Aqueous-Deficient Dry Eye Exacerbates Signs and Symptoms of Allergic Conjunctivitis in Mice
Abstract
1. Introduction
2. Results
2.1. Effects of AC on Dry Eye
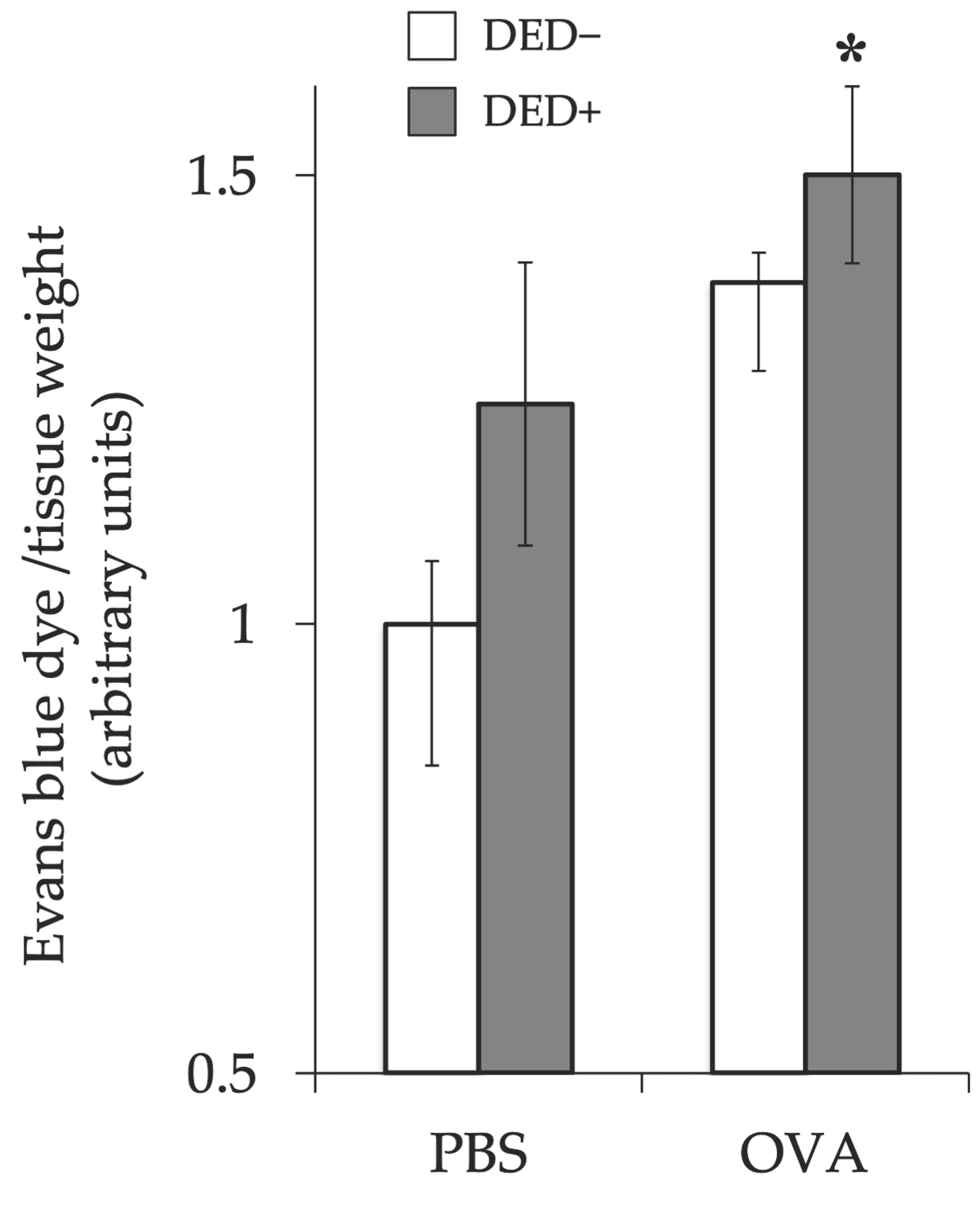
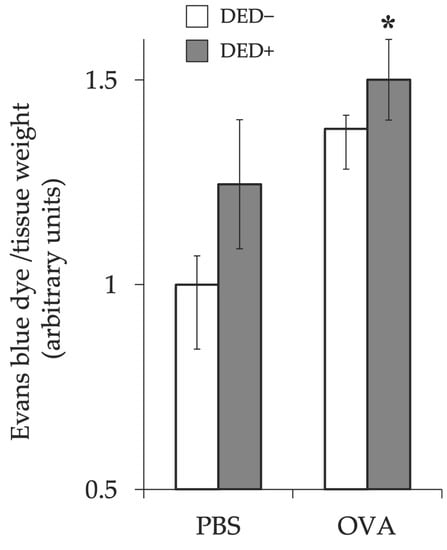
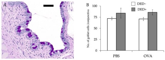
2.2. Effects of Dry Eye on AC
3. Discussion
4. Materials and Methods
4.1. Ethical Treatment of Animals
4.2. Experimental Procedure for Lacrimal Grand Excision and Experimental Allergic Conjunctivitis
4.3. Evaluation of Dry Eye
4.4. Evaluation of Clinical Conjunctival Allergic Reaction
4.5. Histological Analysis of Periodic Acid-Schiff Staining, and LC-Biotin Assay
4.6. Statistical Analysis
Author Contributions
Funding
Institutional Review Board Statement
Informed Consent Statement
Data Availability Statement
Conflicts of Interest
References
- Miyazaki, D.; Takamura, E.; Uchio, E.; Ebihara, N.; Ohno, S.; Ohashi, Y.; Okamoto, S.; Satake, Y.; Shoji, J.; Namba, K.; et al. Japanese guidelines for allergic conjunctival diseases 2020. Allergol. Int. 2020, 69, 346–355. [Google Scholar] [CrossRef] [PubMed]
- Miyazaki, D.; Fukagawa, K.; Fukushima, A.; Fujishima, H.; Uchio, E.; Ebihara, N.; Shoji, J.; Takamura, E.; Namba, K.; Ohashi, Y.; et al. Air pollution significantly associated with severe ocular allergic inflammatory diseases. Sci. Rep. 2019, 9, 18205. [Google Scholar] [CrossRef] [PubMed]
- Craig, J.P.; Nichols, K.K.; Akpek, E.K.; Caffery, B.; Dua, H.S.; Joo, C.K.; Liu, Z.; Nelson, J.D.; Nichols, J.J.; Tsubota, K.; et al. TFOS DEWS II Definition and Classification Report. Ocul. Surf. 2017, 15, 276–283. [Google Scholar] [CrossRef]
- Stapleton, F.; Alves, M.; Bunya, V.Y.; Jalbert, I.; Lekhanont, K.; Malet, F.; Na, K.S.; Schaumberg, D.; Uchino, M.; Vehof, J.; et al. TFOS DEWS II Epidemiology Report. Ocul. Surf. 2017, 15, 334–365. [Google Scholar] [CrossRef]
- Hanyuda, A.; Sawada, N.; Uchino, M.; Kawashima, M.; Yuki, K.; Tsubota, K.; Tanno, K.; Sakata, K.; Yamagishi, K.; Iso, H.; et al. Relationship between unhealthy sleep status and dry eye symptoms in a Japanese population: The JPHC-NEXT study. Ocul. Surf. 2021, 21, 306–312. [Google Scholar] [CrossRef]
- Yokoi, N.; Uchino, M.; Uchino, Y.; Dogru, M.; Kawashima, M.; Komuro, A.; Sonomura, Y.; Kato, H.; Tsubota, K.; Kinoshita, S. Importance of tear film instability in dry eye disease in office workers using visual display terminals: The Osaka study. Am. J. Ophthalmol. 2015, 159, 748–754. [Google Scholar] [CrossRef]
- Uchino, M.; Schaumberg, D.A.; Dogru, M.; Uchino, Y.; Fukagawa, K.; Shimmura, S.; Satoh, T.; Takebayashi, T.; Tsubota, K. Prevalence of dry eye disease among Japanese visual display terminal users. Ophthalmology 2008, 115, 1982–1988. [Google Scholar] [CrossRef]
- Hom, M.M.; Nguyen, A.L.; Bielory, L. Allergic conjunctivitis and dry eye syndrome. Ann. Allergy Asthma Immunol. 2012, 108, 163–166. [Google Scholar] [CrossRef]
- Galor, A.; Small, L.; Feuer, W.; Levitt, R.C.; Sarantopoulos, K.D.; Yosipovitch, G. The Relationship Between Ocular Itch, Ocular Pain, and Dry Eye Symptoms (An American Ophthalmological Society Thesis). Trans. Am. Ophthalmol. Soc. 2017, 115, T5. [Google Scholar]
- Dogru, M.; Gunay, M.; Celik, G.; Aktas, A. Evaluation of the tear film instability in children with allergic diseases. Cutan. Ocul. Toxicol. 2016, 35, 49–52. [Google Scholar] [CrossRef]
- Ibrahim, O.M.; Matsumoto, Y.; Dogru, M.; Adan, E.S.; Wakamatsu, T.H.; Shimazaki, J.; Fujishima, H.; Tsubota, K. In vivo confocal microscopy evaluation of meibomian gland dysfunction in atopic-keratoconjunctivitis patients. Ophthalmology 2012, 119, 1961–1968. [Google Scholar] [CrossRef] [PubMed]
- Wakamatsu, T.H.; Okada, N.; Kojima, T.; Matsumoto, Y.; Ibrahim, O.M.; Dogru, M.; Adan, E.S.; Fukagawa, K.; Katakami, C.; Tsubota, K.; et al. Evaluation of conjunctival inflammatory status by confocal scanning laser microscopy and conjunctival brush cytology in patients with atopic keratoconjunctivitis (AKC). Mol. Vis. 2009, 15, 1611–1619. [Google Scholar] [PubMed]
- Dogru, M.; Matsumoto, Y.; Okada, N.; Igarashi, A.; Fukagawa, K.; Shimazaki, J.; Tsubota, K.; Fujishima, H. Alterations of the ocular surface epithelial MUC16 and goblet cell MUC5AC in patients with atopic keratoconjunctivitis. Allergy 2008, 63, 1324–1334. [Google Scholar] [CrossRef] [PubMed]
- Hu, Y.; Matsumoto, Y.; Dogru, M.; Okada, N.; Igarashi, A.; Fukagawa, K.; Tsubota, K.; Fujishima, H. The differences of tear function and ocular surface findings in patients with atopic keratoconjunctivitis and vernal keratoconjunctivitis. Allergy 2007, 62, 917–925. [Google Scholar] [CrossRef]
- Suzuki, S.; Goto, E.; Dogru, M.; Asano-Kato, N.; Matsumoto, Y.; Hara, Y.; Fujishima, H.; Tsubota, K. Tear film lipid layer alterations in allergic conjunctivitis. Cornea 2006, 25, 277–280. [Google Scholar] [CrossRef]
- Onguchi, T.; Dogru, M.; Okada, N.; Kato, N.A.; Tanaka, M.; Takano, Y.; Fukagawa, K.; Shimazaki, J.; Tsubota, K.; Fujishima, H. The impact of the onset time of atopic keratoconjunctivitis on the tear function and ocular surface findings. Am. J. Ophthalmol. 2006, 141, 569–571. [Google Scholar] [CrossRef]
- Dogru, M.; Asano-Kato, N.; Tanaka, M.; Igarashi, A.; Shimmura, S.; Shimazaki, J.; Okada, N.; Takano, Y.; Fukagawa, K.; Tsubota, K.; et al. Ocular surface and MUC5AC alterations in atopic patients with corneal shield ulcers. Curr. Eye Res. 2005, 30, 897–908. [Google Scholar] [CrossRef]
- Dogru, M.; Ozmen, A.; Erturk, H.; Sanli, O.; Karatas, A. Changes in tear function and the ocular surface after topical olopatadine treatment for allergic conjunctivitis: An open-label study. Clin. Ther. 2002, 24, 1309–1321. [Google Scholar] [CrossRef]
- Leonardi, A.; Modugno, R.L.; Salami, E. Allergy and Dry Eye Disease. Ocul. Immunol. Inflamm. 2021, 29, 1168–1176. [Google Scholar] [CrossRef]
- Singh, N.; Diebold, Y.; Sahu, S.K.; Leonardi, A. Epithelial barrier dysfunction in ocular allergy. Allergy 2021. [Google Scholar] [CrossRef]
- Leong, Y.Y.; Tong, L. Barrier function in the ocular surface: From conventional paradigms to new opportunities. Ocul. Surf. 2015, 13, 103–109. [Google Scholar] [CrossRef] [PubMed]
- Yokoi, N.; Kinoshita, S. Clinical evaluation of corneal epithelial barrier function with the slit-lamp fluorophotometer. Cornea 1995, 14, 485–489. [Google Scholar] [CrossRef] [PubMed]
- Yokoi, N.; Komuro, A.; Nishida, K.; Kinoshita, S. Effectiveness of hyaluronan on corneal epithelial barrier function in dry eye. Br. J. Ophthalmol. 1997, 81, 533–536. [Google Scholar] [CrossRef]
- Gobbels, M.; Spitznas, M. Influence of artificial tears on corneal epithelium in dry-eye syndrome. Graefes. Arch. Clin. Exp. Ophthalmol. 1989, 227, 139–141. [Google Scholar] [CrossRef]
- Setala, N.L.; Metso, J.; Jauhiainen, M.; Sajantila, A.; Holopainen, J.M. Dry eye symptoms are increased in mice deficient in phospholipid transfer protein (PLTP). Am. J. Pathol. 2011, 178, 2058–2065. [Google Scholar] [CrossRef][Green Version]
- Pelegrino, F.S.; Pflugfelder, S.C.; De Paiva, C.S. Low humidity environmental challenge causes barrier disruption and cornification of the mouse corneal epithelium via a c-jun N-terminal kinase 2 (JNK2) pathway. Exp. Eye Res. 2012, 94, 150–156. [Google Scholar] [CrossRef] [PubMed]
- Fujishima, H.; Toda, I.; Shimazaki, J.; Tsubota, K. Allergic conjunctivitis and dry eye. Br. J. Ophthalmol. 1996, 80, 994–997. [Google Scholar] [CrossRef][Green Version]
- Yamana, Y.; Fukuda, K.; Ko, R.; Uchio, E. Local allergic conjunctivitis: A phenotype of allergic conjunctivitis. Int. Ophthalmol. 2019, 39, 2539–2544. [Google Scholar] [CrossRef]
- Villani, E.; Dello Strologo, M.; Pichi, F.; Luccarelli, S.V.; De Cilla, S.; Serafino, M.; Nucci, P. Dry Eye in Vernal Keratoconjunctivitis: A Cross-Sectional Comparative Study. Medicine 2015, 94, e1648. [Google Scholar] [CrossRef]
- Borazan, M.; Karalezli, A.; Akova, Y.A.; Akman, A.; Kiyici, H.; Erbek, S.S. Efficacy of olopatadine HCI 0.1%, ketotifen fumarate 0.025%, epinastine HCI 0.05%, emedastine 0.05% and fluorometholone acetate 0.1% ophthalmic solutions for seasonal allergic conjunctivitis: A placebo-controlled environmental trial. Acta Ophthalmol. 2009, 87, 549–554. [Google Scholar] [CrossRef]
- Nelson, J.D.; Wright, J.C. Conjunctival goblet cell densities in ocular surface disease. Arch. Ophthalmol. 1984, 102, 1049–1051. [Google Scholar] [CrossRef]
- Matzinger, P. Tolerance, danger, and the extended family. Annu. Rev. Immunol. 1994, 12, 991–1045. [Google Scholar] [CrossRef] [PubMed]
- Oppenheim, J.J.; Yang, D. Alarmins: Chemotactic activators of immune responses. Curr. Opin. Immunol. 2005, 17, 359–365. [Google Scholar] [CrossRef]
- Fukuda, K.; Ishida, W.; Miura, Y.; Kishimoto, T.; Fukushima, A. Cytokine expression and barrier disruption in human corneal epithelial cells induced by alarmin released from necrotic cells. Jpn. J. Ophthalmol. 2017, 61, 415–422. [Google Scholar] [CrossRef] [PubMed]
- Fukuda, K.; Ishida, W.; Tanaka, H.; Harada, Y.; Matsuda, A.; Ebihara, N.; Fukushima, A. Alarmins from corneal epithelial cells upregulate CCL11 and VCAM-1 in corneal fibroblasts. Investig. Ophthalmol. Vis. Sci 2013, 54, 5817–5823. [Google Scholar] [CrossRef]
- Tsuji, K.; Fukuda, K.; Fukushima, A. Inhibition by Tranilast of the Synergistic Induction of Degranulation and IL-13 Expression by IL-33 and FcvarepsilonRI Cross-linking in Mast Cells. Ocul. Immunol. Inflamm. 2017, 25, 841–843. [Google Scholar] [CrossRef]
- Fukuda, K.; Ishida, W.; Kishimoto, T.; Nakajima, I.; Miura, Y.; Sumi, T.; Yamashiro, K. Role of Damage-Associated Molecular Patterns (DAMPs/Alarmins) in Severe Ocular Allergic Diseases. Cells 2022, 11, 1051. [Google Scholar] [CrossRef] [PubMed]
- Luo, G.; Xin, Y.; Qin, D.; Yan, A.; Zhou, Z.; Liu, Z.C. Correlation of interleukin-33 with Th cytokines and clinical severity of dry eye disease. Indian J. Ophthalmol. 2018, 66, 39–43. [Google Scholar] [CrossRef]
- Na, K.S.; Mok, J.W.; Kim, J.Y.; Rho, C.R.; Joo, C.K. Correlations between tear cytokines, chemokines, and soluble receptors and clinical severity of dry eye disease. Investig. Ophthalmol. Vis. Sci. 2012, 53, 5443–5450. [Google Scholar] [CrossRef] [PubMed]
- Stevenson, W.; Chen, Y.; Lee, S.M.; Lee, H.S.; Hua, J.; Dohlman, T.; Shiang, T.; Dana, R. Extraorbital lacrimal gland excision: A reproducible model of severe aqueous tear-deficient dry eye disease. Cornea 2014, 33, 1336–1341. [Google Scholar] [CrossRef]
- Ishida, W.; Fukuda, K.; Harada, Y.; Sumi, T.; Taguchi, O.; Tsuda, M.; Yagita, H.; Fukushima, A. Oral administration of Ag suppresses Ag-induced allergic conjunctivitis in mice: Critical timing and dose of Ag. Br. J. Ophthalmol. 2013, 97, 492–497. [Google Scholar] [CrossRef] [PubMed]
- Magone, M.T.; Chan, C.C.; Rizzo, L.V.; Kozhich, A.T.; Whitcup, S.M. A novel murine model of allergic conjunctivitis. Clin. Immunol. Immunopathol. 1998, 87, 75–84. [Google Scholar] [CrossRef] [PubMed]
- Takahashi, A.; Sumi, T.; Tada, K.; Mibu, H.; Shii, D.; Kayasuga, A.; Fukushima, A. Evaluation of histamine-induced conjunctival oedema in guinea pigs by means of image analysis. Br. J. Ophthalmol. 2010, 94, 1657–1661. [Google Scholar] [CrossRef] [PubMed]
- Shimazaki, J.; Higa, K.; Kato, N.; Satake, Y. Barrier function of cultivated limbal and oral mucosal epithelial cell sheets. Investig. Ophthalmol. Vis. Sci. 2009, 50, 5672–5680. [Google Scholar] [CrossRef] [PubMed]









Publisher’s Note: MDPI stays neutral with regard to jurisdictional claims in published maps and institutional affiliations. |
© 2022 by the authors. Licensee MDPI, Basel, Switzerland. This article is an open access article distributed under the terms and conditions of the Creative Commons Attribution (CC BY) license (https://creativecommons.org/licenses/by/4.0/).
Share and Cite
Kishimoto, T.; Ishida, W.; Nakajima, I.; Fukuda, K.; Yamashiro, K. Aqueous-Deficient Dry Eye Exacerbates Signs and Symptoms of Allergic Conjunctivitis in Mice. Int. J. Mol. Sci. 2022, 23, 4918. https://doi.org/10.3390/ijms23094918
Kishimoto T, Ishida W, Nakajima I, Fukuda K, Yamashiro K. Aqueous-Deficient Dry Eye Exacerbates Signs and Symptoms of Allergic Conjunctivitis in Mice. International Journal of Molecular Sciences. 2022; 23(9):4918. https://doi.org/10.3390/ijms23094918
Chicago/Turabian StyleKishimoto, Tatsuma, Waka Ishida, Isana Nakajima, Ken Fukuda, and Kenji Yamashiro. 2022. "Aqueous-Deficient Dry Eye Exacerbates Signs and Symptoms of Allergic Conjunctivitis in Mice" International Journal of Molecular Sciences 23, no. 9: 4918. https://doi.org/10.3390/ijms23094918
APA StyleKishimoto, T., Ishida, W., Nakajima, I., Fukuda, K., & Yamashiro, K. (2022). Aqueous-Deficient Dry Eye Exacerbates Signs and Symptoms of Allergic Conjunctivitis in Mice. International Journal of Molecular Sciences, 23(9), 4918. https://doi.org/10.3390/ijms23094918

