A Comparative Study of Nanobio Interaction of Zn-Doped CdTe Quantum Dots with Lactoferrin Using Different Spectroscopic Methods
Abstract
1. Introduction
2. Results and Discussion
2.1. Characterization of CdTe: Zn2+ QDs
2.2. Fluorescence Spectroscopy Study of Interaction between CdTe:Zn2+ QDs and LF
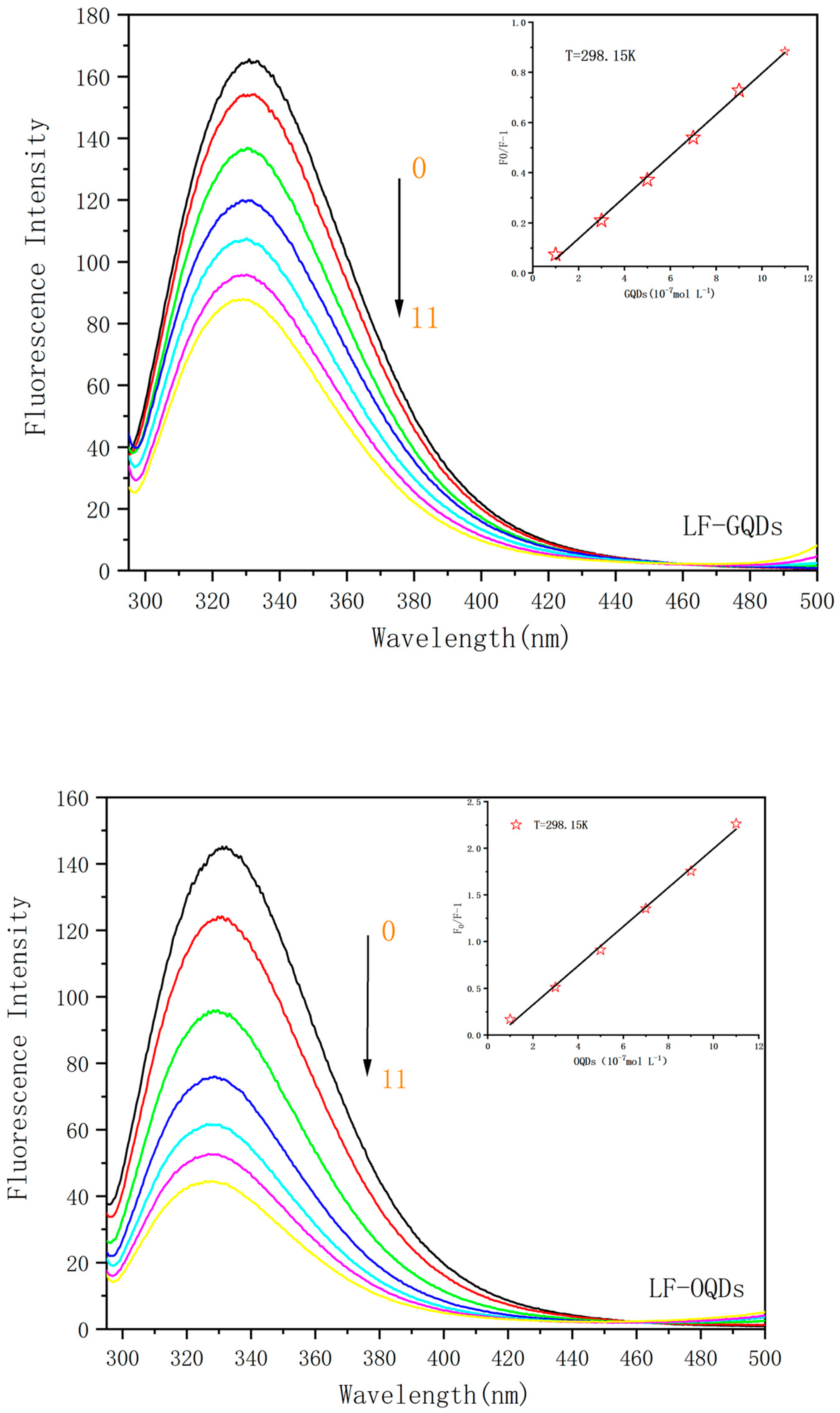
2.2.1. Fluorescence Quenching Mechanism
2.2.2. Binding Constant and Binding Number
2.2.3. Binding Force
2.2.4. Binding Distance
2.3. UV-Vis Absorption Spectroscopy Study of Interaction between CdTe:Zn2+ QDs and LF
2.4. Synchronous Fluorescence Spectroscopy Study of Interaction between CdTe:Zn2+ QDs and LF
2.5. Three-Dimensional Fluorescence Spectrometry Study of Interaction between CdTe:Zn2+ QDs and LF
2.6. Circular Dichroism (CD) Study of Interaction between CdTe:Zn2+ QDs and LF
3. Materials and Methods
3.1. Chemicals
3.2. The Synthesis and Purification of CdTe:Zn2+ QDs
3.3. The Characterization of CdTe:Zn2+ QDs
3.4. Fluorescence Spectrometry
3.5. UV–Vis Absorption Spectrometry
3.6. Circular Dichroism (CD) Spectra Measurements
4. Conclusions
Author Contributions
Funding
Data Availability Statement
Conflicts of Interest
References
- Owen, J.; Brus, L. Chemical synthesis and luminescence applications of colloidal semiconductor quantum dots. J. Am. Chem. Soc. 2017, 139, 10939–10943. [Google Scholar] [CrossRef] [PubMed]
- Chan, W.C.W.; Nie, S. Quantum dot bioconjugates for ultrasensitive nonisotopic detection. Science 1998, 281, 2016–2018. [Google Scholar] [CrossRef]
- Li, G.; Fei, X.; Liu, H.; Gao, J.; Nie, J.; Wang, Y.; Yang, G. Fluorescence and optical activity of chiral CdTe quantum dots in their interaction with amino acids. ACS Nano 2020, 14, 4196–4205. [Google Scholar] [CrossRef]
- Kirchner, C.; Liedl, T.; Kudera, S.; Pellegrino, T.; Muñoz Javier, A.; Gaub, H.E.; Stölzle, S.; Fertig, N.; Parak, W.J. Cytotoxicity of colloidal CdSe and CdSe/ZnS nanoparticles. Nano Lett. 2005, 5, 331–338. [Google Scholar] [CrossRef]
- Rocha, T.L.; Mestre, N.C.; Sabóia-Morais, S.M.T.; Bebianno, M.J. Environmental behaviour and ecotoxicity of quantum dots at various trophic levels: A review. Environ. Int. 2017, 98, 1–17. [Google Scholar] [CrossRef]
- Motelica, L.; Vasile, B.S.; Ficai, A.; Surdu, A.V.; Ficai, D.; Oprea, O.C.; Holban, A.M. Influence of the alcohols on the ZnO synthesis and its properties: The Photocatalytic and antimicrobial activities. Pharmaceutics 2022, 14, 2842. [Google Scholar] [CrossRef] [PubMed]
- Mrad, R.; Poggi, M.; Chaâbane, R.B.; Negrerie, M. Role of surface defects in colloidal cadmium selenide (CdSe) nanocrystals in the specificity of fluorescence quenching by metal cations. J. Colloid Interface Sci. 2020, 571, 368–377. [Google Scholar] [CrossRef] [PubMed]
- Safari, M.; Najafi, S.; Arkan, E.; Amani, S.; Shahlaei, M. Facile aqueous synthesis of Ni-doped CdTe quantum dots as fluorescent probes for detecting pyrazinamide in plasma. Microchem. J. 2019, 146, 293–299. [Google Scholar] [CrossRef]
- Buchtelova, H.; Strmiska, V.; Skubalova, Z.; Dostalova, S.; Michalek, P.; Krizkova, S.; Hynek, D.; Kalina, L.; Richtera, L.; Moulick, A.; et al. Improving cytocompatibility of CdTe quantum dots by Schiff-base-coordinated lanthanides surface doping. J. Nanobiotechnol. 2018, 16, 43. [Google Scholar] [CrossRef]
- Mahmoudi, M.; Lynch, I.; Ejtehadi, M.R.; Monopoli, M.P.; Bombelli, F.B.; Laurent, S. Protein-nanoparticle interactions: Opportunities and challenges. Chem. Rev. 2011, 111, 5610–5637. [Google Scholar] [CrossRef]
- Elechalawar, C.K.; Hossen, M.N.; McNally, L.; Bhattacharya, R.; Mukherjee, P. Analysing the nanoparticle-protein corona for potential molecular target identification. J. Control. Release 2020, 322, 122–136. [Google Scholar] [CrossRef]
- Feliu, N.; Docter, D.; Heine, M.; Del Pino, P.; Ashraf, S.; Kolosnjaj-Tabi, J.; Macchiarini, P.; Nielsen, P.; Alloyeau, D.; Gazeau, F.; et al. In vivo degeneration and the fate of inorganic nanoparticles. Chem. Soc. Rev. 2016, 45, 2440–2457. [Google Scholar] [CrossRef] [PubMed]
- Wang, H.; Shang, L.; Maffre, P.; Hohmann, S.; Kirschhöfer, F.; Brenner-Weiß, G.; Nienhaus, G.U. The nature of a hard protein corona forming on quantum dots exposed to human blood serum. Small 2016, 12, 5836–5844. [Google Scholar] [CrossRef] [PubMed]
- Kaur, G.; Tripathi, S.K. Investigation of trypsin–CdSe quantum dot interactions via spectroscopic methods and effects on enzymatic activity. Spectrochim. Acta Part A Mol. Biomol. Spectrosc. 2015, 134, 173–183. [Google Scholar] [CrossRef] [PubMed]
- Zhu, S.; Ding, L.; Zhou, J.; Tong, S.J.; Meng, J.; Li, S.Q.; Liu, C.; Cheng, Z.Z.; Mario, G.; Li, W.B.; et al. Interaction thermodynamics studies of different surface-modified ZnSe QDs with BSA by spectroscopic and molecular simulation methods. J. Mol. Liq. 2021, 339, 116765. [Google Scholar] [CrossRef]
- Yu, X.; Zheng, X.; Yang, B.; Wang, J. Investigating the interaction of CdTe quantum dots with plasma protein transferrin and their interacting consequences at the molecular and cellular level. Int. J. Biol. Macromol. 2021, 185, 434–440. [Google Scholar] [CrossRef] [PubMed]
- Levay, P.F.; Viljoen, M. Lactoferrin: A general review. Haematologica 1995, 80, 252–267. [Google Scholar]
- Sabra, S.; Agwa, M.M. Lactoferrin, a unique molecule with diverse therapeutical and nanotechnological applications. Int. J. Biol. Macromol. 2020, 164, 1046–1060. [Google Scholar] [CrossRef]
- Agwa, M.M.; Sabra, S. Lactoferrin coated or conjugated nanomaterials as an active targeting approach in nanomedicine. Int. J. Biol. Macromol. 2021, 167, 1527–1543. [Google Scholar] [CrossRef]
- Yu, W.W.; Qu, L.; Guo, W.; Peng, X.G. Experimental determination of the extinction coefficient of CdTe, CdSe and CdS nanocrystals. Chem. Mater. 2003, 15, 2854–2860. [Google Scholar] [CrossRef]
- Paul, B.K.; Bhattacharjee, K.; Bose, S.; Guchhait, N. A spectroscopic investigation on the interaction of a magnetic ferrofluid with a model plasma protein: Effect on the conformation and activity of the protein. Phys. Chem. Chem. Phys. 2012, 14, 15482–15493. [Google Scholar] [CrossRef]
- Gong, A.; Zhu, X.; Hu, Y.; Yu, S. A fluorescence spectroscopic study of the interaction between epristeride and bovin serum albumine and its analytical application. Talanta 2007, 73, 668–673. [Google Scholar] [CrossRef]
- Zeinabad, H.A.; Kachooei, E.; Saboury, A.A.; Kostova, I.; Attar, F.; Vaezzadeh, M.; Falahati, M. Thermodynamic and conformational changes of protein toward interaction with nanoparticles: A spectroscopic overview. RSC Adv. 2016, 6, 105903–105919. [Google Scholar] [CrossRef]
- Chinnathambi, S.; Abu, N.; Hanagata, N. Biocompatible CdSe/ZnS quantum dot micelles for long-term cell imaging without alteration to the native structure of the blood plasma protein human serum albumin. RSC Adv. 2017, 7, 2392–2402. [Google Scholar] [CrossRef]
- Ware, W.R. Oxygen quenching of fluorescence in solution: An experimental study of the diffusion process. J. Phys. Chem. 1962, 66, 455–458. [Google Scholar] [CrossRef]
- Huang, S.; Li, H.; Liu, Y.; Yang, L.Y.; Wang, D.; Xiao, Q. Investigations of conformational structure and enzymatic activity of trypsin after its binding interaction with graphene oxide. J. Hazard. Mater. 2020, 392, 122285. [Google Scholar] [CrossRef]
- Das, K.; Rawat, K.; Patel, R.; Bohidar, H.B. Size-dependent CdSe quantum dot–lysozyme interaction and effect on enzymatic activity. RSC Adv. 2016, 6, 46744–46754. [Google Scholar] [CrossRef]
- Sannaikar, M.S.; Inamdar, L.S.; Inamdar, S.R. Interaction between human serum albumin and toxic free InP/ZnS QDs using multi-spectroscopic study: An excellent alternate to heavy metal based QDs. J. Mol. Liq. 2019, 281, 156–165. [Google Scholar] [CrossRef]
- Chamani, J.; Tafrishi, N.; Momen-Heravi, M. Characterization of the interaction between human lactoferrin and lomefloxacin at physiological condition: Multi-spectroscopic and modeling description. J. Lumin. 2010, 130, 1160–1168. [Google Scholar] [CrossRef]
- Reise, S.P.; Waller, N.G. Item response theory and clinical measurement. Annu. Rev. Clin. Psychol. 2009, 5, 27–48. [Google Scholar] [CrossRef] [PubMed]
- Baghaee, P.T.; Divsalar, A.; Chamani, J.; Donya, A. Human serum albumin–malathion complex study in the presence of silver nanoparticles at different sizes by multi spectroscopic techniques. J. Biomol. Struct. Dyn. 2019, 37, 2254–2264. [Google Scholar] [CrossRef] [PubMed]
- Lakowicz, J.R. Principles of Fluorescence Spectroscopy; Springer: Boston, MA, USA, 2006; Available online: https://link.springer.com/book/10.1007/978-0-387-46312-4 (accessed on 3 March 2023).
- Das, K.; Sanwlani, S.; Rawat, K.; Haughn, C.R.; Doty, M.F.; Bohidar, H.B. Spectroscopic profile of surfactant functionalized CdSe quantum dots and their interaction with globular plasma protein BSA. Colloids Surf. A Physicochem. Eng. Asp. 2016, 506, 495–506. [Google Scholar] [CrossRef]
- Chinnathambi, S.; Hanagata, N.; Yamazaki, T.; Shirahata, N. Nano-bio interaction between blood plasma proteins and water-soluble silicon quantum dots with enabled cellular uptake and minimal cytotoxicity. Nanomaterials 2020, 10, 2250. [Google Scholar] [CrossRef] [PubMed]
- Das, S.; Hazarika, Z.; Sarmah, S.; Baruah, K.; Rohman, M.A.; Paul, D.; Jha, A.N.; Roy, A.S. Exploring the interaction of bioactive kaempferol with serum albumin, lysozyme and hemoglobin: A biophysical investigation using multi-spectroscopic, docking and molecular dynamics simulation studies. J. Photochem. Photobiol. B Biol. 2020, 205, 111825. [Google Scholar] [CrossRef]
- Huang, S.; Qiu, H.; Liu, Y.; Huang, C.; Sheng, J.; Su, W.; Xiao, Q. Molecular interaction investigation between three CdTe: Zn2+ quantum dots and human serum albumin: A comparative study. Colloids Surf. B Biointerfaces 2015, 136, 955–962. [Google Scholar] [CrossRef]
- Huang, S.; Li, H.; Luo, H.; Yang, L.; Zhou, Z.; Xiao, Q.; Liu, Y. Conformational structure variation of human serum albumin after binding interaction with black phosphorus quantum dots. Int. J. Biol. Macromol. 2020, 146, 405–414. [Google Scholar] [CrossRef]
- Lu, Z.X.; Cui, T.; Shi, Q.L. Applications of circular dichroism and optical rotatory dispersion in molecular biology. Science 1987, 11, 79–82. [Google Scholar] [CrossRef]
- Wang, Q.; Fang, T.; Liu, P.; Deng, B.; Min, X.; Li, X. Direct synthesis of high-quality water-soluble CdTe: Zn2+ quantum dots. Inorg. Chem. 2012, 51, 9208–9213. [Google Scholar] [CrossRef]












| System | T (K) | Ksv (105 L mol−1) | Kq (1013 L mol−1s−1) | R2 | Ka (105 L mol−1) | R2 |
|---|---|---|---|---|---|---|
| LF–GQDs | 298.15 | 8.24 | 8.24 | 0.998 | 2.74 | 0.999 |
| 305.15 | 6.74 | 6.74 | 0.996 | 2.31 | 0.999 | |
| 313.15 | 4.41 | 4.41 | 0.992 | 1.73 | 0.999 | |
| LF–OQDs | 298.15 | 20.9 | 20.9 | 0.997 | 15.5 | 0.999 |
| 305.15 | 17.6 | 17.6 | 0.994 | 12.5 | 0.999 | |
| 313.15 | 15.6 | 15.6 | 0.996 | 10.5 | 0.998 |
| System | Kb (106 L mol−1) | n | R2 | S.D. |
|---|---|---|---|---|
| LF–GQDs | 1.68 | 1.05 | 0.998 | 0.018 |
| LF–OQDs | 6.94 | 1.08 | 0.996 | 0.029 |
| System | T (K) | ΔH (KJ) | ΔG (KJ mol−1) | ΔS (J mol−1 k−1) | R2 |
|---|---|---|---|---|---|
| LF–GQDs | 298.15 | −24.0 | −30.8 | 23.1 | 0.990 |
| 305.15 | −31.0 | ||||
| 313.15 | −31.2 | ||||
| LF–OQDs | 298.15 | −16.7 | −35.2 | 62.0 | 0.999 |
| 305.15 | −35.6 | ||||
| 313.15 | −36.1 |
| System | Ksv (105 L mol−1) | R2 | Ka (105 L mol−1) | R2 |
|---|---|---|---|---|
| LF–GQDs | 8.24 | 0.998 | 2.74 | 0.999 |
| LF–GQDs–NaCl | 4.86 | 0.995 | 2.36 | 0.999 |
| LF–OQDs | 20.9 | 0.997 | 15.5 | 0.999 |
| LF–OQDs–Nacl | 13.8 | 0.998 | 9.96 | 0.999 |
| System | Peak 1 (λex/λem) | Intensity | Δλ | Peak 2 (λex/λem) | Intensity | Δλ |
|---|---|---|---|---|---|---|
| LF | 275/331 | 216.2 | 56 | 230/329 | 63.3 | 99 |
| LF–GQDs | 275/329 | 155.3 | 54 | 230/325 | 37.1 | 95 |
| LF–OQDs | 275/327 | 74.5 | 52 | 230/319 | 12.1 | 89 |
Disclaimer/Publisher’s Note: The statements, opinions and data contained in all publications are solely those of the individual author(s) and contributor(s) and not of MDPI and/or the editor(s). MDPI and/or the editor(s) disclaim responsibility for any injury to people or property resulting from any ideas, methods, instructions or products referred to in the content. |
© 2023 by the authors. Licensee MDPI, Basel, Switzerland. This article is an open access article distributed under the terms and conditions of the Creative Commons Attribution (CC BY) license (https://creativecommons.org/licenses/by/4.0/).
Share and Cite
Ji, M.; Ren, L.; Tian, C.; Zhuang, X.; Luan, F. A Comparative Study of Nanobio Interaction of Zn-Doped CdTe Quantum Dots with Lactoferrin Using Different Spectroscopic Methods. Int. J. Mol. Sci. 2023, 24, 9325. https://doi.org/10.3390/ijms24119325
Ji M, Ren L, Tian C, Zhuang X, Luan F. A Comparative Study of Nanobio Interaction of Zn-Doped CdTe Quantum Dots with Lactoferrin Using Different Spectroscopic Methods. International Journal of Molecular Sciences. 2023; 24(11):9325. https://doi.org/10.3390/ijms24119325
Chicago/Turabian StyleJi, Meng, Liwei Ren, Chunyuan Tian, Xuming Zhuang, and Feng Luan. 2023. "A Comparative Study of Nanobio Interaction of Zn-Doped CdTe Quantum Dots with Lactoferrin Using Different Spectroscopic Methods" International Journal of Molecular Sciences 24, no. 11: 9325. https://doi.org/10.3390/ijms24119325
APA StyleJi, M., Ren, L., Tian, C., Zhuang, X., & Luan, F. (2023). A Comparative Study of Nanobio Interaction of Zn-Doped CdTe Quantum Dots with Lactoferrin Using Different Spectroscopic Methods. International Journal of Molecular Sciences, 24(11), 9325. https://doi.org/10.3390/ijms24119325

