sustainable Liquid-Phase Exfoliation of Layered Materials with Nontoxic Polarclean Solvent. ACS Sustain. Chem. Eng. 2020, 8, 18830–18840. [Google Scholar] [CrossRef] [PubMed]
- Ohshima, H. Theory of Electrostatics and Electrokinetics of Soft Particles. Sci. Technol. Adv. Mater. 2009, 10, 063001. [Google Scholar] [CrossRef]
- Gupta, A.; Vasudevan, S. Understanding Surfactant Stabilization of MoS2 Nanosheets in Aqueous Dispersions from Zeta Potential Measurements and Molecular Dynamics Simulations. J. Phys. Chem. C 2018, 122, 19243–19250. [Google Scholar] [CrossRef]
- Chakraborty, B.; Das, A.; Kumar, A.; Barui, A.; Kumar, M.; Chaudhuri, C.R. Real Time Estimation of Stem Cell Zeta Potential and Dimension during Proliferation using MoS2 Nanosheets Field Effect Transistor. Sens. Actuators B Chem. 2023, 380, 133351. [Google Scholar] [CrossRef]
- Huang, W.-M.; Liao, W.-S.; Lai, Y.-M.; Chen, I.-W.P. Tuning the Surface Charge Density of Exfoliated Thin Molybdenum Disulfide Sheets Via Non-Covalent Functionalization for Promoting Hydrogen Evolution Reaction. J. Mater. Chem. C 2020, 8, 510–517. [Google Scholar] [CrossRef]
- Gupta, A.; Arunachalam, V.; Vasudevan, S. Water Dispersible, Positive and Negatively Charged MoS2 Nanosheets: Surface Chemistry and the Role of Surfactant Binding Supporting Information Content. J. Phys. Chem. Lett. 2015, 6, 739–744. [Google Scholar] [CrossRef] [PubMed]
- DIasio, M.A.; Green, D.L. The Effect of Solvent Viscosity on Production of Few-Layer Graphene from Liquid-Phase Exfoliation of Graphite. MRS Adv. 2019, 4, 241–247. [Google Scholar] [CrossRef]
- Israelachvili, J.N. Intermolecular and Surface Forces, 3rd ed.; Elsevier Inc.: Amsterdam, The Netherlands, 2011; p. 710. [Google Scholar] [CrossRef]
- Mohona, T.M.; Gupta, A.; Masud, A.; Chien, S.-C.; Lin, L.-C.; Nalam, P.C.; Aich, N. Aggregation Behavior of Inorganic 2D Nanomaterials beyond Graphene: Insights from Molecular Modeling and Modified DLVO Theory. Environ. Sci. Technol. 2019, 53, 4161–4172. [Google Scholar] [CrossRef] [PubMed]






| Two-Dimensional (2D) TMDs | a (nm) | ζ (mV) | 
|---|---|---|
| MoS2 | 26 | −50.4 | 
| WS2 | 13 | −86.5 | 
| Disclaimer/Publisher’s Note: The statements, opinions and data contained in all publications are solely those of the individual author(s) and contributor(s) and not of MDPI and/or the editor(s). MDPI and/or the editor(s) disclaim responsibility for any injury to people or property resulting from any ideas, methods, instructions or products referred to in the content. | 
© 2023 by the authors. Licensee MDPI, Basel, Switzerland. This article is an open access article distributed under the terms and conditions of the Creative Commons Attribution (CC BY) license (https://creativecommons.org/licenses/by/4.0/).
Share and Cite
Adam, J.; Singh, M.; Abduvakhidov, A.; Del Sorbo, M.R.; Feoli, C.; Hussain, F.; Kaur, J.; Mirabella, A.; Rossi, M.; Sasso, A.; et al. The Effectiveness of Cyrene as a Solvent in Exfoliating 2D TMDs Nanosheets. Int. J. Mol. Sci. 2023, 24, 10450. https://doi.org/10.3390/ijms241310450
Adam J, Singh M, Abduvakhidov A, Del Sorbo MR, Feoli C, Hussain F, Kaur J, Mirabella A, Rossi M, Sasso A, et al. The Effectiveness of Cyrene as a Solvent in Exfoliating 2D TMDs Nanosheets. International Journal of Molecular Sciences. 2023; 24(13):10450. https://doi.org/10.3390/ijms241310450
Chicago/Turabian StyleAdam, Jaber, Manjot Singh, Avazbek Abduvakhidov, Maria Rosaria Del Sorbo, Chiara Feoli, Fida Hussain, Jasneet Kaur, Antonia Mirabella, Manuela Rossi, Antonio Sasso, and et al. 2023. "The Effectiveness of Cyrene as a Solvent in Exfoliating 2D TMDs Nanosheets" International Journal of Molecular Sciences 24, no. 13: 10450. https://doi.org/10.3390/ijms241310450
APA StyleAdam, J., Singh, M., Abduvakhidov, A., Del Sorbo, M. R., Feoli, C., Hussain, F., Kaur, J., Mirabella, A., Rossi, M., Sasso, A., Valadan, M., Varra, M., Rusciano, G., & Altucci, C. (2023). The Effectiveness of Cyrene as a Solvent in Exfoliating 2D TMDs Nanosheets. International Journal of Molecular Sciences, 24(13), 10450. https://doi.org/10.3390/ijms241310450
 
        




 
       