Abstract
The channel protein Panx-1 is involved in some pathologies, such as epilepsy, ischemic stroke, cancer and Parkinson’s disease, as well as in neuropathic pain. These observations make Panx-1 an interesting biological target. We previously published some potent indole derivatives as Panx-1 blockers, and as continuation of the research in this field we report here the studies on additional chemical scaffolds, naphthalene and pyrazole, appropriately substituted with those functions that gave the best results as in our indole series (sulphonamide functions and one/two carboxylic groups) and in Panx-1 blockers reported in the literature (sulphonic acid). Compounds 4 and 13, the latter being an analogue of the drug Probenecid, are the most potent Panx-1 blockers obtained in this study, with I = 97% and I = 93.7% at 50 µM, respectively. Both compounds, tested in a mouse model of oxaliplatin-induced neuropathic pain, showed a similar anti-hypersensitivity profile and are able to significantly increase the mouse pain threshold 45 min after the injection of the doses of 1 nmol and 3 nmol. Finally, the molecular dynamic studies and the PCA analysis have made it possible to identify a discriminating factor able to separate active compounds from inactive ones.
1. Introduction
Pannexins (Panxs) are a family protein forming non-junctional plasma membrane channels and they share similar structural properties with Connexins (Cxs) and Innexins (Inxs), which are gap-junction proteins, putting adjacent cells in communication []. Three Panx proteins have been identified, denoted as Panx-1, Panx-2, and Panx-3, with Panx-1 being the only one well characterised []. Panxs are generally found throughout the body and their expression within tissues is often cell type-specific []; Panx-1 is the most abundant and ubiquitous isoform. Panx1 channels can be activated by different physiological and pathological stimuli, including mechanical stress, increased extracellular K+ concentration or increased intracellular Ca2+ level, proteolytic cleavage (by Caspase 3 or 7), pro-inflammatory processes and changes in extracellular pH [,]. The role of the Panx1 channel in the ATP efflux/release, widely accepted by different research groups since its discovery in 2000s, has recently been called into question because of the channel pore dimension. All the recently solved Panx-1 structures [,,] reveal that the external restriction of the channel has a diameter of about 9Å, which permits the passage of chloride ions but not of ATP, since it requests a greater pore size [,]. This aspect will undoubtedly have to be explored further.
The first studies of electron microscopy (EM) of cell membranes supported the hypothesis that Panxs oligomerise into hexameric structures called pannexons [,], but the recent cryo-EM studies unambiguously established that Panx-1 channel is an arrangement of seven identical protomers (heptameric channels) [,]. From a structural point of view, each subunit consists of a transmembrane domain with four membrane-spanning helices (TM1-4) and folded extracellular and intracellular domains with both the N- and C-terminal domain (C-terminal helix, CHT and N-terminal helix, NHT) within the intracellular space; NHT of a protomer that lined the TMD domain of the adjacent one with a potential role in the assembly of the channel [,]. The fourteen extracellular domains (ECDs) were organised into a cap structure, forming the extracellular entrance to the transmembrane pore. Each chain includes tryptophan (Trp74, W74), arginine (Arg75, R75) and aspartic acid (Asp81, D81) residues that interact with each other through cation-π interaction and a salt bridge, and it can potentially operate as a gate containing positive charges. The study conducted by Michalski et al. [] hypothesised that R75 might be a major determinant of anion selectivity of Panx-1 channels in the open state. The mutation hPanx-1 Arg75Ala (R75A) removed the positive charge and decreased chloride ion selectivity, supporting the idea that the positively charged Arg75 plays a role in the anion selectivity of Panx-1. Again, the simultaneous mutation W74A and R75A abolished the CBX Panx-1 inhibition, reinforcing the critical role of these residues in channel pharmacology and protein–protein interactions. Site-directed mutagenesis experiments have demonstrated that four conserved extracellular cysteine residues are required for functional Panx-1 channel formation [,]. Human Panxs are glycosylated at the residue N255 in the extracellular loop (N254 in rat and mouse) and the enzymatic removal of bulky N-glycans from the cell surface or the mutation of N255Q–N255A, enhances the coupling ability of Panxs-1, thus highlighting the role of N255 in membrane trafficking for Panx-1 channel []. These discoveries represent a breakthrough in understanding the architecture of Panxs previously unknown and can open to further interpretations of their physiological/pathological role and their unique channel properties.
Recently, the involvement of Panx-1 in some pathologies, such as epilepsy, ischemic stroke, cancer, and Parkinson’s disease has demonstrated []. An interesting therapeutic application is neuropathic pain, where the role of Panx-1 channels seems closely related to the purinergic system []. Currently, the number of Panx-1 channel blockers available for the study and the comprehension of physiological/pathological role of this protein channel is very limited and, in most cases, the drugs have very different chemical structures and different primary targets. Drugs such as probenecid [], carbenoxolone (CBX) [], mefloquine [], glyburide [], or compounds such as the food dye Brilliant Blue FCF [], 5-nitro-2-(3-phenylpropylamino)benzoic acid (NPPB) [], and the synthetic peptide 10Panx, that mimics the sequence of Panx1 in the second extracellular loop area [], are the most used reference compounds. In Figure 1, some representative products are shown.
Figure 1.
Examples of Panx-1 blockers shown and described in the scientific literature.
As result of an extensive screening of several different scaffold molecules, our team was the first to publish a medicinal chemistry research on Panx-1 channel blockers []. Compounds with indole ring nucleus yielded good and encouraging results. Of particular interest are products bearing a secondary and tertiary sulfonamide function at position 5 of the scaffold and one/two carboxylic groups (I% = 100 at 50 µM). The most potent compound 15b (numbering in the original paper) reported in Figure 1, showed a IC50 = 0.8 µM, and in vivo tested in a model of oxaliplatin-induced neuropathy, was able to completely revert the hypersensitivity at the dose of 1 nmol intratecally, thus suggesting a relationship among this effect and the channel blocker potency [].
As continuation of the research in this field we planned to investigate additional chemical scaffolds, and in the present paper we report the synthesis and biological evaluation of a new series of naphthalene (Figure 2A) and pyrazole (Figure 2B) derivatives bearing those functions that in the previous indoles series gave the best results [], such as sulphonamide functions and one/two carboxylic groups; moreover, we synthesised sulphonic acid derivatives according to Panx-1 blockers reported in the literature. Finally, we planned to synthesise an analogue of the drug Probenecid bearing two additional acid groups (Figure 2C). All new products were screened as Panx-1 blockers at the dose of 50 µM using the Voltage Clamp technique on Xenopus laevis oocytes expressing Panx-1 channels and two selected compounds were tested in a mouse model of oxaliplatin-induced neuropathic pain. Docking experiments using a cryo-EM structure of hPanx-1 channel (PDB 7DWB) on some active and inactive compounds were finally performed with the aim to explain the different activities.
Figure 2.
Planned Panx-1 blockers: (A) new series of naphthalene derivatives, (B) new series of pyrazole derivatives, (C) analogue of the drug Probenecid.
2. Results and Discussion
2.1. Chemistry
The procedures followed to obtain all the new products are reported in Scheme 1, Scheme 2, Scheme 3, Scheme 4, Scheme 5 and Scheme 6 and the structures are confirmed on the basis of analytical and spectral data. Scheme 1 outlines the synthetic pathway affording the final compounds 3a–f, 4 and 5. The 5-aminonaphthalene-2-sulfonic acid (1) and the appropriate aryl bromide of type 2 (both commercially available) were reacted with anhydrous sodium carbonate (Na2CO3) in dry dimethylformamide (DMF) at reflux for compound 3a and with sodium hydride in dry DMF at 90 °C for 3b–f []. The ester 3f was then reacted with sodium hydroxide (40%) affording the acid 4, while the treatment of 3a with methyl iodide led to compound 5.
Scheme 1.
Reagents and conditions: (a) for 3a: Na2CO3, dry DMF, reflux, 2-3 h; for 3b–f: NaH (60% dispersion in mineral oil), dry DMF, 90 °C, 3-4 h; (b) NaOH 40%, reflux, 3 h; (c) CH3I, NaH, dry DMF, 50–60 °C, 5 h.
Scheme 2.
Reagents and conditions: (a) OHBt, DCC, NEt3, dry DMF, the appropriate 6a–g, N2, 0 °C, 15’, then 60 °C, 48 h; (b) Benzoyl chloride, toluene, H2O, 2M Na2CO3, r.t., 6 h; (c) Na°, EtOH abs, r.t., 1 h; (d) 2-phenylethyl bromide (2b), K2CO3, dry DMF, 80 °C, 4 h; (e) NaOH 40%, EtOH 96%, reflux, 2 h; HCl 6N.
Scheme 3.
Reagents and conditions: (a) K2CO3, dry DMF, 80 °C, 4 h; (b) NaOH 40%, EtOH 96%, reflux, 3 h; HCl 6N.
Scheme 4.
Reagents and conditions: (a) K2CO3, dry DMF, r.t., 30’; then appropriate alkyl halide, 80 °C, 4h; for 16a–c: an excess of alkyl bromide was used; (b) NaOH 6N, EtOH 96%, reflux, 4 h.
Scheme 5.
Reagents and conditions: (a) K2CO3, dry DMF, r.t., 30’; then benzyl bromide, 80 °C, 4 h; (b) NaOH 6N, EtOH 96%, reflux, 4 h.
Scheme 6.
Reagents and conditions: (a) K2CO3, dry DMF, r.t., 30’; then phenethyl bromide, 80 °C, 4 h; (b) NaOH 6N, EtOH 96%, reflux, 4 h; HCl 6N (c) K2CO3, dry DMF, r.t., 30’; then benzyl bromide, 80 °C, 4 h.
Scheme 2 depicts the synthesis of the final compounds 7a–g, the sodium salt of 7c, compound 9, and 8 []. Starting from the 5-aminonaphthalene-2-sulfonic acid 1, the acylation reaction using the appropriate acids 6a–g (6a [], 6b [], 6c [], 6d,f [], 6g [] HOBt, NEt3, and DCC in dry DMF led to compounds 7a–g, respectively. The intermediate 6e was obtained from the phenylsulphonamide 10 [] by alkylation with 2-phenylethyl bromide 2b in the standard conditions, and the next alkaline hydrolysis afforded the reagent 6e. The compound 8 was synthesised from 1 using benzoyl chloride as reported in the reference [], while 7c, when treated with fresh sodium ethylate, gave the corresponding sodium salt 9.
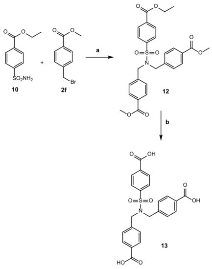
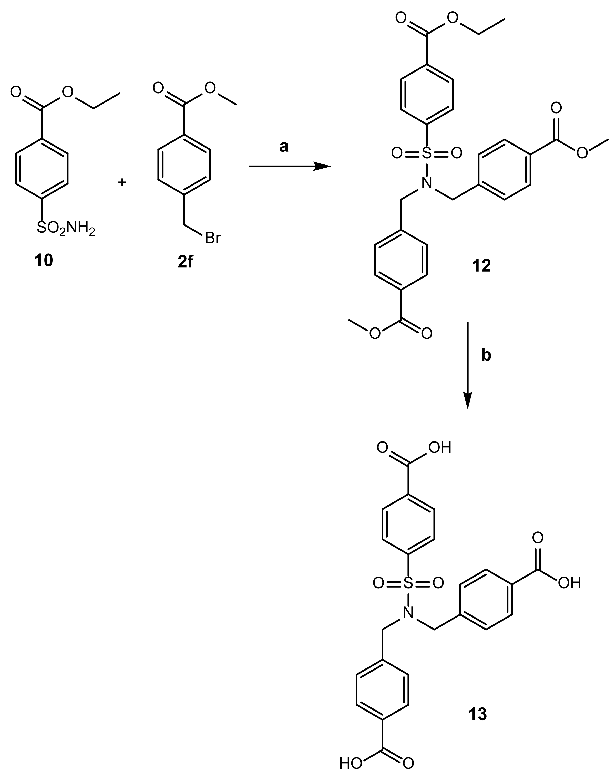
Scheme 3 shows the synthesis of the final sulphonamide 13, analog of the drug Probenecid. The ester 12, obtained by reacting 10 and methyl 4-(bromomethyl)benzoate 2f [], was subjected to alkaline hydrolysis with sodium hydroxide 40% and EtOH 96% at reflux to obtain 13.
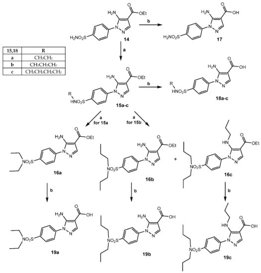
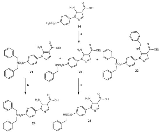
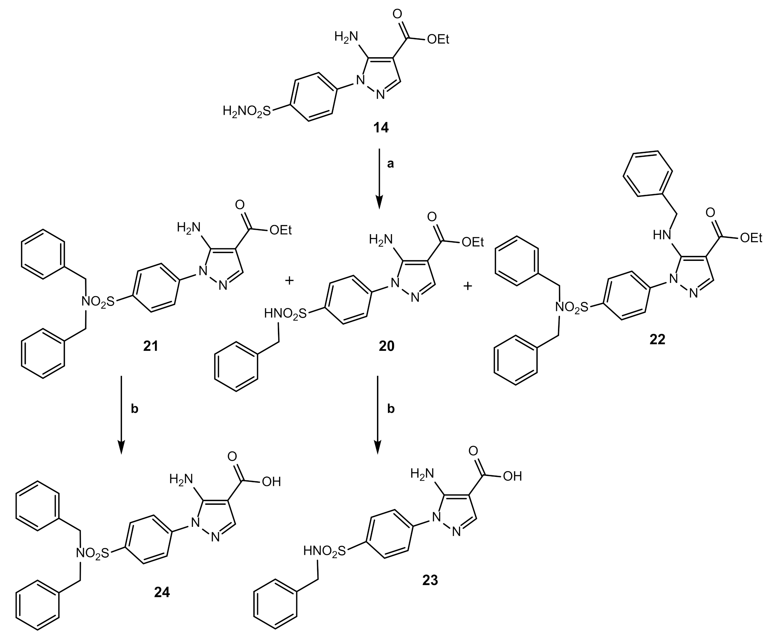
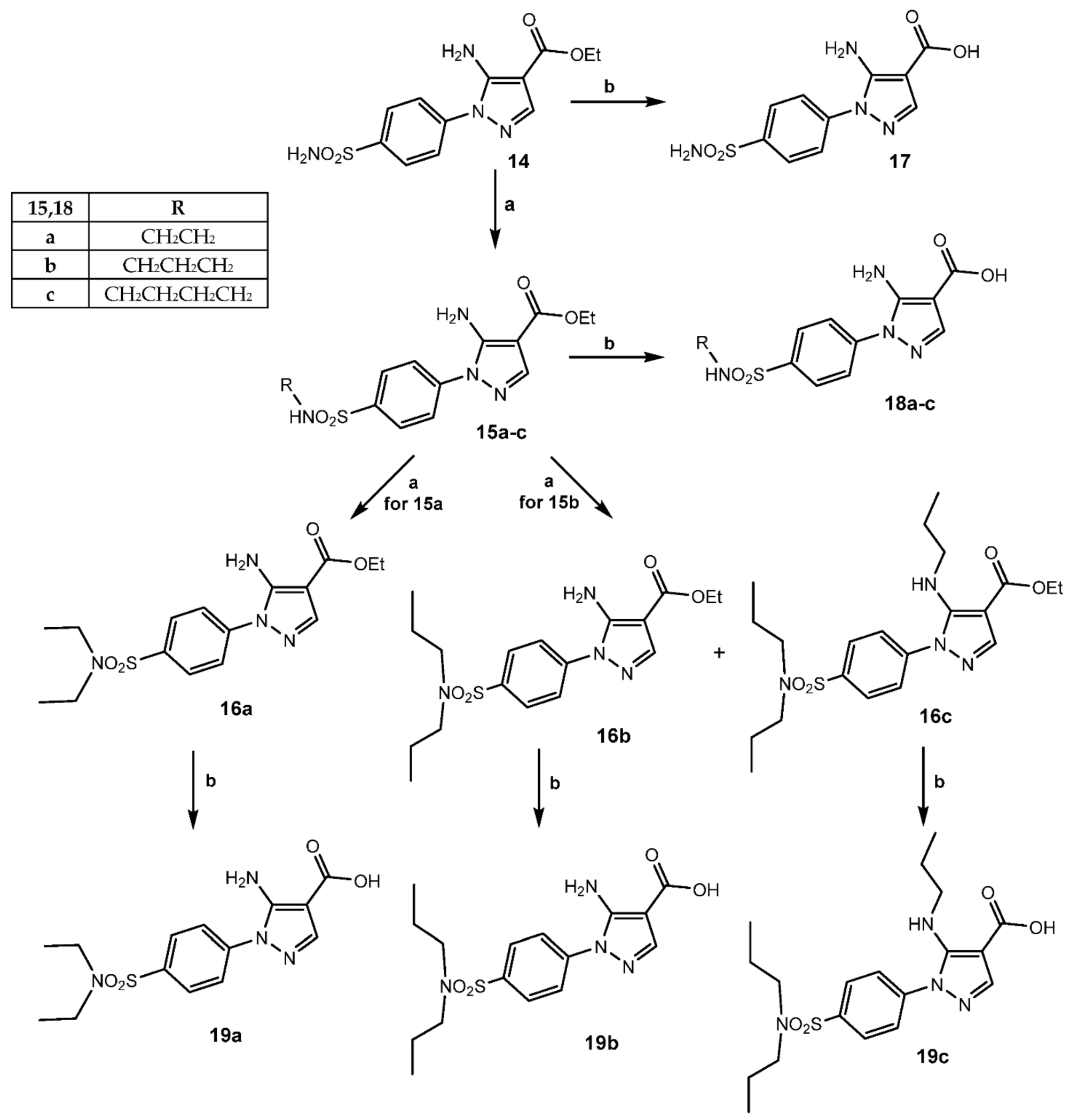
The syntheses of pyrazole derivatives are depicted in Scheme 4, Scheme 5 and Scheme 6. The ethyl 5-amino-1-(4-sulfamoylphenyl)-1H-pyrazole-4-carboxylate 14 [] was subjected to alkylation with the appropriate alkyl halides in standard conditions, affording the secondary sulphonamides 15a–c which, together with the ester 14, were transformed into the corresponding acids, 18a–c and 17, respectively. The secondary sulphonamides 15a and 15b were then treated with an excess of the appropriate alkyl halide (1-iodoethane for 15a and 1-bromopropane for 15b) furnishing compound 16a, and a mixture of 16b (di-alkylated) and 16c (tri-alkylated), respectively; all compounds of type 16 were finally subjected to alkaline hydrolysis providing the final acids 19a–c (Scheme 4).
Instead, the alkylation of the same starting compound 14 with (bromomethyl)benzene led to a mixture of three products as reported in Scheme 5: the secondary sulphonamide 20, the tertiary sulphonamide 21, and the tertiary sulphonamide 22 bearing also benzylated at the amino group at position 5. Compounds were separated by column chromatography, and 20 and 21 gave the corresponding acids 23 and 24 by alkaline hydrolysis.
A further different trend was recorded by reacting 14 with (2-bromoethyl)benzene; infact this reaction afforded a mixture of two secondary sulphonamides (25) and (26), one of which has an additional ethyl-benzene group at the amino at position 5 (26). The primary sulphonamide ethyl 5-amino-1-[4-(N-phenethylsulfamoyl) phenyl]-1H-pyrazole-4-carboxylate (25) was further alkylated with (bromomethyl)benzene affording the secondary sulphonamide 27. The esters 25–27 were then hydrolyzed to the corresponding acids obtaining 28–30, respectively (Scheme 6).
2.2. Biological Evaluation
All new products were screened as Panx-1 blockers at the dose of 50 µM using the Voltage Clamp technique on Xenopus Laevis oocytes expressing Panx-1 channels. The membrane potential of the cells was held at -60 mV and voltage steps to +60 mV were applied to induce membrane currents. To verify that Panx-1 channels carried the currents, in each experiment 100 µM carbenoxolone (CBX) was applied. At this concentration, CBX is known to yield 100% inhibition of Panx-1 activity []. If present, leak currents resistant to CBX were subtracted from the total current to assess % inhibition mediated by the tested compounds. Table 1 and Table 2 report the electrophysiological results of naphthalene-2-sulphonic acid derivatives bearing at position 5 an amino- (3a–e, 4 and 5) or amide group (7a–g, 8 and 9) and of compound 13. The data of Table 1, suggest that the lengthening of the alkyl chain between the nitrogen at position 5 and the phenyl ring (n = 1–5) in compounds of type 3 positively influenced the blocker potency, going from I = 31.7% for 3a (n = 1) to I = 62% for 3e (n = 5). From this trend stands out compound 3c (n = 3), which is most active of this series with I = 66.7%. While the introduction of a methyl at the N-5 of 3a afforded a compound (5) showing a similar activity to 3a itself (I = 27.3% versus 31.7%), the introduction of an additional acid group (COOH) at para position on the phenyl ring of 3a (compound 4) leads to an increase in efficacy, resulting in inhibition values of 97%.
Table 1.
Inhibition (%) values of compounds 3a–e, 4 and 5.
Table 2.
Inhibition (%) values of compounds 7a–g, 8, 9 and 13.
Table 2 reports the inhibition values of compounds with an amide function at position 5 and a sulphonamide moiety in para position of the phenyl ring (7a–g, 8 and 9). The biological results are appreciable, but do not indicate a precise trend of activity related to the nature of the substituents. For example, among the N-alkyl sulphonamide derivatives 7a–c, the most active compounds are 7a and 7c (and its sodium salt 9), bearing ethyl and butyl groups, respectively (I = 54% for 7a; I = 67.8% for 7c; I = 65.3% for 9); while 7b, bearing propyl groups, was less potent (I = 34%). On the other hand, the elimination of the sulfamoyl fragment (compound 8) led to a loss of potency (I = 15%), thus confirming the importance of this function for the activity. Moreover the introduction of alkyl/aryl groups on sulphonamide moiety produced interesting results that in this case appeared to be related to the size of the substituents; in particular, the more bulky compounds 7e and 7f exhibited lower and similar inhibition values (I = 58.3% and I = 61.3% at 50 µM, respectively) with respect to the N-dibenzyl derivative 7d, which showed an inhibition value of 75%. The corresponding secondary sulphonamide 7g is less potent, in agreement with our previous results []. Very intriguing was the potency of compound 13, an analogue of the drug Probenecid, in which the propyl chains of the sulphonamide had been replaced with 4-carboxybenzyl groups. This modification afforded a potent Panx1 blocker with I = 93.7%; thus, it was more potent than Probenecid, which exhibits I = 29% at 50 µM.
Finally, the biological data reported in Table 3 indicated that the pyrazole ring is not a suitable scaffold for the synthesis of Panx-1 blockers, since all compounds showed percentage inhibition values < 30% with the only exception of product 24, which exhibited I = 42%.
Table 3.
Inhibition (%) values of compounds 17, 18a–c, 19a–c, 23, 24 and 28–30.
For some selected compounds belonging to naphtalene series (3c, 4, 7c and 7d) and for compound 13, dose-response curves were estabilished (Figure 3 and Figure 4, see also Figures S1–S3 in Supporting Information). For reference, CBX was applied to verify that the currents were indeed carried by Panx1 channels and did not represent an unspecific leak. The IC50 values are reported in Table 4 and the most potent compound 13, able to almost completely block Panx-1 channel at 50 µM, exhibited interesting efficacy with IC50 = 1.2 µM. On the other hand, the other products (3c, 4, 7c and 7d) also show appreciable IC50 values (>1.2 µM). Although the IC50 values are in the micromolar range, they appear to be of considerable interest because, as reported above, they are still lower or comparable to those of most Panx-1 blockers used to study the channel.
Figure 3.
Quantitative analysis of the % inhibition of Panx1-mediated membrane currents in oocytes for compounds 3c, 4 and 7d. For reference, inhibition by carbenoxolone at 100 µM, which is known to eliminate membrane currents mediated by Panx-1, was assessed for each oocyte at the end of each experiment after the test compounds induced inhibition. The number of oocytes used is indicated in the figure. The error bars in all instances were smaller than the symbol (with the exception of 30 µM for 7d).
Figure 4.
Quantitative analysis of the % inhibition of Panx1-mediated membrane currents in oocytes for compounds 7c and 13. CBX is not shown because it has the same 100% inhibition as 13. The error bars in all instances were smaller than the symbol.
Table 4.
IC50 values of 3c, 4, 7c, 7d and 13 and reference compounds.
2.3. In Vivo Studies
The two selected Panx-1 blockers, 4 and 13, were tested in a mouse model of oxaliplatin-induced neuropathic pain that involves this channel []. Oxaliplatin is a third-generation platinum-based chemotherapeutic agent that, similar to other platinum-based compounds, interferes with the proliferation of tumor cells, leading to cancer cell destruction [] Oxaliplatin is associated with various side effects and one of the most important ones is the development of neurotoxicity, which significantly limits the patient’s quality of life []. Recent studies have highlighted the efficacy of selective Panx1 antagonists in reducing pain threshold evoked by repeated administrations of antineoplastic drug, making Panx1 a possible therapeutic target in reducing chemotherapeutic-induced neuropathic pain [,]. In this experiment we tested the anti-hypersensitivity properties of two novel Panx1 antagonists in a mouse model of oxaliplatin-induced thermal allodynia. As shown in Figure 5 in the Cold plate test (thermal non-noxious stimulus), repeated oxaliplatin treatment induced a significant reduction of the time spent by the mouse on a cold surface in comparison to the control group (vehicle + vehicle). This time delay is reported here as licking latency (s). The two compounds were acutely injected intrathecally at 1 nmol and 3 nmol in oxaliplatin-treated animals. Compound 4 evoked a significant enhancement of the pain threshold in a dose dependent-manner starting from 30 min after injection. In particular, the maximum anti-allodynic effect was reached at 45 min with the dose of 3 nmol (Figure 5a). Compound 13 showed a similar anti-hypersensitivity profile and provided a significant increase of the mouse pain threshold 45 min after the injection of the doses of 1 nmol and 3 nmol. The effect recorded was dose-dependent (Figure 5b).
Figure 5.
Pain-relieving effect of (a) 4 and (b) 13 on oxaliplatin-induced thermal allodynia in mice. Cold plate test. Oxaliplatin (2.4 mg kg−1) was dissolved in 5% glucose solution and intraperitoneal (i.p.) administered for 5 consecutive days every week for 14 days. Starting from day 14, compounds were dissolved in saline solution and intrathecally administered at the doses of 1 nmol/mouse and 3 nmol/mouse in a final volume of 5 μL. Pain-related behavior (i.e., lifting and licking of the hind paw) was observed and the time (s) of the first sign was recorded. ** p < 0.01 vs. vehicle + vehicle treated animals; ^ p < 0.05 and ^^ p < 0.01 vs. oxaliplatin + vehicle treated animals. Each value represents the mean ± S.E.M. of 10 mice performed in two different experimental sets (10 mice treated with oxaliplatin and 10 control mice). The analysis of variance was performed by one-way ANOVA. A Bonferroni’s significant difference procedure was used as post hoc comparison.
2.4. Molecular Modeling
With the aim to identify the amino acids of Panx-1 channel involved in the binding of our compounds, we reported the docking and the molecular dynamic study of the most representative newly synthesised compounds. For this study, a reduced-size Panx-1 channel obtained from PDB was used (PDB code 7DWB) and this reduced structure contains all amino acids within a distance of approximately 2.5 nm from the “CBX binding site” [].
To understand/rationalise the electrophysiological results and the binding mode of these new naphthalene derivatives, compounds 3e, 4, 7d, and 13 (I = 62%, 97%, 75%, and 94%) and 3a, 7g, 8, 24, and Probenecid (P) (inactive ones), were chosen to make the virtual screening.
The ligands were placed in the binding site through AUTODOCK 4.2 [], and the best pose found by AUTODOCK was subjected to a MD simulation (10 ns) using GROMACS v5.1 program [] (see the experimental section for the details). The best binding energy calculated by AUTODOCK for the considered ligands is shown in the Table 5.
Table 5.
Binding energy from Autodock.
Unfortunately, the difference of binding energy between active and inactive compounds is not statistically significant (p > 0.05) and these values do not explain the electrophysiological results.
The analysis of the MD simulation trajectories permitted calculating the most significant ‘Proximity Frequencies’ (PF) [] of the amino acids, within a distance < 0.23 nm, for at least 50% of the time. From all the PFs collected, those with higher variance (standard deviation > 30) were selected. It is clear that the difference of the sums of PFs, between active and inactive compounds, is significantly different (p < 0.05), suggesting that these parameters may be discriminatory.
In Table 6, the sum of most significative PFs (standard deviation > 30) selected for single, double, and triple aminoacids is reported.
Table 6.
Proximity Frequencies.
The greatest discriminated capacity, between active and inactive compounds, is found when the ligands are simultaneously in proximity to two amino acids (double PF, average p = 0.004). From the PCA (Principal Components Analysis) it is evident that the inactive compounds, having a lower number of PFs, are “grouped” in the center of the score plot (low PCs values), while the active compounds are not “grouped” (Figure 6).
Figure 6.
(a) PCA for double PFs: 16 PFs (SD > 30); (b) percentage of variance explained by PC1 41%, PC2 26% and PC3 17% (cumulative of variance 84%).
The dispersion of active ligands in the score plots suggests that the activity could be explained by the total number of bonds that can be established between ligands and protein instead of the ligand position in the protein. The amino acids found in close proximity to the ligands most frequently (and they are likely involved in forming hydrogen bonds) are Arg75, Ser59 and Ser82. These amino acids belong to different chains and are found in the vicinity of the ligands also in double and triple combinations.
3. Materials and Methods
3.1. Chemistry
Reagents and starting materials were obtained from commercial sources (Merck Life Science srl, Milan, Italy). Extracts were dried over Na2SO4, and the solvents were removed under reduced pressure. All reactions were monitored by thin-layer chromatography (TLC) using commercial plates pre-coated with Merck silica gel 60 F-254. Visualisation was performed by UV fluorescence (λmax = 254 nm) or by staining with iodine or potassium permanganate. Chromatographic separations were performed on a silica gel column by gravity chromatography (Kieselgel 40, 0.063–0.200 mm; Merck), flash chromatography (Kieselgel 40, 0.040–0.063 mm; Merck), silica gel preparative TLC (Kieselgel 60 F254, 20 × 20 cm, 2 mm). Yields refer to chromatographically and spectroscopically pure compounds, unless otherwise stated. Compounds were named following IUPAC rules, as applied by Beilstein-Institut AutoNom 2000 (4.01.305) or CA Index Name. All melting points were determined on a microscope hot stage Büchi apparatus and are uncorrected. The identity and purity of intermediates and final compounds were ascertained through 1H-NMR, 13C-NMR, and TLC chromatography. Monodimensional spectra 1H-NMR and 13C-NMR were registered by a 400 MHz field through Avance 400 apparatus (Bruker Biospin Version 002 with SGU). Chemical shifts (d) are in parts per million (ppm) approximated by the nearest 0.01 ppm, using the solvent as internal standard. Coupling constants (J) are in Hz, they were calculated by Top Spin 3.1 and approximated by 0.1 Hz. Data are reported as follows: chemical shift, multiplicity (exch, exchange; br, broad; s, singlet; d, doublet; t, triplet; q, quartet; m, multiplet; or a combination of those, e.g, dd), integral, assignments, and coupling constant. Mass spectra (m/z) were recorded on a ESI-MS triple quadrupole (Varian 1200 L) system, in positive ion mode, by infusing a 10 mg/L solution of each analyte dissolved in a mixture of mQ H2O:acetonitrile 1:1 v/v. All new compounds possess a purity ≥ 95%; microanalyses indicated by the symbols of the elements were performed with a Perkine-Elmer 260 elemental analyzer for C, H, and N, and they were within ±0.4% of the theoretical values.
3.1.1. 5-(Benzylamino)naphthalene-2-Sulfonic Acid (3a)
A suspension of 0.89 mmol of 5-aminonaphthalene-2-sulfonic acid (1), which is commercially available, and 1.79 mmol of Na2CO3 in 5 mL of dry DMF was stirred at room temperature for 30 min. Then, 1.33 mmol of benzyl bromide (2a) were added and the mixture was heated at reflux for 2–3 h. After cooling, the pH was checked and adjusted to 6–7 and the solvent was evaporated. The crude product was purified by flash column chromatography using CH2Cl2/MeOH/CH3COOH 80:20:2 as eluent to obtain the desired compound as white powder []. Yield = 86%; mp > 300 °C (EtOH/H2O). 1H-NMR (400 MHz, DMSO-d6) δ 4.48 (s, 2H, CH2-Ph), 6.36 (d, 1H, Ar, J = 6.4 Hz), 6.93 (exch br s, 1H, NH), 7.05–7.10 (m, 1H, Ar), 7.15–7.25 (m, 2H, Ar), 7.28–7.35 (m, 2H, Ar), 7.39–7.45 (m, 2H, Ar), 7.60 (d, 1H, Ar, J = 8.8 Hz), 7.95 (s, 1H, Ar), 8.18 (d, 1H, Ar, J = 8.0 Hz). 13C-NMR (100 MHz, DMSO-d6) δ 48.4 (CH2), 119.8 (CH), 121.5 (CH), 123.2 (CH), 125.1 (C), 126.5 (CH), 126.7 (CH), 128.2 (CH), 128.5 (CH), 133.2 (C), 134.1 (C), 139.9 (C), 141.0 (C). ESI-MS calcd. for C17H15NO3S, 313.08; found: m/z 314.08 [M + H]+. Anal. C17H15NO3S (C, H, N).
3.1.2. General Procedure for Synthesis of Compounds 3b–f
A total of 0.90 mmol of 5-aminonaphthalene-2-sulfonic acid (1) and 1.80 mmol of sodium hydride (60% dispersion in mineral oil) were dissolved in 5 mL of dry DMF. After 30 min in stirring at room temperature, 1.35 mmol of appropriate phenyllalkyl bromide (2b–f), which is commercially available, were added and the mixture was stirred at 90 °C for 3–4 h. After cooling, the pH was checked and adjusted to 6–7 and the solvent was evaporated. The crude products were purified by flash column chromatography using CH2Cl2/MeOH/CH3COOH 80:20:2 as eluent.
5-(Phenethylamino)naphthalene-2-sulfonic acid (3b). Yield = 60%; mp > 300 °C (EtOH/H2O). 1H-NMR (400 MHz, DMSO-d6) δ 2.98 (t, 2H, NHCH2CH2Ph, J = 7.6 Hz), 3.40 (q, 2H, NHCH2CH2Ph, J = 7.0 Hz), 6.21 (t, 1H, NH, J = 4.8 Hz), 6.55 (d, 1H, Ar, J = 7.6 Hz), 7.11 (d, 1H, Ar, J = 8.0 Hz), 7.17–7.22 (m, 1H, Ar), 7.26–7.32 (m, 5H, Ar), 7.55 (dd, 1H, Ar, J1 = 8.8 Hz, J2 = 1.2 Hz), 7.94 (s, 1H, Ar), 8.06 (d, 1H, Ar, J = 8.8 Hz). 13C-NMR (100 MHz, DMSO-d6) δ 34.7 (CH2), 45.3 (CH2), 104.5 (CH), 116.6 (CH), 121.9 (CH), 121.9 (CH), 123.2 (C), 125.0 (CH), 126.6 (CH), 128.1 (CH), 128.8 (CH), 129.2 (CH), 129.5 (CH), 133.6 (C), 140.4 (C), 144.1 (C), 144.2 (C). ESI-MS calcd. for C18H17NO3S, 327.09; found: m/z 328.10 [M + H]+. Anal. C18H17NO3S (C, H, N).
5-[(3-Phenylpropyl)amino]naphthalene-2-sulfonic acid (3c). Yield = 46%; mp > 300 °C (EtOH/H2O). 1H-NMR (400 MHz, DMSO-d6) δ 1.98 (quin, 2H, NHCH2CH2CH2Ph, J = 7.2 Hz), 2.72 (t, 2H, NHCH2CH2CH2Ph, J = 7.6 Hz), 3.17 (q, 2H, NHCH2CH2CH2Ph, J = 6.2 Hz), 6.10 (t, 1H, NH, J = 4.8 Hz), 6.42 (d, 1H, Ar, J = 7.6 Hz), 7.08 (d, 2H, Ar, J = 8.0 Hz), 7.16–7.29 (m, 5H, Ar), 7.54 (d, 1H, Ar, J = 8.8 Hz), 7.92 (s, 1H, Ar), 8.09 (d, 1H, Ar, J = 8.8 Hz). 13C-NMR (100 MHz, DMSO-d6) δ 30.4 (CH2), 33.4 (CH2), 43.3 (CH2), 103.8 (CH), 116.3 (CH), 121.8 (CH), 122.1 (CH), 123.1 (C), 125.2 (CH), 126.2 (CH), 127.7 (CH), 128.7 (CH), 128.8 (CH), 133.7 (C), 142.4 (C), 144.6 (C), 145.6 (C). ESI-MS calcd. for C19H19NO3S, 341.11; found: m/z 342.11 [M + H]+. Anal. C19H19NO3S (C, H, N).
5-[(4-Phenylbutyl)amino]naphthalene-2-sulfonic acid (3d). Yield = 63%; mp > 300 °C (EtOH/H2O). 1H-NMR (400 MHz, DMSO-d6) δ 1.60–1.70 (m, 4H, NHCH2CH2CH2CH2Ph), 2.57–2.62 (m, 2H, NHCH2CH2CH2CH2Ph), 3.10–3.20 (m, 2H, NHCH2CH2CH2CH2Ph), 6.14 (exch br s, 1H, NH), 6.45 (d, 1H, Ar, J = 7.2 Hz), 7.07 (d, 1H, Ar, J = 7.6 Hz), 7.12–7.22 (m, 6H, Ar), 7.56 (d, 1H, Ar, J = 8.4 Hz), 7.96 (s, 1H, Ar), 8.13 (d, 1H, Ar, J = 8.4 Hz). 13C-NMR (100 MHz, DMSO-d6) δ 28.2 (CH2), 29.2 (CH2), 35.4 (CH2), 43.5 (CH2), 103.9 (CH), 116.0 (CH), 121.9 (CH), 122.0 (CH), 123.1 (C), 124.9 (CH), 126.1 (CH), 127.8 (CH), 128.7 (CH), 128.8 (CH), 133.7 (C), 142.6 (C), 144.6 (C), 145.0 (C). ESI-MS calcd. for C20H21NO3S, 355.12; found: m/z 356.13 [M + H]+. Anal. C20H21NO3S (C, H, N).
5-[(5-Phenylpentyl)amino]naphthalene-2-sulfonic acid (3e). Yield = 67%; mp > 300 °C (EtOH/H2O). 1H-NMR (400 MHz, DMSO-d6) δ 1.35–1.45 (m, 2H, NHCH2CH2CH2CH2CH2Ph), 1.59 (quin, 2H, NHCH2CH2CH2CH2CH2Ph, J = 7.2 Hz), 1.68 (quin, 2H, NHCH2CH2CH2CH2CH2Ph, J = 7.2 Hz), 2.55 (t, 2H, NHCH2CH2CH2CH2CH2Ph, J = 7.6 Hz), 3.13 (t, 2H, NHCH2CH2CH2CH2CH2Ph, J = 7.2 Hz), 6.09 (exch br s, 1H, NH), 6.45 (d, 1H, Ar, J = 7.2 Hz), 7.07 (d, 1H, Ar, J = 8.0 Hz), 7.10–7.26 (m, 6H, Ar), 7.55 (d, 1H, Ar, J = 8.4 Hz), 7.95 (s, 1H, Ar), 8.11 (d, 1H, Ar, J = 8.8 Hz). 13C-NMR (100 MHz, DMSO-d6) δ 26.7 (CH2), 28.2 (CH2), 31.2 (CH2), 35.5 (CH2), 43.4 (CH2), 104.3 (CH), 116.2 (CH), 121.8 (CH), 122.0 (CH), 123.2 (C), 125.0 (CH), 126.1 (CH), 128.1 (CH), 128.7 (CH), 133.5 (C), 142.7 (C), 144.0 (C), 144.4 (C). ESI-MS calcd. for C21H23NO3S, 369.14; found: m/z 370.14 [M + H]+. Anal. C21H23NO3S (C, H, N).
5-[(4-(Methoxycarbonyl)benzyl)amino]naphthalene-2-sulfonic acid (3f). Yield = 20%; mp > 300 °C (EtOH). 1H-NMR (400 MHz, DMSO-d6) δ 3.79 (s, 3H, OCH3), 4.54 (d, 2H, NHCH2Ph, J = 5.2 Hz), 6.27 (d, 1H, Ar, J = 7.2 Hz), 7.03 (t, 1H, NH, J = 5.6 Hz), 7.06–7.13 (m, 1H, Ar), 7.47–7.52 (m, 3H, Ar), 7.60 (d, 1H, Ar, J = 8.8 Hz), 7.87 (d, 2H, Ar, J = 8.0 Hz), 7.94 (s, 1H, Ar), 8.17 (d, 1H, Ar, J = 8.8 Hz). ESI-MS calcd. for C19H17NO5S, 371.41; found: m/z 372.09 [M + H]+. Anal. C19H17NO5S (C, H, N).
3.1.3. 4-[(6-Sulfonaphthalen-1-yl)aminomethyl]benzoic Acid (4)
A mixture of 0.20 mmol of compound 3f, 40% NaOH (3.2 mL) and a little amount of EtOH 96% was stirred at reflux for 3 h. After cooling and maintaining the reaction in an ice bath, HCl 6N was added up to acid pH and the precipitate was filtered off. The acid derivative was purified by flash column chromatography using CH2Cl2/MeOH/CH3COOH 80:20:2 as eluent. Yield = 73%; mp > 300 °C (EtOH/H2O). 1H-NMR (400 MHz, DMSO-d6) δ 4.53 (d, 2H, NHCH2Ph, J = 6.0 Hz), 6.22 (d, 1H, Ar, J = 8.4 Hz), 7.26 (t, 1H, NH, J = 5.6 Hz), 7.45 (d, 3H, Ar, J = 8.0 Hz), 7.68 (d, 1H, Ar, J = 8.8 Hz), 7.85 (d, 2H, Ar, J = 8.0 Hz), 8.00 (s, 1H, Ar), 8.25 (d, 2H, Ar, J = 9.6 Hz), 12.76 (exch br s, 1H, COOH). 13C-NMR (100 MHz, DMSO-d6) δ 48.4 (CH2), 119.8 (CH), 123.3 (CH), 125.0 (CH), 126.5 (CH), 126.8 (CH), 128.2 (CH), 128.6 (CH), 130.1 (CH), 133.2 (C), 134.1 (C), 141.1 (C), 145.1 (C), 169.3 (C). ESI-MS calcd. for C18H15NO5S, 357.07; found: m/z 358.07 [M + H]+. Anal. C18H15NO5S (C, H, N).
3.1.4. 5-(Benzyl(methyl)amino)naphthalene-2-sulfonic Acid (5)
A total of 0.32 mmol of compound 3a and 0.64 mmol of sodium hydride (60% dispersion in mineral oil) were dissolved in 4 mL of dry DMF. After 30 min in stirring, 1.28 mmol of methyl iodide was added and the mixture was stirred at 50–60 °C for 5 h. After cooling, ice-cold water (15 mL) was added and the pH was adjusted to 6–7. The suspension was extracted with CH2Cl2 (3 × 15 mL), dried on sodium sulfate and evaporated. The crude product was purified by flash column chromatography using CH2Cl2/MeOH/NH3 80:20:2 as eluent. Yield = 95%; mp > 300 °C (EtOH/H2O). 1H-NMR (400 MHz, DMSO-d6) δ 2.70 (s, 3H, CH3), 4.24 (s, 2H, CH2-Ph), 7.12 (d, 1H, Ar, J = 7.2 Hz), 7.23 (d, 1H, Ar, J = 6.8 Hz), 7.28–7.39 (m, 5H, Ar), 7.60 (d, 1H, Ar, J = 8.0 Hz), 7.69 (d, 1H, Ar, J = 8.8 Hz), 8.08 (s, 1H, Ar), 8.20 (d, 1H, Ar, J = 8.8 Hz). 13C-NMR (100 MHz, DMSO-d6) δ 42.3 (CH3), 58.4 (CH2), 116.0 (CH), 124.2 (CH), 124.5 (CH), 125.7 (CH), 127.9 (CH), 127.9 (CH), 128.5 (CH), 131.3 (C), 134.8 (C), 138.7 (C), 141.1 (C), 151.1 (C). ESI-MS calcd. for C18H17NO3S, 327.09; found: m/z 328.10 [M + H]+. Anal. C18H17NO3S (C, H, N).
3.1.5. General Procedure for Synthesis of Compounds 7a–g
A total of 1.31 mmol of acid intermediates 6a–g (6a [], 6b [], 6c [], 6d,f [], 6g []) were dissolved in 13 mL of dry DMF, under N2 flow. Then, 1.31 mmol of hydroxybenzotriazole (HOBt), 2.62 mmol of triethylamine and 1.96 mmol of 5-aminonaphthalene-2-sulfonic acid (1) were added. The mixture was maintained in an ice bath and 1.31 mmol of DCC was added. After 15 min in the ice bath, the mixture was heated at 60 °C for 48 h. Finally, after cooling, the solvent was evaporated and the crude products were purified by flash column chromatography using CH2Cl2/MeOH/CH3COOH 90:10:1 then 80:20:2 as eluents.
5-[4-(N,N-diethylsulfamoyl)benzamido]naphthalene-2-sulfonic acid (7a). Yield = 20%; mp > 300 °C (EtOH/H2O). 1H-NMR (400 MHz, DMSO-d6) δ 1.05 (t, 6H, N(CH2CH3)2, J = 7.0 Hz), 3.20 (q, 4H, N(CH2CH3)2, J = 7.2 Hz), 7.55 (t, 1H, Ar, J = 7.8 Hz), 7.61 (d, 1H, Ar, J = 6.8 Hz), 7.72 (dd, 1H, Ar, J1 = 7.2 Hz, J2 = 1.6 Hz), 7.90–7.96 (m, 4H, Ar), 8.18 (d, 1H, Ar, J = 0.8 Hz), 8.24 (d, 2H, Ar, J = 8.0 Hz), 10.68 (exch br s, 1H, NH). 13C-NMR (100 MHz, DMSO-d6) δ 14.6 (CH3), 42.4 (CH2), 123.5 (CH), 124.5 (CH), 124.8 (CH), 124.9 (CH), 126.4 (CH), 127.3 (CH), 127.6 (CH), 129.2 (C), 129.4 (CH), 133.5 (C), 133.8 (C), 138.5 (C), 142.8 (C), 146.1 (C), 165.6 (C). ESI-MS calcd. for C21H22N2O6S2, 462.09; found: m/z 463.10 [M + H]+. Anal. C21H22N2O6S2 (C, H, N).
5-[4-(N,N-dipropylsulfamoyl)benzamido]naphthalene-2-sulfonic acid (7b). Yield = 46%; mp > 300 °C (EtOH/H2O). 1H-NMR (400 MHz, DMSO-d6) δ 0.81 (t, 6H, N(CH2CH2CH3)2, J = 7.2 Hz), 1.47 (sex, 4H, N(CH2CH2CH3)2, J = 7.2 Hz), 3.05 (t, 4H, N(CH2CH2CH3)2, J = 7.2 Hz), 7.54 (t, 1H, Ar, J = 6.8 Hz), 7.55–7.60 (m, 1H, Ar), 7.70 (d, 1H, Ar, J = 8.4 Hz), 7.90–8.00 (m, 4H, Ar), 8.17 (s, 1H, Ar), 8.23 (d, 2H, J = 7.6 Hz), 10.65 (exch br s, 1H, NH). 13C-NMR (100 MHz, DMSO-d6) δ 11.5 (CH3), 20.0 (CH2), 52.4 (CH2), 119.9 (CH), 121.5 (CH), 123.3 (CH), 126.5 (CH), 127.5 (CH), 127.6 (CH), 127.3 (CH), 127.6 (CH), 133.2 (C), 137.5 (C), 140.5 (C), 141.0 (C), 143.8 (C), 146.1 (C), 164.7 (C). ESI-MS calcd. for C23H26N2O6S2, 490.12; found: m/z 491.13 [M + H]+. Anal. C23H26N2O6S2 (C, H, N).
5-[4-(N,N-dibutylsulfamoyl)benzamido]naphthalene-2-sulfonic acid (7c). Yield = 46%; mp > 300 °C (EtOH/H2O). 1H-NMR (400 MHz, DMSO-d6) δ 0.88 (t, 6H, N(CH2CH2CH2CH3)2, J = 7.2 Hz), 1.22–1.31 (m, 4H, N(CH2CH2CH2CH3)2), 1.43–1.50 (m, 4H, N(CH2CH2CH2CH3)2), 3.10 (t, 4H, N(CH2CH2CH2CH3)2, J = 7.4 Hz), 7.56 (t, 1H, Ar, J = 7.6 Hz), 7.62 (d, 1H, Ar, J = 7.2 Hz), 7.72 (d, 1H, Ar, J = 8.8 Hz), 7.90–8.00 (m, 4H, Ar), 8.18 (s, 1H, Ar), 8.26 (d, 2H, Ar, J = 8.0 Hz), 10.66 (exch br s, 1H, NH). 13C-NMR (100 MHz, DMSO-d6) δ 14.0 (CH3), 19.7 (CH2), 30.9 (CH2), 48.2 (CH2), 123.5 (CH), 124.4 (CH), 124.9 (CH), 126.5 (CH), 127.4 (CH), 127.7 (CH), 129.2 (CH), 129.3 (CH), 133.4 (C), 133.6 (C), 138.4 (C), 142.3 (C), 145.9 (C), 165.6 (C). ESI-MS calcd. for C25H30N2O6S2, 518.15; found: m/z 519.16 [M + H]+. Anal. C25H30N2O6S2 (C, H, N).
5-[4-(N,N-dibenzylsulfamoyl)benzamido]naphthalene-2-sulfonic acid (7d). Yield = 31%; mp > 300 °C (EtOH/H2O). 1H-NMR (400 MHz, DMSO-d6) δ 4.34 (s, 4H, N(CH2Ph)2), 7.08–7.21 (m, 10H, Ar), 7.56 (t, 1H, Ar, J = 7.6 Hz), 7.63 (d, 1H, Ar, J = 7.2 Hz), 7.73 (d, 1H, Ar, J = 8.4 Hz), 7.94 (t, 2H, Ar, J = 9.0 Hz), 8.05 (d, 2H, Ar, J = 8.4 Hz), 8.18 (s, 1H, Ar), 8.27 (d, 2H, Ar, J = 8.0 Hz), 10.69 (exch br s, 1H, NH). 13C-NMR (100 MHz, DMSO-d6) δ 51.9 (CH2), 123.5 (CH), 124.9 (CH), 126.2 (CH), 126.5 (CH), 127.9 (CH), 128.7 (CH), 129.1 (CH), 129.3 (C), 129.4 (CH), 133.5 (C), 133.9 (C), 136.5 (C), 138.7 (C), 142.4 (C), 146.0 (C), 165.5 (C). ESI-MS calcd. for C31H26N2O6S2, 586.12; found: m/z 587.13 [M + H]+. Anal. C31H26N2O6S2 (C, H, N).
5-[4-(N,N-diphenethylsulfamoyl)benzamido]naphthalene-2-sulfonic acid (7e). Yield = 20%; mp > 300 °C (EtOH/H2O). 1H-NMR (400 MHz, DMSO-d6) δ 2.78 (t, 4H, N(CH2CH2Ph)2, J = 7.8 Hz), 3.38 (t, 4H, N(CH2CH2Ph)2, J = 7.8 Hz), 7.21–7.31 (m, 10H, Ar), 7.54 (t, 1H, Ar, J = 7.8 Hz), 7.61 (d, 1H, Ar, J = 7.2 Hz), 7.70 (dd, 1H, Ar, J1 = 8.8 Hz, J2 = 1.2 Hz), 7.93 (t, 2H, Ar, J = 8.8 Hz), 7.99 (d, 2H, Ar, J = 8.4 Hz), 8.17 (s, 1H, Ar), 8.24 (d, 2H, Ar, J = 8.4 Hz), 10.65 (exch br s, 1H, NH). 13C-NMR (100 MHz, DMSO-d6) δ 35.3 (CH2), 50.1 (CH2), 123.4 (CH), 124.5 (CH), 124.7 (CH), 124.8 (CH), 126.4 (CH), 126.9 (CH), 127.5 (CH), 127.6 (CH), 128.9 (CH), 129.2 (C), 129.3 (CH), 129.5 (CH), 133.5 (C), 133.8 (C), 138.7 (C), 138.9 (C), 142.2 (C), 146.3 (C), 165.5 (C). ESI-MS calcd. for C33H30N2O6S2, 614.15; found: m/z 615.16 [M + H]+. Anal. C33H30N2O6S2 (C, H, N).
5-[4-(N-benzyl-N-phenethylsulfamoyl)benzamido]naphthalene-2-sulfonic acid (7f). Yield = 27%; mp > 300 °C (EtOH/H2O). 1H-NMR (400 MHz, DMSO-d6) δ 2.55 (t, 2H, NCH2CH2Ph, J = 8.0 Hz), 3.29 (t, 2H, NCH2CH2Ph, J = 8.0 Hz), 4.43 (s, 2H, NCH2Ph), 7.00 (d, 2H, Ar, J = 6.8 Hz), 7.16–7.24 (m, 3H, Ar), 7.30–7.38 (m, 5H, Ar), 7.56 (t, 1H, Ar, J = 7.8 Hz), 7.62 (d, 1H, Ar, J = 7.2 Hz), 7.72 (d, 1H, Ar, J = 8.8 Hz), 7.94 (t, 2H, Ar, J = 8.8 Hz), 8.05 (d, 2H, Ar, J = 8.4 Hz), 8.18 (s, 1H, Ar), 8.27 (d, 2H, Ar, J = 8.0 Hz), 10.70 (exch br s, 1H, NH). 13C-NMR (100 MHz, DMSO-d6) δ 34.9 (CH2), 49.9 (CH2), 51.9 (CH2), 123.4 (CH), 124.5 (CH), 124.8 (CH), 124.9 (CH), 126.4 (CH), 126.8 (CH), 127.5 (CH), 128.2 (CH), 128.8 (CH), 128.9 (CH), 129.0 (CH), 129.2 (C), 129.5 (CH), 133.5 (C), 133.9 (C), 137.2 (C), 138.6 (C), 138.7 (C), 142.3 (C), 146.2 (C), 165.5 (C). ESI-MS calcd. for C32H28N2O6S2, 600.14; found: m/z 601.14 [M + H]+. Anal. C32H28N2O6S2 (C, H, N).
5-[4-(N-phenethylsulfamoyl)benzamido]naphthalene-2-sulfonic acid (7g). Yield = 21%; mp > 300 °C (EtOH/H2O). 1H-NMR (400 MHz, DMSO-d6) δ 2.65–2.75 (m, 2H, NCH2CH2Ph), 3.00–3.10 (m, 2H, NCH2CH2Ph), 7.10–7.20 (m, 2H, Ar), 7.27 (d, 2H, Ar, J = 6.8 Hz), 7.56 (t, 1H, Ar, J = 7.2 Hz), 7.61 (d, 1H, Ar, J = 7.8 Hz), 7.71 (d, 2H, SO2NH + 1H Ar, J = 8.0 Hz), 7.90–8.00 (m, 5H, Ar), 8.18 (s, 1H, Ar), 8.23 (d, 2H, Ar, J = 6.8 Hz), 10.63 (exch br s, 1H, NH). 13C-NMR (100 MHz, DMSO-d6) δ 35.8 (CH2), 44.6 (CH2), 123.4 (CH), 124.5 (CH), 124.6 (CH), 124.8 (CH), 126.4 (CH), 126.7 (CH), 127.1 (CH), 127.6 (CH), 128.8 (CH), 129.1 (CH), 129.2 (CH), 133.5 (C), 133.9 (C), 138.4 (C), 139.1 (C), 143.4 (C), 146.3 (C), 165.6 (C). ESI-MS calcd. for C25H22N2O6S2, 510.09; found: m/z 511.10 [M + H]+. Anal. C25H22N2O6S2 (C, H, N).
3.1.6. 5-Benzamidonaphthalene-2-sulfonic Acid (8)
A total of 0.45 mmol of 5-aminonaphthalene-2-sulfonic acid (1) was dissolved in water (2 mL) and the pH wad adjusted to 3-4. To the stirred solution, 0.63 mmol of benzoyl chloride dissolved in 1 mL of toluene was slowly added. The reaction mixture was kept at a constant pH of 4 by automatic addition of a 2 M Na2CO3 solution at room temperature for 6 h. After separating the toluene from the water phase, pH was adjusted to 2.0 with HCl 6N and the aqueous phase was extracted with diethyl ether (4 × 15 mL). The organic phase was removed, the aqueous phase was neutralised (pH = 7) with 2M Na2CO3 solution and then evaporated under vacuum. The crude product was purified by recrystallisation from methanol to obtain the desired compound [].
3.1.7. Sodium 5-[4-(N,N-dibutylsulfamoyl)benzamido]naphthalene-2-sulfonate (9)
To a fresh solution of sodium ethylate (0.193 mmol of Na° in 1 mL of absolute ethanol), 0.193 mmol of compound 7c was added. The mixture was stirred at room temperature for 1 h. The solvent was evaporated affording the corresponding sodium salt. Yield = 99%. 1H-NMR (400 MHz, D2O-d2) δ 0.65–0.90 (m, 6H, N(CH2CH2CH2CH3)2), 1.10–1.29 (m, 4H, N(CH2CH2CH2CH3)2), 1.30–1.50 (m, 4H, N(CH2CH2CH2CH3)2), 3.00–3.25 (m, 4H, N(CH2CH2CH2CH3)2), 7.40–7.60 (m, 2H, Ar), 7.65–7.80 (m, 2H, Ar), 7.80–8.15 (m, 5H, Ar), 8.20–8.40 (m, 1H, Ar). Anal. C25H29N2NaO6S2 (C, H, N).
3.1.8. General Procedure for Synthesis of Compounds 11 and 12
A mixture of 1.19 mmol of ethyl 4-sulfamoyl benzoate 10 [] and 2.38 mmol of anhydrous K2CO3 in 20 mL of dry DMF was stirred at room temperature for 30 min. Then 5.58 mmol of 2-phenethyl bromide (2b) or methyl 4-(bromomethyl)benzoate (2f), respectively, were added and the mixture was heated at 80 °C for 4 h. After cooling, the solvent was evaporated and cold H2O was added. The suspension was extracted with ethyl acetate (3 × 15 mL) and the collected organic phase was recovered, dried over sodium sulfate and evaporated in vacuum. The crude product was purified by flash column chromatography using cyclohexane/ethyl acetate 1:2 (for 11) or 3:1 (for 12) as eluent.
Ethyl 4-(N,N-diphenethylsulfamoyl)benzoate (11). Yield = 12%; mp = 84–87 °C (EtOH). 1H-NMR (400 MHz, CDCl3) δ 1.41 (t, 3H, COOCH2CH3, J = 7.0 Hz), 2.83 (t, 4H, N(CH2CH2Ph)2, J = 7.8 Hz), 3.40 (t, 4H, N(CH2CH2Ph)2, J = 7.8 Hz), 4.41 (q, 2H, COOCH2CH3, J = 7.0 Hz), 7.13 (d, 4H, Ar, J = 7.2 Hz), 7.21–7.30 (m, 6H, Ar), 7.83 (d, 2H, Ar, J = 8.0 Hz), 8.13 (d, 2H, Ar, J = 8.0 Hz). ESI-MS calcd. for C25H27NO4S, 437.55; found: m/z 438.17 [M + H]+. Anal. C25H27NO4S (C, H, N).
Dimethyl 4,4’-{{{[4-(ethoxycarbonyl)phenyl]sulfonyl}azanediyl}bis(methylene)}dibenzoate (12). Yield = 66%; mp = 141–144 °C (EtOH). 1H-NMR (400 MHz, DMSO-d6) δ 1.45 (t, 3H, COOCH2CH3, J = 7.0 Hz), 3.90 (s, 6H, 2 × COOCH3), 4.38 (s, 4H, N(CH2PhCOOCH3)2), 4.45 (q, 2H, COOCH2CH3, J = 7.2 Hz), 7.09 (d, 4H, Ar, J = 8.4 Hz), 7.88 (d, 4H, Ar, J = 8.4 Hz), 7.93 (d, 2H, Ar, J = 8.4 Hz), 8.20 (d, 2H, Ar, J = 8.4 Hz). ESI-MS calcd. for C27H27NO8S, 525.57; found: m/z 526.15 [M + H]+. Anal. C27H27NO8S (C, H, N).
3.1.9. General Procedure for Synthesis of Compounds 6e and 13
A mixture of 0.72 mmol of compounds 11 or 12, 40% NaOH (19.5 mL) and 0.5 mL of EtOH 96% was stirred at reflux for 2 h. After cooling and maintaining the reaction in ice bath, HCl 6M was added up to acid pH and the precipitate was filtered off to obtain the desired product.
4-(N,N-Diphenethylsulfamoyl)benzoic acid (6e). Yield = 42%; mp = 167–170 °C dec. (EtOH). 1H-NMR (400 MHz, DMSO-d6) δ 2.72 (t, 4H, N(CH2CH2Ph)2, J = 7.4 Hz), 3.33 (t, 4H, N(CH2CH2Ph)2, J = 7.4 Hz), 7.25–7.28 (m, 4H, Ar), 7.87 (d, 2H, Ar, J = 8.0 Hz), 8.06 (d, 2H, Ar, J = 8.0 Hz), 13.35 (exch br s, 1H, COOH). ESI-MS calcd. for C23H23NO4S, 409.50; found: m/z 410.14 [M + H]+. Anal. C23H23NO4S (C, H, N).
4,4′-{{[(4-Carboxyphenyl)sulfonyl]azanediyl}bis(methylene)}dibenzoic acid (13). Yield = 99%; mp > 300 °C (EtOH/H2O). 1H-NMR (400 MHz, DMSO-d6) δ 4.41 (s, 4H, N(CH2PhCOOH)2), 7.19 (d, 4H, Ar, J = 7.6 Hz), 7.72 (d, 4H, Ar, J = 7.6 Hz), 7.99 (d, 2H, Ar, J = 8.0 Hz), 8.11 (d, 2H, Ar, J = 8.0 Hz). 13C-NMR (100 MHz, DMSO-d6) δ 52.2 (CH2), 127.8 (CH2), 128.7 (CH), 124.4 (CH), 129.6 (CH), 130.4 (CH), 130.7 (CH), 135.7 (C), 141.5 (C), 142.8 (C), 166.7 (C), 167.4 (C). ESI-MS calcd. for C23H19NO8S, 469.08; found: m/z 470.09 [M + H]+. Anal. C23H19NO8S (C, H, N).
3.1.10. General Procedure for Synthesis of Compounds 15a–c and 16a–c
A mixture of 0.64 mmol of 5-amino-1-(4-sulfamoylphenyl)-1H-pyrazole-4-carboxylate 14 [] and 1.28 mmol of anhydrous K2CO3 in 5 mL of dry DMF was stirred at room temperature for 30 min. Then, 0.96 mmol of appropriate alkyl halide (iodoethane, 1-bromopropane or 1-bromobutane) were added and the mixture was heated at 80 °C for 4 h (for the synthesis of 16a–c an excess (3 equiv.) of alkyl halide was used). After cooling, the solvent was evaporated and the crude product was purified by flash column chromatography using cyclohexane/ethyl acetate 2:1 as eluent.
Ethyl 5-amino-1-(4-(N-ethylsulfamoyl)phenyl)-1H-pyrazole-4-carboxylate (15a). Yield = 37%; mp = 166–168 °C (EtOH). 1H-NMR (400 MHz, DMSO-d6) δ 1.02 (t, 3H, SO2NH(CH2CH3), J = 7.2 Hz), 1.28 (t, 3H, COOCH2CH3, J = 7.0 Hz), 2.83 (quin, 2H, SO2NH(CH2CH3), J = 7.2 Hz), 4.23 (q, 2H, COOCH2CH3, J = 7.0 Hz), 6.56 (exch br s, 2H, NH2), 7.68 (t, 1H, SO2NH, J = 5.8 Hz), 7.77 (s, 1H, pyrazole), 7.80 (d, 2H, Ar, J = 8.8 Hz), 7.92 (d, 2H, Ar, J = 8.4 Hz). ESI-MS calcd. for C14H18N4O4S, 338.10; found: m/z 339.11 [M + H]+. Anal. C14H18N4O4S (C, H, N).
Ethyl 5-amino-1-(4-(N-propylsulfamoyl)phenyl)-1H-pyrazole-4-carboxylate (15b). Yield = 61%; mp = 123–126 °C (EtOH). 1H-NMR (400 MHz, DMSO-d6) δ 0.81 (t, 3H, SO2NH(CH2CH2CH3), J = 7.4 Hz), 1.24 (t, 3H, COOCH2CH3, J = 7.2 Hz), 1.33–1.42 (m, 2H, SO2NH(CH2CH2CH3)), 2.71 (q, 2H, SO2NH(CH2CH2CH3), J = 6.8 Hz), 4.19 (q, 2H, COOCH2CH3, J = 7.2 Hz), 6.53 (exch br s, 2H, NH2), 7.68 (t, 1H, SO2NH, J = 5.6 Hz), 7.76 (d, 3H, 2H Ar + 1H pyrazole, J = 8.8 Hz), 7.88 (d, 2H, Ar, J = 8.4 Hz). ESI-MS calcd. for C15H20N4O4S, 352.12; found: m/z 353.12 [M + H]+. Anal. C15H20N4O4S (C, H, N).
Ethyl 5-amino-1-(4-(N-butylsulfamoyl)phenyl)-1H-pyrazole-4-carboxylate (15c). Yield = 14%; mp = 130–132 °C (EtOH/H2O). 1H-NMR (400 MHz, CDCl3) δ 0.86 (t, 3H, NHCH2CH2CH2CH3, J = 7.2 Hz), 1.27–1.38 (m, 5H, 3H COOCH2CH3 + 2H NHCH2CH2CH2CH3), 1.45 (quin, 2H, NHCH2CH2CH2CH3, J = 7.2 Hz), 2.97 (t, 2H, NHCH2CH2CH2CH3, J = 7.0 Hz), 4.30 (q, 2H, COOCH2CH3, J = 7.0 Hz), 7.74 (d, 2H, Ar, J = 8.0 Hz), 7.82 (s, 1H, pyrazole), 7.98 (d, 2H, Ar, J = 7.6 Hz). ESI-MS calcd. for C16H22N4O4S, 366.14; found: m/z 367.14 [M + H]+. Anal. C16H22N4O4S (C, H, N).
Ethyl 5-amino-1-(4-(N,N-diethylsulfamoyl)phenyl)-1H-pyrazole-4-carboxylate (16a). Yield = 30%; oil. 1H-NMR (400 MHz, DMSO-d6) δ 1.08 (t, 6H, SO2N(CH2CH3)2, J = 7.2 Hz), 1.28 (t, 3H, COOCH2CH3, J = 7.0 Hz), 3.22 (q, 4H, SO2N(CH2CH3)2, J = 7.2 Hz), 4.23 (q, 2H, COOCH2CH3, J = 7.0 Hz), 6.58 (exch br s, 2H, NH2), 7.80 (d, 3H, 2H Ar + 1H pyrazole, J = 6.8 Hz), 7.92 (d, 2H, Ar, J1 = 6.8 Hz and J2 = 2.0 Hz). ESI-MS calcd. for C16H22N4O4S, 366.14; found: m/z 367.14 [M + H]+. Anal. C16H22N4O4S (C, H, N).
Ethyl 5-amino-1-(4-(N,N-dipropylsulfamoyl)phenyl)-1H-pyrazole-4-carboxylate (16b). Yield = 14%; oil. 1H-NMR (400 MHz, DMSO-d6) δ 0.81 (t, 6H, SO2N(CH2CH2CH3)2, J = 7.2 Hz), 1.24 (t, 3H, COOCH2CH3, J = 7.2 Hz), 1.47 (sex, 4H, SO2N(CH2CH2CH3)2, J = 7.6 Hz), 3.03 (t, 4H, SO2N(CH2CH2CH3)2, J = 7.6 Hz), 4.19 (q, 2H, COOCH2CH3, J = 7.2 Hz), 6.54 (exch br s, 2H, NH2), 7.76 (d, 3H, 2H Ar + 1H pyrazole, J = 9.2 Hz), 7.89 (d, 2H, Ar, J = 8.8 Hz). ESI-MS calcd. for C18H26N4O4S, 394.17; found: m/z 395.17 [M + H]+. Anal. C18H26N4O4S (C, H, N).
Ethyl 1-(4-(N,N-dipropylsulfamoyl)phenyl)-5-(propylamino)-1H-pyrazole-4-carboxylate (16c). Yield = 33%; oil. 1H-NMR (400 MHz, DMSO-d6) δ 0.66 (t, 3H, NHCH2CH2CH3, J = 7.4 Hz), 0.77 (t, 6H, SO2N(CH2CH2CH3)2, J = 7.4 Hz), 1.24–1.32 (m, 5H, 3H COOCH2CH3 + 2H NHCH2CH2CH3), 1.43 (quin, 4H, SO2N(CH2CH2CH3)2, J = 7.2 Hz), 2.74 (q, 2H, NHCH2CH2CH3, J = 6.8 Hz), 3.05 (t, 4H, SO2N(CH2CH2CH3)2, J = 7.4 Hz), 4.21 (q, 2H, COOCH2CH3, J = 7.2 Hz), 6.25 (t, 1H, NH, J = 6.2 Hz), 7.74 (d, 2H, Ar, J = 8.4 Hz), 7.81 (s, 1H, pyrazole), 7.92 (d, 2H, Ar, J = 8.4 Hz). ESI-MS calcd. for C21H32N4O4S, 436.21; found: m/z 437.22 [M + H]+. Anal. C21H32N4O4S (C, H, N).
3.1.11. General Procedure for Synthesis of Acid Derivatives 17, 18a–c and 19a–c
A mixture of 0.27 mmol of appropriate ethyl ester derivatives 14, 15a–c or 16a–c, 0.30 mL of NaOH 6N and 1.50 mL of 96% ethanol was stirred at 100 °C for 4 h. After cooling and maintaining the reaction in ice bath, HCl 6M was added up to acid pH and the precipitate was filtered off to obtain the desired acid products which were purified by crystallisation with ethanol.
5-Amino-1-(4-sulfamoylphenyl)-1H-pyrazole-4-carboxylic acid (17). Yield = 48%; mp = 210–211 °C (EtOH). 1H-NMR (400 MHz, DMSO-d6) δ 6.48 (exch br s, 2H, NH2), 7.46 (exh br s, 2H, SO2NH2), 7.71 (s, 1H, pyrazole), 7.74 (d, 2H, Ar, J = 8.8 Hz), 7.92 (d, 2H, Ar, J = 8.4 Hz), 12.16 (exch br s, 1H, COOH). 13C-NMR (100 MHz, DMSO-d6) δ 96.2 (C), 123.7 (CH), 127.4 (CH), 141.0 (C), 141.7 (CH), 142.8 (C), 150.8 (C), 165.6 (C). ESI-MS calcd. for C10H10N4O4S, 282.04; found: m/z 283.05 [M + H]+. Anal. C10H10N4O4S (C, H, N).
5-Amino-1-(4-(N-ethylsulfamoyl)phenyl)-1H-pyrazole-4-carboxylic acid (18a). Yield = 75%; mp = 208–210 °C dec. (EtOH). 1H-NMR (400 MHz, DMSO-d6) δ 1.03 (t, 3H, SO2NH(CH2CH3), J = 7.2 Hz), 2.83 (quin, 2H, SO2NH(CH2CH3), J = 7.2 Hz), 6.52 (exch br s, 2H, NH2), 7.68 (t, 1H, SO2NH, J = 5.8 Hz), 7.75 (s, 1H, pyrazole), 7.80 (d, 2H, Ar, J = 8.8 Hz), 7.92 (d, 2H, Ar, J = 8.4 Hz). 13C-NMR (100 MHz, DMSO-d6) δ 14.1 (CH3), 37.4 (CH2), 109.0 (C), 123.0 (CH), 127.9 (CH), 140.6 (CH), 142.0 (C), 142.9 (C), 150.2 (C), 164.9 (C). ESI-MS calcd. for C12H14N4O4S, 310.07; found: m/z 311.08 [M + H]+. Anal. C12H14N4O4S (C, H, N).
5-Amino-1-(4-(N-propylsulfamoyl)phenyl)-1H-pyrazole-4-carboxylic acid (18b). Yield = 98%; mp = 215–218 °C (EtOH). 1H-NMR (400 MHz, DMSO-d6) δ 0.79 (t, 3H, NHCH2CH2CH3, J = 7.6 Hz), 1.38 (sex, 2H, NHCH2CH2CH3, J = 7.2 Hz), 2.71 (q, 2H, NHCH2CH2CH3, J = 6.8 Hz), 6.48 (exch br s, 2H, NH2), 7.31 (exch br s, 1H, SO2NH), 7.72 (s, 1H, pyrazole), 7.76 (d, 2H, Ar, J = 8.4 Hz), 7.88 (d, 2H, Ar, J = 8.4 Hz). 13C-NMR (100 MHz, DMSO-d6) δ 11.5 (CH3), 22.7 (CH2), 44.7 (CH2), 124.0 (2 × CH), 128.6 (2 × CH), 139.2 (C), 141.1 (CH), 141.9 (CH), 150.5 (C), 165.5 (C). ESI-MS calcd. for C13H16N4O4S, 324.09; found: m/z 325.09 [M + H]+. Anal. C13H16N4O4S (C, H, N).
5-Amino-1-(4-(N-butylsulfamoyl)phenyl)-1H-pyrazole-4-carboxylic acid (18c). Yield = 92%; mp > 300 °C (EtOH). 1H-NMR (400 MHz, DMSO-d6) δ 0.78 (t, 3H, NHCH2CH2CH2CH3, J = 7.0 Hz), 1.20–1.26 (m, 2H, NHCH2CH2CH2CH3), 1.33–1.38 (m, 2H, NHCH2CH2CH2CH3), 2.74 (q, 2H, NHCH2CH2CH2CH3, J = 6.4 Hz), 6.49 (exch br s, 2H, NH2), 7.65 (t, 1H, SO2NH, J = 5.6 Hz), 7.72 (s, 1H, pyrazole), 7.76 (d, 2H, Ar, J = 8.4 Hz), 7.88 (d, 2H, Ar, J = 8.4 Hz), 12.16 (exch br s, 1H, COOH). 13C-NMR (100 MHz, DMSO-d6) δ 13.8 (CH3), 19.6 (CH2), 31.4 (CH2), 42.6 (CH2), 123.9 (2 × CH), 128.8 (2 × CH), 139.2 (C), 141.3 (C), 141.9 (CH), 150.6 (C), 165.5 (C). ESI-MS calcd. for C14H18N4O4S, 338.10; found: m/z 339.11 [M + H]+. Anal. C14H18N4O4S (C, H, N).
5-Amino-1-(4-(N,N-diethylsulfamoyl)phenyl)-1H-pyrazole-4-carboxylic acid (19a). Yield = 47%; mp = 240 °C dec. (EtOH). 1H-NMR (400 MHz, DMSO-d6) δ 1.08 (t, 6H, SO2N(CH2CH3)2, J = 7.2 Hz), 3.20 (q, 4H, SO2N(CH2CH3)2, J = 7.2 Hz), 6.52 (exch br s, 2H, NH2), 7.70 (s, 1H, pyrazole), 7.82 (d, 2H, Ar, J = 8.8 Hz), 7.91 (d, 2H, Ar, J = 8.8 Hz). 13C-NMR (100 MHz, DMSO-d6) δ 10.7 (CH3), 38.9 (CH2), 109.0 (C), 123.0 (CH), 127.9 (CH), 137.2 (C), 140.6 (CH), 142.9 (C), 150.2 (C), 164.9 (C). ESI-MS calcd. for C14H18N4O4S, 338.10; found: m/z 339.11 [M + H]+. Anal. C14H18N4O4S (C, H, N).
5-Amino-1-(4-(N,N-dipropylsulfamoyl)phenyl)-1H-pyrazole-4-carboxylic acid (19b). Yield = 42%; mp = 167–168 °C (EtOH). 1H-NMR (400 MHz, DMSO-d6) δ 0.80 (t, 6H, N(CH2CH2CH3)2, J = 7.4 Hz), 1,48 (quin, 4H, N(CH2CH2CH3)2, J = 7.2 Hz), 3.03 (t, 4H, N(CH2CH2CH3)2, J = 7.4 Hz), 6.50 (exch br s, 2H, NH2), 7.72 (s, 1H, pyrazole), 7.77 (d, 2H, Ar, J = 6.8 Hz), 7.89 (d, 2H, Ar, J = 6.8 Hz), 12.17 (exch br s, 1H, COOH). 13C-NMR (100 MHz, DMSO-d6) δ 11.4 (CH3), 22.2 (CH2), 50.3 (CH2), 123.8 (CH), 128.7 (CH), 138.0 (C), 141.6 (C), 142.0 (CH), 165.6 (C). ESI-MS calcd. for C16H22N4O4S, 366.14; found: m/z 367.14 [M + H]+. Anal. C16H22N4O4S (C, H, N).
1-(4-(N,N-dipropylsulfamoyl)phenyl)-5-(propylamino)-1H-pyrazole-4-carboxylic acid (19c). Yield = 49%; mp = 170–172 °C (EtOH). 1H-NMR (400 MHz, DMSO-d6) δ 0.66 (t, 3H, NHCH2CH2CH3, J = 7.4 Hz), 0.77 (t, 6H, SO2N(CH2CH2CH3)2, J = 7.2 Hz), 1.28 (quin, 4H, SO2N(CH2CH2CH3)2, J = 6.8 Hz), 1.44 (quin, 2H, NHCH2CH2CH3, J = 7.2 Hz), 2.70–2.75 (m, 2H, NHCH2CH2CH3), 3.05 (t, 4H, SO2N(CH2CH2CH3)2, J = 7.4 Hz), 6.33 (exch br s, 1H, NH), 7.73–7.78 (m, 3H, 2H Ar + 1H pyrazole), 7.91 (d, 2H, Ar, J = 8.4 Hz), 12.23 (exch br s, 1H, COOH). 13C-NMR (100 MHz, DMSO-d6) δ 11.1 (CH3), 11.4 (CH3), 21.7 (CH2), 23.1 (CH2), 47.4 (CH2), 49.7 (CH2), 125.4 (2 × CH), 128.4 (2 × CH), 139.2 (C), 142.1 (CH), 142.8 (C), 152.7 (C), 167.4 (C). ESI-MS calcd. for C19H28N4O4S, 408.18; found: m/z 409.19 [M + H]+. Anal. C19H28N4O4S (C, H, N).
3.1.12. General Procedure for Synthesis of Compounds 20–22 and 25–27
Compounds 20–22 and 25–27 were obtained following the same synthetic procedure used for compounds 15a–c and 16a–c but using the appropriate reagent (benzyl bromide for 20–22 and 27 and phenethyl bromide for 25 and 26). The crude compounds were purified by flash chromatography column using cyclohexane/ethyl acetate 2:1 as eluent.
Ethyl 5-amino-1-(4-(N-benzylsulfamoyl)phenyl)-1H-pyrazole-4-carboxylate (20). Yield = 23%; oil. 1H-NMR (400 MHz, DMSO-d6) δ 1.27 (t, 3H, COOCH2CH3, J = 7.0 Hz), 4.02 (d, 2H, NHCH2Ph, J = 6.0 Hz), 4.22 (q, 2H, COOCH2CH3, J = 7.0 Hz), 6.53 (exch br s, 2H, NH2), 7.25–7.30 (m, 5H, Ar), 7.76 (d, 3H, 2H Ar + 1H pyrazole, J = 8.0 Hz), 7.93 (d, 2H, Ar, J = 8.4 Hz), 8.26 (t, 1H, SO2NH, J = 6.2 Hz). ESI-MS calcd. for C19H20N4O4S, 400.12; found: m/z 401.12 [M + H]+. Anal. C19H20N4O4S (C, H, N).
Ethyl 5-amino-1-(4-(N,N-dibenzylsulfamoyl)phenyl)-1H-pyrazole-4-carboxylate (21). Yield = 42%; oil. 1H-NMR (400 MHz, DMSO-d6) δ 1.27 (t, 3H, COOCH2CH3, J = 6.8 Hz), 4.22 (q, 2H, COOCH2CH3, J = 6.8 Hz), 4.33 (s, 4H, N(CH2Ph)2), 6.57 (exch br s, 2H, NH2), 7.10–7.36 (m, 10H, Ar), 7.80 (d, 3H, 2H Ar + 1H pyrazole, J = 7.2 Hz), 8.00 (d, 2H, Ar, J = 8.0 Hz). ESI-MS calcd. for C26H26N4O4S, 490.17; found: m/z 491.17 [M + H]+. Anal. C26H26N4O4S (C, H, N).
Ethyl 5-(benzylamino)-1-(4-(N,N-dibenzylsulfamoyl)phenyl)-1H-pyrazole-4-carboxylate (22). Yield = 10%; oil. 1H-NMR (400 MHz, DMSO-d6) δ 1.25 (t, 3H, COOCH2CH3, J = 7.2 Hz), 3.94 (d, 2H, NHCH2Ph, J = 5.6 Hz), 4.22 (q, 2H, COOCH2CH3, J = 7.2 Hz), 4.35 (s, 4H, SO2N(CH2Ph)2), 6.78 (t, 1H, NHCH2Ph, J = 5.6 Hz), 7.10–7.40 (m, 15H, Ar), 7.71 (d, 2H, Ar, J = 8.0 Hz), 7.82 (s, 1H, pyrazole), 8.00 (d, 2H, Ar, J = 8.0 Hz). ESI-MS calcd. for C33H32N4O4S, 580.21; found: m/z 581.22 [M + H]+. Anal. C33H32N4O4S (C, H, N).
Ethyl 5-amino-1-(4-(N-phenethylsulfamoyl)phenyl)-1H-pyrazole-4-carboxylate (25). Yield = 35%; mp = 108–111 °C (EtOH). 1H-NMR (400 MHz, CDCl3) δ 1.38 (t, 3H, COOCH2CH3, J = 7.0 Hz), 2.81 (t, 2H, NHCH2CH2Ph, J = 6.8 Hz), 3.28 (q, 2H, NHCH2CH2Ph, J = 6.8 Hz), 4.32 (q, 2H, COOCH2CH3, J = 7.0 Hz), 4.48 (t, 1H, SO2NH, J = 6.0 Hz), 5.43 (exch br s, 2H, NH2), 7.10 (d, 2H, Ar, J = 6.8 Hz), 7.23–7.30 (m, 3H, Ar), 7.50–7.60 (m, 1H, Ar), 7.73 (d, 2H, Ar, J = 8.4 Hz), 7.82 (s, 1H, pyrazole), 7.93 (d, 2H, Ar, J = 8.4 Hz). ESI-MS calcd. for C20H22N4O4S, 414.14; found: m/z 415.14 [M + H]+. Anal. C20H22N4O4S (C, H, N).
Ethyl 5-(phenethylamino)-1-(4-(N-phenethylsulfamoyl)phenyl)-1H-pyrazole-4-carboxylate (26). Yield = 13%; oil. 1H-NMR (400 MHz, CDCl3) δ 1.37 (t, 3H, COOCH2CH3, J = 7.0 Hz), 2.77 (t, 2H, SO2NHCH2CH2Ph, J = 7.0 Hz), 2.85–2.90 (m, 2H, NHCH2CH2Ph), 3.41 (t, 2H, NHCH2CH2Ph, J = 7.8 Hz), 3.86 (t, 2H, SO2NHCH2CH2Ph, J = 6.6 Hz), 4.31 (q, 2H, COOCH2CH3, J = 7.0 Hz), 5.47 (exch br s, 1H, NH), 7.15–7.30 (m, 10H, Ar), 7.49 (d, 3H, 2H Ar + 1H pyrazole, J = 7.2 Hz), 7.70 (exch br s, 1H, SO2NH), 7.82 (d, 2H, Ar, J = 7.2 Hz). ESI-MS calcd. for C28H30N4O4S, 518.20; found: m/z 519.20 [M + H]+. Anal. C20H22N4O4S (C, H, N).
Ethyl 5-amino-1-(4-(N-benzyl-N-phenethylsulfamoyl)phenyl)-1H-pyrazole-4-carboxylate (27). Yield = 65%; mp = 131–134 °C (EtOH). 1H-NMR (400 MHz, DMSO-d6) δ 1.26 (t, 3H, COOCH2CH3, J = 7.0 Hz), 2.55 (t, 2H, NCH2CH2Ph, J = 8.0 Hz), 3.27 (t, 2H, NCH2CH2Ph, J = 8.0 Hz), 4.21 (q, 2H, COOCH2CH3, J = 7.0 Hz), 4.40 (s, 2H, NCH2Ph), 6.58 (exch br s, 2H, NH2), 6.99 (d, 2H, Ar, J = 7.2 Hz), 7.10–7.20 (m, 4H, Ar), 7.30–7.40 (m, 4H, Ar), 7.79 (d, 3H, 2H Ar + 1H pyrazole, J = 10.0 Hz), 7.99 (d, 2H, Ar, J = 8.0 Hz). ESI-MS calcd. for C27H28N4O4S, 504.18; found: m/z 505.19 [M + H]+. Anal. C27H28N4O4S (C, H, N).
3.1.13. General Procedure for Synthesis of Acid Derivatives 23, 24 and 28–30
Compounds 23, 24 and 28–30 were obtained following the same alkaline hydrolysis used for acids 17, 18a–c and 19a–c. After cooling and maintaining the reaction in ice bath, HCl 6M was added up to acid pH and the precipitate was filtered off to obtain the desired acid products which were purified by crystallisation with ethanol.
5-Amino-1-(4-(N-benzylsulfamoyl)phenyl)-1H-pyrazole-4-carboxylic acid (23). Yield = 40%; mp = 207–210 °C (EtOH). 1H-NMR (400 MHz, DMSO-d6) δ 4.02 (d, 2H, NHCH2Ph, J = 6.0 Hz), 6.48 (exch br s, 2H, NH2), 7.25–7.30 (m, 5H, Ar), 7.74 (s, 1H, pyrazole), 7.77 (d, 2H, Ar, J = 7.6 Hz), 7.92 (d, 2H, Ar, J = 7.6 Hz), 8.25 (t, 1H, NHCH2Ph, J = 6.0 Hz), 12.14 (exch br s, 1H, COOH). 13C-NMR (100 MHz, DMSO-d6) δ 46.2 (CH2), 109.0 (CH), 123.0 (CH), 126.7 (CH), 126.9 (CH), 127.9 (CH), 128.5 (CH), 140.6 (CH), 141.6 (CH), 142.2 (C), 142.9 (C), 150.2 (C), 164.9 (C). ESI-MS calcd. for C17H16N4O4S, 372.09; found: m/z 373.09 [M + H]+. Anal. C17H16N4O4S (C, H, N).
5-Amino-1-(4-(N,N-dibenzylsulfamoyl)phenyl)-1H-pyrazole-4-carboxylic acid (24). Yield = 20%; mp = 168–170 °C (EtOH). 1H-NMR (400 MHz, DMSO-d6) δ 4.32 (s, 4H, SO2N(CH2Ph)2), 6.54 (exch br s, 2H, NH2), 7.05–7.15 (m, 4H, Ar), 7.19–7.25 (m, 6H, Ar), 7.72 (s, 1H, pyrazole), 7.83 (d, 2H, Ar, J = 8.4 Hz), 7.99 (d, 2H, Ar, J = 8.4 Hz). 13C-NMR (100 MHz, DMSO-d6) δ 51.9 (CH2), 109.0 (C), 123.3 (CH), 127.9 (CH), 128.7 (CH), 128.9 (CH), 136.6 (C), 137.4 (C), 140.6 (CH), 142.9 (C), 150.5 (C), 164.9 (C). ESI-MS calcd. for C24H22N4O4S, 462.14; found: m/z 463.14 [M + H]+. Anal. C24H22N4O4S (C, H, N).
5-Amino-1-(4-(N-phenethylsulfamoyl)phenyl)-1H-pyrazole-4-carboxylic acid (28). Yield = 13%; mp = 186–188 °C (EtOH). 1H-NMR (400 MHz, DMSO-d6) δ 2.71 (t, 2H, NHCH2CH2Ph, J = 7.4 Hz), 3.00 (q, 2H, NHCH2CH2Ph, J = 7.0 Hz), 6.49 (exch br s, 2H, NH2), 7.15–7.20 (m, 3H, Ar), 7.26 (t, 2H, Ar, J = 7.4 Hz), 7.73 (s, 1H, pyrazole), 7.77 (d, 2H, Ar, J = 8.8 Hz), 7.82 (t, 1H, SO2NH, J = 5.8 Hz), 7.89 (d, 2H, Ar, J = 8.8 Hz). 13C-NMR (100 MHz, DMSO-d6) δ 35.7 (CH2), 42.4 (CH2), 109.0 (C), 123.8 (CH), 126.7 (CH), 128.4 (CH), 128.8 (CH), 129.1 (CH), 139.1 (C), 141.4 (C), 141.9 (CH), 150.2 (C), 164.9 (C). ESI-MS calcd. for C18H18N4O4S, 386.10; found: m/z 387.11 [M + H]+. Anal. C18H18N4O4S (C, H, N).
5-(Phenethylamino)-1-(4-(N-phenethylsulfamoyl)phenyl)-1H-pyrazole-4-carboxylic acid (29). Yield = 18%; mp = 105–107 °C (EtOH). 1H-NMR (400 MHz, DMSO-d6) δ 2.65 (t, 2H, NHCH2CH2Ph, J = 7.2 Hz), 2.77 (t, 2H, NHCH2CH2Ph, J = 7.2 Hz), 2.94 (t, 2H, SO2NHCH2CH2Ph, J = 6.4 Hz), 3.35 (t, 2H, SO2NHCH2CH2Ph, J = 7.6 Hz), 6.50 (exch br s, 1H, NHCH2CH2Ph), 7.10–7.30 (m, 10H, Ar), 7.55–7.62 (m, 3H, 2H Ar + 1H pyrazole), 7.70 (exch br s, 1H, SO2NH), 7.81 (d, 2H, Ar, J = 8.4 Hz). 13C-NMR (100 MHz, DMSO-d6) δ 35.3 (CH2), 35.6 (CH2), 44.4 (CH2), 50.9 (CH2), 109.0 (C), 123.1 (CH), 126.7 (CH), 126.9 (CH), 127.9 (C), 128.8 (CH), 128.9 (CH), 129.1 (CH), 129.2 (CH), 129.7 (CH), 132.9 (CH), 139.4 (C), 142.0 (C), 142.9 (C), 151.2 (C), 164.9 (C). ESI-MS calcd. for C26H26N4O4S, 490.17; found: m/z 491.17 [M + H]+. Anal. C26H26N4O4S, (C, H, N).
5-Amino-1-(4-(N-benzyl-N-phenethylsulfamoyl)phenyl)-1H-pyrazole-4-carboxylic acid (30). Yield = 59%; mp = 263–266 °C dec. (EtOH). 1H-NMR (400 MHz, DMSO-d6) δ 2.55 (t, 2H,NCH2CH2Ph, J = 7.4 Hz), 3.26 (t, 2H, NHCH2CH2Ph, J = 7.6 Hz), 4.39 (s, 2H,NCH2Ph), 6.53 (exch br s, 2H, NH2), 6.99 (d, 2H, Ar, J = 7.2 Hz), 7.15–7.20 (m, 3H, Ar), 7.31–7.36 (m, 5H, Ar), 7.61 (s, 1H, pyrazole), 7.86 (d, 2H, Ar, J = 8.0 Hz), 7.95 (d, 2H, Ar, J = 8.4 Hz). 13C-NMR (100 MHz, DMSO-d6) δ 34.9 (CH2), 49.9 (CH2), 52.0 (CH2), 103.4 (C), 122.6 (CH), 126.8 (CH), 128.2 (CH), 128.7 (C), 128.9 (CH), 128.9 (CH), 129.0 (CH), 136.6 (C), 137.2 (C), 138.6 (C), 142.8 (CH), 142.9 (C), 149.7 (C), 168.4 (C). ESI-MS calcd. for C25H24N4O4S, 476.15; found: m/z 477.16 [M + H]+. Anal. C25H24N4O4S (C, H, N).
3.2. Pharmacological Assays
3.2.1. Preparation of Oocytes
Oocytes of Xenopus laevis are prepared as previously described in [] where the oocytes are isolated from surgically removed ovary segments incubated in an Oocyte Ringe solution Ca2-free (OR2: in mM: 82.5 NaCl, 2.5 KCl, 1.0 MgCl2, 1.0 CaCl2, 1.0 Na2HPO4 e 5.0 HEPES, pH 7.5) with 2 mg/mL of collagenase and antibiotics (10,000 U/mL penicillin and 10 mg/mL of streptomycin) stirred at room temperature for 3 h. After being washed with OR2, oocytes free of follicular cells and that have a uniform pigmentation are chosen and stored in OR2 for 18 °C.
3.2.2. Synthesis of mRNA
Mouse pannexin1, in pCS2, was linearised with NotI. In vitro transcription was performed with the polymerase SP6, using the Message Machine kit (Ambion). mRNA was quantified by absorbance (260 nm), and the proportion of full-length transcripts was checked by agarose gel electrophoresis. In vitro-transcribed mRNA (~20 nL) was injected into Xenopus laevis oocytes.
3.2.3. Electrophysiology
Whole-cell membrane currents of oocytes were measured using a two-electrode voltage clamp (Gene Clamp 500B, Axon Instruments/Molecular Devices Sunnyvale, Union City, CA, USA). Glass pipettes were pulled using a P-97 Flaming/Brown type puller (Sutter, Novato, CA, USA). The recording chamber was perfused continuously with frog Ringer (OR) solution (in mM: 82.5 NaCl, 2.5 KCl, 1 CaCl2, 1 MgCl2, 1 Na2HPO4, and 5 HEPES, pH 7.5).
Membrane conductance was determined using voltage pulses, and the pulse-induced current amplitudes were divided by the amplitudes of the voltage steps. For calculation of % inhibition, leak currents were subtracted. Typically, leak currents after the interventions were smaller than at the beginning of the experiment and this smaller value was used for the subtraction to avoid overestimation of the inhibitory effect. For an independent measure of the leak current, oocytes at the end of the experiment were exposed to 100 µM carbenoxolone, which is known to close Panx1 channels 100%. Oocytes expressing Panx1 were held at −60 mV, and pulses to +60 mV were applied to transiently open the channels by means of the voltage gate. Pulses 5 s in duration were applied at 0.1 Hz for current and conductance measurements.
3.3. In Vivo Tests
3.3.1. Study Approval
All animal manipulations were carried out according to the Directive 2010/63/EU of the European parliament and of the European Union council (22 September 2010) on the protection of animals used for scientific purposes and with IASP. The ethical policy of the University of Florence complies with the Guide for the Care and Use of Laboratory Animals of the US National Institutes of Health (NIH Publication No. 85-23, revised 1996; University of Florence assurance number: A5278-01). Formal approval to conduct the experiments described was obtained from the Italian Ministry of Health (No. 171/2018-PR) and from the Animal Subjects Review Board of the University of Florence and from the Animal Ethics Committee of University of Campania of Naples. Experiments involving animals have been reported according to ARRIVE guidelines [] All efforts were made to minimise animal suffering and to reduce the number of animals used.
3.3.2. Animals
Eight-week-old male CD-1 mice (Envigo, Varese, Italy) weighing approximately 20–25 g at the beginning of the experimental procedure were used. Animals were housed in the Centro Stabulazione Animali da Laboratorio (CeSAL; University of Florence, Italy) and used at least 1 week after their arrival; 10 mice were housed per cage (size 26 cm × 41 cm). Animals were fed a standard laboratory diet and tap water ad libitum and kept at 23 ± 1 °C with a 12 h light/dark cycle (light at 7 a.m.).
3.3.3. Oxaliplatin-Induced Neuropathic Pain Model
Mice treated with oxaliplatin (Carbosynth, Pangbourne, UK; 2.4 mg kg−1) were administered intraperitoneally (i.p.) for 2 weeks [,] Oxaliplatin was dissolved in a 5% glucose solution. Control animals received an equivalent volume of vehicle. Behavioural tests were performed starting from day 14, when neuropathy was well established.
3.3.4. Compounds Administration
Compounds 4 and 13 were intrathecally (i.t.) injected in conscious mice as previously described []. Compound 4 was dissolved in sterile saline solution while compound 13 was dissolved in a mixture consisting of PEG400, TWEEN 20 and sterile saline solution (1:1:3, respectively). Briefly, a 25 µL Hamilton syringe connected to a 30-gauge needle was intervertebrally inserted between the L4 and L5 region, and advanced 6 mm into the lumbar enlargement of the spinal cord. Behavioural measurements were performed before and 15 min, 30 min, 45 min, and 60 min after the administration of compounds.
3.3.5. Assessment of Thermal Allodynia (Cold Plate Test)
Thermal allodynia was assessed using the Cold-plate test. With minimal animal-handler interaction, mice were taken from home-cages, and placed onto the surface of the cold-plate (Ugo Basile, Varese, Italy) maintained at a constant temperature of 4 ± 1 °C. Ambulation was restricted by a cylindrical plexiglas chamber (diameter: 10 cm, height: 15 cm), with open top. A timer controlled by foot peddle began timing response latency from the moment the mouse was placed onto the cold-plate. Pain-related behaviour (licking of the hind paw) was observed, and the time (seconds) of the first sign was recorded. The cut-off time of the latency of paw lifting or licking was set at 30 s [].
3.3.6. Statistics
Results were expressed as means ± SEM and the analysis of variance was performed by ANOVA test. A Bonferroni’s significant difference procedure was used as post hoc comparison. P values less than 0.05 were considered significant. Data were analysed using “Origin® 10” software.
3.4. Molecular Dynamics and Statistical Analysis
The structure of the channel was obtained from the hPANX-1 (PDB ID 7DWB), considering all the amino acids within a distance of about 25 Å from the centre of the pore, identified as ‘CBX binding site’. The ligands were placed at the binding site through AUTODOCK 4.2 []. The main autodock parameters used in this work are in Table 7 and Table 8:
Table 7.
AutoGrid Parameters.
Table 8.
AutoDock Parameters.
The molecular dynamics simulations of ligand binding-site complexes were performed on a minimum number of conformations (maximum 2) such as to cover at least 70% of the poses found by AUTODOCK.
A 10 ns MD simulation was performed for all complexes using GROMACS v5.1 program, and it was conducted in vacuum []. The DS ViewerPro 6.0 program [] was used to build the initial conformations of ligands. The partial atomic charge of the ligand structures was calculated with CHIMERA [] using AM1-BCC method, and the topology was created with ACPYPE [] based on the routine Antechamber [].
The OPLS-AA/L all-atom force field [] parameters were applied to all the structures. To remove bad contacts, the energy minimisation was performed using the steepest descent algorithm until convergence is achieved or for 50,000 maximum steps. The next equilibration of the system was conducted in two phases:
- (1)
- canonical NVT ensemble, a 100 ps position-restrained of molecules at 300 K was carried out using a temperature-coupling thermostat (velocity rescaling with a stochastic term) to ensure the proper stabilisation of the temperature [];
- (2)
- isothermal isobaric NPT ensemble, a 100 ps position-restrained of molecules at 300 K and 1 bar was carried out without using barostat pressure coupling to stabilise the system. These were then followed by a 10 ns MD run at 300 K with position restraints for all protein atoms. The Lincs algorithm [] was used for bond constraints to maintain rigid bond lengths.
The initial velocity was randomly assigned taken from Maxwell–Boltzman distribution at 300 K and computed with a time step of 2 fs, and the coordinates were recorded every 0.1 ns. The conformations collected during the simulated trajectory were 100.
The Proximity Frequencies (PFs), with which the 100 conformations of each binding-site ligand complex intercepts two or more amino acid during the dynamic simulation, were calculated. The statistical analysis was carried out with OriginPro2018 program [].
4. Conclusions
In a previous work we reported the first series of de-novo Panx-1 channel blockers, obtained following a rational approach []; in the present paper we describe the further development of this research, which was based on the information gained from the results of the first series, thus taking into account the structural requirements for the activity. Therefore, we went to include on the naphthalene and pyrazole nucleus those functions and groups that in the first series were favourable for activity, in addition to other groups reported in the literature. The active compounds are characterised by a lipophilic scaffold with a certain steric hindrance into which one or more acid groups are inserted, as well as by the presence of a sulphonamide function, appropriately substituted. These data are in agreement with our previous results. Compounds 4 and 13, which are an analogue of the drug Probenecid, are the most potent Panx-1 inhibitors obtained, able to almost completely block the channel opening at 50 µM (4, I = 97% and 13, I = 93.7%). Both compounds were tested intrathecally in a mouse model of oxaliplatin-induced neuropathic pain at the dose of 1 nmol and 3 nmol; they had a similar profile showing the maximum anti-allodynic effect on 45 min with the dose of 3 nmol. These results suggested a relationship between this effect and the channel blocking ability of compounds 4 and 13 and indicated the class of Panx-1 inhibitors as an interesting new approach for chemotherapy-induced neuropathic pain.
Finally, from the MD study and the PCA analysis, it has been possible to individuate a discriminating factor separating active compounds from inactive ones. Considering that seven identical chains form the channel, ligands could occupy the same position in each protomer making it difficult the recognise a binding site for Panx-1 inhibitory ligands. Thus, evaluating the number of PFs represents the only tool we could use as the starting point in the study of Panx-1 inhibitors. The PFs collected for the inactive compounds are lower than the active compounds. The different distribution in the PCA graph of compounds (the inactive compounds are grouped in a ‘statistically significant manner’, i.e., nearly zero interactions) indicate that our approach could be helpful in the study of Panx-1 channel inhibitors.
Supplementary Materials
The following supporting information can be downloaded at: https://www.mdpi.com/article/10.3390/ijms23094827/s1.
Author Contributions
Conceptualization L.C. and M.P.G.; methodology, G.G., S.L. and F.M.; validation, F.M., G.G. and J.W.; formal analysis, J.W. and E.L.; investigation, S.L., L.D.C.M. and E.L.; resources, G.G and S.L.; data curation, C.G. and L.D.C.M.; writing—original draft preparation, L.C.; writing—review and editing, L.C., M.P.G. and G.D.; visualization, C.G.; supervision and project administration, M.P.G. and G.D. All authors have read and agreed to the published version of the manuscript.
Funding
This research was funded by University of Florence and supported by the IMI2 project NeuroDerisk (821528, to C.G.), by Regione Toscana (project Knowpain, 20RSEM to C.G.). G.D. was supported by the National Institutes of Health [R56HL136291].
Institutional Review Board Statement
All animal manipulations were carried out according to the Directive 2010/63/EU of the European parliament and of the European Union council (22 September 2010) on the protection of animals used for scientific purposes and with IASP. The ethical policy of the University of Florence complies with the Guide for the Care and Use of Laboratory Animals of the US National Institutes of Health (NIH Publication No. 85-23, revised 1996; University of Florence assurance number: A5278-01). Formal approval to conduct the experiments described was obtained from the Italian Ministry of Health (No. 171/2018-PR) and from the Animal Subjects Review Board of the University of Florence and from the Animal Ethics Committee of University of Campania of Naples.
Informed Consent Statement
Not applicable.
Data Availability Statement
The data that support the findings of this study are available from the corresponding author upon reasonable request.
Conflicts of Interest
The authors declare no conflict of interest.
References
- Panchin, Y.; Kelmanson, I.; Matz, M.; Lukyanov, K.; Usman, N.; Lukyanov, S. A ubiquitous family of putative gap junction molecules. Curr. Biol. 2000, 10, R473–R474. [Google Scholar] [CrossRef]
- Dahl, G. The Pannexin1 membrane channel: Distinct conformations and functions. FEBS Lett. 2018, 592, 3201–3209. [Google Scholar] [CrossRef] [PubMed]
- Bond, S.R.; Naus, C.C. The pannexins: Past and present. Front. Physiol. 2014, 5, 58. [Google Scholar] [CrossRef] [PubMed]
- Bruzzone, R.; Hormuzdi, S.G.; Barbe, M.T.; Herb, A.; Monyer, H. Pannexins, a family of gap junction proteins expressed in brain Roberto. Proc. Natl. Acad. Sci. USA 2003, 100, 13644–13649. [Google Scholar] [CrossRef]
- Whyte-Fagundes, P.; Zoidl, G. Mechanisms of pannexin1 channel gating and regulation. Biochim. Biophys. Acta-Biomembr. 2018, 1860, 65–71. [Google Scholar] [CrossRef]
- Qu, R.; Dong, L.; Zhang, J.; Yu, X.; Wang, L.; Zhu, S. Cryo-EM structure of human heptameric Pannexin 1 channel. Cell Res. 2020, 30, 446–448. [Google Scholar] [CrossRef]
- Ruan, Z.; Orozco, I.J.; Du, J.; Lü, W. Structures of human pannexin 1 reveal ion pathways and mechanism of gating. Nature 2020, 584, 646–651. [Google Scholar] [CrossRef]
- Michalski, K.; Syrjanen, J.L.; Henze, E.; Kumpf, J.; Furukawa, H.; Kawate, T. The Cryo-EM structure of a pannexin 1 reveals unique motifs for ion selection and inhibition. eLife 2020, 9, e54670. [Google Scholar] [CrossRef]
- Mim, C.; Perkins, G.; Dahl, G. Structure versus function: Are new conformations of pannexin 1 yet to be resolved? J. Gen. Physiol. 2021, 153, e202012754. [Google Scholar] [CrossRef]
- Narahari, A.K.; Kreutzberger, A.J.B.; Gaete, P.S.; Chiu, Y.H.; Leonhardt, S.A.; Medina, C.B.; Jin, X.; Oleniacz, P.W.; Kiessling, V.; Barrett, P.Q.; et al. Atp and large signaling metabolites flux through caspase-activated pannexin 1 channels. eLife 2021, 10, e64787. [Google Scholar] [CrossRef]
- Ambrosi, C.; Gassmann, O.; Pranskevich, J.N.; Boassa, D.; Smock, A.; Wang, J.; Dahl, G.; Steinem, C.; Sosinsky, G.E. Pannexin1 and Pannexin2 channels show quaternary similarities to connexons and different oligomerization numbers from each other. J. Biol. Chem. 2010, 285, 24420–24431. [Google Scholar] [CrossRef] [PubMed]
- Deng, Z.; He, Z.; Maksaev, G.; Bitter, R.M.; Rau, M.; Fitzpatrick, J.A.J.; Yuan, P. Cryo-EM structures of the ATP release channel pannexin 1. Nat. Struct. Mol. Biol. 2020, 27, 373–381. [Google Scholar] [CrossRef] [PubMed]
- Wang, J.; Dahl, G. SCAM analysis of Panx1 suggests a peculiar pore structure. J. Gen. Physiol. 2010, 136, 515–527. [Google Scholar] [CrossRef] [PubMed]
- Boassa, D.; Qiu, F.; Dahl, G.; Sosinsky, G. Trafficking dynamics of glycosylated pannexin 1 proteins. Cell Commun. Adhes. 2008, 15, 119–132. [Google Scholar] [CrossRef] [PubMed]
- Ahmadian, E.; Eftekhari, A.; Samiei, M.; Maleki Dizaj, S.; Vinken, M. The role and therapeutic potential of connexins, pannexins and their channels in Parkinson’s disease. Cell. Signal. 2019, 58, 111–118. [Google Scholar] [CrossRef] [PubMed]
- Di Cesare Mannelli, L.; Marcoli, M.; Micheli, L.; Zanardelli, M.; Maura, G.; Ghelardini, C.; Cervetto, C. Oxaliplatin evokes P2X7-dependent glutamate release in the cerebral cortex: A pain mechanism mediated by Pannexin 1. Neuropharmacology 2015, 97, 133–141. [Google Scholar] [CrossRef]
- Silverman, W.; Locovei, S.; Dahl, G. Probenecid, a gout remedy, inhibits pannexin 1 channels. Am. J. Physiol.-Cell Physiol. 2008, 295, 761–767. [Google Scholar] [CrossRef]
- Bruzzone, R.; Barbe, M.T.; Jakob, N.J.; Monyer, H. Pharmacological properties of homomeric and heteromeric pannexin hemichannels expressed in Xenopus oocytes. J. Neurochem. 2005, 92, 1033–1043. [Google Scholar] [CrossRef]
- Iglesias, R.; Spray, D.C.; Scemes, E. Mefloquine Blockade of Pannexin1 Currents: Resolution of a Conflict. Cell Commun. Adhes. 2010, 16, 131–137. [Google Scholar] [CrossRef]
- Qiu, F.; Wang, J.; Spray, D.C.; Scemes, E.; Dahl, G. Two non-vesicular ATP release pathways in the mouse erythrocyte membrane. FEBS Lett. 2011, 585, 3430–3435. [Google Scholar] [CrossRef][Green Version]
- Wang, J.; Jackson, D.G.; Dahl, G. The food dye FD&C Blue No. 1 is a selective inhibitor of the ATP release channel Panx1. J. Gen. Physiol. 2013, 141, 649–656. [Google Scholar] [CrossRef] [PubMed]
- Pelegrin, P.; Surprenant, A. Pannexin-1 couples to maitotoxin- and nigericin-induced interleukin-1β release through a dye uptake-independent pathway. J. Biol. Chem. 2007, 282, 2386–2394. [Google Scholar] [CrossRef] [PubMed]
- Crocetti, L.; Guerrini, G.; Puglioli, S.; Giovannoni, M.P.; Di Cesare Mannelli, L.; Lucarini, E.; Ghelardini, C.; Wang, J.; Dahl, G. Design and synthesis of the first indole-based blockers of Panx-1 channel. Eur. J. Med. Chem. 2021, 223, 113650. [Google Scholar] [CrossRef] [PubMed]
- Colonge, J.; Pradon, A. Benzylation of aminonaphthalenesulfonic acids and N-p-toluenesulfonylaminonaphthalenesulfonic acids. Bull. Soc. Chim. Fr. 1957, 1043–1046. [Google Scholar]
- Cui, H.; Kamal, Z.; Ai, T.; Xu, Y.; More, S.S.; Wilson, D.J.; Chen, L. Discovery of potent and selective sirtuin 2 (SIRT2) inhibitors using a fragment-based approach. J. Med. Chem. 2014, 57, 8340–8357. [Google Scholar] [CrossRef]
- Khodarahmi, G.A.; Chen, C.S.; Hakimelahi, G.H.; Tseng, C.T.; Chern, J.W. Design, synthesis, and cytotoxicity of 4-sulfonamide substituted benzamidobenzimidazolones and an acyl benzimidazolone. J. Iran. Chem. Soc. 2005, 2, 124–134. [Google Scholar] [CrossRef]
- Milutinovic, S.; Simmonds, R.G.; Tupper, D.E. Aminosulphonylbenzamide Derivatives as Modulators of the Activity of Neuronal Calcium Channels; 1999; p. PCT Int. Appl. 993 6398.
- Remaut, H.; Lo, A.; Waksman, G.; Selwood, D.; Gane, P. Compounds Having Antibacterial Activity; 2014; p. WO 2014173904 A1 2014 1030.
- Hanke, T.; Rörsch, F.; Thieme, T.M.; Ferreiros, N.; Schneider, G.; Geisslinger, G.; Proschak, E.; Grösch, S.; Schubert-Zsilavecz, M. Synthesis and pharmacological characterization of benzenesulfonamides as dual species inhibitors of human and murine mPGES-1. Bioorg. Med. Chem. 2013, 21, 7874–7883. [Google Scholar] [CrossRef]
- Kruse, C.H.; Holden, K.G.; Offen, P.H.; Pritchard, M.L.; Feild, J.A.; Rieman, D.J.; Bender, P.E.; Ferguson, B.; Greig, R.G.; Poste, G. Synthesis and evaluation of multisubstrate inhibitors of an oncogene-encoded tyrosine-specific protein kinase. 2. J. Med. Chem. 1988, 31, 1768–1772. [Google Scholar] [CrossRef]
- Türkeş, C.; Arslan, M.; Demir, Y.; Çoçaj, L.; Rifati Nixha, A.; Beydemir, Ş. Synthesis, biological evaluation and in silico studies of novel N-substituted phthalazine sulfonamide compounds as potent carbonic anhydrase and acetylcholinesterase inhibitors. Bioorg. Chem. 2019, 89, 103004. [Google Scholar] [CrossRef] [PubMed]
- Yun, F.; Cheng, C.; Ullah, S.; Yuan, Q. Design, synthesis and biological evaluation of novel histone deacetylase1/2 (HDAC1/2) and cyclin-dependent Kinase2 (CDK2) dual inhibitors against malignant cancer. Eur. J. Med. Chem. 2020, 198, 112322. [Google Scholar] [CrossRef] [PubMed]
- Ashour, H.M.A.; Wahab, A.E.A. Synthesis and biological evaluation of novel pyrazoles and pyrazolo[3,4-d]pyrimidines incorporating a benzenesulfonamide moiety. Arch. Pharm. 2009, 342, 238–252. [Google Scholar] [CrossRef] [PubMed]
- Riddell, I.A.; Lippard, S.J. Cisplatin and oxaliplatin: Our current understanding of their actions. In Metallo-Drugs: Development and Action of Anticancer Agents; Walter de Gruyter GmbH: Berlin, Germany, 2018; pp. 1–42. [Google Scholar] [CrossRef]
- Ewertz, M.; Qvortrup, C.; Eckhoff, L. Chemotherapy-induced peripheral neuropathy in patients treated with taxanes and platinum derivatives. Acta Oncol. 2015, 54, 587–591. [Google Scholar] [CrossRef] [PubMed]
- Morris, G.M.; Ruth, H.; Lindstrom, W.; Sanner, M.F.; Belew, R.K.; Goodsell, D.S.; Olson, A.J. Software news and updates AutoDock4 and AutoDockTools4: Automated docking with selective receptor flexibility. J. Comput. Chem. 2009, 30, 2785–2791. [Google Scholar] [CrossRef]
- Pronk, S.; Páll, S.; Schulz, R.; Larsson, P.; Bjelkmar, P.; Apostolov, R.; Shirts, M.R.; Smith, J.C.; Kasson, P.M.; Van Der Spoel, D.; et al. GROMACS 4.5: A high-throughput and highly parallel open source molecular simulation toolkit. Bioinformatics 2013, 29, 845–854. [Google Scholar] [CrossRef]
- Crocetti, L.; Guerrini, G.; Cantini, N.; Vergelli, C.; Melani, F.; Mascia, M.P.; Giovannoni, M.P. ‘Proximity frequencies’ a new parameter to evaluate the profile of GABAAR modulators. Bioorg. Med. Chem. Lett. 2021, 34, 127755. [Google Scholar] [CrossRef]
- Dahl, G. Cell-Cell Interactions. A Practical Approach; Oxford University Press: Oxford, UK, 1992. [Google Scholar]
- McGrath, J.C.; Lilley, E. Implementing guidelines on reporting research using animals (ARRIVE etc.): New requirements for publication in BJP. Br. J. Pharmacol. 2015, 172, 3189–3193. [Google Scholar] [CrossRef]
- Cavaletti, G.; Tredici, G.; Petruccioli, M.G.; Dondè, E.; Tredici, P.; Marmiroli, P.; Minoia, C.; Ronchi, A.; Bayssas, M.; Etienne, G.G. Effects of different schedules of oxaliplatin treatment on the peripheral nervous system of the rat. Eur. J. Cancer 2001, 37, 2457–2463. [Google Scholar] [CrossRef]
- Micheli, L.; Parisio, C.; Lucarini, E.; Vona, A.; Toti, A.; Pacini, A.; Mello, T.; Boccella, S.; Ricciardi, F.; Maione, S. VEGF-A/VEGFR-1 signalling and chemotherapy-induced neuropathic pain: Therapeutic potential of a novel anti-VEGFR-1 monoclonal antibody. J. Exp. Clin. Cancer Res. 2021, 40, 320. [Google Scholar] [CrossRef]
- Bedini, A.; Di Cesare Mannelli, L.; Micheli, L.; Baiula, M.; Vaca, G.; De Marco, R.; Gentilucci, L.; Ghelardini, C.; Spampinato, S. Functional Selectivity and Antinociceptive Effects of a Novel KOPr Agonist. Front. Pharmacol. 2020, 11, 188. [Google Scholar] [CrossRef] [PubMed]
- DS ViewerPro 6.0 Accelrys Software Inc. Available online: https://accelrys-ds-viewerpro.software.informer.com/6.0/ (accessed on 24 April 2022).
- Pettersen, E.F.; Goddard, T.D.; Huang, C.C.; Couch, G.S.; Greenblatt, D.M.; Meng, E.C.; Ferrin, T.E. UCSF Chimera—A visualization system for exploratory research and analysis. J. Comput. Chem. 2004, 25, 1605–1612. [Google Scholar] [CrossRef] [PubMed]
- Sousa Da Silva, A.W.; Vranken, W.F. ACPYPE—AnteChamber PYthon Parser interfacE. BMC Res. Notes 2012, 5, 367. [Google Scholar] [CrossRef] [PubMed]
- Wang, J.; Wang, W.; Kollman, P.A.; Case, D.A. Automatic atom type and bond type perception in molecular mechanical calculations. J. Mol. Graph. Model. 2006, 25, 247–260. [Google Scholar] [CrossRef]
- Jorgensen, W.L.; Chandrasekhar, J.; Madura, J.D.; Impey, R.W.; Klein, M.L. Comparison of simple potential functions for simulating liquid water. J. Chem. Phys. 1983, 79, 926. [Google Scholar] [CrossRef]
- Bussi, G.; Donadio, D.; Parrinello, M. Canonical sampling through velocity rescaling. J. Chem. Phys. 2007, 126, 014101. [Google Scholar] [CrossRef]
- Hess, B.; Bekker, H.; Berendsen, H.J.C.; Fraaije, J.G.E.M. LINCS: A Linear Constraint Solver for molecular simulations. J. Comput. Chem. 1997, 18, 1463–1472. [Google Scholar] [CrossRef]
- OriginPro 2018. 2018. Available online: www.originlab.com (accessed on 24 April 2022).
Publisher’s Note: MDPI stays neutral with regard to jurisdictional claims in published maps and institutional affiliations. |
© 2022 by the authors. Licensee MDPI, Basel, Switzerland. This article is an open access article distributed under the terms and conditions of the Creative Commons Attribution (CC BY) license (https://creativecommons.org/licenses/by/4.0/).


