Intra-Laboratory Evaluation of DNA Extraction Methods and Assessment of a Droplet Digital PCR for the Detection of Xanthomonas citri pv. citri on Different Citrus Species
Abstract
:1. Introduction
2. Results
2.1. Samples Homogeneity
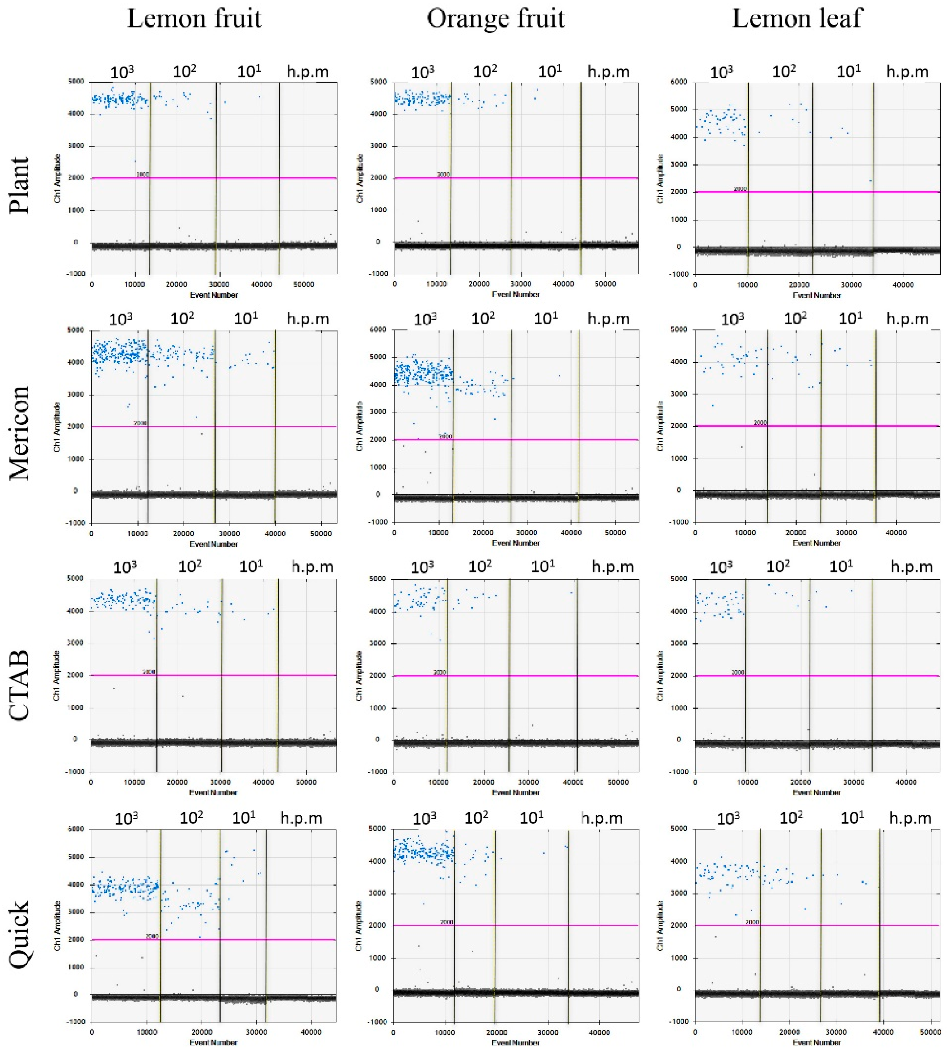
2.2. Development of Droplet Digital PCR
2.3. Evaluation of SET1 Samples
2.4. Evaluation of Healthy Samples and Performance Criteria of SET2
3. Discussion
4. Materials and Methods
4.1. Bacterial Strain
4.2. Plant Material
4.3. Sample Preparation
4.4. DNA Extraction
4.5. Real-Time (Real-Time PCR)
4.6. Droplet Digital PCR (ddPCR)
4.7. Samples Homogeneity and Performance Criteria Evaluation
4.8. Statistical Methods
Supplementary Materials
Author Contributions
Funding
Institutional Review Board Statement
Informed Consent Statement
Data Availability Statement
Conflicts of Interest
References
- The European and Mediterranean Plant Protection Organization. Xanthomonas axonopodis pv. Citri; Bulletin OEPP/EPPO Bulletin PM 7/44 (1); The European and Mediterranean Plant Protection Organization: Paris, France, 2005; Volume 35, pp. 289–294.
- Graham, J.H.; Gottwald, T.R.; Cubero, J.; Achor, D.S. Xanthomonas axonopodis pv. citri: Factors affecting successful eradication of citrus canker. Mol. Plant Pathol. 2004, 5, 1–15. [Google Scholar] [CrossRef]
- Behlau, F.; Gochez, A.M.; Jones, J.B. Diversity and copper resistance of Xanthomonas affecting Citrus. Trop. Plant Pathol. 2020, 45, 200–212. [Google Scholar] [CrossRef]
- EUR-Lex—02019R2072-20211216—EN. Available online: https://eur-lex.europa.eu/legal-content/IT/ALL/?uri=CELEX:32019R0004 (accessed on 28 February 2022).
- EUR-Lex—32000L0029—EN. Available online: https://eur-lex.europa.eu/legal-content/IT/ALL/?uri=celex:32000L0029 (accessed on 28 February 2022).
- Vos, S.; Camilleri, M.; Diakaki, M. Pest survey card on Xanthomonas citri pv. citri and pv. aurantifolii. EFSA Support. Publ. 2019, 16, 1587E. [Google Scholar] [CrossRef] [Green Version]
- International Plant Protection Convention. Diagnostic Protocols for Regulated Pests, Annex 6 Xanthomonas citri subsp. Citri; ISPM 27; International Plant Protection Convention: Rome, Italy, 2014. [Google Scholar]
- Wilson, I.G. Inhibition and facilitation of nucleic acid amplification. Appl. Environ. Microbiol. 1997, 63, 3741–3751. [Google Scholar] [CrossRef] [PubMed] [Green Version]
- Munford, R.A.; Boonham, N.; Tomlinson, J.; Barker, I. Advances in molecular phytodiagnostics-new solutions for old problems. Eur. J. Plant Pathol. 2006, 116, 1–19. [Google Scholar] [CrossRef]
- Cubero, J.; Graham, J.H. Quantitative real-time polymerase chain reaction for bacterial enumeration and allelic discrimination to differentiate Xanthomonas strains on Citrus. Phytopathology 2005, 95, 1333–1340. [Google Scholar] [CrossRef] [PubMed] [Green Version]
- Zhao, Y.; Xia, Q.; Yin, Y.; Wang, Z. Comparison of Droplet Digital PCR and Quantitative PCR Assays for Quantitative Detection of Xanthomonas citri Subsp. citri. PLoS ONE 2016, 11, e0159004. [Google Scholar] [CrossRef] [Green Version]
- ISO 16140: 2003 Microbiology of Food and Animal Feeding Stuffs–Protocol for the Validation of Alternative Methods. Available online: https://www.iso.org/about-us.html (accessed on 28 April 2022).
- International Organization for Standardization/International Electrotechnical Commission. General Requirements for the Competence of Testing and Calibration Laboratories; ISO/IEC Standard 17025; ISO: Geneva, Switzerland, 2017; p. 30. [Google Scholar]
- The European and Mediterranean Plant Protection Organization. Guidelines for the Organization of Interlaboratory Comparisons by Plant Pest Diagnostic Laboratories; Bulletin OEPP/EPPO Bulletin PM 7/122 (1); The European and Mediterranean Plant Protection Organization: Paris, France, 2014; Volume 44, pp. 390–399.
- The European and Mediterranean Plant Protection Organization. Specific Requirements for Laboratories Preparing Accreditation for a Plant Pest Diagnostic Activity; Bulletin OEPP/EPPO Bulletin PM 7/98 (5); The European and Mediterranean Plant Protection Organization: Paris, France, 2019; Volume 49, pp. 530–563. [CrossRef]
- The European and Mediterranean Plant Protection Organization. Xylella fastidiosa; Bulletin OEPP/EPPO Bulletin PM 7/24 (4); The European and Mediterranean Plant Protection Organization: Paris, France, 2019; Volume 49, pp. 175–227.
- Valitest EU Project Test Performance Study Report XCC Round 2 VALITEST. Available online: https://www.valitest.eu/ (accessed on 28 April 2022).
- Mavrodieva, V.; Levy, L.; Gabriel, D.W. Improved Sampling Methods for Real-Time Polymerase Chain Reaction Diagnosis of Citrus Canker from Field Samples. Phytopathology 2004, 94, 63–68. [Google Scholar] [CrossRef] [Green Version]
- Robène, I.; Maillot-Lebon, V.; Chabirand, A.; Moreau, A.; Becker, N.; Moumène, A.; Rieux, A.; Campos, P.; Gagnevin, L.; Gaudeul, M.; et al. Development and comparative validation of genomic-driven PCR-based assays to detect Xanthomonas citri pv. citri in Citrus plants. BMC Microbiol. 2020, 20, 296. [Google Scholar]
- Huggett, J.F.; Novak, T.; Garson, J.A.; Green, C.; Morris-Jones, S.D.; Miller, R.F.; Zumla, A. Differential susceptibility of PCR reactions to inhibitors: An important and unrecognised phenomenon. BMC Res. Notes 2008, 1, 70. [Google Scholar] [CrossRef] [PubMed] [Green Version]
- Dupas, E.; Briand, M.; Jacques, M.-A.; Cesbron, S. Novel Tetraplex Quantitative PCR Assays for Simultaneous Detection and Identification of Xylella fastidiosa Subspecies in plant tissues. Front. Plant Sci. 2019, 10, 1732. [Google Scholar] [CrossRef] [PubMed] [Green Version]
- Dreo, T.; Pirc, M.; Ramšak, Ž.; Pavšič, J.; Milavec, M.; Žel, J.; Gruden, K. Optimising droplet digital PCR analysis approaches for detection and quantification of bacteria: A case study of fire blight and potato brown rot. Anal. Bioanal. Chem. 2014, 406, 6513–6528. [Google Scholar] [CrossRef] [PubMed]
- Harper, S.J.; Ward, L.I.; Clover, G.R.G. Development of LAMP and real-time PCR methods for the rapid detection of Xylella fastidiosa for quarantine and field applications. Phytopathology 2010, 100, 1282–1288. [Google Scholar] [CrossRef] [PubMed]
- Golmohammadi, M.; Cubero, J.; Penalver, J.; Quesada, J.M.; Lopez, M.M.; Llop, P. Diagnosis of Xanthomonas axonopodis pv. citri, causal agent of citrus canker, in commercial fruits by isolation and PCR-based methods. J. Appl. Microbiol. 2007, 103, 2309–2315. [Google Scholar] [PubMed]
- Das, A.K. Citrus canker: A review. J. Appl. Hort. 2003, 5, 52–60. [Google Scholar] [CrossRef]
- R Core Team. A Language and Environment for Statistical Computing; R Foundation for Statistical Computing: Vienna, Austria, 2020; Available online: https://www.R-project.org/ (accessed on 1 January 2020).




| ng of Bacterial DNA per Reaction | Plant | ||||||||||||||
|---|---|---|---|---|---|---|---|---|---|---|---|---|---|---|---|
| Real Time PCR Cubero et al. (2005) | ddPCR Adapted from Cubero et al. (2005) | ||||||||||||||
| Lemon Fruit | Orange Fruit | Lemon Leaf | Lemon Fruit | Orange Fruit | Lemon Leaf | ||||||||||
| N° pos Wells | Ct Mean | St.dev | N° pos Wells | Ct Mean | St.dev | N° pos Wells | Ct Mean | St.dev | Copies/μL | Positive Droplets | Copies/μL | Positive Droplets | Copies/μL | Positive Droplets | |
| 1 ng | 3/3 | 17.10 | 0.19 | 3/3 | 16.27 | 0.11 | 3/3 | 17.03 | 0.36 | - | - | - | - | - | - |
| 100 pg | 3/3 | 20.29 | 0.08 | 3/3 | 19.57 | 0.05 | 3/3 | 20.66 | 0.22 | - | - | - | - | - | - |
| 10 pg | 3/3 | 23.81 | 0.66 | 3/3 | 22.31 | 0.10 | 3/3 | 24.2 | 0.05 | 164 | 1190 | 342 | 2407 | 152 | 1635 |
| 1 pg | 3/3 | 27.33 | 0.22 | 3/3 | 25.82 | 1.48 | 3/3 | 27.65 | 0.33 | 15.2 | 157 | 43 | 467 | 14.8 | 169 |
| 100 fg | 3/3 | 30.20 | 1.26 | 3/3 | 28.64 | 0.24 | 3/3 | 31.04 | 0.49 | 1.1 | 7 | 4.7 | 54 | 3.2 | 33 |
| 10 fg | 3/3 | 35.30 | 0.92 | 3/3 | 32.99 | 0.73 | 3/3 | 33.23 | 1.31 | 0.42 | 4 | 0.53 | 6 | 0.34 | 3 |
| 1 fg | 3/3 | 37.67 | 1.85 | 2/3 | 35.92 | 1.25 | 3/3 | 36.7 | 1.88 | 0 | 0 | 0.18 | 2 | 0.09 | 1 |
| Std curve parameters | E: 93.60%; r2: 0.991; slope: −3.485; Y int: 20.37 | E: 103.90%; r2: 0.996; slope: −3.232; Y int: 21.21 | E: 101.80%; r2: 0.994; slope: −3.28; Y int: 20.68 | ||||||||||||
| ng of Bacterial DNA per Reaction | Mericon | ||||||||||||||
| Real time PCR Cubero et al. (2005) | ddPCR adapted from Cubero et al. (2005) | ||||||||||||||
| Lemon Fruit | Orange Fruit | Lemon Leaf | Lemon Fruit | Orange Fruit | Lemon Leaf | ||||||||||
| N° pos Wells | Ct Mean | St.dev | N° pos Wells | Ct Mean | St.dev | N° pos Wells | Ct Mean | St.dev | Copies/μL | Positive Droplets | Copies/μL | Positive Droplets | Copies/μL | Positive Droplets | |
| 1 ng | 3/3 | 16.9 | 0.14 | 3/3 | 16.86 | 0.19 | 3/3 | 16.82 | 0.11 | - | - | - | - | - | - |
| 100 pg | 3/3 | 20.32 | 0.11 | 3/3 | 20.46 | 0.07 | 3/3 | 20.14 | 0.33 | - | - | - | - | - | - |
| 10 pg | 3/3 | 23.74 | 0.41 | 3/3 | 24.14 | 0.04 | 3/3 | 23.6 | 0.12 | 60.5 | 589 | 138 | 1073 | 114 | 1118 |
| 1 pg | 3/3 | 27.30 | 0.09 | 3/3 | 27.58 | 0.66 | 3/3 | 26.83 | 0.36 | 11 | 114 | 15.1 | 111 | 7.1 | 80 |
| 100 fg | 3/3 | 30.88 | 0.31 | 3/3 | 31.7 | 0.87 | 3/3 | 30.55 | 0.64 | 1.1 | 12 | 1.6 | 14 | 0.51 | 5 |
| 10 fg | 3/3 | 35.64 | 0.40 | 3/3 | 36.22 | 1.27 | 3/3 | 34.35 | 1.82 | 0 | 0 | 0 | 0 | 0 | 0 |
| 1 fg | 3/3 | 35.78 | 2.06 | 1/3 | 38.25 | - | 3/3 | 37.7 | 2.74 | 0 | 0 | 0 | 0 | 0 | 0 |
| Std curve parameters | E: 99.70%; r2: 0.975; slope: −3.328; Y int: 20.47 | E: 88.10%; r2: 0.997; slope: −3.644; Y int: 20.56 | E: 93.20%; r2: 0.99; slope: −3.497; Y int: 20.14 | ||||||||||||
| ng of Bacterial DNA per Reaction | Ctab | ||||||||||||||
| Real Time PCR Cubero et al. (2005) | ddPCR Adapted from Cubero et al. (2005) | ||||||||||||||
| Lemon Fruit | Orange Fruit | Lemon Leaf | Lemon Fruit | Orange Fruit | Lemon Leaf | ||||||||||
| N° pos Wells | Ct Mean | St.dev | N° pos Wells | Ct Mean | St.dev | N° pos Wells | Ct Mean | St.dev | Copies/μL | Positive Droplets | Copies/μL | Positive Droplets | Copies/μL | Positive Droplets | |
| 1 ng | 3/3 | 17.27 | 0.16 | 3/3 | 17.17 | 0.09 | 3/3 | 16.98 | 0.36 | - | - | - | - | - | - |
| 100 pg | 3/3 | 20.78 | 0.17 | 3/3 | 20.33 | 0.16 | 3/3 | 20.33 | 0.22 | - | - | - | - | - | - |
| 10 pg | 3/3 | 24.16 | 0.74 | 3/3 | 24.18 | 0.12 | 3/3 | 23.67 | 0.05 | 159 | 1402 | 145 | 1522 | 214 | 2257 |
| 1 pg | 3/3 | 27.84 | 0.34 | 3/3 | 27.38 | 0.41 | 3/3 | 27.03 | 0.33 | 17.5 | 170 | 19.4 | 201 | 27.4 | 298 |
| 100 fg | 3/3 | 31.20 | 0.33 | 3/3 | 31.02 | 0.30 | 3/3 | 30.18 | 0.49 | 1 | 11 | 1.4 | 13 | 1.6 | 18 |
| 10 fg | 3/3 | 34.93 | 1.02 | 3/3 | 34.66 | 1.54 | 3/3 | 32.59 | 1.31 | 0.1 | 1 | 0.11 | 1 | 0.54 | 6 |
| 1 fg | 1/3 | 38.44 | - | 1/3 | 38.76 | - | 3/3 | 34.39 | 1.88 | 0 | 0 | 0 | 0 | 0.38 | 4 |
| Std curve parameters | E: 92.20%; r2: 0.996; slope: −3.525; Y int: 20.75 | E: 92.50%; r2: 0.994; slope: −3.517; Y int: 20.50 | E: 111.4%; r2: 0.993; slope: −3.075; Y int: 20.43 | ||||||||||||
| ng of bacterial DNA per reaction | Quick | ||||||||||||||
| Real time PCR Cubero et al. (2005) | ddPCR adapted from Cubero et al. (2005) | ||||||||||||||
| Lemon Fruit | Orange Fruit | Lemon Leaf | Lemon Fruit | Orange Fruit | Lemon Leaf | ||||||||||
| N° pos Wells | Ct Mean | St.dev | N° pos Wells | Ct Mean | St.dev | N° pos Wells | Ct Mean | St.dev | Copies/μL | Positive Droplets | Copies/μL | Positive Droplets | Copies/μL | Positive Droplets | |
| 1 ng | 3/3 | 17.41 | 0.36 | 3/3 | 17.18 | 0.09 | 3/3 | 17.15 | 0.15 | - | - | - | - | - | - |
| 100 pg | 3/3 | 21.40 | 0.32 | 3/3 | 20.35 | 0.35 | 3/3 | 21.2 | 0.16 | - | - | - | - | - | - |
| 10 pg | 3/3 | 24.42 | 0.22 | 3/3 | 24.29 | 0.24 | 3/3 | 24.3 | 0.17 | 125 | 1197 | 147 | 1328 | 127 | 1163 |
| 1 pg | 3/3 | 27.40 | 0.13 | 3/3 | 27.43 | 0.01 | 3/3 | 27.59 | 0.07 | 2.1 | 112 | 17.8 | 177 | 14.4 | 149 |
| 100 fg | 3/3 | 31.54 | 0.59 | 3/3 | 31.68 | 0.85 | 3/3 | 31.23 | 0.48 | 0.24 | 23 | 1.9 | 19 | 2.5 | 28 |
| 10 fg | 3/3 | 34 | 0.86 | 3/3 | 36.21 | 0.98 | 3/3 | 33.94 | 1.56 | 0.17 | 3 | 0 | 0 | 0.19 | 2 |
| 1 fg | 1/3 | 40.53 | - | 2/3 | 38.31 | 0.21 | 2/3 | 36.87 | 1.73 | 0 | 2 | 0 | 0 | 0 | 0 |
| Std curve parameters | E: 93.50%; r2: 0.987; slope: −3.488; Y int: 20.94 | E: 89.30%; r2: 0.997; slope: −3.607; Y int: 20.65 | E: 100.40%; r2: 0.99; slope: −3.312; Y int: 20.90 | ||||||||||||
| Real Time PCR Cubero et al. (2005) | ddPCR Adapted from Cubero et al. (2005) | ||||||||||||||||||||
|---|---|---|---|---|---|---|---|---|---|---|---|---|---|---|---|---|---|---|---|---|---|
| Lemon Fruit | Orange Fruit | Lemon Leaf | Lemon Fruit | Orange Fruit | Lemon Leaf | ||||||||||||||||
| Bacterial CFU per Reaction | Plant | ||||||||||||||||||||
| N° pos Wells | Ct Mean | St.dev | N° pos Wells | CT MEAN | St.dev | N° pos Wells | Ct Mean | St.dev | N° pos Wells | Positive Droplets Mean | Copies/μL Mean | St.dev | N° pos Wells | Positive droplets Mean | Copies/μL Mean | St.dev | N° pos Wells | Positive Droplets Mean | Copies/μL Mean | St.dev | |
| 107 | 9/9 | 16.40 | 0.64 | 9/9 | 18.4 | 0.35 | 9/9 | 18.5 | 0.71 | - | - | - | - | - | - | - | - | - | - | - | - |
| 106 | 9/9 | 19.93 | 0.16 | 9/9 | 20.3 | 0.18 | 9/9 | 22.9 | 2.14 | - | - | - | - | - | - | - | - | - | - | - | - |
| 105 | 9/9 | 23.06 | 0.46 | 9/9 | 24.2 | 1 | 9/9 | 25.5 | 0.66 | - | - | - | - | - | - | - | - | - | - | - | - |
| 104 | 9/9 | 26.48 | 0.26 | 9/9 | 27.2 | 0.3 | 9/9 | 29.7 | 1.79 | - | - | - | - | - | - | - | - | - | - | - | - |
| 103 | 9/9 | 29.77 | 0.20 | 9/9 | 29.5 | 0.49 | 9/9 | 31.9 | 0.94 | 3/3 | 128 | 10.3 | 1.15 | 3/3 | 149 | 12.8 | 2.51 | 3/3 | 20.7 | 2.3 | 2.51 |
| 102 | 9/9 | 32.96 | 0.48 | 8/9 | 33.2 | 1.15 | 9/9 | 34.1 | 0.56 | 3/3 | 16.3 | 1.22 | 0.68 | 3/3 | 13.7 | 1.18 | 0.90 | 3/3 | 4.66 | 0.45 | 0.32 |
| 101 | 7/9 | 36.10 | 1.43 | 9/9 | 34.8 | 1.34 | 5/9 | 36.52 | 2.04 | 1/3 | 1 | 0.08 | 0.08 | 2/3 | 5.66 | 0.45 | 0.64 | 2/3 | 2.66 | 0.19 | 0.12 |
| Bacterial CFU per reaction | Mericon | ||||||||||||||||||||
| N° pos wells | Ct mean | St.dev | N° pos wells | Ct mean | St.dev | N° pos wells | Ct mean | St.dev | N° pos wells | Positive droplets mean | Copies/μL mean | St.dev | N° pos wells | Positive droplets mean | Copies/μL mean | St.dev | N° pos wells | Positive droplets mean | Copies/μL mean | St.dev | |
| 107 | 9/9 | 17.29 | 0.16 | 9/9 | 19.3 | 0.19 | 9/9 | 17.5 | 0.78 | - | - | - | - | - | - | - | - | - | - | - | - |
| 106 | 9/9 | 19.92 | 0.29 | 9/9 | 21.7 | 0.8 | 9/9 | 20.9 | 0.33 | - | - | - | - | - | - | - | - | - | - | - | - |
| 105 | 9/9 | 22.56 | 0.35 | 9/9 | 24.7 | 0.28 | 9/9 | 24 | 0.2 | - | - | - | - | - | - | - | - | - | - | - | - |
| 104 | 9/9 | 26.09 | 0.36 | 9/9 | 27.9 | 0.51 | 9/9 | 28.2 | 0.8 | - | - | - | - | - | - | - | - | - | - | - | - |
| 103 | 9/9 | 28.95 | 0.41 | 9/9 | 30.2 | 0.32 | 9/9 | 31.6 | 0.74 | 2/3 | 177 | 11.4 | 6.57 | 3/3 | 206 | 18.9 | 2.90 | 3/3 | 22 | 2.13 | 0.76 |
| 102 | 9/9 | 32.08 | 1.24 | 9/9 | 33.1 | 1.7 | 9/9 | 33.3 | 2.35 | 3/3 | 33 | 2.75 | 2.92 | 3/3 | 22.7 | 2.06 | 1.19 | 2/3 | 5.5 | 0.53 | 0.24 |
| 101 | 9/9 | 32.3 | 1.69 | 7/9 | 36.1 | 1.14 | 7/9 | 34.5 | 1.58 | 3/3 | 11.7 | 1.1 | 0.34 | 2/3 | 1.66 | 0.13 | 0.05 | 1/3 | 3.66 | 0.36 | 0.63 |
| Bacterial CFU per reaction | Ctab | ||||||||||||||||||||
| N° pos wells | Ct mean | St.dev | N° pos wells | Ct mean | St.dev | N°pos wells | Ct mean | St.dev | N° pos wells | Positive droplets mean | Copies/μL mean | St.dev | N° pos wells | Positive droplets mean | Copies/μL mean | St.dev | N° pos wells | Positive droplets mean | Copies/μL mean | St.dev | |
| 107 | 9/9 | 16.53 | 0.56 | 9/9 | 20.1 | 0.23 | 9/9 | 18.3 | 0.36 | - | - | - | - | - | - | - | - | - | - | - | - |
| 106 | 9/9 | 20.79 | 0.17 | 9/9 | 22.2 | 0.74 | 9/9 | 22.3 | 0.16 | - | - | - | - | - | - | - | - | - | - | - | - |
| 105 | 9/9 | 23.850 | 0.52 | 9/9 | 25.1 | 0.22 | 9/9 | 25.7 | 0.19 | - | - | - | - | - | - | - | - | - | - | - | - |
| 104 | 9/9 | 28.75 | 2.09 | 9/9 | 29.2 | 0.99 | 9/9 | 28.8 | 0.61 | - | - | - | - | - | - | - | - | - | - | - | - |
| 103 | 9/9 | 30.24 | 0.45 | 9/9 | 30.1 | 0.66 | 9/9 | 31.6 | 0.67 | 2/3 | 103 | 8 | 0.28 | 3/3 | 79.7 | 6.9 | 2.38 | 3/3 | 46 | 4.13 | 2.22 |
| 102 | 9/9 | 32.7 | 1.04 | 9/9 | 34.3 | 1.09 | 9/9 | 33.5 | 0.78 | 2/3 | 23.5 | 1.32 | 1.94 | 2/3 | 6 | 0.57 | 0.41 | 3/3 | 10.7 | 1.03 | 0.92 |
| 101 | 9/9 | 32.9 | 1.72 | 7/9 | 37.6 | 2.31 | 9/9 | 34.6 | 1.9 | 2/3 | 9.5 | 0.75 | 1.06 | 1/3 | 1 | 0.09 | 0.09 | 2/3 | 3.5 | 1.51 | 0.10 |
| Bacterial CFU per Reaction | Quick | ||||||||||||||||||||
| N° pos wells | Ct mean | St.dev | N° pos wells | Ct mean | St.dev | N°pos wells | Ct mean | St.dev | N° pos wells | Positive droplets mean | Copies/μL mean | St.dev | N° pos wells | Positive droplets mean | Copies/μL mean | St.dev | N° pos wells | Positive droplets mean | Copies/μL mean | St.dev | |
| 107 | 9/9 | 17.3 | 0.16 | 9/9 | 18.8 | 0.17 | 9/9 | 17.3 | 0.69 | - | - | - | - | - | - | - | - | - | - | - | - |
| 106 | 9/9 | 19.6 | 0.8 | 9/9 | 20.9 | 0.33 | 9/9 | 19.4 | 0.36 | - | - | - | - | - | - | - | - | - | - | - | - |
| 105 | 9/9 | 22.4 | 0.78 | 9/9 | 24.2 | 0.44 | 9/9 | 23 | 0.17 | - | - | - | - | - | - | - | - | - | - | - | - |
| 104 | 9/9 | 25.4 | 0.15 | 9/9 | 27.2 | 0.37 | 9/9 | 26.9 | 0.46 | - | - | - | - | - | - | - | - | - | - | - | - |
| 103 | 9/9 | 29.8 | 0.74 | 9/9 | 29.4 | 0.34 | 9/9 | 30.8 | 0.66 | 2/3 | 99 | 8.9 | 7.35 | 3/3 | 177 | 17.5 | 2.46 | 3/3 | 50.3 | 4.46 | 1.70 |
| 102 | 9/9 | 30.5 | 1.47 | 9/9 | 32.8 | 0.51 | 9/9 | 32.8 | 0.53 | 2/3 | 67.6 | 5.36 | 7.23 | 2/3 | 16 | 1.55 | 0.49 | 2/3 | 15 | 1.35 | 0.49 |
| 101 | 8/9 | 32.1 | 1.72 | 6/9 | 35.20 | 0.97 | 9/9 | 35.3 | 1.18 | 3/3 | 16.7 | 1.74 | 2.65 | 2/3 | 3.5 | 0.3 | 0.04 | 3/3 | 11 | 0.82 | 0.68 |
| Bacterial Culture (NCPPB 3234) | |||||
|---|---|---|---|---|---|
| Real Time PCR Cubero et al. (2005) | ddPCR Adapted from Cubero et al. (2005) | ||||
| ng per Reaction | N° pos Wells | Ct Mean | St.dev | Copies/µL | Positive Droplets |
| 1ng | 3/3 | 17.15 | 0.23 | - | - |
| 100pg | 3/3 | 20.77 | 0.44 | - | - |
| 10pg | 3/3 | 24.26 | 0.47 | 163 | 1971 |
| 1pg | 3/3 | 27.86 | 0.39 | 13.30 | 135 |
| 100fg | 3/3 | 31.88 | 0.81 | 1.80 | 22 |
| 10fg | 3/3 | 33.16 | 0.60 | 0.16 | 2 |
| 1fg | 3/3 | 37.77 | 0.42 | 0.09 | 1 |
| Std curve parameters | E: 98.7%; r2: 0.984; slope: −3.353; Y int: 21.845 | ||||
| Mericon | Ctab | Quick | Plant | |
|---|---|---|---|---|
| Lemon Fruit | 30% | 50% | 5% | 20% |
| Orange Fruit | 20% | 40% | 25% | 10% |
| Lemon Leaf | 35% | 40% | 5% | 45% |
| Mean | 28% | 43% | 11% | 25% |
| Performance Criteria | Lemon Fruit | Orange Fruit | Lemon Leaves | |||||||||
|---|---|---|---|---|---|---|---|---|---|---|---|---|
| Plant | Mericon | Ctab | Quick | Plant | Mericon | Ctab | Quick | Plant | Mericon | Ctab | Quick | |
| PA | 45 | 45 | 45 | 45 | 45 | 45 | 45 | 45 | 45 | 45 | 45 | 45 |
| ND | 0 | 0 | 0 | 0 | 0 | 0 | 0 | 0 | 0 | 0 | 0 | 0 |
| NA | 20 | 20 | 20 | 20 | 20 | 20 | 20 | 20 | 20 | 20 | 20 | 20 |
| PD | 0 | 0 | 0 | 0 | 0 | 0 | 0 | 0 | 0 | 0 | 0 | 0 |
| Target | 45 | 45 | 45 | 45 | 45 | 45 | 45 | 45 | 45 | 45 | 45 | 45 |
| Non-target | 20 | 20 | 20 | 20 | 20 | 20 | 20 | 20 | 20 | 20 | 20 | 20 |
| Total samples | 65 | 65 | 65 | 65 | 65 | 65 | 65 | 65 | 65 | 65 | 65 | 65 |
| Diagnostic sensitivity | 100% | 100% | 100% | 100% | 100% | 100% | 100% | 100% | 100% | 100% | 100% | 100% |
| Diagnostic specificity | 100% | 100% | 100% | 100% | 100% | 100% | 100% | 100% | 100% | 100% | 100% | 100% |
| Accuracy | 100% | 100% | 100% | 100% | 100% | 100% | 100% | 100% | 100% | 100% | 100% | 100% |
| Plant Matrices | ||||
|---|---|---|---|---|
| DEM | Detection Method | Lemon Fruit | Orange Fruit | Lemon Leaf |
| Plant | real-time PCR | 102 | 103 | 102 |
| Mericon | 103 | 103 | 103 | |
| Ctab | 103 | 103 | 102 | |
| Quick | 103 | 102 | 102 | |
| Plant | ddPCR | 102 | 10 | 10 |
| Mericon | 10 | 102 | 10 | |
| Ctab | 10 | 102 | 10 | |
| Quick | 10 | 10 | 10 | |
| Plant Specie | Matrix | Place of Sampling | Year of Sampling |
|---|---|---|---|
| Orange | Fruit | Rome (Italy) | 2020 |
| Lemon | Leaves | Latina (Italy) | 2020 |
| Lemon | Fruit | Naples (Italy) | 2020 |
Publisher’s Note: MDPI stays neutral with regard to jurisdictional claims in published maps and institutional affiliations. |
© 2022 by the authors. Licensee MDPI, Basel, Switzerland. This article is an open access article distributed under the terms and conditions of the Creative Commons Attribution (CC BY) license (https://creativecommons.org/licenses/by/4.0/).
Share and Cite
Pucci, N.; Scala, V.; Tatulli, G.; L’Aurora, A.; Lucchesi, S.; Salustri, M.; Loreti, S. Intra-Laboratory Evaluation of DNA Extraction Methods and Assessment of a Droplet Digital PCR for the Detection of Xanthomonas citri pv. citri on Different Citrus Species. Int. J. Mol. Sci. 2022, 23, 4975. https://doi.org/10.3390/ijms23094975
Pucci N, Scala V, Tatulli G, L’Aurora A, Lucchesi S, Salustri M, Loreti S. Intra-Laboratory Evaluation of DNA Extraction Methods and Assessment of a Droplet Digital PCR for the Detection of Xanthomonas citri pv. citri on Different Citrus Species. International Journal of Molecular Sciences. 2022; 23(9):4975. https://doi.org/10.3390/ijms23094975
Chicago/Turabian StylePucci, Nicoletta, Valeria Scala, Giuseppe Tatulli, Alessia L’Aurora, Simone Lucchesi, Manuel Salustri, and Stefania Loreti. 2022. "Intra-Laboratory Evaluation of DNA Extraction Methods and Assessment of a Droplet Digital PCR for the Detection of Xanthomonas citri pv. citri on Different Citrus Species" International Journal of Molecular Sciences 23, no. 9: 4975. https://doi.org/10.3390/ijms23094975
APA StylePucci, N., Scala, V., Tatulli, G., L’Aurora, A., Lucchesi, S., Salustri, M., & Loreti, S. (2022). Intra-Laboratory Evaluation of DNA Extraction Methods and Assessment of a Droplet Digital PCR for the Detection of Xanthomonas citri pv. citri on Different Citrus Species. International Journal of Molecular Sciences, 23(9), 4975. https://doi.org/10.3390/ijms23094975

