Low Specificity but Dissimilar Mycorrhizal Communities Associating with Roots May Contribute to the Spatial Pattern of Four Co-Occurring Habenaria (Orchidaceae) Species
Abstract
1. Introduction
2. Results
2.1. Fungal OTUs
2.2. OMF Diversity in the Roots of the Four Species
2.3. Shared Mycorrhizal Communities between Orchid Species
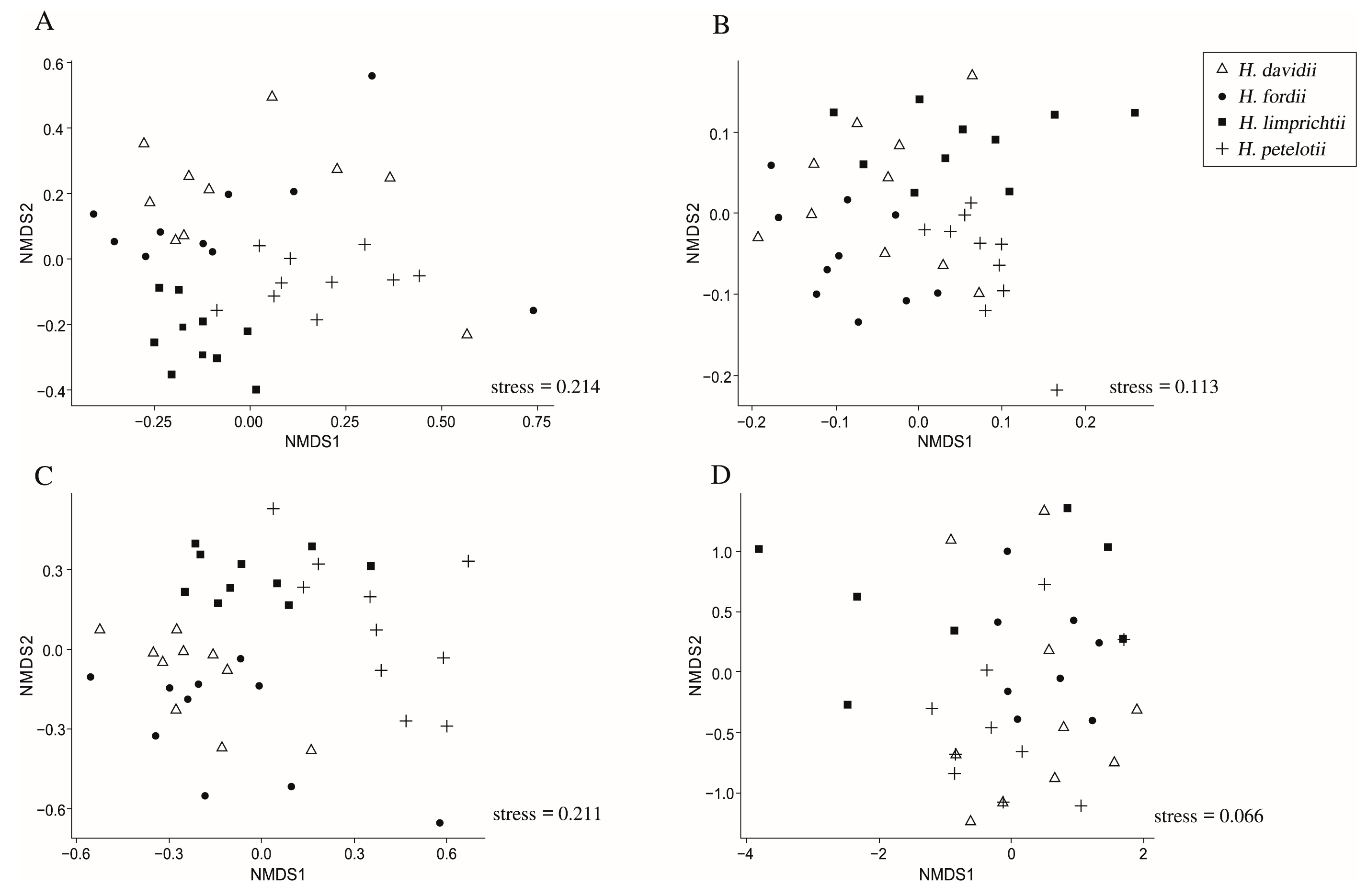
2.4. Differences in Endophytic Fungi and Mycorrhizal Communities between Orchid Species
2.5. Network Structure of Plant-Endophytic Fungi with Primer ITSITS86F/ITS4 and Primer ITS3/ITS4OF
3. Discussion
4. Material and Methods
4.1. Study Species
4.2. Sampling
4.3. Molecular Analyses
4.4. Bioinformatic Analyses
4.5. Data Analysis
Supplementary Materials
Author Contributions
Funding
Institutional Review Board Statement
Information Consent Statement
Data Availability Statement
Conflicts of Interest
References
- Tedersoo, L.; Bahram, M.; Zobel, M. How mycorrhizal associations drive plant population and community biology. Science 2020, 367, eaba1223. [Google Scholar] [CrossRef] [PubMed]
- Li, T.Q.; Yang, W.K.; Wu, S.M.; Selosse, M.A.; Gao, J.Y. Progress and Prospects of Mycorrhizal Fungal Diversity in Orchids. Front. Plant Sci. 2021, 12, 646325. [Google Scholar] [CrossRef] [PubMed]
- Waterman, R.J.; Martin, I.B. Deception above, deception below: Linking pollination and mycorrhizal biology of orchids. J. Exp. Bot. 2008, 59, 1085–1096. [Google Scholar] [CrossRef] [PubMed]
- Li, T.Q.; Wu, S.; Yang, W.; Selosse, M.A.; Gao, J.Y. How Mycorrhizal Associations Influence Orchid Distribution and Population Dynamics. Front. Plant Sci. 2021, 12, 647114. [Google Scholar] [CrossRef] [PubMed]
- Smith, S.E.; Read, D.J. Mycorrhizal Symbiosis; Academic Press: Cambridge, UK, 2008. [Google Scholar]
- Batstone, R.T.; Carscadden, K.A.; Afkhami, M.E.; Frederickson, M.E. Using niche breadth theory to explain generalization in mutualisms. Ecology 2018, 99, 1039–1050. [Google Scholar] [CrossRef]
- Jacquemyn, H.; Duffy, K.J.; Selosse, M.A. Biogeography of orchid mycorrhizas. In Biogeography of Mycorrhizal Symbiosis; Tedersoo, L., Ed.; Springer: Berlin/Heidelberg, Germany, 2017; pp. 159–177. [Google Scholar]
- Waterman, R.J.; Bidartondo, M.I.; Stofberg, J.; Combs, J.K.; Gebauer, G.; Savolainen, V.; Barraclough, T.G.; Pauw, A. The effects of above-and belowground mutualisms on orchid speciation and coexistence. Am. Nat. 2011, 177, E54–E68. [Google Scholar] [CrossRef]
- Jacquemyn, H.; Brys, R.; Lievens, B.; Wiegand, T. Spatial variation in belowground seed germination and divergent mycorrhizal associations correlate with spatial segregation of three co-occurring orchid species. J. Ecol. 2012, 100, 1328–1337. [Google Scholar] [CrossRef]
- Jacquemyn, H.; Brys, R.; Merckx, V.; Waud, M.; Lievens, B.; Wiegand, T. Coexisting orchid species have distinct mycorrhizal communities and display strong spatial segregation. New Phytol. 2014, 202, 616–627. [Google Scholar] [CrossRef]
- Těsitelová, T.; Jersáková, J.; Roy, M.; Kubatova, B.; Tesitel, J.; Urfus, T.; Travnicek, P.; Suda, J. Ploidy-specific symbiotic interactions: Divergence of mycorrhizal fungi between cytotypes of the Gymnadenia conopsea group (Orchidaceae). New Phytol. 2013, 199, 1022–1033. [Google Scholar] [CrossRef]
- Cevallos, S.; Sanchez-Rodríguez, A.; Decock, C.; Declerck, S.; Suárez, J.P. Are there keystone mycorrhizal fungi associated to tropical epiphytic orchids? Mycorrhiza 2017, 27, 225–232. [Google Scholar] [CrossRef]
- Dearnaley, J.D.W.; Martos, F.; Selosse, M.A. Orchid mycorrhizas: Molecular ecology, physiology, evolution and conservation aspects. In Fungal Associations; Hock, B., Ed.; Springer: Berlin/Heidelberg, Germany, 2012; pp. 207–230. [Google Scholar]
- Weiß, M.; Waller, F.; Zuccaro, A.; Selosse, M.A. Sebacinales—One thousand and one interactions with land plants. New Phytol. 2016, 211, 20–40. [Google Scholar] [CrossRef]
- Yagame, T.; Funabiki, E.; Nagasawa, E.; Fukiharu, T.; Iwase, K. Identification and symbiotic ability of Psathyrellaceae fungi isolated from a photosynthetic orchid, Cremastra appendiculata (Orchidaceae). Am. J. Bot. 2013, 100, 1823–1830. [Google Scholar] [CrossRef]
- Jacquemyn, H.; Brys, R.; Waud, M.; Busschaert, P.; Lievens, B. Mycorrhizal networks and coexistence in species-rich orchid communities. New Phytol. 2015, 206, 1127–1134. [Google Scholar] [CrossRef] [PubMed]
- Waud, M.; Busschaert, P.; Lievens, B.; Jacquemyn, H. Specificity and localised distribution of mycorrhizal fungi in the soil may contribute to co-existence of orchid species. Fungal Ecol. 2016, 20, 155–165. [Google Scholar] [CrossRef]
- Xing, X.K.; Gao, Y.; Zhao, Z.Y.; Waud, M.; Duffy, K.J.; Selosse, M.A.; Jakalski, M.; Liu, N.; Jacquemyn, H.; Guo, S.X. Similarity in mycorrhizal communities associating with two widespread terrestrial orchids decays with distance. J. Biogeogr. 2020, 47, 421–433. [Google Scholar] [CrossRef]
- Ma, X.Y.; Kang, J.C.; Nontachaiyapoom, S.; Wen, T.C.; Hyde, K.D. Non-mycorrhizal endophytic fungi from orchids. Curr. Sci. 2015, 109, 72–87. [Google Scholar]
- Herrera, H.; García-Romera, I.; Meneses, C.; Pereira, G.; Arriagada, C. Orchid mycorrhizal interactions on the Pacific side of the Andes from Chile: A review. J. Soil Sci. Plant Nutr. 2019, 19, 187–202. [Google Scholar] [CrossRef]
- Govaerts, R. World checklist of Orchidaceae; Royal Botanic Gardens, Kew: London, UK, 2014; Available online: http://apps.kew.org/wcsp/ (accessed on 15 July 2021).
- Chen, S.C.; Cribb, P.J. Habenaria Willdenow. In Flora of China; Wu, Z.Y., Raven, P.H., Hong, D.Y., Eds.; Science Press: Beijing, China, 2009; Volume 25, pp. 144–160. [Google Scholar]
- Stewart, S.L.; Zettler, L.W. Symbiotic germination of three semi-aquatic rein orchids (Habenaria repens, H-quinquiseta, H-macroceratitis) from Florida. Aquat. Bot. 2002, 72, 25–35. [Google Scholar] [CrossRef]
- Stewart, S.L.; Kane, M.E. Symbiotic seed germination of Habenaria macroceratitis (Orchidaceae), a rare Florida terrestrial orchid. Plant Cell Tissue Organ Cult. 2006, 86, 159–167. [Google Scholar] [CrossRef]
- Zhang, W.L.; Gao, J.Y.; Pan, B.O.; Liu, Q. Habenaria malipoensis (Orchidaceae: Orchidoideae: Orchidinae), a new orchid species from Yunnan, China. Phytotaxa 2017, 332, 93–97. [Google Scholar] [CrossRef]
- Waud, M.; Busschaert, P.; Ruyters, S.; Jacquemyn, H.; Lievens, B. Impact of primer choice on characterization of orchidmycorrhizal communities using 454 pyrosequencing. Mol. Ecol. Resour. 2014, 14, 679–699. [Google Scholar] [CrossRef] [PubMed]
- Jacquemyn, H.; Merckx, V.; Brys, R.; Tyteca, D.; Cammue, B.P.A.; Honnay, O.; Lievens, B. Analysis of network architecture reveals phylogenetic constraints on mycorrhizal specificity in the genus Orchis (Orchidaceae). New Phytol. 2011, 192, 518–528. [Google Scholar] [CrossRef] [PubMed]
- Girlanda, M.; Segreto, R.; Cafasso, D.; Liebel, H.T.; Rodda, M.; Ercole, E.; Cozzolino, S.; Gebauer, G.; Perotto, S. Photosynthetic mediterranean meadow orchids feature partial mycoheterotrophy and specific mycorrhizal associations. Am. J. Bot. 2011, 98, 1148–1163. [Google Scholar] [CrossRef] [PubMed]
- Jacquemyn, H.; Waud, M.; Lievens, B.; Brys, R. Differences in mycorrhizal communities between Epipactis palustris, E. helleborine and its presumed sister species E. neerlandic. Ann. Bot. 2016, 118, 105–114. [Google Scholar] [CrossRef] [PubMed]
- Cowden, C.C.; Shefferson, R.P. Diversity of root-associated fungi of mature Habenaria radiata and Epipactis thunbergii colonizing manmade wetlands in Hiroshima Prefecture, Japan. Mycoscience 2013, 54, 327–334. [Google Scholar] [CrossRef]
- Hohmann P, M. Breeding for mycorrhizal symbiosis: Focus on disease resistance. Euphytica 2017, 213, 1–11. [Google Scholar] [CrossRef]
- Lehto, T.; Zwiazek, J.J. Ectomycorrhizas and water relations of trees: A review. Mycorrhiza 2011, 21, 71–90. [Google Scholar] [CrossRef]
- Veldre, V.; Abarenkov, K.; Bahram, M.; Martos, F.; Selosse, M.A.; Tamm, H.; Koljalg, U.; Tedersoo, L. Evolution of Nutritional Modes of Ceratobasidiaceae (Cantharellales, Basidiomycota) as Revealed from Publicly Available ITS Sequences. Fungal Ecol. 2013, 6, 256–268. [Google Scholar] [CrossRef]
- Lallemand, F.; Oionek, A.; Courty, P.E.; Selosse, M.A. The 13C content of the orchid Epipactis palustris (L.) Crantz responds to light as in autotrophic plants. Bot. Lett. 2018, 165, 265–273. [Google Scholar] [CrossRef]
- Pridgeon, A.M.; Cribb, P.J.; Chase, M.W.; Rasmussen, F. Genera Orchidacearum: Volume 2: Orchidoideae (Part 1); Oxford University Press: Oxford, UK, 2001. [Google Scholar]
- Zhang, W.L.; Gao, J. Multiple factors contribute to reproductive isolation between two co-existing Habenaria species (Orchidaceae). PLoS ONE 2017, 12, e0188594. [Google Scholar] [CrossRef]
- Selosse, M.A.; Faccio, A.; Scappaticci, G.; Bonfante, P. Chlorophyllous and achlorophyllous specimens of Epipactis microphylla (Neottieae, Orchidaceae) are associated with ectomycorrhizal septomycetes, including truffles. Microb. Ecol. 2004, 47, 416–426. [Google Scholar] [CrossRef] [PubMed]
- Gebauer, G.; Meyer, M. 15N and 13C natural abundance of autotrophic and myco-heterotrophic orchids provides insight into nitrogen and carbon gain from fungal association. New Phytol. 2003, 160, 209–223. [Google Scholar] [CrossRef] [PubMed]
- Bidartondo, M.I.; Burghardt, B.; Gebauer, G.; Frederickson, M.E. Changing partners in the dark: Isotopic and molecular evidence of ectomycorrhizal liaisons between forest orchids and trees. Proc. R. Soc. Lond. B. 2004, 271, 799–1806. [Google Scholar] [CrossRef] [PubMed]
- Van Der Heijden, M.G.A.; Wiemken, A.; Sanders, I.R. Different arbuscular mycorrhizal fungi alter coexistence and resource distribution between co-occurring plant. New Phytol. 2003, 157, 569–578. [Google Scholar] [CrossRef]
- Vandenkoornhuyse, P.; Ridgway, K.P.; Watson, I.J.; Fitter, A.H.; Young, J.P.W. Co-existing grass species have distinctive arbuscular mycorrhizal communities. Mol. Ecol. 2003, 12, 3085–3095. [Google Scholar] [CrossRef]
- Tilman, D. Resource Competition and Community Structure. Monographs in Population Biology; Princeton University Press: Princeton, NJ, USA, 1982. [Google Scholar]
- Selosse, M.A. The latest news from biological interactions in orchids: In love, head to toe. New Phytol. 2014, 202, 337–340. [Google Scholar] [CrossRef]
- Martos, F.; Munoz, F.; Pailler, T.; Kottke, I.; Gonneau, C.; Selosse, M.A. The role of epiphytism in architecture and evolutionary constraint within mycorrhizal networks of tropical orchids. Mol. Ecol. 2012, 21, 5098–5109. [Google Scholar] [CrossRef]
- Jacquemyn, H.; Waud, M.; Merckx, V.S.F.T.; Brys, M.R.; Tyteca, D.; Hedrén, M.; Lievens, B. Habitat-driven variation in mycorrhizal communities in the terrestrial orchid genus Dactylorhiza. Sci. Rep. 2016, 6, 37182. [Google Scholar] [CrossRef]
- Kottke, I.; Setaro, S.; Haug, I.; Herrera, P.; Suárez, J.P. Mycorrhiza networks promote biodiversity and stabilize the tropical mountain rain forest ecosystem: Perspectives for understanding complex communities. In Ecosystem Services, Biodiversity and Environmental Change in a Tropical Mountain Ecosystem of South Ecuador; Bendix, J., Beck, E., Brauning, A., Eds.; Springer: Berlin/Heidelberg, Germany, 2013; pp. 187–203. [Google Scholar]
- Herrera, P.; Kottke, I.; Molina, M.C.; Mendez, M.; Suarez, J.P. Generalism in the interaction of Tulasnellaceae mycobionts with orchids characterizes a biodiversity hotspot in the tropical Andes of Southern Ecuador. Mycoscience 2018, 59, 738–748. [Google Scholar] [CrossRef]
- Qin, J.; Zhang, W.; Zhang, S.; Zhang, S.B.; Wang, J.H. Similar mycorrhizal fungal communities associated with epiphytic and lithophytic orchids of Coelogyne corymbosa. Plant Divers. 2020, 42, 362–369. [Google Scholar] [CrossRef]
- White, T.J.; Bruns, T.D.; Lee, S.; Taylor, J. Amplification and direct sequencing of fungal ribosomal RNA genes for phylogenetics. In PCR Protocols: A Guide to Methods and Applications; Innis, M.A., Gelfand, D.H., Sninsky, J.J., White, T.J., Eds.; Academic Press: San Diego, CA, USA, 1990; pp. 315–322. [Google Scholar]
- Turenne, C.Y.; Sanche, S.E.; Hoban, D.J.; Karlowsky, J.A.; Kabani, A.M. Rapid identification of fungi by using the ITS2 genetic region and an automated fluorescent capillary electrophoresis system. J. Clin. Microbiol. 1999, 37, 1846–1851. [Google Scholar] [CrossRef] [PubMed]
- Taylor, D.L.; McCormick, M.K. Internal transcribed spacer primers and sequences for improved characterization of basidiomycetous orchid mycorrhizas. New Phytol. 2008, 177, 1020–1033. [Google Scholar] [CrossRef] [PubMed]
- Edgar, R.C. UPARSE: Highly accurate OTU sequences from microbial amplicon reads. Nat. Methods. 2013, 10, 996–998. [Google Scholar] [CrossRef]
- Abarenkov, K.; Nilsson, R.H.; Larsson, K.H.; Alexander, I.J.; Eberhardt, U.; Erland, S.; Høiland, K.; Kjøller, R.; Larsson, E.; Pennanen, T. The UNITE database for molecular identification of fungi e recent updates and future perspectives. New Phytol. 2010, 186, 281–285. [Google Scholar] [CrossRef] [PubMed]
- Abarenkov, K.; Tedersoo, L.; Nilsson, R.H.; Vellak, K.; Saar, I.; Veldre, V.; Parmasto, E.; Prous, M.; Aan, A.; Ots, M.; et al. Plutofd—A web based workbench for ecological and taxonomic research, with an online implementation for fungal ITS sequences. Evol. Bioinf. 2010, 6, 189–196. [Google Scholar] [CrossRef]
- Altschul, S.F.; Madden, T.L.; Schäffer, A.A.; Zhang, J.; Zhang, Z.; Miller, W.; Lipman, D.J. Gapped BLAST and PSI-BLAST: A new generation of protein database search programs. Nucleic. Acids. Res. 1997, 25, 3389–3402. [Google Scholar] [CrossRef] [PubMed]
- Bokulich, N.A.; Subramanian, S.; Faith, J.J.; Gevers, D.; Gordon, J.I.; Knight, R.; Mills, D.A.; Caporaso, J.G. Quality-filtering vastly improves diversity estimates from Illumina amplicon sequencing. Nat. Methods 2013, 10, 57–61. [Google Scholar] [CrossRef]
- Oksanen, J.; Guillaume, B.F.; Kindt, R.; Legendre, P.; Wagner, H. Vegan: Community Ecology Package. R Package Version 2013, 2, 321–326. [Google Scholar]
- Bastian, M.; Heymann, S.; Jacomy, M. Gephi: An open source software for exploring and manipulating networks. Int. AAAI Conf. Weblogs Soc. Media 2009, 3, 161–162. [Google Scholar] [CrossRef]
- Guimerà, R.; Amaral, L.A.N. Cartography of complex networks: Modules and universal roles. J. Stat. Mech-Theory E. 2005, 2, P02001. [Google Scholar] [CrossRef]
- Tylianakis, J.M.; Tscharntke, T.; Lewis, O.T. Habitat modification alters the structure of tropical host-parasitoid food webs. Nature 2007, 445, 202–205. [Google Scholar] [CrossRef] [PubMed]
- Blüthgen, N.; Menzel, F.; Hovestadt, T.; Fiala, B.; Blüthgen, N. Specialization, constraints, and conflicting interests in mutualistic networks. Curr. Biol. 2007, 17, 341–346. [Google Scholar] [CrossRef] [PubMed]
- Almeida-Neto, M.; Ulrich, W. A straightforward computational approach for measuring nestedness using quantitative matrices. Environ. Model. Softw. 2011, 26, 173–178. [Google Scholar] [CrossRef]
- Stone, L.; Roberts, A. The checkerboard score and species distributions. Oecologia 1990, 85, 74–79. [Google Scholar] [CrossRef]
- Dormann, C.F.; Fründ, J.; Blüthgen, N.; Gruber, B. Indices, graphs and null models: Analyzing bipartite ecological networks. Open Ecol. J. 2009, 2, 7–24. [Google Scholar] [CrossRef]
- Ulrich, W.; Almeida-Neto, M.; Gotelli, N.J. A consumer’s guide to nestedness analysis. Oikos 2009, 118, 3–17. [Google Scholar] [CrossRef]





Disclaimer/Publisher’s Note: The statements, opinions and data contained in all publications are solely those of the individual author(s) and contributor(s) and not of MDPI and/or the editor(s). MDPI and/or the editor(s) disclaim responsibility for any injury to people or property resulting from any ideas, methods, instructions or products referred to in the content. |
© 2022 by the authors. Licensee MDPI, Basel, Switzerland. This article is an open access article distributed under the terms and conditions of the Creative Commons Attribution (CC BY) license (https://creativecommons.org/licenses/by/4.0/).
Share and Cite
Zhang, W.; Gao, J.; Shao, S.; Li, T. Low Specificity but Dissimilar Mycorrhizal Communities Associating with Roots May Contribute to the Spatial Pattern of Four Co-Occurring Habenaria (Orchidaceae) Species. Int. J. Mol. Sci. 2023, 24, 665. https://doi.org/10.3390/ijms24010665
Zhang W, Gao J, Shao S, Li T. Low Specificity but Dissimilar Mycorrhizal Communities Associating with Roots May Contribute to the Spatial Pattern of Four Co-Occurring Habenaria (Orchidaceae) Species. International Journal of Molecular Sciences. 2023; 24(1):665. https://doi.org/10.3390/ijms24010665
Chicago/Turabian StyleZhang, Wenliu, Jiangyun Gao, Shicheng Shao, and Taiqiang Li. 2023. "Low Specificity but Dissimilar Mycorrhizal Communities Associating with Roots May Contribute to the Spatial Pattern of Four Co-Occurring Habenaria (Orchidaceae) Species" International Journal of Molecular Sciences 24, no. 1: 665. https://doi.org/10.3390/ijms24010665
APA StyleZhang, W., Gao, J., Shao, S., & Li, T. (2023). Low Specificity but Dissimilar Mycorrhizal Communities Associating with Roots May Contribute to the Spatial Pattern of Four Co-Occurring Habenaria (Orchidaceae) Species. International Journal of Molecular Sciences, 24(1), 665. https://doi.org/10.3390/ijms24010665

