Abstract
Root traits and arbuscular mycorrhizal (AM) fungi are important in determining the access of plants to soil resources. However, whether plants with different root systems (i.e., taproot vs. fibrous-root) exhibit different root trait plasticity and mycorrhizal responsiveness under drought remains largely unexplored. Tap-rooted Lespedeza davurica and fibrous-rooted Stipa bungeana were grown in monocultures in sterilized and live soils, followed by a drought treatment. Biomass, root traits, root colonization by AM fungi, and nutrient availability were evaluated. Drought decreased biomass and root diameter but increased the root:shoot ratio (RSR), specific root length (SRL), soil NO3−-N, and available P for the two species. Under control and drought conditions, soil sterilization significantly increased the RSR, SRL, and soil NO3−-N for L. davurica, but this only occurs under drought condition for S. bungeana. Soil sterilization significantly reduced AM fungal root colonization of both species, but drought significantly increased it in live soil. In water-abundant conditions, tap-rooted L. davurica may depend more on AM fungi than fibrous-rooted S. bungeana; however, under drought conditions, AM fungi are of equal importance in favoring both plant species to forage soil resources. These findings provide new insights for understanding the resource utilization strategies under climate change.
1. Introduction
Drought is a serious problem in most parts of the world, which causes strong and widespread impact on plants, threatening biodiversity, productivity, and stability of terrestrial ecosystems [1,2,3,4,5]. This is particularly the case for arid and semiarid grasslands because of their vulnerability to climatic changes [6,7]. Drought effects on plants are closely associated with the response of root traits, including root biomass allocation, specific root length (SRL), root diameter (RD), and root tissue density (RTD) and their function to water limitation, leading to altered plant nutrient uptake [8,9,10]. Thus, characterizing the plasticity of root traits to changing water availability is crucial for understanding the resource utilization strategies and performance of plant species in arid and semiarid grasslands under ongoing climate change.
However, the direction and magnitude of root trait plasticity in response to drought have been under debate [11,12,13,14]. Some studies have emphasized the resource economics hypothesis reporting that plant species exhibit conservative root traits (e.g., larger RD, lower SRL, and lower tissue nitrogen content) in response to drought, ensuring their survival under water-stressed conditions [15,16,17,18]. In contrast, other studies report that plant species would produce thinner roots with high SRL under drought conditions, supporting the functional equilibrium hypothesis that plants would be more acquisitive under conditions of lower resource availability [19,20]. A recent study found that grasses with a fibrous root system showed a more pronounced increase in RD and decrease in SRL than forbs or legumes with taproot systems under drought conditions [12]. Similarly, a study revealed that with the increase in aridity index, the root length in fibrous-rooted C3 species is greatly reduced compared to tap-rooted C3 species [21].
These contrasting patterns in root trait responses to drought potentially relate to the type of root system. There are two types of plant root systems: the taproot system characterized by a taproot and coarse lateral roots and the fibrous root system with numerous fine roots [22,23]. The root system architecture determines the ability of plants to access soil, water, and nutrients and, thus, influences plant growth [24,25,26]. Generally, plant species with a fine root architecture depend more on their root morphology; thus, they have a greater SRL to enhance water and nutrient acquisition from the soil [27,28,29,30,31]. Conversely, plants with a coarse root architecture tend to rely on greater growth benefit from arbuscular mycorrhizal (AM) fungi [32,33,34,35,36] as AM fungal hyphae can bypass water depletion zones around plant roots, allowing efficient exploration and acquisition of soil water and nutrients [37,38,39,40]. Although several studies have reported that plant growth dependence on mycorrhizal fungi is closely associated with their root system architecture [28,33,41,42,43], the extent to which this association is modified by drought remains largely unexplored.
In Northwest China, a vast area is occupied by arid and semiarid grasslands, which are sensitive to increasing anthropogenic disturbance and recurring drought events [6,14]. Lespedeza davurica (Laxm.) Schindl. (Fabaceae) and Stipa bungeana Trin. (Poaceae) are two dominant perennial species with important ecological and economic values in Northwest China [44,45]. They play a critical role in maintaining grassland productivity and reducing soil and water loss due to their high forage production, nutritional value, and well-developed root systems [45,46,47]. Lespedeza davurica is a leguminous species with a taproot system, while S. bungeana is a bunch grass with a fibrous root system [44]. In the present study, we investigated whether L. davurica and S. bungeana with contrasting root system exhibit different root trait plasticity and AM fungal responsiveness as a response to drought. To achieve this, we collected soils from a semiarid grassland of Northwestern China. We planted L. davurica and S. bungeana in monocultures in sterilized and live soils in a glasshouse, followed by a drought treatment. We then evaluated plant performance (i.e., plant biomass), root traits (e.g., root biomass allocation, SRL, RD, and root N and P content), root colonization by AM fungi, and soil nutrient availability. Specifically, we tested the following two hypotheses: (ⅰ) Fibrous-rooted S. bungeana develops more conservative root traits (e.g., thicker RD and lower SRL) than tap-rooted L. davurica as a response to drought; (ⅱ) Tap-rooted L. davurica depend more on AM fungi for water and nutrient acquisition than fibrous-rooted S. bungeana under drought conditions.
2. Results
2.1. Plant Biomass and Biomass Allocation
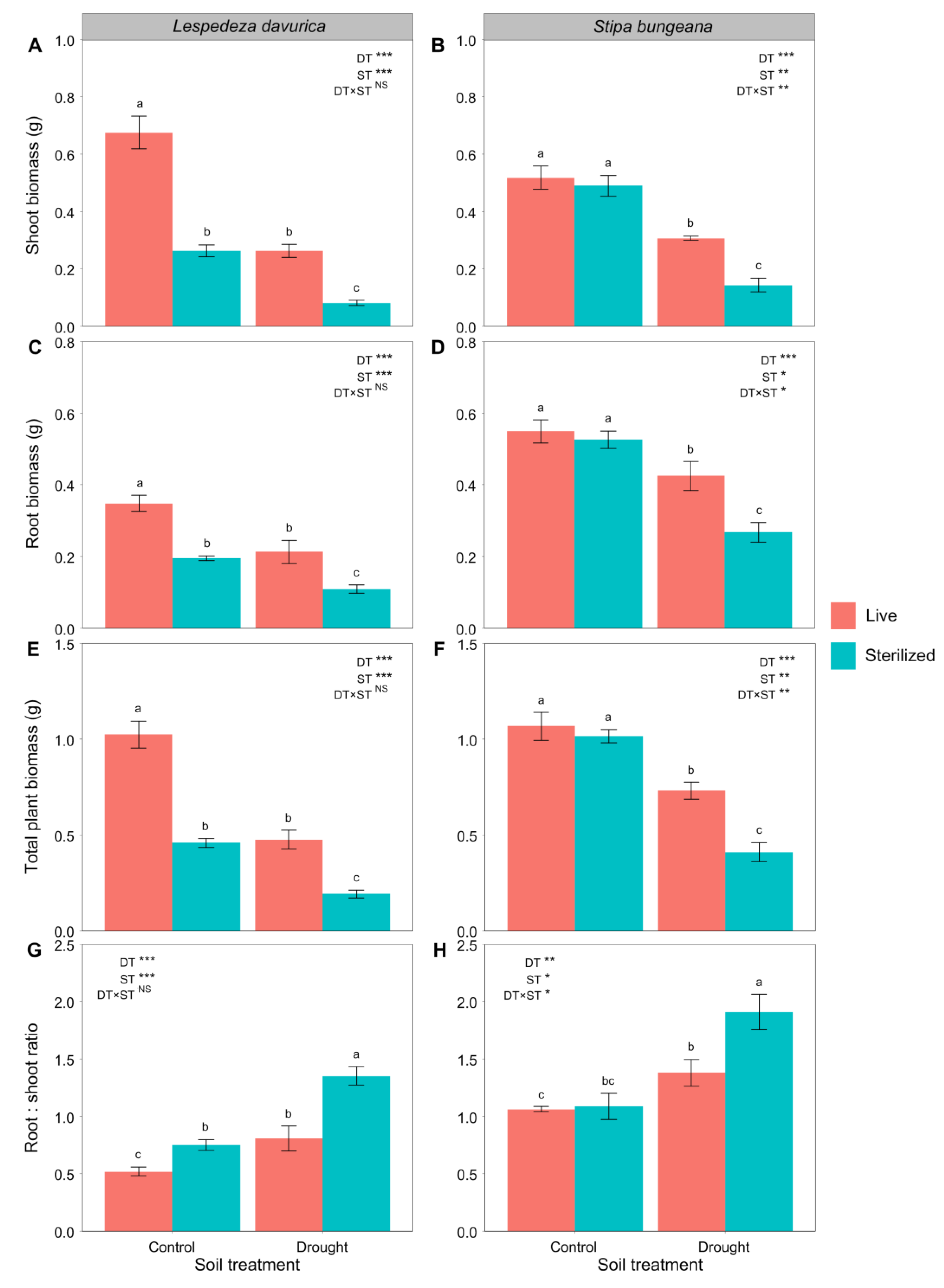
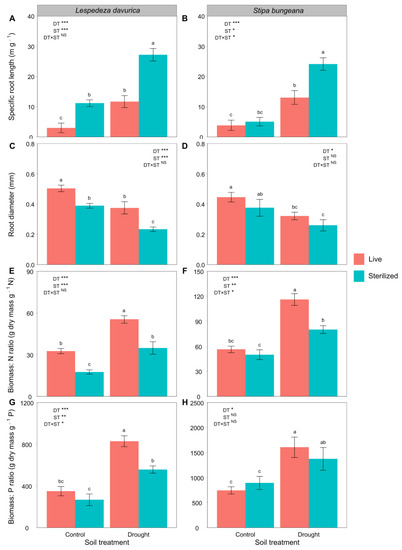
Drought consistently decreased shoot biomass, root biomass, and total biomass but increased the root:shoot ratios (RSR) of L. davurica and S. bungeana (Table 1, Figure 1). However, soil sterilization had contrasting effects on plant performance in the two species under control and drought conditions (Table 1, Figure 1). For L. davurica, soil sterilization significantly decreased shoot biomass, root biomass, and total biomass and increased the RSR under both control and drought conditions (Figure 1A,C,E,G). In contrast, only under drought condition, soil sterilization significantly decreased shoot biomass, root biomass, and total biomass of S. bungeana and increased its RSR (significant drought treatment × soil sterilization treatment interaction; Table 1, Figure 1B,D,F,H).
Table 1.
Results from two-way ANOVA analysis of the effects of drought treatment, soil sterilization, and their interactions on shoot biomass, root biomass, total plant biomass, root:shoot biomass ratio, specific root length, root diameter, biomass:N ratio, biomass:P ratio, soil available P, inorganic N (NO3−-N and NH4+-N), and AM fungal colonization after Lespedeza davurica and Stipa bungeana were grown in monocultures in the glasshouse.
Figure 1.
Shoot biomass, root biomass, total plant biomass, and the root:shoot biomass ratio after Lespedeza davurica (A,C,E,G) and Stipa bungeana (B,D,F,H) were grown in monocultures in live and sterilized soil under control or drought conditions. Results of two-way ANOVA analysis of the effects of drought treatment (DT), soil sterilization (ST), and their interactions are shown. * p < 0.05; ** p < 0.01; *** p < 0.001; NS, non-significant. Bars represent mean ± SE. Within each panel, different lowercase letters indicate significant differences between treatments at p < 0.05 (Tukey’s HSD).
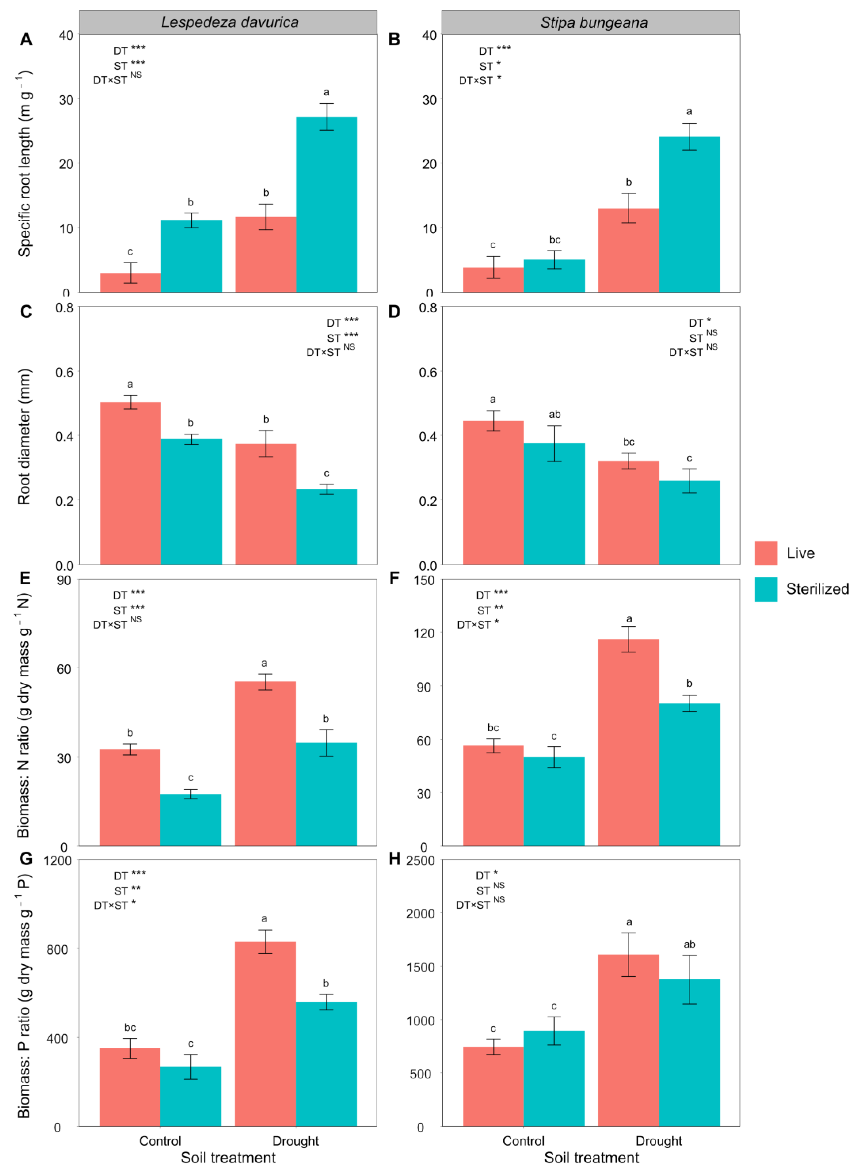
2.2. Root Traits
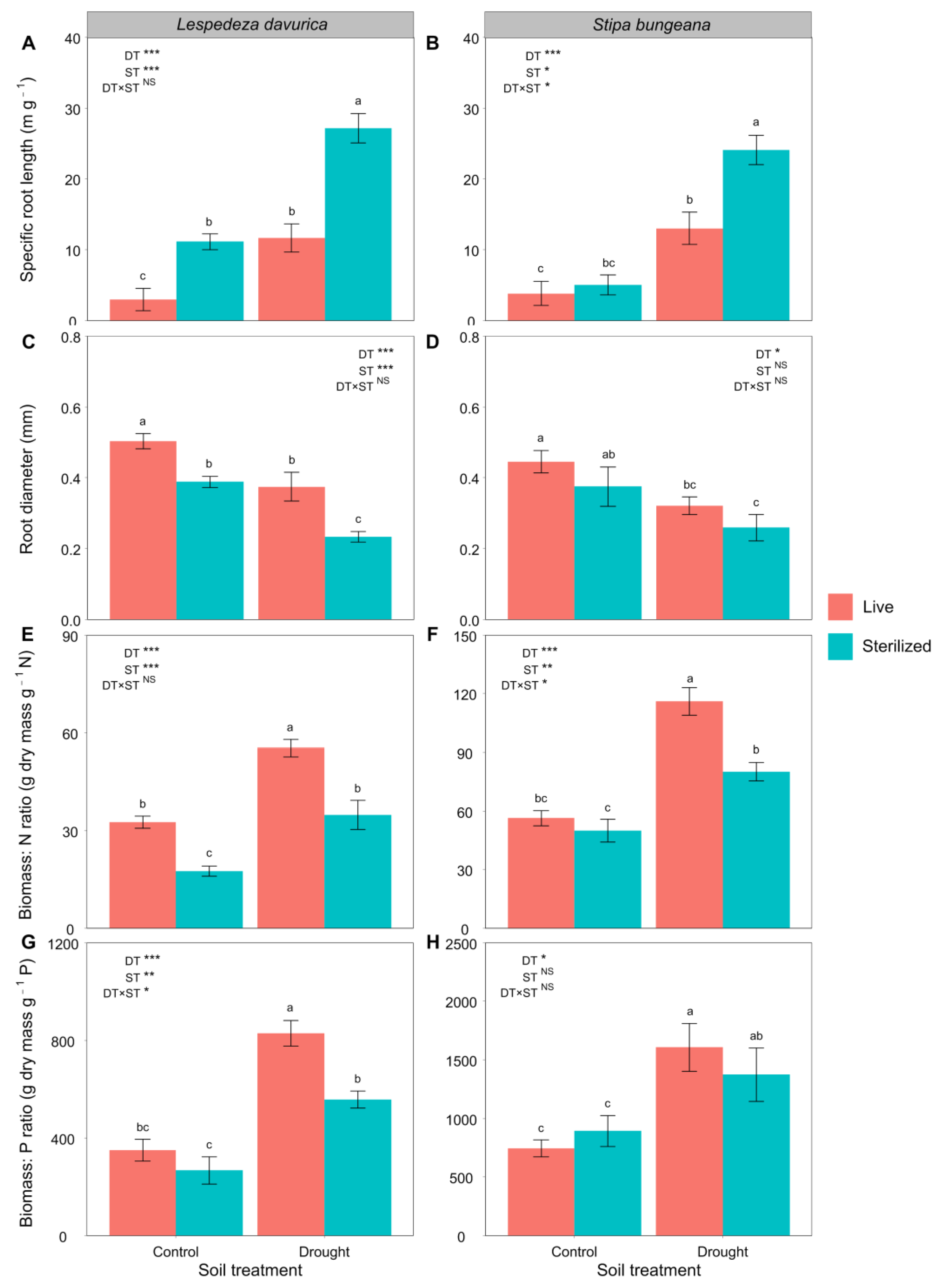
Similarly, drought consistently increased SRL, biomass:N ratio, and biomass:P ratio but decreased RD of L. davurica and S. bungeana (Table 1, Figure 2). Under both control and drought conditions, soil sterilization significantly increased SRL in L. davurica but decreased its RD and biomass:N ratio (Figure 2A,C,E), but only under drought condition, it decreased biomass:P ratio (significant drought treatment × soil sterilization treatment interaction; Table 1, Figure 2G). Under drought conditions, soil sterilization significantly increased the SRL of S. bungeana but decreased its biomass:N ratio (significant drought treatment × soil sterilization treatment interactions; Table 1, Figure 2B,F). Soil sterilization had no significant effect on RD and biomass:P ratio of S. bungeana (Figure 2D,H).
Figure 2.
Specific root length, root diameter, and the biomass:N and biomass:P ratios after Lespedeza davurica (A,C,E,G) and Stipa bungeana (B,D,F,H) were grown in monocultures in live and sterilized soil under control or drought conditions. Results of two-way ANOVA analysis of the effects of drought treatment (DT), soil sterilization (ST), and their interactions are shown. * p < 0.05; ** p < 0.01; *** p < 0.001; NS, non-significant. Bars represent mean ± SE. Within each panel, different lowercase letters indicate significant differences between treatments at p < 0.05 (Tukey’s HSD).
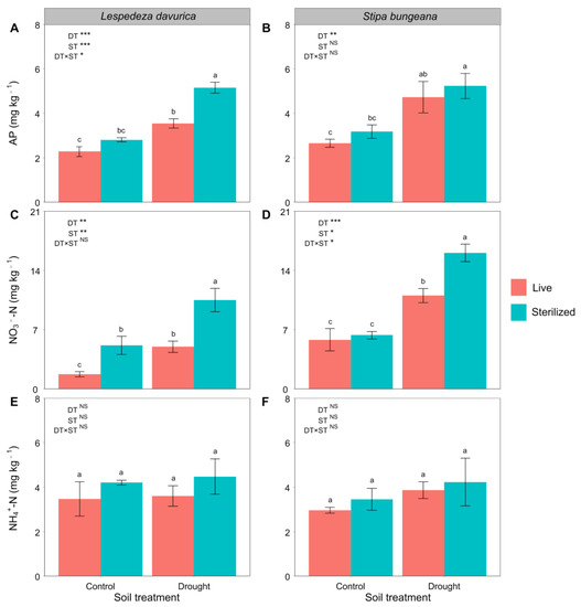
2.3. Soil Nutrients
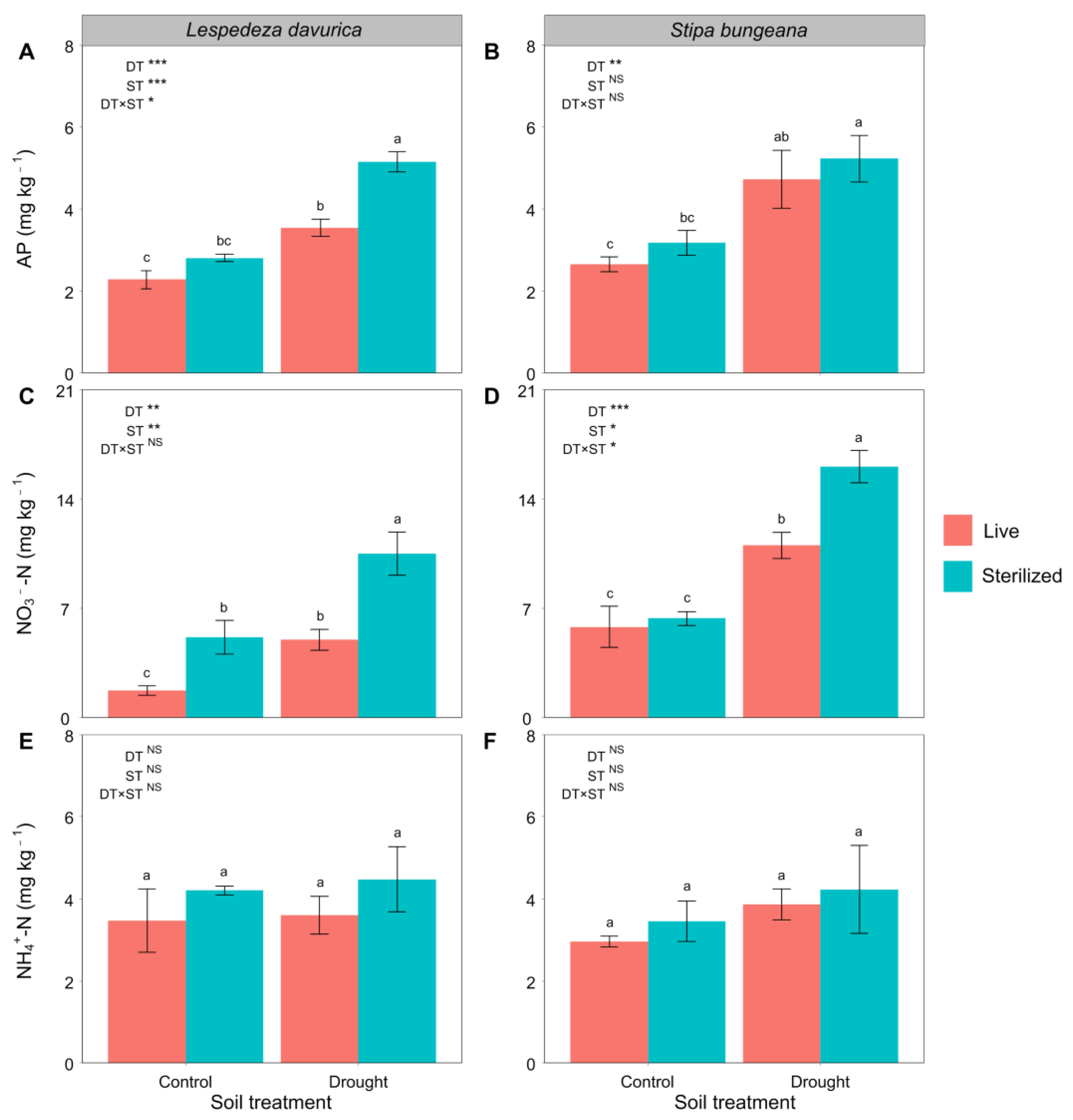
At the end of the glasshouse experiment, drought significantly increased the concentration of available P and NO3−-N in the soils used to grow L. davurica and S. bungeana (Figure 3A–D). Only under drought condition, soil sterilization significantly increased the concentration of available P in the soil inhabited by L. davurica (significant drought treatment × soil sterilization treatment interaction; Table 1, Figure 3A). In contrast, soil sterilization had no significant effects on available P with S. bungeana under drought and control conditions (Figure 3B). Soil sterilization significantly increased the concentration of NO3--N under control and drought conditions for L. davurica (Figure 3C) but only under drought conditions for S. bungeana (significant drought treatment × soil sterilization treatment interaction; Table 1, Figure 3D). Neither drought nor sterilization treatments had significant effects on the concentrations of NH4+-N in the soils used to grow L. davurica and S. bungeana (Figure 3E,F).
Figure 3.
Soil available phosphorus (AP), NO3−-N, and NH4+-N after Lespedeza davurica (A,C,E) and Stipa bungeana (B,D,F) were grown in monocultures in live and sterilized soil under control or drought conditions. Results of two-way ANOVA analysis of the effects of drought treatment (DT), soil sterilization (ST), and their interactions are shown. * p < 0.05; ** p < 0.01; *** p < 0.001; NS, non-significant. Bars represent mean ± SE. Within each panel, different lowercase letters indicate significant differences between treatments at p < 0.05 (Tukey’s HSD).
2.4. AM Fungal Colonization
The AM fungal colonization on the roots of L. davurica and S. bungeana showed a consistent pattern in response to drought and soil sterilization (Table 1, Figure 4). Soil sterilization significantly reduced AM fungal colonization of both plant species (Figure 4A,B). Only in live soil, drought significantly increased AM fungal colonization of L. davurica and S. bungeana roots (significant drought treatment × soil sterilization treatment interaction; Table 1, Figure 4A,B).
Figure 4.
Arbuscular mycorrhizal (AM) fungal colonization in roots after Lespedeza davurica (A) and Stipa bungeana (B) were grown in monocultures in live and sterilized soil under control or drought conditions. Results of two-way ANOVA analysis of the effects of drought treatment (DT), soil sterilization (ST), and their interactions are shown. * p < 0.05; ** p < 0.01; *** p < 0.001. Bars represent mean ± SE. Within each panel, different lowercase letters indicate significant differences between treatments at p < 0.05 (Tukey’s HSD).
3. Discussion
Understanding root trait plasticity responses to changing water availability is important in integrating root function into predictive models of soil resource use and plant performance, particularly under ongoing global climate change. In this study, we compared whether two grassland species with contrasting root system (i.e., taproot vs. fibrous-root) exhibit different root trait plasticity and associated AM fungal colonization as a response to drought. Contrary to our first hypothesis, we found that fibrous-rooted S. bungeana and tap-rooted L. davurica displayed the same pattern in biomass production and root trait variation (i.e., increased SRL and decreased RD) as a response to drought. Drought caused reductions in shoot biomass and root biomass, with more biomass allocation to roots of both species under drought conditions. This trend aligns with many previous studies documenting increased root biomass allocation under water-stressed environments [48,49,50] and is in support of the idea that plants would allocate more biomass to the organs involved in the absorption of the limiting resources [51,52,53,54].
In accordance with several previous studies [49,55], our study showed that both fibrous-rooted S. bungeana and tap-rooted L. davurica showed a significant increase in SRL but a decrease in RD, supporting the functional equilibrium hypothesis that plants are more acquisitive under conditions of lower resource availability [56,57,58]. Due to the limited absorption capacity for water and nutrients, shifts to thinner RD and higher SRL can promote root extension ability in dry soils that increases root absorptive area to maximize soil exploration and acquisition of limiting resources [19,59,60]. However, an overall decrease in SRL and increase in RD have also been reported [14,61], characterizing an alternative strategy in which plants may minimize plant water loss through lower specific hydraulic conductivity and lead to increased root longevity [62,63].
Another important finding was that, for L. davurica, soil sterilization significantly decreased total biomass and increased RSR and SRL under both control and drought conditions. However, only under drought condition, soil sterilization significantly decreased biomass of S. bungeana and increased its RSR and SRL. Using the approach of sterilization allowed for testing the net biotic effects contributing to the plant performance. Furthermore, by recording AM fungal colonization of the roots, we could detect the role that AM fungi played in the nutrient absorption and, thus, plant performance. We found that sterilization significantly decreased biomass of L. davurica and S. bungeana, which paralleled the responses of AM fungal colonization to sterilization. Arbuscular mycorrhizal fungi are increasingly considered extensions of roots, playing a vital role in helping plants forage soil resources [36,64,65,66,67]. The reduction in AM fungal colonization may decrease nutrient transportation in the soil [38,68], resulting in an increase in the concentrations of inorganic N (particularly NO3−-N) and available P in sterilized soil as observed in our study. However, in water-abundant conditions, biomass production and root trait plasticity of fibrous-rooted S. bungeana were similar between sterilized and live soil, which contrasts with the response of AM fungal colonization to sterilization. In line with many previous studies, we observed AM fungal colonization on roots of L. davurica and S. bungeana to significantly increase in response to drought. In addition, the fibrous-rooted S. bungeana and tap-rooted L. davurica had higher biomass:N and biomass:P ratios under drought conditions, suggesting the increased plant N and P use efficiency under drought conditions. These findings suggest that, in water-abundant conditions, tap-rooted L. davurica may depend more on AM fungi than fibrous-rooted S. bungeana; however, under drought conditions, AM fungi are of equal importance in favoring both plant species to forage soil resources independent of the variation in root system, therefore, partly supporting our second hypothesis.
Interestingly, we found that both fibrous-rooted S. bungeana and tap-rooted L. davurica not only became more acquisitive (higher SRL and lower RD) but also had higher AM fungal colonization under drought conditions, implying a complementarity in water and nutrients foraging between the roots and the associated AM fungi [42,69,70,71,72]. This complementarity could be a bet-hedging strategy that plants use to forage soil resources under stressed environments. Although thinner RD and higher SRL can promote root extension ability in dry soils, investment in AM fungi may be more efficient in foraging the limiting resources [37,73,74,75,76]. This is because AM fungi can either act as hollow tubes that transport water directly from soil pores to the root tissues [77,78] or alter plant water balance indirectly by modifying the hormonal profiles or improve plant nutritional status [37,79,80]. Our findings suggest that roots and AM fungi are complementary in foraging sources and, thus, provide new insights into water and nutrient absorption for fibrous-rooted species that may shift from root-driven under water-abundant conditions to mycorrhizae-driven under water-stressed environments.
While a consistent variation towards resource-acquisitive root traits (increased RSR and SRL and decreased RD) were observed in the fibrous-rooted S. bungeana and tap-rooted L. davurica as a response to drought, previous studies also reported contrasting findings where drought decreased SRL and increased RD [14,61]. Therefore, a wider spectrum of plant species, including woody and herbaceous species, would be needed to test the generality of the pattern across the arid and semiarid areas. In addition, the whole-soil inoculum used in our study contained complex communities of soil organisms. Consequently, the net positive effects of soil sterilization on plant performance are not limited to only AM fungi but can be attributed to interactions between plants and many other soil organisms. For instance, dark septate endophytes (DSE) might play a key role in the two species under drought conditions. The DSE might serve a similar role as mycorrhizal fungi favoring plant performance with more colonization in water-stressed and nutrient-limited environments, such as arid and semiarid areas [81,82,83]. Moreover, plant growth-promoting rhizobacteria (PGPR) are natural rhizosphere-inhabiting bacteria [84,85,86], which also facilitates plant growth and development by contributing to enhanced nutrient acquisition by host plants, thus, protecting against phytopathogenic microbes and promoting resistance to various abiotic stresses [87,88]. The effects of PGPR on plant growth can be exerted by mechanisms including secretion of plant growth-regulating substances, such as auxins, cytokinins, and bacterial volatiles [89,90,91,92]. Furthermore, drought is expected to alter plant physiology and metabolic pathways [93], and plants are likely to alter the level of their hormones to adapt to resource-limited environments. For instance, salicylic acid and indole-3-acetic acid interact with jasmonic acid, thus, regulating the adaptation of plants to their surroundings [94]. Therefore, the physiological regulatory mechanisms should be considered when detecting the roles of beneficial microbes in facilitating plant growth under drought stress.
4. Materials and Methods
4.1. Study Site
The study site was located at the Grassland Research Station of Lanzhou University (LZUGRS), Huan County, Gansu Province, Northwestern China (37.12° N, 106.82° E, 1650 m a.s.l.). The area has a typical semiarid monsoon climate, with a mean annual temperature and rainfall of approximately 8.5 °C and 360 mm, respectively, and more than 60–80% of which occurs from June to September. It has cambisol [95] soil type dominated by forb Artemisia capillaris Thunberg (Asteraceae), semi-shrub Lespedeza davurica (Laxm.) Schindl (Fabaceae), and bunch grass Stipa bungeana Trin (Poaceae) [44,96].
4.2. Study Plants and Seed Collection
We selected two dominant perennial plant species (L. davurica and S. bungeana) with contrasting root system architectures as the study plants (for basic parameters of the two species see Table 2). Lespedeza davurica is a leguminous species with a taproot system consisting of a taproot and coarse lateral roots. The taproot is developed first from the radical becoming the most prominent root, followed by the emergence of many smaller roots branching from the taproot. Stipa bungeana is a bunch grass with a fibrous root system and numerous same-sized fine roots developing from the radical [44]. The seeds of the two species were harvested from the same population growing on the grasslands 1–2 km from LZUGRS in 2018. The harvested seeds were air-dried, cleaned, and stored at 4 °C in the laboratory.
Table 2.
The basic parameters of Lespedeza davurica and Stipa bungeana used in the study.
4.3. Soil Sampling and Processing
Soil samples were collected along a Z-shaped transect with about 10 m distance between adjacent sampling positions using a shovel from the grasslands 1–2 km from LZUGRS on 8 May 2019. All soil samples were sieved through a 5 mm mesh to remove large roots and plant residues and, then, were bulked and homogenized to create a composite sample. The homogenized soil was divided into two parts. A small fraction of the soil was used as a live soil inoculum. The remaining soil was sterilized using γ-radiation (≥25.0 kGy) at Tianchen Radiation Co., Ltd., Lanzhou, China, and stored at 4 °C, awaiting use as the background soil in the glasshouse experiment.
4.4. Glasshouse Experiment
To test whether tap-rooted L. davurica and fibrous-rooted S. bungeana exhibit different root trait plasticity and AM fungal responsiveness as a response to drought, we grew them in monocultures in plastic pots (15 cm diameter × 20 cm deep) containing live or sterilized soils, followed by a drought treatment. There were eight treatments (2 plant species × 2 soil sterilization treatments × 2 drought treatments) (Figure 5). Each treatment was replicated 15 times, resulting in 120 pots. To minimize the possible side effects of nutrient release caused by sterilization, a small amount of live and sterilized soil (10% mass) was added to the background soil to obtain the ‘live’ or ‘sterilized’ soils, respectively [97]. Before the glasshouse experiment, the chemical properties of the ‘sterilized’ and ‘live’ soil were analyzed. The concentrations of soil organic C, total N, total P, available P, and inorganic N (NO3−-N and NH4+-N) did not differ significantly between sterilized and live soil (methods see below; results see Table 3), indicating that the approach of adding a small amount of live soil did not alter the nutrient availability of the treatment-specific sterilized background soil.
Figure 5.
Schematic depiction of the experimental design. Tap-rooted Lespedeza davurica and fibrous-rooted Stipa bungeana from a semiarid grassland in Northwest China were grown in monocultures in live and sterilized soils in a glasshouse, followed by a drought treatment. The live and sterilized soils were obtained by inoculating a small amount of live or sterilized soil to sterilized background soil in a mass ratio of 1:10. After 10 weeks, half of the pots of each species were well-watered and half were subjected to drought conditions for 6 weeks.
Table 3.
The concentrations of soil organic C, total N, total P, available P, and inorganic N (NO3−-N and NH4+-N) of soil followed by sterilized and unsterilized treatment before growing plants in the glasshouse experiment.
Seeds of L. davurica and S. bungeana were surface-sterilized using 70% ethanol for 1 min and 1% NaClO for 2 min, followed by rinsing three times with sterile distilled water. The sterile seeds were germinated in sterilized vermiculite at room temperature in the laboratory. On 10 June 2019, one-week-old seedlings (five per pot) were transplanted into plastic pots containing live or sterilized soils in monocultures. The bottom of each pot was filled with 200 g of sterilized sand, followed by 1500 g of sterilized background soil mixed with either 150 g of sterilized or live soil inoculum, and topped off with 200 g of sterilized sand. The pots were randomly arranged in a glasshouse maintained at 60% relative humidity, 16/8 h day/night cycle, and 21/16 °C day/night temperature. Seedlings that died during the first week after transplanting were replaced immediately. Pots were re-arranged weekly to avoid possible positioning effects. Seedlings were watered as necessary with tap water for ten weeks before the onset of the drought treatment. On 22 August 2019, we started drought treatment: half the pots were well-watered every other day with 400 g water, maintaining them at 60% water-holding capacity (WHC), and the other half were watered with 130 g water by maintaining them at 20% WHC and served as drought condition for six weeks. On 3 October 2019, all the plants were harvested, and soil samples were collected and stored at 4 °C for nutrient analyses. A subset of the roots was weighed and stored in 50% ethanol at 4 °C for the assessment of AM fungal colonization.
4.5. Plant Measurements
Aboveground biomass on each pot was clipped at the soil surface, dried at 70 °C for 48 h, and weighed. Roots were carefully removed from the soil and washed. The root surface area, volume, length, and diameter were then determined using the WinRHIZO Pro 2019a root analysis software (Regent Instruments, Sainte Foy, QC, Canada). The rest of the roots were dried at 70 °C for 48 h and weighed. The dried shoots and roots were ground using the Retsch Ball Mill MM 400 (Retsch, Dusseldorf, Germany), and the N and P concentrations in the shoots and roots were determined using a Smartchem 450 Discrete Auto Analyzer (AMS, Rome, Italy). Next, the dry root-to-shoot biomass ratios (RSR) were calculated. The SRL was determined as the root length to root dry mass ratio [98]. The whole-plant biomass to N content (g dry mass g−1 N) and P content (g dry mass g−1 P) ratios were assessed as a proxy of N and P use efficiency, respectively [99].
4.6. Soil Measurements
The soil organic C (SOC), total N, total P, available P (AP), and inorganic N (NO3−-N and NH4+-N) concentrations in sterilized and live soil samples were analyzed before and after the greenhouse experiment. The soil total N and total P concentrations were determined by adding 1.65 g of catalyst (K2SO4 vs. CuSO4 at a ratio of 10:1) and 5 mL of concentrated sulfuric acid to a 0.5 g soil sample, then maintaining it for 1.5 h at 420 °C for digestion, and finally analyzed with a Smartchem 450 Discrete Auto Analyzer (AMS, Rome, Italy). The SOC was determined using the Walkley–Black method [100]. The AP was determined using the 0.5 M NaHCO3 extraction-molybdenum-antimony anti-spectrophotometric method [101]. Inorganic N (NO3−-N and NH4+-N) was extracted from a 5 g soil subsample using 25 mL of 1 M KCl. The extracts were passed through a Whatman No. 1 filter paper, then subjected to a colorimetric analysis with a Smartchem 450 Discrete Auto Analyzer (AMS, Rome, Italy).
4.7. Arbuscular Mycorrhizal Fungi in Roots
Root samples were cleared in 10% potassium hydroxide for 30 min at 90 °C and stained with acidic glycerol solution containing 0.05% trypan blue [102]. The AM fungi were distinguished as arbuscules, vesicles, and hyphae and the AM fungal colonization was determined using the gridline intersect method at 200× magnification [103].
4.8. Statistical Analyses
All statistical analyses were performed using R v. 3.5.1 [104]. All plant and soil data were analyzed using two-way ANOVA, with soil sterilization, drought treatment, and their interactions as fixed factors. Whenever significant interactions were detected, post hoc tests were performed using the ‘multcomp’ package in R with Tukey HSD adjustment, which accounts for multiple comparisons. Model assumptions were checked using the Shapiro–Wilk test of normality and the Levene’s test of heterogeneity of variance. All data were transformed as necessary to meet the model assumptions (see Table 1 for details).
5. Conclusions
Our results reveal that fibrous-rooted S. bungeana and tap-rooted L. davurica have the same root trait variation pattern characterized by increased RSR and SRL and decreased RD under drought conditions. However, for L. davurica, soil sterilization increased RSR and SRL under both control and drought conditions, whereas only under drought condition, soil sterilization increased RSR and SRL of S. bungeana. Sterilization significantly decreased biomass of L. davurica and S. bungeana, which paralleled the responses of AM fungal colonization to sterilization. Our findings suggest that, in water-abundant conditions, tap-rooted L. davurica may depend more on AM fungi than fibrous-rooted S. bungeana; however, under drought conditions, AM fungi are of equal importance in favoring both plant species to forage soil resources. Our study indicates that roots and AM fungi are complementary in foraging sources under water-stressed environments. These findings provide important information for understanding the resource utilization strategies and performance of plant species in arid and semiarid grasslands in the ongoing climate change.
Author Contributions
D.D., Z.N. and T.C. conceived the project and designed the experiment; D.D., X.F., N.W., Z.T., X.D. and H.L. performed the experiment and collected and analyzed the data; D.D. and T.C. wrote the manuscript. All authors contributed critically to the drafts and gave final approval for publication. All authors have read and agreed to the published version of the manuscript.
Funding
This research was financially supported by the Basic Research Innovation-Team Program of Qinghai Provincial Science Foundation (2021-ZJ-901), the National Natural Science Foundation of China (31901378, 32192462), National Key R & D Program of China (2022YFD1401101), and the Start-up Funds of Introduced Talent in Lanzhou University (561119207).
Institutional Review Board Statement
Not applicable.
Informed Consent Statement
Not applicable.
Data Availability Statement
All the data used in the study are within the manuscript.
Conflicts of Interest
The authors declare that they have no conflict of interest or personal relationships that could have appeared to influence the work reported in this paper.
References
- Bai, W.M.; Wan, S.Q.; Niu, S.L.; Liu, W.X.; Chen, Q.S.; Wang, Q.B.; Zhang, W.H.; Han, X.G.; Li, L.H. Increased temperature and precipitation interact to affect root production, mortality, and turnover in a temperate steppe: Implications for ecosystem C cycling. Glob. Chang. Biol. 2010, 16, 1306–1316. [Google Scholar] [CrossRef]
- Batbaatar, A.; Carlyle, C.N.; Bork, E.W.; Chang, S.X.; Cahill, J.F. Multi-year drought alters plant species composition more than productivity across northern temperate grasslands. J. Ecol. 2022, 110, 197–209. [Google Scholar] [CrossRef]
- Ciais, P.; Reichstein, M.; Viovy, N.; Granier, A.; Ogee, J.; Allard, V.; Aubinet, M.; Buchmann, N.; Bernhofer, C.; Carrara, A. Europe-wide reduction in primary productivity caused by the heat and drought in 2003. Nature 2005, 437, 529–533. [Google Scholar] [CrossRef]
- Dudenhoffer, J.H.; Luecke, N.C.; Crawford, K.M. Changes in precipitation patterns can destabilize plant species coexistence via changes in plant-soil feedback. Nat. Ecol. Evol. 2022, 6, 546–554. [Google Scholar] [CrossRef]
- Yang, H.J.; Li, Y.; Wu, M.Y.; Zhang, Z.; Li, L.H.; Wan, S.Q. Plant community responses to nitrogen addition and increased precipitation: The importance of water availability and species traits. Glob. Chang. Biol. 2011, 17, 2936–2944. [Google Scholar] [CrossRef]
- Christensen, L.; Coughenour, M.B.; Ellis, J.E.; Chen, Z.Z. Vulnerability of the Asian typical steppe to grazing and climate change. Clim. Chang. 2004, 63, 351–368. [Google Scholar] [CrossRef]
- Sasaki, T.; Okayasu, T.; Jamsran, U.; Takeuchi, K. Threshold changes in vegetation along a grazing gradient in Mongolian rangelands. J. Ecol. 2008, 96, 145–154. [Google Scholar] [CrossRef]
- Brunner, I.; Godbold, D.L. Tree roots in a changing world. J. For. Res. 2007, 12, 78–82. [Google Scholar] [CrossRef]
- Chaves, M.M.; Pereira, J.S.; Maroco, J.; Rodrigues, M.L.; Ricardo, C.P.P.; Osório, M.L.; Carvalho, I.; Faria, T.; Pinheiro, C. How plants cope with water stress in the field? Photosynthesis and Growth. Ann. Bot. 2002, 89, 907–916. [Google Scholar] [CrossRef] [PubMed]
- Yang, Y.; Wang, G.X.; Yang, L.D.; Guo, J.Y. Effects of drought and warming on biomass, nutrient allocation, and oxidative stress in Abies fabri in eastern Tibetan Plateau. J. Plant Growth Regul. 2013, 32, 298–306. [Google Scholar] [CrossRef]
- Freschet, G.T.; Violle, C.; Bourget, M.Y.; Scherer-Lorenzen, M.; Fort, F. Allocation, morphology, physiology, architecture: The multiple facets of plant above- and below-ground responses to resource stress. New Phytol. 2018, 219, 1338–1352. [Google Scholar] [CrossRef]
- Lozano, Y.M.; Aguilar-Trigueros, C.A.; Flaig, I.C.; Rillig, M.C. Root trait responses to drought are more heterogeneous than leaf trait responses. Funct. Ecol. 2020, 34, 2224–2235. [Google Scholar] [CrossRef]
- Reich, P.B. Do plants increase resource acquisition potential in the face of resource shortfalls, and if so, how? New Phytol. 2018, 219, 1142–1144. [Google Scholar] [CrossRef]
- Zhou, M.; Wang, J.; Bai, W.M.; Zhang, Y.S.; Zhang, W.H. The response of root traits to precipitation change of herbaceous species in temperate steppes. Funct. Ecol. 2019, 33, 2030–2041. [Google Scholar] [CrossRef]
- Larson, J.E.; Funk, J.L. Seedling root responses to soil moisture and the identification of a belowground trait spectrum across three growth forms. New Phytol. 2016, 210, 827–838. [Google Scholar] [CrossRef]
- Reich, P.B. The world-wide ‘fast-slow’ plant economics spectrum: A traits manifesto. J. Ecol. 2014, 102, 275–301. [Google Scholar] [CrossRef]
- Weemstra, M.; Mommer, L.; Visser, E.J.W.; van Ruijven, J.; Kuyper, T.W.; Mohren, G.M.J.; Sterck, F.J. Towards a multidimensional root trait framework: A tree root review. New Phytol. 2016, 211, 1159–1169. [Google Scholar] [CrossRef]
- Wright, I.J.; Westoby, M. Differences in seedling growth behaviour among species: Trait correlations across species, and trait shifts along nutrient compared to rainfall gradients. J. Ecol. 1999, 87, 85–97. [Google Scholar] [CrossRef]
- Comas, L.H.; Becker, S.R.; Cruz, V.V.; Byrne, P.F.; Dierig, D.A. Root traits contributing to plant productivity under drought. Front. Plant Sci. 2013, 4, 442. [Google Scholar] [CrossRef] [PubMed]
- Debinski, D.M.; Wickham, H.; Kindscher, K.; Caruthers, J.C.; Germino, M. Montane meadow change during drought varies with background hydrologic regime and plant functional group. Ecology 2010, 91, 1672–1681. [Google Scholar] [CrossRef]
- Jiang, L.B.; Liu, H.Y.; Peng, Z.Y.; Dai, J.Y.; Zhao, F.J.; Chen, Z.T. Root system plays an important role in responses of plant to drought in the steppe of China. Land Degrad. Dev. 2021, 32, 3498–3506. [Google Scholar] [CrossRef]
- Torrey, J.G.; Clarkson, D.T. The Development and Function of Roots; Academic Press, Inc.: New York, NY, USA, 1975. [Google Scholar]
- Ye, C. Botany; Higher Education Press: Beijing, China, 2007; p. 89. [Google Scholar]
- Breitschwerdt, E.; Jandt, U.; Bruelheide, H. Trait-performance relationships of grassland plant species differ between common garden and field conditions. Ecol. Evol. 2019, 9, 1691–1701. [Google Scholar] [CrossRef] [PubMed]
- Diaz, S.; Hodgson, J.G.; Thompson, K.; Cabido, M.; Jhc, C.; Jalili, A. The plant traits that drive ecosystems: Evidence from three continents. J. Veg. Sci. 2004, 15, 295–304. [Google Scholar] [CrossRef]
- Lynch, J. Root Architecture and Plant Productivity. Plant Physiol. 1995, 109, 7–13. [Google Scholar] [CrossRef] [PubMed]
- Fry, E.L.; Evans, A.L.; Sturrock, C.J.; Bullock, J.M.; Bardgett, R.D. Root architecture governs plasticity in response to drought. Plant Soil 2018, 433, 189–200. [Google Scholar] [CrossRef] [PubMed]
- Hetrick, D.; Kitt, D.G.; Wilson, G.T. Mycorrhizal dependence and growth habit of warm-season and cool-season tallgrass prairie plants. Can. J. Bot. 1988, 66, 1376–1380. [Google Scholar] [CrossRef]
- Lai, W.L.; Wang, S.Q.; Peng, C.L.; Chen, Z.H. Root features related to plant growth and nutrient removal of 35 wetland plants. Water Res. 2011, 45, 3941–3950. [Google Scholar] [PubMed]
- McCormack, M.L.; Kaproth, M.A.; Cavender-Bares, J.; Carlson, E.; Hipp, A.L.; Han, Y.; Kennedy, P.G. Climate and phylogenetic history structure morphological and architectural trait variation among fine-root orders. New Phytol. 2020, 228, 1824–1834. [Google Scholar] [CrossRef] [PubMed]
- Zadworny, M.; Eissenstat, D.M. Contrasting the morphology, anatomy and fungal colonization of new pioneer and fibrous roots. New Phytol. 2011, 190, 213–221. [Google Scholar] [CrossRef]
- Hetrick, B. Mycorrhizas and root architecture. Cell. Mol. Life Sci. 1991, 47, 355–362. [Google Scholar] [CrossRef]
- Newsham, K.K.; Fitter, A.H.; Watkinson, A.R. Multi-functionality and biodiversity in arbuscular mycorrhizas. Trends Ecol. Evol. 1995, 10, 407–411. [Google Scholar] [CrossRef] [PubMed]
- Smith, S.E.; Gianinazzi-Pearson, V. Physiological interactions between symbionts in vesicular-arbuscular mycorrhizal plants. Annu. Rev. Plant Physiol. Plant Mol. Biol. 1988, 39, 221–244. [Google Scholar] [CrossRef]
- Baylis, G. The magnolioid mycorrhiza and mycotrophy in root systems derived from it. In Endomycorrhizas; Sanders, F.E., Mosse, B., Tinker, P.B., Eds.; Academic Press: New York, NY, USA, 1975; pp. 373–389. [Google Scholar]
- Smith SE, R.D. Mycorrhizal Symbiosis; Academic Press Inc.: San Diego, CA, USA, 2008. [Google Scholar]
- Mariotte, P.; Canarini, A.; Dijkstra, F.A. Stoichiometric N:P flexibility and mycorrhizal symbiosis favour plant resistance against drought. J. Ecol. 2017, 105, 958–967. [Google Scholar] [CrossRef]
- Remke, M.J.; Johnson, N.C.; Wright, J.; Williamson, M.; Bowker, M.A. Sympatric pairings of dryland grass populations, mycorrhizal fungi and associated soil biota enhance mutualism and ameliorate drought stress. J. Ecol. 2021, 109, 1210–1223. [Google Scholar] [CrossRef]
- Smith, S.E.; Smith, F.A. Roles of arbuscular mycorrhizas in plant nutrition and growth: New paradigms from cellular to ecosystem scales. Annu. Rev. Plant Biol. 2011, 62, 227–250. [Google Scholar] [CrossRef] [PubMed]
- Singh, D.; Mathimaran, N.; Boller, T.; Kahmen, A. Bioirrigation: A common mycorrhizal network facilitates the water transfer from deep-rooted pigeon pea to shallow-rooted finger millet under drought. Plant Soil 2019, 440, 277–292. [Google Scholar] [CrossRef]
- Sikes, B.A.; Cottenie, K.; Klironomos, J.N. Plant and fungal identity determines pathogen protection of plant roots by arbuscular mycorrhizas. J. Ecol. 2009, 97, 1274–1280. [Google Scholar] [CrossRef]
- Wilson, G.; Hartnett, D.C. Interspecific variation in plant responses to mycorrhizal colonization in tallgrass prairie. Am. J. Bot. 1998, 85, 1732–1738. [Google Scholar] [CrossRef]
- Yang, H.S.; Zhang, Q.; Dai, Y.J.; Liu, Q.; Tang, J.J.; Bian, X.M.; Chen, X. Effects of arbuscular mycorrhizal fungi on plant growth depend on root system: A meta-analysis. Plant Soil 2015, 389, 361–374. [Google Scholar] [CrossRef]
- Chen, T.; Christensen, M.; Nan, Z.B.; Hou, F.J. The effects of different intensities of long-term grazing on the direction and strength of plant-soil feedback in a semiarid grassland of Northwest China. Plant Soil 2017, 413, 303–317. [Google Scholar] [CrossRef]
- Cheng, J.; Cheng, J.; Hu, T. Distribution responses of Lespedeza davurica community on Loess Plateau to climate change. Chin. J. Appl. Ecol. 2011, 22, 35–40. [Google Scholar]
- Zhang, J. A study on relations of vegetation, climate and soils in Shanxi province, China. Plant Ecol. 2002, 162, 23–31. [Google Scholar] [CrossRef]
- Zhao, X.; Hou, Z.B.; Dong, K.H.; Yang, W.D.; Zhu, H.S.; Liang, P.F. Effects of drought stress and rewatering on enzymatic defensive system in Lespedeza davurica (Laxm.) Schindl. Acta Agrestia Sin. 2010, 18, 199–204,211. [Google Scholar]
- Bell, D.L.; Sultan, S.E. Dynamic phenotypic plasticity for root growth in Polygonum: A comparative study. Am. J. Bot. 1999, 86, 807–819. [Google Scholar] [CrossRef] [PubMed]
- Padilla, F.M.; Miranda, J.D.; Jorquera, M.J.; Pugnaire, F.I. Variability in amount and frequency of water supply affects roots but not growth of arid shrubs. Plant Ecol. 2009, 204, 261–270. [Google Scholar] [CrossRef]
- Williams, D.G.; Black, R.A. Drought response of a native and introduced Hawaiian grass. Oecologia 1994, 97, 512–519. [Google Scholar] [CrossRef]
- Chapin, I. The Mineral Nutrition of Wild Plants. Annu. Rev. Ecol. Syst. 1980, 11, 233–260. [Google Scholar] [CrossRef]
- Eziz, A.; Yan, Z.B.; Tian, D.; Han, W.X.; Tang, Z.Y.; Fang, J.Y. Drought effect on plant biomass allocation: A meta-analysis. Ecol. Evol. 2017, 7, 11002–11010. [Google Scholar] [CrossRef]
- Poorter, H.; Niklas, K.J.; Reich, P.B.; Oleksyn, J.; Poot, P.; Mommer, L. Biomass allocation to leaves, stems and roots: Meta-analyses of interspecific variation and environmental control. New Phytol. 2012, 193, 30–50. [Google Scholar] [CrossRef]
- Packer, A.; Clay, K. Soil pathogens and Prunus serotina seedling and sapling growth near conspecific trees. Ecology 2003, 84, 108–119. [Google Scholar] [CrossRef]
- Ryalls, J.M.W.; Moore, B.D.; Johnson, S.N.; Connor, M.; Hiltpold, I. Root responses to domestication, precipitation and silicification: Weeping meadow grass simplifies and alters toughness. Plant Soil 2018, 427, 291–304. [Google Scholar] [CrossRef]
- Holdaway, R.J.; Richardson, S.J.; Dickie, I.A.; Peltzer, D.A.; Coomes, D.A. Species- and community-level patterns in fine root traits along a 120000-year soil chronosequence in temperate rain forest. J. Ecol. 2011, 99, 954–963. [Google Scholar] [CrossRef]
- Prieto, I.; Roumet, C.; Cardinael, R.; Dupraz, C.; Jourdan, C.; Kim, J.H.; Maeght, J.L.; Mao, Z.; Pierret, A.; Portillo, N.; et al. Root functional parameters along a land-use gradient: Evidence of a community-level economics spectrum. J. Ecol. 2015, 103, 361–373. [Google Scholar] [CrossRef]
- Weemstra, M.; Sterck, F.J.; Visser, E.J.W.; Kuyper, T.W.; Goudzwaard, L.; Mommer, L. Fine-root trait plasticity of beech (Fagus sylvatica) and spruce (Picea abies) forests on two contrasting soils. Plant Soil 2017, 415, 175–188. [Google Scholar] [CrossRef]
- Florian, F.; Claire, J.; Pablo, C. Root and leaf functional trait relations in Poaceae species: Implications of differing resource-acquisition strategies. J. Plant Ecol. 2013, 6, 211–219. [Google Scholar] [CrossRef]
- Tjoelker, M.G.; Craine, J.M.; Wedin, D.; Reich, P.B.; Tilman, D. Linking leaf and root trait syndromes among 39 grassland and savannah species. New Phytol. 2005, 167, 493–508. [Google Scholar] [CrossRef]
- Lozano, Y.M.; Aguilar-Trigueros, C.A.; Flaig, I.C.; Rillig, M.C. Root trait responses to drought depend on plant functional group. bioRxiv 2019. [Google Scholar] [CrossRef]
- McCormack, M.L.; Adams, T.S.; Smithwick, E.A.H.; Eissenstat, D.M. Predicting fine root lifespan from plant functional traits in temperate trees. New Phytol. 2012, 195, 823–831. [Google Scholar] [CrossRef] [PubMed]
- Hernandez, E.I.; Vilagrosa, A.; Pausas, J.G.; Bellot, J. Morphological traits and water use strategies in seedlings of Mediterranean coexisting species. Plant Ecol. 2010, 207, 233–244. [Google Scholar] [CrossRef]
- Read, D.; Perez-Moreno, J. Mycorrhizas and nutrient cycling in ecosystems–a journey towards relevance? New Phytol. 2003, 157, 475–492. [Google Scholar] [CrossRef]
- Cheng, L.; Booker, F.L.; Tu, C.; Burkey, K.O.; Zhou, L.S.; Shew, H.D.; Rufty, T.W.; Hu, S.J. Arbuscular mycorrhizal fungi increase organic carbon decomposition under elevated CO2. Science 2012, 337, 1084–1087. [Google Scholar] [CrossRef] [PubMed]
- Koide, R.T.; Fernandez, C.; Malcolm, G. Determining place and process: Functional traits of ectomycorrhizal fungi that affect both community structure and ecosystem function. New Phytol. 2014, 201, 433–439. [Google Scholar] [CrossRef]
- Koide, R. Nutrient supply, nutrient demand and plant-response to mycorrhizal infection. New Phytol. 1991, 117, 365–386. [Google Scholar] [CrossRef]
- Dijkstra, F.A.; He, M.Z.; Johansen, M.P.; Harrison, J.J.; Keitel, C. Plant and microbial uptake of nitrogen and phosphorus affected by drought using N-15 and P-32 tracers. Soil Biol. Biochem. 2015, 82, 135–142. [Google Scholar] [CrossRef]
- Agerer, R. Exploration types of ectomycorrhizae. Mycorrhiza 2001, 11, 107–114. [Google Scholar] [CrossRef]
- Koide, R.T. Functional complementarity in the arbuscular mycorrhizal symbiosis. New Phytol. 2000, 147, 233–235. [Google Scholar] [CrossRef]
- Tedersoo, L.; Smith, M.E. Lineages of ectomycorrhizal fungi revisited: Foraging strategies and novel lineages revealed by sequences from belowground. Fungal Biol. Rev. 2013, 27, 83–99. [Google Scholar] [CrossRef]
- Puy, J.; Carmona, C.P.; Hiiesalu, I.; Opik, M.; de Bello, F.; Moora, M. Mycorrhizal symbiosis alleviates plant water deficit within and across generations via phenotypic plasticity. J. Ecol. 2022, 110, 262–276. [Google Scholar] [CrossRef]
- Auge, R.M.; Toler, H.D.; Saxton, A.M. Arbuscular mycorrhizal symbiosis alters stomatal conductance of host plants more under drought than under amply watered conditions: A meta-analysis. Mycorrhiza 2015, 25, 13–24. [Google Scholar] [CrossRef]
- Bloom, A.J.; Chapin, F.S.; Mooney, H.A. Resource limitation in plants-an economic analogy. Annu. Rev. Ecol. Syst. 1985, 16, 363–392. [Google Scholar] [CrossRef]
- Martinez-Garcia, L.B.; Miranda, J.D.; Pugnaire, F.I. Impacts of changing rainfall patterns on mycorrhizal status of a shrub from arid environments. Eur. J. Soil Biol. 2012, 50, 64–67. [Google Scholar] [CrossRef]
- Pozo, M.J.; Lopez-Raez, J.A.; Azcon-Aguilar, C.; Garcia-Garrido, J.M. Phytohormones as integrators of environmental signals in the regulation of mycorrhizal symbioses. New Phytol. 2015, 205, 1431–1436. [Google Scholar] [CrossRef] [PubMed]
- Hardie, K. The effect of removal of extraradical hyphae on water uptake by vesicular-arbuscular mycorrhizal plants. New Phytol. 1985, 101, 677–684. [Google Scholar] [CrossRef]
- Allen, M.F.; Sexton, J.C.; Moore, T.S.J.; Christensen, M. Influence of phosphate source on vesicular-arbuscular mycorrhizae of Bouteloua gracilis. New Phytol. 1981, 87, 687–694. [Google Scholar] [CrossRef]
- Bowles, T.M.; Jackson, L.E.; Cavagnaro, T.R. Mycorrhizal fungi enhance plant nutrient acquisition and modulate nitrogen loss with variable water regimes. Glob. Chang. Biol. 2018, 24, e171–e182. [Google Scholar] [CrossRef] [PubMed]
- Ruiz-Lozano, J.M.; Aroca, R.; Zamarreno, A.M.; Molina, S.; Andreo-Jimenez, B.; Porcel, R.; Garcia-Mina, J.M.; Ruyter-Spira, C.; Lopez-Raez, J.A. Arbuscular mycorrhizal symbiosis induces strigolactone biosynthesis under drought and improves drought tolerance in lettuce and tomato. Plant Cell Environ. 2016, 39, 441–452. [Google Scholar] [CrossRef]
- Knapp, D.G.; Kovacs, G.M.; Zajta, E.; Groenewald, J.Z.; Crous, P.W. Dark septate endophytic pleosporalean genera from semiarid areas. Persoonia 2015, 35, 87–100. [Google Scholar] [CrossRef]
- Newsham, K.K. A meta-analysis of plant responses to dark septate root endophytes. New Phytol. 2011, 190, 783–793. [Google Scholar] [CrossRef]
- Rodriguez, R.J.; White, J.F.; Arnold, A.E.; Redman, R.S. Fungal endophytes: Diversity and functional roles. New Phytol. 2009, 182, 314–330. [Google Scholar] [CrossRef]
- Bloemberg, G.V.; Lugtenberg, B.J. Molecular basis of plant growth promotion and biocontrol by rhizobacteria. Curr. Opin. Plant Biol. 2001, 4, 343–350. [Google Scholar] [CrossRef]
- Kurepin, L.V.; Park, J.M.; Lazarovits, G.; Huner, N.P.A. Involvement of plant stress hormones in Burkholderia phytofirmans-induced shoot and root growth promotion. Plant Growth Regul. 2015, 77, 179–187. [Google Scholar] [CrossRef]
- Islam, F.; Yasmeen, T.; Arif, M.S.; Ali, S.; Ali, B.; Hameed, S.; Zhou, W.J. Plant growth promoting bacteria confer salt tolerance in Vigna radiata by up-regulating antioxidant defense and biological soil fertility. Plant Growth Regul. 2016, 80, 23–36. [Google Scholar] [CrossRef]
- Backer, R.; Rokem, J.S.; Ilangumaran, G.; Lamont, J.; Praslickova, D.; Ricci, E.; Subramanian, S.; Smith, D.L. Plant growth-promoting rhizobacteria: Context, mechanisms of action, and roadmap to commercialization of biostimulants for sustainable agriculture. Front. Plant Sci. 2018, 9, 1473. [Google Scholar] [CrossRef]
- Parray, J.A.; Jan, S.; Kamili, A.N.; Qadri, R.A.; Egamberdieva, D.; Ahmad, P. Current Perspectives on Plant Growth-Promoting Rhizobacteria. J. Plant Growth Regul. 2016, 35, 877–902. [Google Scholar] [CrossRef]
- Selvadurai, E.L.; Brown, A.E.; Hamilton, J. Production of indole-3-acetic acid analogues by strains of Bacillus cereus in relation to their influence on seedling development. Soil Biol. Biochem. 1991, 23, 401–403. [Google Scholar] [CrossRef]
- Lebuhn, M. Production of auxin and other indolic and phenolic compounds by Paenibacillus polymyxa strains isolated from different proximity to plant roots. FEMS Microbiol. Ecol. 1997, 22, 325–334. [Google Scholar] [CrossRef]
- Ryu, C.M.; Farag, M.A.; Hu, C.H.; Reddy, M.S.; Wei, H.X.; Pare, P.W.; Kloepper, J.W. Bacterial volatiles promote growth in Arabidopsis. Proc. Natl. Acad. Sci. USA 2003, 100, 4927–4932. [Google Scholar] [CrossRef]
- Arkhipova, T.N.; Veselov, S.U.; Melentiev, A.I.; Martynenko, E.V.; Kudoyarova, G.R. Ability of bacterium Bacillus subtilis to produce cytokinins and to influence the growth and endogenous hormone content of lettuce plants. Plant Soil 2005, 272, 201–209. [Google Scholar] [CrossRef]
- Seki, M.; Umezawa, T.; Urano, K.; Shinozaki, K. Regulatory metabolic networks in drought stress responses. Curr. Opin. Plant Biol. 2007, 10, 296–302. [Google Scholar] [CrossRef]
- Ruan, J.J.; Zhou, Y.X.; Zhou, M.L.; Yan, J.; Khurshid, M.; Weng, W.F.; Cheng, J.P.; Zhang, K.X. Jasmonic Acid Signaling Pathway in Plants. Int. J. Mol. Sci. 2019, 20, 2479. [Google Scholar] [CrossRef]
- Chinese Soil Taxonomy Research Group. Chinese Soil Taxonomy (Revised Proposal); Chinese Agricultural Science and Technology Press: Beijing, China, 1995. [Google Scholar]
- Chen, T.; Nan, Z.B.; Kardol, P.; Duan, T.Y.; Song, H.; Wang, J.F.; Li, C.H.; Hou, F.J. Effects of interspecific competition on plant-soil feedbacks generated by long-term grazing. Soil Biol. Biochem. 2018, 126, 133–143. [Google Scholar] [CrossRef]
- Brinkman, E.P.; Van der Putten, W.H.; Bakker, E.J.; Verhoeven, K.J.F. Plant-soil feedback: Experimental approaches, statistical analyses and ecological interpretations. J. Ecol. 2010, 98, 1063–1073. [Google Scholar] [CrossRef]
- Perez-Harguindeguy, N.; Diaz, S.; Garnier, E.; Lavorel, S.; Poorter, H.; Jaureguiberry, P.; Bret-Harte, M.S.; Cornwell, W.K.; Craine, J.M.; Gurvich, D.E.; et al. New handbook for standardised measurement of plant functional traits worldwide. Aust. J. Bot. 2013, 61, 167–234. [Google Scholar] [CrossRef]
- Zhang, K.R.; Cheng, X.L.; Dang, H.S.; Zhang, Q.F. Biomass:N:K:Ca:Mg:P ratios in forest stands world-wide: Biogeographical variations and environmental controls. Glob. Ecol. Biogeogr. 2020, 29, 2176–2189. [Google Scholar] [CrossRef]
- Nelson., D.; Sommers., L. Total carbon, organic carbon, and organic matter. In Methods of Soil Analysis: Part 2 Chemical and Microbiological Properties 9; Wiley: Hoboken, NJ, USA, 1983; pp. 539–579. [Google Scholar]
- Olsen, S. Estimation of Available Phosphorus in Soils by Extraction with Sodium Bicarbonate; US Department of Agriculture: Washington, DC, USA, 1954.
- Koske, R.E.; Gemma, J.N. A modified procedure for staining roots to detect VA mycorrhizas. Mycol. Res. 1989, 94, 486–488. [Google Scholar] [CrossRef]
- Mcgonigle, T.P.; Miller, M.H.; Evans, D.G.; Fairchild, G.L.; Swan, J.A. A new method which gives an objective measure of colonization of roots by vesicular—Arbuscular mycorrhizal fungi. New Phytol. 1990, 115, 495–501. [Google Scholar] [CrossRef]
- R Development Core Team. R: A Language and Environment for Statistical Computing; R Foundation for Statistical Computing: Vienna, Austria, 2016; Available online: http://www.r-project.org/ (accessed on 9 October 2021).
Disclaimer/Publisher’s Note: The statements, opinions and data contained in all publications are solely those of the individual author(s) and contributor(s) and not of MDPI and/or the editor(s). MDPI and/or the editor(s) disclaim responsibility for any injury to people or property resulting from any ideas, methods, instructions or products referred to in the content. |
© 2023 by the authors. Licensee MDPI, Basel, Switzerland. This article is an open access article distributed under the terms and conditions of the Creative Commons Attribution (CC BY) license (https://creativecommons.org/licenses/by/4.0/).




