Gene Expression of Pregnancy Neutrophils Differs for Protease versus Lipopolysaccharide Stimulation
Abstract
1. Introduction
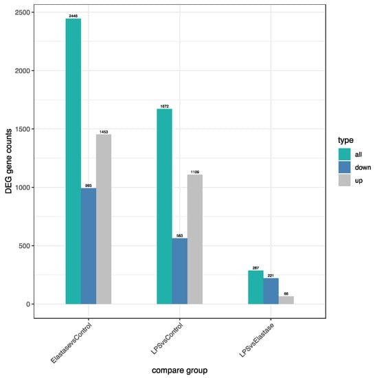
2. Results
3. Discussion
4. Materials and Methods
4.1. Study Subjects
4.2. Neutrophil Cell Culture and RNA Sequencing
5. Conclusions
Author Contributions
Funding
Institutional Review Board Statement
Informed Consent Statement
Data Availability Statement
Conflicts of Interest
References
- Leik, C.E.; Walsh, S.W. Neutrophils Infiltrate Resistance-Sized Vessels of Subcutaneous Fat in Women with Preeclampsia. Hypertension 2004, 44, 72–77. [Google Scholar] [CrossRef] [PubMed]
- Mishra, N.; Nugent, W.H.; Mahavadi, S.; Walsh, S.W. Mechanisms of Enhanced Vascular Reactivity in Preeclampsia. Hypertension 2011, 58, 867–873. [Google Scholar] [CrossRef] [PubMed]
- Shah, T.J.; Walsh, S.W. Activation of NF-κB and expression of COX-2 in association with neutrophil infiltration in systemic vascular tissue of women with preeclampsia. Am. J. Obstet. Gynecol. 2007, 196, 48.e1–48.e8. [Google Scholar] [CrossRef] [PubMed]
- Wang, Y.; Gu, Y.; Lucas, M.J. Expression of thrombin receptors in endothelial cells and neutrophils from normal and preeclamptic pregnancies. J. Clin. Endocrinol. Metab. 2002, 87, 3728–3734. [Google Scholar] [CrossRef][Green Version]
- Shpacovitch, V.; Feld, M.; Hollenberg, M.D.; Luger, T.A.; Steinhoff, M. Role of protease-activated receptors in inflammatory responses, innate and adaptive immunity. J. Leukoc. Biol. 2008, 83, 1309–1322. [Google Scholar] [CrossRef]
- Walsh, S.W.; Nugent, W.H.; Al Dulaimi, M.; Washington, S.L.; Dacha, P.; Strauss, J.F., 3rd. Proteases Activate Pregnancy Neutrophils by a Protease-Activated Receptor 1 Pathway: Epigenetic Implications for Preeclampsia. Reprod. Sci. 2020, 27, 2115–2127. [Google Scholar] [CrossRef]
- Cadroy, Y.; Grandjean, H.; Pichon, J.; Desprats, R.; Berrebi, A.; Fournié, A.; Boneu, B. Evaluation of six markers of haemostatic system in normal pregnancy and pregnancy complicated by hypertension or pre-eclampsia. Br. J. Obstet. Gynaecol. 1993, 100, 416–420. [Google Scholar] [CrossRef]
- Chaiworapongsa, T.; Yoshimatsu, J.; Espinoza, J.; Kim, Y.M.; Berman, S.; Edwin, S.; Yoon, B.H.; Romero, R. Evidence ofin vivogeneration of thrombin in patients with small-for-gestational-age fetuses and pre-eclampsia. J. Matern. Neonatal Med. 2002, 11, 362–367. [Google Scholar] [CrossRef]
- Greer, I.A.; Haddad, N.G.; Dawes, J.; Johnstone, F.D.; Calder, A.A. Neutrophil activation in pregnancy-induced hypertension. BJOG Int. J. Obstet. Gynaecol. 1989, 96, 978–982. [Google Scholar] [CrossRef]
- Gupta, A.; Gebhardt, S.; Hillermann, R.; Holzgreve, W.; Hahn, S. Analysis of plasma elastase levels in early and late onset preeclampsia. Arch. Gynecol. Obstet. 2005, 273, 239–242. [Google Scholar] [CrossRef]
- Schjetlein, R.; Haugen, G.; Wisløff, F. Markers of intravascular coagulation and fibrinolysis in preeclampsia: Association with intrauterine growth retardation. Acta Obstet. Gynecol. Scand. 1997, 76, 541–546. [Google Scholar] [CrossRef] [PubMed]
- Van Wijk, M.J.; Boer, K.; Berckmans, R.J.; Meijers, J.C.; van der Post, J.A.; Sturk, A.; Van Bavel, E.; Nieuwland, R. Enhanced coagulation activation in preeclampsia: The role of APC resistance, microparticles and other plasma constituents. Thromb. Haemost. 2002, 88, 415–420. [Google Scholar] [CrossRef]
- Cadden, K.A.; Walsh, S.W. Neutrophils, but Not Lymphocytes or Monocytes, Infiltrate Maternal Systemic Vasculature in Women with Preeclampsia. Hypertens. Pregnancy 2008, 27, 396–405. [Google Scholar] [CrossRef] [PubMed]
- Walsh, S.W.; Nugent, W.H.; Archer, K.J.; Al Dulaimi, M.; Washington, S.L.; Strauss, J.F. Epigenetic Regulation of Interleukin-17-Related Genes and Their Potential Roles in Neutrophil Vascular Infiltration in Preeclampsia. Reprod. Sci. 2022, 29, 154–162. [Google Scholar] [CrossRef] [PubMed]
- Sacks, G.P.; Studena, K.; Sargent, I.L.; Redman, C.W. Normal pregnancy and preeclampsia both produce inflammatory changes in peripheral blood leukocytes akin to those of sepsis. Am. J. Obstet. Gynecol. 1998, 179, 80–86. [Google Scholar] [CrossRef]
- Walsh, S.W.; Al Dulaimi, M.; Archer, K.J.; Strauss, J.F. Patterns of Maternal Neutrophil Gene Expression at 30 Weeks of Gestation, but Not DNA Methylation, Distinguish Mild from Severe Preeclampsia. Int. J. Mol. Sci. 2021, 22, 12876. [Google Scholar] [CrossRef]
- Whitmarsh, A.J. Regulation of gene transcription by mitogen-activated protein kinase signaling pathways. Biochim. Biophys. Acta 2007, 1773, 1285–1298. [Google Scholar] [CrossRef]
- Jiang, K.; Sun, X.; Chen, Y.; Shen, Y.; Jarvis, J.N. RNA sequencing from human neutrophils reveals distinct transcriptional differences associated with chronic inflammatory states. BMC Med. Genom. 2015, 8, 55. [Google Scholar] [CrossRef][Green Version]
- Walsh, S.W.; Vaughan, J.E.; Wang, Y.; Roberts, L.J., II. Placental isoprostane is significantly increased in preeclampsia. FASEB J. 2000, 14, 1289–1296. [Google Scholar] [CrossRef]
- Walsh, S.W.; Wang, Y. Secretion of lipid peroxides by the human placenta. Am. J. Obstet. Gynecol. 1993, 169, 1462–1466. [Google Scholar] [CrossRef]
- Görög, P. Activation of human blood monocytes by oxidized polyunsaturated fatty acids: A possible mechanism for the generation of lipid peroxides in the circulation. Int. J. Exp. Pathol. 1991, 72, 227–237. [Google Scholar] [PubMed]
- Vaughan, J.E.; Walsh, S.W. Neutrophils from pregnant women produce thromboxane and tumor necrosis factor-α in response to linoleic acid and oxidative stress. Am. J. Obstet. Gynecol. 2005, 193, 830–835. [Google Scholar] [CrossRef] [PubMed]
- Vaughan, J.E.; Walsh, S.W.; Ford, G.D. Thromboxane mediates neutrophil superoxide production in pregnancy. Am. J. Obstet. Gynecol. 2006, 195, 1415–1420. [Google Scholar] [CrossRef] [PubMed]
- Bachawaty, T.; Washington, S.L.; Walsh, S.W. Neutrophil Expression of Cyclooxygenase 2 in Preeclampsia. Reprod. Sci. 2010, 17, 465–470. [Google Scholar] [CrossRef][Green Version]
- Conrad, K.P.; Miles, T.M.; Benyo, D.F. Circulating Levels of Immunoreactive Cytokines in Women with Preeclampsia. Am. J. Reprod. Immunol. 1998, 40, 102–111. [Google Scholar] [CrossRef]
- Ferguson, K.K.; Meeker, J.; McElrath, T.F.; Mukherjee, B.; Cantonwine, D.E. Repeated measures of inflammation and oxidative stress biomarkers in preeclamptic and normotensive pregnancies. Am. J. Obstet. Gynecol. 2016, 216, 527.e1–527.e9. [Google Scholar] [CrossRef]
- Kupferminc, M.J.; Peaceman, A.M.; Wigton, T.R.; Rehnberg, K.A.; Socol, M.L. Tumor necrosis factor-alpha is elevated in plasma and amniotic fluid of patients with severe preeclampsia. Am. J. Obstet. Gynecol. 1994, 170, 1752–1759. [Google Scholar] [CrossRef]
- Ferrante, A. Activation of neutrophils by interleukins-1 and -2 and tumor necrosis factors. Immunol. Ser. 1992, 57, 417–436. [Google Scholar]
- Richter, J.; Gullberg, U.; Lantz, M. TNF-induced superoxide anion production in adherent human neutrophils involves both the p55 and p75 TNF receptor. J. Immunol. 1995, 154, 4142–4149. [Google Scholar]
- Smart, S.J.; Casale, T.B. TNF-alpha-induced transendothelial neutrophil migration is IL-8 dependent. Am. J. Physiol. Cell. Mol. Physiol. 1994, 266, L238–L245. [Google Scholar] [CrossRef]
- Hayashi, M.; Hamada, Y.; Ohkura, T. Elevation of granulocyte-macrophage colony-stimulating factor in the placenta and blood in preeclampsia. Am. J. Obstet. Gynecol. 2004, 190, 456–461. [Google Scholar] [CrossRef] [PubMed]
- Matsubara, K.; Ochi, H.; Kitagawa, H.; Yamanaka, K.; Kusanagi, Y.; Ito, M. Concentrations of Serum Granulocyte-Colony-Stimulating Factor in Normal Pregnancy and Preeclampsia. Hypertens. Pregnancy 1999, 18, 95–106. [Google Scholar] [CrossRef] [PubMed]
- Ina, K.; Kusugami, K.; Yamaguchi, T.; Imada, A.; Hosokawa, T.; Ohsuga, M.; Shinoda, M.; Ando, T.; Ito, K.; Yokoyama, Y. Mucosal interleukin-8 is involved in neutrophil migration and binding to extracellular matrix in inflammatory bowel disease. Am. J. Gastroenterol. 1997, 92, 1342–1346. [Google Scholar] [PubMed]
- Mellembakken, J.R.; Aukrust, P.; Hestdal, K.; Ueland, T.; Abyholm, T.; Videm, V. Chemokines and leukocyte activation in the fetal circulation during preeclampsia. Hypertension 2001, 38, 394–398. [Google Scholar] [CrossRef] [PubMed]
- Romero, R.; Ceska, M.; Avila, C.; Mazor, M.; Behnke, E.; Lindley, I. Neutrophil attractant/activating peptide-1/interleukin-8 in term and preterm parturition. Am. J. Obstet. Gynecol. 1991, 165 Pt 1, 813–820. [Google Scholar] [CrossRef]
- Smart, S.J.; Casale, T.B. Interleukin-8-induced Transcellular Neutrophil Migration Is Facilitated by Endothelial and Pulmonary Epithelial Cells. Am. J. Respir. Cell Mol. Biol. 1993, 9, 489–495. [Google Scholar] [CrossRef]
- Hu, Y.; Yan, R.; Zhang, C.; Zhou, Z.; Liu, M.; Wang, C.; Zhang, H.; Dong, L.; Zhou, T.; Wu, Y.; et al. High-Mobility Group Box 1 From Hypoxic Trophoblasts Promotes Endothelial Microparticle Production and Thrombophilia in Preeclampsia. Arter. Thromb. Vasc. Biol. 2018, 38, 1381–1391. [Google Scholar] [CrossRef]
- Pradervand, P.-A.; Clerc, S.; Frantz, J.; Rotaru, C.; Bardy, D.; Waeber, B.; Liaudet, L.; Vial, Y.; Feihl, F. High mobility group box 1 protein (HMGB-1): A pathogenic role in preeclampsia? Placenta 2014, 35, 784–786. [Google Scholar] [CrossRef]
- Park, J.S.; Arcaroli, J.; Yum, H.-K.; Yang, H.; Wang, H.; Yang, K.-Y.; Choe, K.-H.; Strassheim, D.; Pitts, T.M.; Tracey, K.J.; et al. Activation of gene expression in human neutrophils by high mobility group box 1 protein. Am. J. Physiol. Physiol. 2003, 284, C870–C879. [Google Scholar] [CrossRef]
- Estrada-Gutierrez, G.; Cappello, R.E.; Mishra, N.; Romero, R.; Strauss, J.F., 3rd; Walsh, S.W. Increased Expression of Matrix Metalloproteinase-1 in Systemic Vessels of Preeclamptic Women: A Critical Mediator of Vascular Dysfunction. Am. J. Pathol. 2011, 178, 451–460. [Google Scholar] [CrossRef]




| Elastase vs. Control | ||
|---|---|---|
| Pathway Description | Number of Genes | padj |
| cytokine receptor binding | 40 | 4.44 × 10−8 |
| cytokine activity | 34 | 4.44 × 10−8 |
| chemokine activity | 12 | 0.00023355 |
| chemokine receptor binding | 13 | 0.0004327 |
| MAP kinase phosphatase activity | 7 | 0.00044775 |
| receptor regulator activity | 42 | 0.00200428 |
| receptor ligand activity | 40 | 0.00200428 |
| MAP kinase tyrosine/serine/threonine phosphatase activity | 6 | 0.00266583 |
| CCR chemokine receptor binding | 8 | 0.00933415 |
| growth factor receptor binding | 17 | 0.01480743 |
| growth factor activity | 17 | 0.04707246 |
| LPS vs. Control | ||
| Pathway Description | Number of Genes | padj |
| cytokine receptor binding | 39 | 5.63 × 10−10 |
| cytokine activity | 31 | 2.43 × 10−8 |
| chemokine activity | 12 | 1.62 × 10−5 |
| chemokine receptor binding | 13 | 3.10 × 10−5 |
| CCR chemokine receptor binding | 9 | 0.00031289 |
| receptor ligand activity | 37 | 0.00031289 |
| receptor regulator activity | 37 | 0.00131844 |
| MAP kinase tyrosine/serine/threonine phosphatase activity | 5 | 0.01543015 |
| 14-3-3 protein binding | 7 | 0.01543015 |
| G-protein coupled receptor binding | 23 | 0.01698056 |
| MAP kinase phosphatase activity | 5 | 0.01759535 |
| RNA polymerase II proximal promoter sequence-specific DNA binding | 33 | 0.02366222 |
| growth factor receptor binding | 14 | 0.03717801 |
| proximal promoter sequence-specific DNA binding | 33 | 0.03773685 |
| RNA polymerase II distal enhancer sequence-specific DNA binding | 10 | 0.04702544 |
| lipoprotein particle binding | 6 | 0.04702544 |
| protein–lipid complex binding | 6 | 0.04702544 |
| Elastase vs. Control | ||
|---|---|---|
| Pathway Description | Number of Genes | padj |
| TNF signaling pathway | 34 | 1.32 × 10−13 |
| IL-17 signaling pathway | 27 | 1.03 × 10−10 |
| NOD-like receptor signaling pathway | 37 | 1.03 × 10−10 |
| C-type lectin receptor signaling pathway | 24 | 6.11 × 10−7 |
| NF-kappa B signaling pathway | 21 | 4.46 × 10−6 |
| Cytokine-cytokine receptor interaction | 35 | 8.26 × 10−5 |
| Toll-like receptor signaling pathway | 17 | 0.000551 |
| RIG-I-like receptor signaling pathway | 13 | 0.00103201 |
| Chemokine signaling pathway | 25 | 0.00135461 |
| Cytosolic DNA-sensing pathway | 11 | 0.00221418 |
| AGE-RAGE signaling pathway in diabetic complications | 16 | 0.00281374 |
| Necroptosis | 21 | 0.00440828 |
| Neurotrophin signaling pathway | 17 | 0.0127872 |
| JAK-STAT signaling pathway | 19 | 0.01428866 |
| Th17 cell differentiation | 14 | 0.01622074 |
| MAPK signaling pathway | 30 | 0.02969086 |
| Th1 and Th2 cell differentiation | 12 | 0.03381456 |
| LPS vs. Control | ||
| Pathway Description | Number of Genes | padj |
| TNF signaling pathway | 27 | 1.14 × 10−9 |
| IL-17 signaling pathway | 23 | 1.01 × 10−8 |
| NF-kappa B signaling pathway | 22 | 9.69 × 10−8 |
| C-type lectin receptor signaling pathway | 22 | 6.87 × 10−7 |
| NOD-like receptor signaling pathway | 27 | 1.98 × 10−6 |
| Cytokine-cytokine receptor interaction | 31 | 6.38 × 10−5 |
| RIG-I-like receptor signaling pathway | 13 | 0.00018154 |
| Toll-like receptor signaling pathway | 16 | 0.0002092 |
| Chemokine signaling pathway | 23 | 0.00065273 |
| AGE-RAGE signaling pathway in diabetic complications | 14 | 0.00820716 |
| Cytosolic DNA-sensing pathway | 9 | 0.00845507 |
| JAK-STAT signaling pathway | 17 | 0.01259687 |
| Th17 cell differentiation | 13 | 0.01280896 |
| B cell receptor signaling pathway | 11 | 0.01290435 |
| Necroptosis | 17 | 0.01834355 |
| Adipocytokine signaling pathway | 10 | 0.0190038 |
| T cell receptor signaling pathway | 13 | 0.0190038 |
| Neurotrophin signaling pathway | 14 | 0.02891941 |
| Th1 and Th2 cell differentiation | 11 | 0.03029502 |
| Ferroptosis | 7 | 0.03301585 |
| Apoptosis | 15 | 0.03522501 |
| Variable | Normal Pregnant n = 9 |
|---|---|
| Maternal age (years) | 29.8 ± 4.4 |
| Pre-pregnancy BMI (kg/m2) | 29.5 ± 11.3 |
| BMI at sample collection (kg/m2) | 34.5 ± 11.4 |
| Systolic blood pressure at 30 Weeks (mmHg) | 109 ± 13 |
| Diastolic blood pressure at 30 Weeks (mmHg) | 68 ± 11 |
| Primiparous | 1 |
| Multiparous | 8 |
| Race | |
| White | 4 |
| Black | 3 |
| Hispanic | 1 |
| Asian | 1 |
| Type of Delivery | |
| C-section | 2 |
| Vaginal | 7 |
| Gestational age at sample collection (weeks) | 29.6 ± 2.6 |
| Gestational age at delivery (weeks) | 38.7 ± 2.4 |
| Infant birth weight (grams) | 3288 ± 322 |
Publisher’s Note: MDPI stays neutral with regard to jurisdictional claims in published maps and institutional affiliations. |
© 2022 by the authors. Licensee MDPI, Basel, Switzerland. This article is an open access article distributed under the terms and conditions of the Creative Commons Attribution (CC BY) license (https://creativecommons.org/licenses/by/4.0/).
Share and Cite
Walsh, S.W.; Al Dulaimi, M.; Strauss, J.F., III. Gene Expression of Pregnancy Neutrophils Differs for Protease versus Lipopolysaccharide Stimulation. Int. J. Mol. Sci. 2022, 23, 4924. https://doi.org/10.3390/ijms23094924
Walsh SW, Al Dulaimi M, Strauss JF III. Gene Expression of Pregnancy Neutrophils Differs for Protease versus Lipopolysaccharide Stimulation. International Journal of Molecular Sciences. 2022; 23(9):4924. https://doi.org/10.3390/ijms23094924
Chicago/Turabian StyleWalsh, Scott W., Marwah Al Dulaimi, and Jerome F. Strauss, III. 2022. "Gene Expression of Pregnancy Neutrophils Differs for Protease versus Lipopolysaccharide Stimulation" International Journal of Molecular Sciences 23, no. 9: 4924. https://doi.org/10.3390/ijms23094924
APA StyleWalsh, S. W., Al Dulaimi, M., & Strauss, J. F., III. (2022). Gene Expression of Pregnancy Neutrophils Differs for Protease versus Lipopolysaccharide Stimulation. International Journal of Molecular Sciences, 23(9), 4924. https://doi.org/10.3390/ijms23094924

