L-Poly(lactic acid) Production by Microwave Irradiation of Lactic Acid Obtained from Lignocellulosic Wastes
Abstract
1. Introduction
2. Results and Discussion
2.1. Pretreatment of Raw Material
2.2. SSF Process
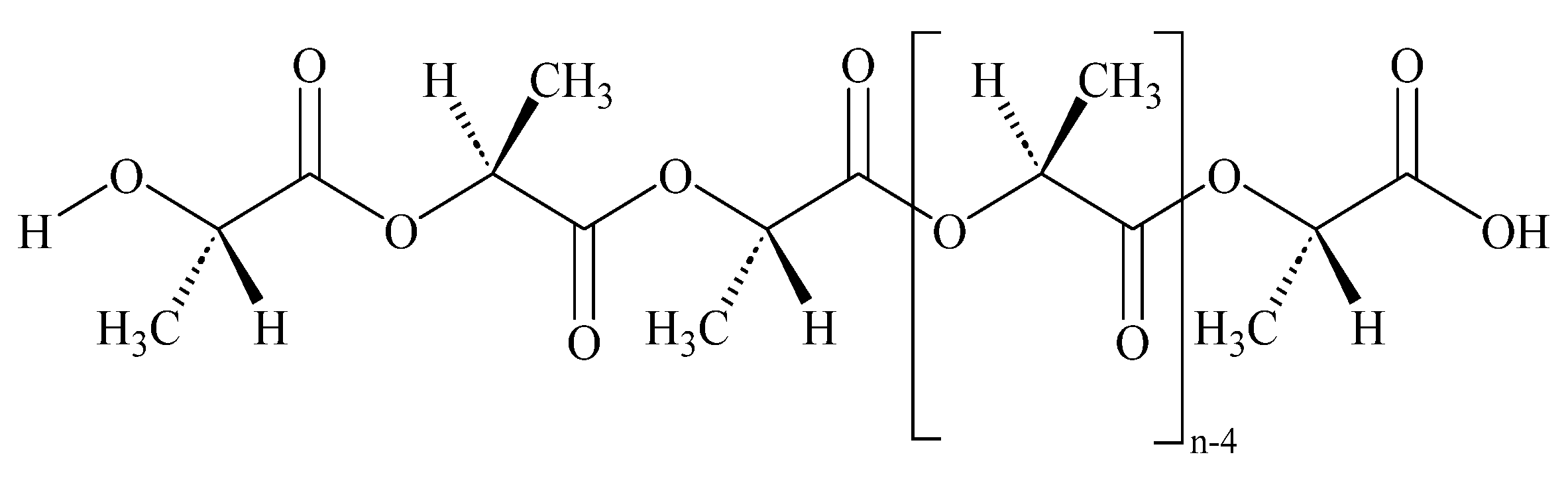
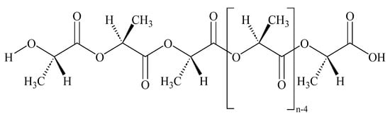
2.3. Microwave Assisted Polymerization of Lactic Acid to PLA
2.4. Structural Characterization of PLA
2.4.1. ESI (+)–HRMS Spectra
2.4.2. Proton Nuclear Magnetic Resonance (1H-RMN)
2.4.3. FTIR Spectrum
2.4.4. TGA Analysis
2.4.5. XRD Analysis
2.4.6. Scanning Electron Microscopy (SEM)
3. Materials and Methods
3.1. Chemicals and Reagents
3.2. Sample Description
3.3. Pressurized Hot Water Pretreatment of Raw Biomass
3.4. Delignification of Pretreated Biomass
3.5. Simultaneous Saccharification and Fermentation Process SSF to Lactic Acid
Preparation of Stock Culture and Cultivation Conditions
3.6. Purification of Lactic Acid
3.7. Synthesis of PLA
3.8. Chemical Characterization
3.8.1. Chemical Characterization of Raw and Pretreated Biomass
3.8.2. Determination of Reducing Sugars
3.8.3. Determination of Lactic Acid Concentration
3.9. Structural Characterization of the Obtained PLA
3.9.1. Electrospray Ionization Mass Spectrometry (ESI–MS), Proton Nuclear Magnetic Resonance (1H-RMN)
3.9.2. TGA/DTG Analysis
3.9.3. X-ray Diffraction (XRD)
3.9.4. FTIR Spectroscopy
3.9.5. SEM Analysis
4. Conclusions
Author Contributions
Funding
Institutional Review Board Statement
Informed Consent Statement
Data Availability Statement
Conflicts of Interest
References
- Mujtaba, M.; Fraceto, L.F.; Fazeli, M.; Mukherjee, S.; Savassa, S.M.; de Medeiros, G.A.; Pereira, A.E.S.; Mancini, S.D.; Lipponen, J.; Vilaplana, F. Lignocellulosic biomass from agricultural waste to the circular economy: A review with focus on biofuels, biocomposites and bioplastics. J. Clean. Prod. 2023, 402, 136815. [Google Scholar] [CrossRef]
- Swetha, T.A.; Bora, A.; Mohanrasu, K.; Balaji, P.; Raja, R.; Ponnuchamy, K.; Muthusamy, G.; Arun, A. A comprehensive review on polylactic acid (PLA)—Synthesis, processing and application in food packaging. Int. J. Biol. Macromol. 2023, 234, 123715. [Google Scholar] [CrossRef] [PubMed]
- Ali, S.S.; Elsamahy, T.; Abdelkarim, E.A.; Al-Tohamy, R.; Kornaros, M.; Ruiz, H.A.; Zhao, T.; Li, F.; Sun, J. Biowastes for biodegradable bioplastics production and end-of-life scenarios in circular bioeconomy and biorefinery concept. Bioresour. Technol. 2022, 363, 127869. [Google Scholar] [CrossRef] [PubMed]
- Esquivel-Hernández, D.A.; García-Pérez, J.S.; López-Pacheco, I.Y.; Hafiz, M.; Iqbal, N.; Parra-Saldívar, R. Resource recovery of lignocellulosic biomass waste into lactic acid-Trends to sustain cleaner production. J. Environ. Manag. 2022, 301, 113925. [Google Scholar] [CrossRef] [PubMed]
- Pleissner, D.; Demichelis, F.; Mariano, S.; Fiore, S.; Gutiérrez, I.M.N.; Schneider, R.; Venus, J. Direct production of lactic acid based on simultaneous saccharification and fermentation of mixed restaurant food waste. J. Clean. Prod. 2017, 143, 615–623. [Google Scholar] [CrossRef]
- Malhotra, M.; Garg, N.; Chand, P.; Jakhete, A. Bio-based bioplastics: Current and future development. In Valorization of Biomass to Bioproducts: Biochemicals and Biomaterials; Gupta, V.K., Ed.; Elsevier: Amsterdam, The Netherlands, 2023; pp. 475–504. [Google Scholar]
- Swetha, T.A.; Ananthi, V.; Bora, A.; Sengottuvelan, N.; Ponnuchamy, K.; Muthusamy, G.; Arun, A. A review on biodegradable polylactic acid (PLA) production from fermentative food waste—Its applications and degradation. Int. J. Biol. Macromol. 2023, 234, 123703. [Google Scholar] [CrossRef]
- Rahman, M.H.; Bhoi, P.R. An overview of non-biodegradable bioplastics. J. Clean. Prod. 2021, 294, 126218. [Google Scholar] [CrossRef]
- Jeremic, S.; Milovanovic, J.; Mojicevic, M.; Bogojevic, S.S.; Nikodinovic-Runic, J. Understanding bioplastic materials—Current state and trends. J. Serb. Chem. Soc. 2020, 12, 1507–1538. [Google Scholar] [CrossRef]
- Tasci, M.E.; Dede, B.; Tabak, E.; Gur, A.; Sulutas, R.B.; Cesur, S.; Iihan, E.; Lin, C.; Paik, P.; Ficai, D.; et al. Production, Optimization and Characterization of Polylactic Acid Microparticles Using Electrospray with Porous Structure. Appl. Sci. 2021, 11, 5090. [Google Scholar] [CrossRef]
- Albuquerque, T.L.; Júnior, J.E.M.; Queiroz, L.P.; Sousa Ricardo, A.D.; Rocha, M.V.P. Polylactic acid production from biotechnological routes: A review. Int. J. Biol. Macromol. 2021, 186, 933–951. [Google Scholar] [CrossRef]
- Khoo, R.Z.; Ismail, H.; Chow, W.S. Thermal and Morphological Properties of Poly (Lactic Acid)/Nanocellulose Nanocomposites. Procedia Chem. 2016, 19, 788–794. [Google Scholar] [CrossRef]
- Wang, Y.; Wu, J.; Lv, M.; Shao, Z.; Hungwe, M.; Wang, J.; Bai, X.; Xie, J.; Wang, Y.; Geng, W. Metabolism characteristics of lactic acid bacteria and the expanding applications in food industry. Front. Bioeng. Biotechnol. 2021, 9, 612285. [Google Scholar] [CrossRef]
- Teneva-Angelova, T.; Hristova, I.; Pavlov, A.; Beshkova, D. Lactic Acid Bacteria—From Nature Through Food to Health. In Advances in Biotechnology for Food Industry; Academic Press: Cambridge, MA, USA, 2018; pp. 91–133. [Google Scholar]
- Mokoena, M. Lactic acid bacteria and their bacteriocins: Classification, biosynthesis and applications against uropathogens: A mini-review. Molecules 2017, 22, 1255. [Google Scholar] [CrossRef]
- Zheng, J.; Wittouck, S.; Salvetti, E.; Franz, C.M.A.P.; Harris, H.M.B.; Mattarelli, P.; O’Toole, P.W.; Pot, B.; Vandamme, P.; Walter, J.; et al. A taxonomic note on the genus Lactobacillus: Description of 23 novel genera, emended description of the genus Lactobacillus Beijerinck 1901, and union of Lactobacillaceae and Leuconostocaceae. Int. J. Syst. Evol. Microbiol. 2020, 70, 2782–2858. [Google Scholar] [CrossRef]
- Karnaouri, A.; Asimakopoulou, G.; Kalogiannis, K.G.; Lappas, A.; Topakas, E. Efficient D-lactic acid production by Lactobacillus delbrueckii subsp. bulgaricus through conversion of organosolv pretreated lignocellulosic biomass. Biomass Bioenergy 2020, 140, 105672. [Google Scholar]
- Hu, Y.; Daoud, W.A.; Fei, B.; Chen, L.; Kwan, T.H.; Lin, C.S.K. Efficient ZnO aqueous nanoparticle catalysed lactide synthesis for poly(lactic acid) fibre production from food waste. J. Clean. Prod. 2017, 165, 157–167. [Google Scholar] [CrossRef]
- Ahmad, A.; Othman, I.; Rambabu, K.; Bharath, G.; Taher, H.; Hasan, S.W.; Banat, F. Polymerization of lactic acid produced from food waste by metal oxide-assisted dark fermentation. Environ. Technol. Innov. 2021, 24, 101862. [Google Scholar] [CrossRef]
- Whulanza, Y.; Rahman, S.F.; Suyono, E.A.; Yohda, M.; Gozan, M. Use of Candida rugosa lipase as a biocatalyst for L-lactide ring-opening polymerization and polylactic acid production. Biocatal. Agric. Biotechnol. 2018, 16, 683–691. [Google Scholar]
- Viamonte-Aristizábal, S.; García-Sancho, A.; Campos, F.M.A.; Martínez-Lao, J.A.; Fernández, I. Synthesis of high molecular weight L-Polylactic acid (PLA) by reactive extrusion at a pilot plant scale: Influence of 1,12-dodecanediol and di(trimethylol propane) as initiators. Eur. Polym. J. 2021, 161, 110818. [Google Scholar] [CrossRef]
- Singla, P.; Mehta, R.; Berek, D.; Upadhyay, S.N. Microwave assisted synthesis of poly(lactic acid) and its characterization using size exclusion chromatography. J. Macromol. Sci. A 2012, 49, 963–970. [Google Scholar] [CrossRef]
- Bakibaev, A.A.; Gazaliev, A.M.; Kabieva, S.K.; Fedorchenko, V.I.; Guba, G.Y.; Smetanina, E.I.; Dolgov, I.R.; Gulyaev, R.O. Polymerization of Lactic Acid Using Microwave and Conventional Heating. Procedia Chem. 2015, 15, 97–102. [Google Scholar] [CrossRef]
- Nwamba, M.C.; Sun, F.; Mukasekuru, M.R.; Song, G.; Harindintwali, J.D.; Boyi, S.A.; Sun, H. Trends and hassles in the microbial production of lactic acid from lignocellulosic biomass. Environ. Technol. Innov. 2021, 21, 101337. [Google Scholar] [CrossRef]
- Senila, L.; Scurtu, D.A.; Kovacs, E.; Levei, E.A.; Cadar, O.; Becze, A.; Varaticeanu, C. High-pressure supercritical CO2 pretreatment of apple orchard waste for carbohydrates production using response surface methodology and method uncertainty evaluation. Molecules 2022, 27, 7783. [Google Scholar] [CrossRef] [PubMed]
- Bernardes, A.; Pellegrini, V.O.A.; Curtolo, F.; Camilo, C.M.; Mello, B.L.; Johns, M.A.; Scott, J.L.; Guimaraes, F.E.C.; Polikarpov, I. Carbohydrate binding modules enhance cellulose enzymatic hydrolysis by increasing access of cellulases to the substrate. Carbohydr. Polym. 2019, 211, 57–68. [Google Scholar] [CrossRef]
- Chen, H.; Huo, W.; Wang, B.; Wang, B.; Wen, H.; Cai, D.; Zhang, C.; Wu, Y.; Qin, P. L-lactic acid production by simultaneous saccharification and fermentation of dilute ethylediamine pre-treated rice straw. Ind. Crop. Prod. 2019, 141, 111749. [Google Scholar] [CrossRef]
- Bahry, H.; Abdalla, R.; Pons, A.; Taha, S.; Vial, C. Optimization of lactic acid production using immobilized Lactobacillus rhamnosus and carob pod waste from the Lebanese food industry. J. Biotechnol. 2019, 306, 81–88. [Google Scholar] [CrossRef]
- Pontes, R.; Romaní, A.; Michelin, M.; Dominques, L.; Teixeira, J.; Nunes, J. L-lactic acid production from multi-supply autohydrolyzed economically unexploited lignocellulosic biomass. Ind. Crop. Prod. 2021, 170, 113775. [Google Scholar] [CrossRef]
- Zhang, B.; Li, J.; Liu, X.; Bao, J. Continuous simultaneous saccharification and co-fermentation (SSCF) for cellulosic L-lactic acid production. Ind. Crop. Prod. 2022, 187, 115527. [Google Scholar] [CrossRef]
- Zhao, T.; Tashiro, Y.; Abden-Rahman, M.A.; Tan, J.; Hanamiya, M.; Sonomoto, K. Efficient open integrated lactic acid fermentation of undetoxified semi-hydrolysate of rice straw using thermophilic Enterococcus faecium QU 50. Ind. Crop. Prod. 2023, 196, 116494. [Google Scholar] [CrossRef]
- Kim, K.W.; Woo, S.I. Synthesis of High-Molecular-Weight Poly(L-lactic acid) by Direct Polycondensation. Macromol. Chem. Phys. 2002, 203, 2245–2250. [Google Scholar] [CrossRef]
- Osaka, I.; Watanabe, M.; Takama, M.; Murakami, M.; Arakawa, R. Characterization of linear and cyclic polylactic acids and their solvolysis products by electrospray ionization mass spectrometry. J. Mass Spectrom. 2006, 41, 1369–1377. [Google Scholar] [CrossRef]
- Suganuma, K.; Asakura, T.; Oshimura, M.; Hirano, T.; Ute, K.; Cheng, H.N. NMR Analysis of Poly(Lactic Acid) via Statistical Models. Polymers 2019, 11, 725. [Google Scholar] [CrossRef]
- Phuphuak, Y.; Chirachanchai, S. Simple preparation of multi-branched poly(L-lactic acid) and its role as nucleating agent for poly(lactic acid). Polymer 2013, 54, 572–582. [Google Scholar] [CrossRef]
- Ainali, N.M.; Tarani, E.; Zamboulis, A.; Črešnar, K.P.; Zemljič, L.F.; Chrissafis, K.; Lambropoulou, D.A.; Bikiaris, D.N. Thermal Stability and Decomposition Mechanism of PLA Nanocomposites with Kraft Lignin and Tannin. Polymer 2021, 13, 2818. [Google Scholar] [CrossRef]
- Kurniawan, T.; Oki, M.; Hakeem, A.S.; Al-Amer, A.M. Mechanochemical route and recrystallization strategy to fabricate mordenite nanoparticles from natural zeolites. Cryst. Growth Des. 2017, 17, 3313–3333. [Google Scholar] [CrossRef]
- Beniwal, P.; Toor, A.P. Advancement in tensile properties of polylactic acid composites reinforced with rice straw fibers. Ind. Crop. Prod. 2023, 192, 116098. [Google Scholar] [CrossRef]
- Kumar, S.; Yadav, N.; Nain, L.; Khare, S.K. A simple downstream processing protocol for the recovery of lactic acid from the fermentation broth. Bioresour. Technol. 2020, 318, 124260. [Google Scholar] [CrossRef]
- Teramoto, Y.; Lee, S.; Endo, T. Pretreatment of woody and herbaceous biomass for enzymatic saccharification using sulphuric acid-free ethanol cooking. Bioresour. Technol. 2008, 99, 8856–8863. [Google Scholar] [CrossRef]
- Miller, G.L. Use of dinitrosalicylic acid reagent for determination of reducing sugar. Anal. Chem. 1959, 31, 426–428. [Google Scholar] [CrossRef]
- Borshchevskaya, L.N.; Gordeeva, T.L.; Kalinina, A.N.; Sineokii, S.P. Spectrophotometric Determination of Lactic Acid. J. Anal. Chem. 2016, 71, 755–758. [Google Scholar] [CrossRef]













| Raw Material | Content | Pretreated Biomass | Content | Delignified Biomass | Content |
|---|---|---|---|---|---|
| Cellulose * | 38.4 ± 1.2 | Cellulose ** | 48.5 ± 1.6 | Cellulose *** | 98.0 ± 1.6 |
| Hemicelluloses * | 26.8 ± 1.0 | Hemicelluloses ** | 8.1 ± 0.04 | Hemicelluloses *** | - |
| Lignin * | 28.6 ± 0.98 | Lignin ** | 35.8 ± 1.5 | Lignin *** | 2.0 ± 0.1 |
| Solid compositions * | 93.9 ± 2.2 | Solid yield ** | 62.2 ± 1.2 | Solid yield *** | ± 2.4 |
| Raw Material | Pretreatment Used | Microorganism | L-Lactic Acid | Reference | ||
|---|---|---|---|---|---|---|
| C (g/L) | Y (g/g) | P (g/L/h) | ||||
| Forest and marginal lands lignocellulosic | Autohydrolysis—226 °C, severity 4.15 | L. rhamnosus | 61.74 | 0.97 | 1.4 | [29] |
| Wheat straw | Sulfuric acid pretreatment | P. acidilactici ZY271 | 107.5 | 0.29 | 2.69 | [30] |
| Rice straw | Sulfuric acid pretreatment 1% | Enterococcus faecium QU 50 | 23.7 | 0.254 | 1.85 | [31] |
| Rice straw | Dilute ethylenediamine | Weizmannia coagulans (formerly Bacillus coagulans) | 92.5 | 0.58 | 2.01 | [27] |
| Plum orchard waste | Pressurized hot water pretreatment | L. rhamnosus ATCC 7469 | 49.1 ± 1.1 | 0.93 ± 0.04 | 2.04 ± 0.18 | This study |
Disclaimer/Publisher’s Note: The statements, opinions and data contained in all publications are solely those of the individual author(s) and contributor(s) and not of MDPI and/or the editor(s). MDPI and/or the editor(s) disclaim responsibility for any injury to people or property resulting from any ideas, methods, instructions or products referred to in the content. |
© 2023 by the authors. Licensee MDPI, Basel, Switzerland. This article is an open access article distributed under the terms and conditions of the Creative Commons Attribution (CC BY) license (https://creativecommons.org/licenses/by/4.0/).
Share and Cite
Senila, L.; Cadar, O.; Kovacs, E.; Gal, E.; Dan, M.; Stupar, Z.; Simedru, D.; Senila, M.; Roman, C. L-Poly(lactic acid) Production by Microwave Irradiation of Lactic Acid Obtained from Lignocellulosic Wastes. Int. J. Mol. Sci. 2023, 24, 9817. https://doi.org/10.3390/ijms24129817
Senila L, Cadar O, Kovacs E, Gal E, Dan M, Stupar Z, Simedru D, Senila M, Roman C. L-Poly(lactic acid) Production by Microwave Irradiation of Lactic Acid Obtained from Lignocellulosic Wastes. International Journal of Molecular Sciences. 2023; 24(12):9817. https://doi.org/10.3390/ijms24129817
Chicago/Turabian StyleSenila, Lacrimioara, Oana Cadar, Eniko Kovacs, Emese Gal, Monica Dan, Zamfira Stupar, Dorina Simedru, Marin Senila, and Cecilia Roman. 2023. "L-Poly(lactic acid) Production by Microwave Irradiation of Lactic Acid Obtained from Lignocellulosic Wastes" International Journal of Molecular Sciences 24, no. 12: 9817. https://doi.org/10.3390/ijms24129817
APA StyleSenila, L., Cadar, O., Kovacs, E., Gal, E., Dan, M., Stupar, Z., Simedru, D., Senila, M., & Roman, C. (2023). L-Poly(lactic acid) Production by Microwave Irradiation of Lactic Acid Obtained from Lignocellulosic Wastes. International Journal of Molecular Sciences, 24(12), 9817. https://doi.org/10.3390/ijms24129817

