The Divergent Effects of Ovarian Steroid Hormones in the MCF-7 Model for Luminal A Breast Cancer: Mechanistic Leads for Therapy
Abstract
1. Introduction
2. Cellular Models
2.1. The Growth Characteristics of the MCF-7 Model
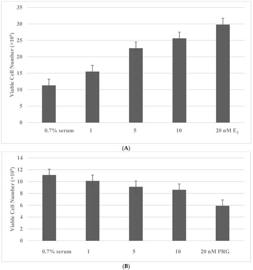
2.2. Growth Modulation by Estradiol and Progesterone
2.3. Cell Cycle Progression and Cellular Apoptosis
3. Hormone Metabolism
3.1. Cellular Metabolism of Estradiol
3.2. The Cellular Metabolism of Progesterone
4. Efficacy of Natural Products
5. Drug-Resistant Stem Cells
6. Stem Cell Targeting Agents
7. Conclusions
8. Future Prospects
Funding
Institutional Review Board Statement
Informed Consent Statement
Data Availability Statement
Acknowledgments
Conflicts of Interest
References
- King, R.J.B. Estrogen and progestin effects in human breast carcinogenesis. Breast Cancer Res. Treat. 1993, 27, 3–15. [Google Scholar] [CrossRef] [PubMed]
- Brisken, C. Progesterone signalling in breast cancer: A neglected hormone coming into the limelight. Nat. Cancer 2013, 13, 385–396. [Google Scholar] [CrossRef] [PubMed]
- Moy, B.; Goss, P.E. Estrogen receptor pathway: Resistance to endocrine therapy and new therapeutic approaches. Clin. Cancer Res. 2006, 12, 4790–4793. [Google Scholar] [CrossRef]
- Carroll, J.; Hickey, T.; Tarulli, G.; Williams, M.; Tilley, W. Deciphering the divergent roles of progestogens in breast cancer. Nat. Cancer 2017, 17, 54–64. [Google Scholar] [CrossRef]
- Russo, J.; Russo, I.H. The role of estrogen in the initiation of breast cancer. J. Steroid Biochem. Mol. Biol. 2006, 102, 89–96. [Google Scholar]
- Santen, R.J.; Yue, W.; Wang, J.-P. Estrogen metabolites and breast cancer. Steroids 2015, 99, 61–66. [Google Scholar] [CrossRef]
- Wiebe, J.P.; Beausoleil, M.; Zhang, G.; Cialacu, V. Opposing actions of the progesterone metabolites, 5α-dihydroprogesterone (5α-P) and 3α-dihydroprogesterone (3α-P) on mitosis, apoptosis and expression of BCL-2, BAX and p21 in human breast call lines. J. Steroid Biochem. Mol. Biol. 2010, 118, 125–132. [Google Scholar] [CrossRef] [PubMed]
- Wiebe, J.P.; Zhang, G.; Welch, I.; Cadieux-Pitre, H.-A.T. Progesterone metabolites regulate induction, growth, and suppression of estrogen- and progesterone receptor-negative human breast cell tumors. Breast Cancer Res. 2013, 15, R38. [Google Scholar] [CrossRef]
- Dey, P.; Rathod, M.; De, A. Targeting stem cells in the realm of drug-resistant breast cancer. Breast Cancer (Dove Med. Press) 2019, 11, 115–135. [Google Scholar] [CrossRef] [PubMed]
- Telang, N. Stem cell targeted therapeutic approaches for molecular subtypes of clinical breast cancer (Review). World Acad. Sci. J. 2019, 1, 20–24. [Google Scholar] [CrossRef]
- Telang, N. Targeting drug resistant stem cells in a human epidermal growth factor receptor-2-enrched breast cancer model. World Acad. Sci. J. 2019, 1, 86–91. [Google Scholar]
- Neve, R.M.; Chin, K.; Fridlyand, J.; Yeh, J.; Baehner, F.L.; Fevr, T.; Clark, L.; Bayani, N.; Coppe, J.-P.; Tong, F.; et al. A collection of breast cancer cell lines for the study of functionally distinct cancer subtypes. Cancer Cell 2006, 10, 515–527. [Google Scholar] [CrossRef] [PubMed]
- Subik, K.; Lee, J.-F.; Baxter, L.; Strzepak, T.; Costello, D.; Crowley, P.; Xing, L.; Hung, M.-C.; Bonfiglio, T.; Hicks, D.G.; et al. The expression patterns of ER, PR, HER-2, CK5/6, EGFR, Ki 67 and AR by immuno-histochemical analysis in breast cancer cell lines. Breast Cancer Basic Clin. Res. 2010, 4, 35–41. [Google Scholar]
- Croessmann, S.; Formisano, L.; Kinch, L.N.; Gonzalez-Ericson, P.I.; Sudhan, D.R.; Nagy, R.; Mathew, A.; Bernicker, E.H.; Cristofanilli, M.; He, J.; et al. Combined blockade of activating ERBB2 mutations and ER results in synthetic lethality of ER+/HER2 mutant breast cancer. Clin. Cancer Res. 2019, 25, 277–289. [Google Scholar] [CrossRef] [PubMed]
- Pierce, J.H.; Arnstein, P.; DiMarco, E.; Artrip, J.; Kraus, M.H.; Lonardo, F.; Di Fiore, P.P.; Aaronson, S.A. Oncogenic potential of erbB-2 in human mammary epithelial cells. Oncogene 1991, 6, 1189–1194. [Google Scholar] [PubMed]
- Zhai, Y.F.; Beittenmiller, H.; Wang, B.; Gould, M.N.; Oakley, C.; Esselman, W.J.; Welsch, C.W. Increased expression of specific protein tyrosine phosphatases in human breast epithelial cells neoplastically transformed by the neu oncogene. Cancer Res. 1993, 53, 2272–2278. [Google Scholar] [PubMed]
- Sabnis, G.; Brodie, A. Understanding resistance to endocrine agents; Molecular mechanisms and potential for intervention. Clin. Breast Cancer 2010, 10, E6–E15. [Google Scholar] [CrossRef] [PubMed]
- Hole, S.; Pedersen, A.M.; Hansen, S.K.; Lundqvist, J.; Yde, C.W.; Lykkesfeldt, A.E. New cell culture model for aromatase inhibitor-resistant breast cancer shows sensitivity to fulvestrant treatment and cross-resistance between letrozole and exemestsane. Int. J. Oncol. 2015, 46, 1481–1490. [Google Scholar] [CrossRef]
- Telang, N.; Li, G.; Katdare, M.; Sepkovic, D.; Bradlow, L.; Wong, G. Inhibitory effects of Chinese nutritional herbs in isogenic breast carcinoma cells with modulated estrogen receptor function. Oncol. Lett. 2016, 12, 3949–3957. [Google Scholar] [CrossRef]
- Banerjee, M.R. Responses of mammary cells to hormones. Int. Rev. Cytol. 1976, 47, 1–97. [Google Scholar]
- Tonelli, Q.J.; Custer, R.P.; Soroff, S. Transformation of cultured mouse mammary glands by aromatic amines, amides and their derivatives. Cancer Res. 1979, 39, 1784–1792. [Google Scholar]
- Telang, N.T.; Banerjee, M.R.; Iyer, A.P.; Kundu, A.B. Neoplastic transformation of epithelial cells in whole mammary gland organ culture in vitro. Proc. Natl. Acad. Sci. USA 1979, 76, 5886–5890. [Google Scholar] [CrossRef] [PubMed]
- Sørlie, T.; Perou, C.M.; Tibshirani, R.; Aas, T.; Geisler, S.; Johnsen, H.; Hastie, T.; Eisen, M.B.; van de Rijn, M.; Jeffrey, S.S.; et al. Gene expression patterns of breast carcinomas distinguish tumor subclasses with clinical implications. Proc. Natl. Acad. Sci. USA 2001, 98, 10869–10874. [Google Scholar] [CrossRef]
- O’Hara, J.; Vareslija, D.; Mc Brian, J.; Bane, F.; Tibbits, P.; Byrne, C.; Conroy, R.M.; Hao, Y.; Gaorra, P.O.; Hill, A.D.K.; et al. AIB1: ER-α transcriptional activity is selectively enhanced in aromatase inhibitor-resistant breast cancer cells. Clin. Cancer Res. 2012, 18, 3305–3315. [Google Scholar] [CrossRef] [PubMed]
- Telang, N.T.; Narayanan, R.; Bradlow, H.L.; Osborne, M.P. Coordinated expression of intermediate biomarkers for tumorigenic transformation in RAS-transfected mouse mammary epithelial cells. Breast Cancer Res. Treat. 1991, 18, 155–163. [Google Scholar] [CrossRef]
- Telang, N.T.; Arcuri, F.; Granata, O.M.; Bradlow, H.L.; Osborne, M.P.; Castagnetta, L. Alteration of oestradiol metabolism in myc oncogene-transfected mouse mammary epithelial cells. Br. J. Cancer 1998, 77, 1549–1554. [Google Scholar] [CrossRef][Green Version]
- Telang, N.T.; Katdare, M.; Bradlow, H.L. Osborne MP and Fishman J: Inhibition of proliferation and modulation of estradiol metabolism: Novel mechanisms for breast cancer prevention by the phytochemical indole-3-carbinol. Proc. Soc. Exp. Biol. Med. 1997, 216, 246–252. [Google Scholar] [CrossRef] [PubMed]
- Gupta, M.; McDougal, A.; Safe, S. Estrogenic and anti-estrogenic activities of 16α and 2–hydroxy metabolites of 17β-estradiol in MCF-7 and T47D human breast cancer cells. J. Steroid Biochem. Mol. Biol. 1998, 67, 413–419. [Google Scholar] [CrossRef]
- Telang, N.T.; Suto, A.; Wong, G.Y.; Osborne, M.P.; Bradlow, H.L. Induction by estrogen metabolite 16α-hydroxyestrone of genotoxic damage and aberrant proliferation in mouse mammary epithelial cells. J. Natl. Cancer Inst. 1992, 84, 634–638. [Google Scholar] [CrossRef] [PubMed]
- Suto, A.; Telang, N.T.; Tanino, H.; Takeshita, T.; Ohmiya, H.; Osborne, M.P.; Kubota, T. In vitro andin vivo modulation of growth regulation in the human breast cancer cell line MCF-7 by estradiol metabolites. Breast Cancer 1999, 6, 87–92. [Google Scholar] [CrossRef] [PubMed]
- Wiebe, J.P. Progesterone metabolites in breast cancer. Endocr.-Relat. Cancer 2006, 13, 717–738. [Google Scholar] [CrossRef]
- Gompel, A.; Somaï, S.; Chaouat, M.; Kazem, A.; Kloosterboer, H.J.; Beusman, I.; Forgez, P.; Mimoun, M.; Rostène, W. Hormonal regulation of apoptosis in breast cells and tissues. Steroids 2000, 65, 593–598. [Google Scholar] [CrossRef]
- Mohammed, H.; Russell, A.I.; Stark, R.; Rueda, O.M.; Hickey, T.E.; Tarulli, G.A.; Serandour, S.A.; Birell, S.N.; Bruna, A.; Saadi, A.; et al. Progesterone receptor modulates estrogen receptor-α action in breast cancer. Nature 2015, 523, 313–317. [Google Scholar] [CrossRef]
- Swarbrick, A.; Lee, C.S.; Sutherland, R.L.; Musgrove, E.A. Co-operartion of p27Kip1 and p18INK4c in progestin mediated cell cycle arrest in T-47D breast cancer cells. Mol. Cell. Biol. 2000, 20, 2581–2591. [Google Scholar] [CrossRef]
- Finlay-Schultz, J.; Gillen, A.E.; Brechbuhl, H.M.; Ivie, J.J.; Matthews, S.B.; Jacobsen, B.M.; Bentley, D.L.; Kabos, P.; Sartorius, C.A. Breast Cancer Suppression by Progesterone Receptors Is Mediated by Their Modulation of Estrogen Receptors and RNA Polymerase III. Cancer Res. 2017, 77, 4934–4946. [Google Scholar] [CrossRef]
- Yoldi, G.; Pellegrini, P.; Trinidad, E.M.; Cordero, A.; Gomez-Miragaya, J.; Serra-Musach, J.; Dougall, W.C.; Munoz, P.; Pujana, M.A.; Planelles, L.; et al. RANK Signaling Blockade Reduces Breast Cancer Recurrence by Inducing Tumor Cell Differentiation. Cancer Res. 2016, 76, 5857–5869. [Google Scholar] [CrossRef]
- Walter, K.; Goodman, M.L.; Singhal, H.; Hall, J.A.; Li, T.; Holloran, S.M.; Trinca, G.M.; Gibson, K.A.; Jin, V.X.; Greene, G.L.; et al. Interferon-Stimulated Genes Are Transcriptionally Repressed by PR in Breast Cancer. Mol. Cancer Res. 2017, 15, 1331–1340. [Google Scholar] [CrossRef] [PubMed]
- Bak, M.J.; Das Gupta, S.; Wahler, J.; Suh, N. Role of dietary bioactive natural products in estrogen receptor-positive breast cancer. Semin. Cancer Biol. 2016, 40–41, 170–191. [Google Scholar] [CrossRef]
- Telang, N. Growth inhibitory efficacy of natural products in a model for triple negative molecular subtype of clinical breast cancer. Biomed. Rep. 2017, 7, 199–204. [Google Scholar] [CrossRef]
- Poschner, S.; Maier-Salamon, A.; Thalhammer, T.; Jäger, W. Resveratrol and other dietary polyphenols are inhibitors of estrogen metabolism in human breast cancer cells. J. Steroid Biochem. Mol. Biol. 2019, 190, 11–18. [Google Scholar] [CrossRef] [PubMed]
- Sanchez-Valdeolivar, C.A.; Alvarez-Fitz, P.; Zacapala-Gomez, A.E.; Acevedo-Quiroz, A.; Caytana-Salazar, L.; Olea-Flores, M.; Castillo-Reyes, J.U.; Navarro-Tito, N.; Ortuno-Pineda, C.; Leyva-Vázquez, M.A.; et al. Phytochemical profile and anti-proliferative effect of Ficus crocata extracts on triple-negative breast cancer cells. BMC-Complement Med. Ther. 2020, 20, 19. [Google Scholar] [CrossRef]
- Telang, N. Natural phytochemicals as testable therapeutic alternatives for HER-2-enriched breast cancer (Review). World Acad. Sci. J. 2020, 2, 19. [Google Scholar] [CrossRef]
- Telang, N.T.; Nair, H.B.; Wong, G.Y. Growth inhibitory efficacy of Cornus officinalis in a cell culture model for triple-negative breast cancer. Oncol. Lett. 2019, 17, 5261–5266. [Google Scholar] [CrossRef]
- Telang, N.T.; Nair, H.B.; Wong, G.Y. Growth inhibitory efficacy of the nutritional herb Psoralea corylifolia in a model of triple-negative breast cancer. Int. J. Funct. Nutr. 2021, 2, 8. [Google Scholar] [CrossRef]
- Telang, N.; Nair, H.; Wong, G. Anti-Proliferative and Pro-Apoptotic Effects of Dipsacus Asperoides in a Cellular Model for Triple-Negative Breast Cancer. Arch. Breast Cancer 2022, 9, 66–75. [Google Scholar] [CrossRef]
- Telang, N.; Li, G.; Sepkovic, D.; Bradlow, H.L.; Wong, G.Y.C. Comparative Efficacy of Extracts from Lycium Barbarum Bark and Fruit on Estrogen Receptor Positive Human Mammary Carcinoma MCF-7 Cells. Nutr. Cancer 2013, 66, 278–284. [Google Scholar] [CrossRef]
- Telang, N.T.; Li, G.; Sepkovic, D.W.; Bradlow, H.L.; Wong, G.Y. Anti-proliferative effects of Chinese herb Cornus officinalis in a cell culture model for estrogen receptor-positive clinical breast cancer. Mol. Med. Rep. 2011, 5, 22–28. [Google Scholar] [CrossRef] [PubMed][Green Version]
- Telang, N.T.; Li, G.; Katdare, M.; Sepkovic, D.W.; Bradlow, H.L.; Wong, G.Y. The nutritional herb Epimedium grandiflorum inhibits the growth in a model for the Luminal A molecular subtype of breast cancer. Oncol. Lett. 2017, 13, 2477–2482. [Google Scholar] [CrossRef]
- Johnston, S.R.D.; Dowsett, M. Aromatase inhibitors for breast cancer: Lessons from the laboratory. Nat. Rev. Cancer 2003, 3, 821–831. [Google Scholar] [CrossRef]
- Ma, C.X.; Reinert, T.; Chmielewska, I.; Ellis, M.J. Mechanisms of aromatase inhibitor resistance. Nat. Cancer 2015, 15, 261–275. [Google Scholar] [CrossRef] [PubMed]
- Pasqualini, J.R.; Chetrite, G. The anti-aromatase effect of progesterone and its natural metabolites 20α- and 5α-dihydroprogesterone in the MCF-7aro breast cancer cell line. Anticancer. Res. 2008, 28, 2129–2133. [Google Scholar] [PubMed]
- Telang, N.; Nair, H.B.; Wong, G.Y. Growth inhibitory efficacy and anti-aromatase activity of Tabebuia avellanedae in a model for post-menopausal Luminal A breast cancer. Biomed. Rep. 2019, 11, 222–229. [Google Scholar] [CrossRef]
- Soteriou, D.; Fuchs, Y. A matter of life and death: Stem cell survival in tissue regeneration and tumor formation. Nat. Rev. Cancer 2018, 18, 187–201. [Google Scholar] [CrossRef]
- Cenciarini, M.E.; Proietti, C.J. Molecular mechanisms underlying progesterone receptor action in breast cancer: Insights into cell proliferation and stem cell regulation. Steroids 2019, 152, 108503. [Google Scholar] [CrossRef]
- Recouvreux, M.S.; Bessone, M.I.D.; Taruselli, A.; Todaro, L.; Huvelle, M.A.L.; Sampayo, R.G.; Bissell, M.J.; Simian, M. Alterations in progesterone receptor isoform balance in normal and neoplastic breast calls modulates the stem cell population. Cells 2020, 9, 2074. [Google Scholar] [CrossRef]
- Castro, N.P.; Rangel, M.C.; Merchant, A.S.; MacKinnon, G.M.; Cuttitta, F.; Salomon, D.S.; Kim, Y.S. Sulforaphane Suppresses the Growth of Triple-negative Breast Cancer Stem-like Cells In vitro and In vivo. Cancer Prev. Res. 2019, 12, 147–158. [Google Scholar] [CrossRef] [PubMed]
- Kim, S.-H.; Singh, S.V. Role of Kruppel-like factor4-p21 CIP1 axis in breast cancer stem-like cell inhibition by benzyl isothiocyanate. Cancer Prev. Res. (Phila) 2019, 12, 125–134. [Google Scholar] [CrossRef]
- Hong, M.; Tan, H.Y.; Li, S.; Cheung, F.; Wang, N.; Nagamatsu, T.; Feng, Y. Cancer Stem Cells: The Potential Targets of Chinese Medicines and Their Active Compounds. Int. J. Mol. Sci. 2016, 17, 893. [Google Scholar] [CrossRef]
- Manogaran, P.; Umapathy, D.; Karthikeyan, M.; Venkatachalam, K.; Singaravelu, A. Dietary Phytochemicals as a Potential Source for Targeting Cancer Stem Cells. Cancer Investig. 2021, 39, 349–368. [Google Scholar] [CrossRef]
- Naujokat, C.; Mc Kee, D.L. The “Big Five” phytochemicals targeting cancer stem cells: Curcumin, EGCG, Sulforaphane, Resveratrol and Genistein. Curr. Med. Chem. 2021, 28, 4321–4342. [Google Scholar] [CrossRef]
- Meerson, A.; Khatib, S.; Mahjna, J. Natural products targeting cancer stem cells for augmenting cancer therapeutics. Int. J. Mol. Sci. 2021, 22, 13044. [Google Scholar] [CrossRef]
- Kabos, P.; Finlay-Schultz, J.; Li, C.; Kline, E.; Finlayson, C.; Wisell, J.; Manuel, C.A.; Edgerton, S.M.; Harrell, J.C.; Elias, A.; et al. Patient-derived luminal breast cancer xenografts retain hormone receptor heterogeneity and help define unique estrogen-dependent gene signatures. Breast Cancer Res. Treat. 2012, 135, 415–432. [Google Scholar] [CrossRef]
- Cottu, P.; Bieche, I.; Assayag, F.; EL Botty, R.; Chateau-Joubert, S.; Thuleau, A.; Bagarre, T.; Albaud, B.; Rapinat, A.; Gentien, D.; et al. Acquired Resistance to Endocrine Treatments Is Associated with Tumor-Specific Molecular Changes in Patient-Derived Luminal Breast Cancer Xenografts. Clin. Cancer Res. 2014, 20, 4314–4325. [Google Scholar] [CrossRef] [PubMed]
- Bruna, A.; Rueda, O.M.; Greenwood, W.; Batra, A.S.; Callari, M.; Batra, R.N.; Pogrebniak, K.; Sandoval, J.; Cassidy, J.W.; Tufegdzic-Vidakovic, A.; et al. A biobank of breast cancer explants with preserved intra-tumor heterogeneity to screen anti-cancer compounds. Cell 2016, 167, 260–274. [Google Scholar] [CrossRef]
- Sachs, N.; De Ligt, J.; Kopper, O.; Gogola, E.; Bounova, G.; Weeber, F.; Balgobind, A.V.; Wind, K.; Gracanin, A.; Begthel, H.; et al. A Living Biobank of Breast Cancer Organoids Captures Disease Heterogeneity. Cell 2018, 172, 373–386.e10. [Google Scholar] [CrossRef] [PubMed]
- Pan, B.; Zhao, D.; Liu, Y.; Li, N.; Song, C.; Li, N.; Zhao, Z. Breast cancer organoids from malignant pleural effusion-derived tumor cells as an individualized medicine platform. Vitr. Develop. Biol. Anim. 2021, 57, 510–518. [Google Scholar] [CrossRef]



| Model | Receptor Status | Subtype | References | ||
|---|---|---|---|---|---|
| ER | PR | HER-2 | |||
| MCF-7 | + | + | − | Luminal A | [12,13] |
| T47D | + | + | − | Luminal A | [12,13] |
| BT474 | + | + | + | Luminal B | [12,13] |
| MDA-MB-361 | + | + | + | Luminal B | [12,13] |
| MCF-7 HER | + | + | + | Luminal B | [14] |
| MCF-7AROM | + | + | − | Aromatase positive | [15,16] |
| SKBr-3 | − | − | + | HER-2 enriched | [12,13] |
| 184-B5/HER | − | − | + | HER-2 enriched | [17,18] |
| MDA-MB-231 | − | − | − | Triple negative | [12,13] |
| End-Point Biomarker | Experimental Model | ||
|---|---|---|---|
| 184-B5 | MCF-7 | Relative to 184-B5 | |
| Population doubling (h) | 34.0 ± 1.8 | 15.2 ± 0.9 | −55.3% |
| Saturation density (×105) | 22.3 ± 1.2 | 26.6 ± 1.7 | +19.3% |
| G1:S + G2/M ratio | 2.3 ± 0.3 | 1.4 ± 0.4 | −39.1% |
| Sub G0 population (%) | 14.8 ± 2.3 | 2.8 ± 1.4 | −81.1% |
| 2-OHE1:16α-OHE1 ratio | 6.4 ± 0.8 | 0.4 ± 0.2 | −93.7% |
| AI colonies | 0/18 | 18/18 | +100% |
| Model | Relative Cancer Risk | 2-OHE1:16α-OHE1 Ratio | Relative to Low Risk |
|---|---|---|---|
| TDLU reduction mammoplasty | Low | 4.8 ± 0.6 | - |
| TDLU breast cancer | High | 0.3 ± 0.1 | −93.7% |
| 184-B5 breast epithelial cells | Low | 6.4 ± 0.8 | - |
| 184-B5/HER HER-2 positive | High | 0.6 ± 0.3 | −90.6% |
| MCF-7 breast carcinoma | High | 0.3 ± 0.1 | −95.3% |
| MMEC mouse mammary epithelial Cells | Low | 2.2 ± 0.3 | - |
| MMEC-Ras Ras positive | High | 0.2 ± 0.1 | −90.9% |
| MMEC-Myc Myc positive | High | 0.3 ± 0.1 | −86.4% |
| Treatment | Source | Concentration | 2-OHE1:16α-OHE1 Ratio | Relative to E2 Control |
|---|---|---|---|---|
| E2 control | 20 nM | 0.4 ± 0.2 | - | |
| E2 + EG | Leaf/stem | 20 nM + 9.0 µg/mL | 1.9 ± 0.2 | +3.7x |
| E2 + LB | Bark | 20 nM + 0.5 µg/mL | 5.2 ± 0.7 | +12.0x |
| E2 + CO | Fruit | 20 nM + 5.0 µg/mL | 6.8 ± 0.8 | +16.0x |
| Targeted Therapy | Cellular Model | Therapeutic Alternative |
|---|---|---|
| SERM, SERD, AI, CDKI, HERI | Luminal A: HR+ HER-2− MCF-7 Luminal B: HR+ HER-2+ MCF-7/HER Post-menopausal: aromatase positive MCF-7 AROM | Natural phytochemicals nutritional herbs Documented human consumption Lack of detectable systemic toxicity |
| Systemic toxicity, acquired tumor resistance, drug-resistant stem cell population | Luminal B: HR+ HER-2+ MCF-7/HER Post-menopausal: aromatase positive MCF-7 AROM | Inhibited proliferation. Increased 2-OHE1 |
| Proliferation: increased by E2 Decreased by PRG | ||
| E2 metabolites: proliferative metabolites increased, anti-proliferative metabolites decreased PRG metabolites: proliferative metabolites decreased, anti-proliferative metabolites increased | ||
| TAM-R stem cells: TS increased CD44, NANOG, and OCT-4 increased | ||
| Future directions: novel pharmacological inhibitors specific for RAS, PI3K, and AKT signaling pathways. Efficacy of small molecule inhibitors on developed stem cell models. Safety and efficacy in Phase 0 clinical trials | Future directions: stem cell models from therapy-resistant PDTX and PDTO. Cellular and molecular characterization of developed stem cell models | Future directions: efficacy of natural phytochemicals and nutritional herbs on PDTX- and PDTO-derived stem cell models. |
Publisher’s Note: MDPI stays neutral with regard to jurisdictional claims in published maps and institutional affiliations. |
© 2022 by the author. Licensee MDPI, Basel, Switzerland. This article is an open access article distributed under the terms and conditions of the Creative Commons Attribution (CC BY) license (https://creativecommons.org/licenses/by/4.0/).
Share and Cite
Telang, N.T. The Divergent Effects of Ovarian Steroid Hormones in the MCF-7 Model for Luminal A Breast Cancer: Mechanistic Leads for Therapy. Int. J. Mol. Sci. 2022, 23, 4800. https://doi.org/10.3390/ijms23094800
Telang NT. The Divergent Effects of Ovarian Steroid Hormones in the MCF-7 Model for Luminal A Breast Cancer: Mechanistic Leads for Therapy. International Journal of Molecular Sciences. 2022; 23(9):4800. https://doi.org/10.3390/ijms23094800
Chicago/Turabian StyleTelang, Nitin T. 2022. "The Divergent Effects of Ovarian Steroid Hormones in the MCF-7 Model for Luminal A Breast Cancer: Mechanistic Leads for Therapy" International Journal of Molecular Sciences 23, no. 9: 4800. https://doi.org/10.3390/ijms23094800
APA StyleTelang, N. T. (2022). The Divergent Effects of Ovarian Steroid Hormones in the MCF-7 Model for Luminal A Breast Cancer: Mechanistic Leads for Therapy. International Journal of Molecular Sciences, 23(9), 4800. https://doi.org/10.3390/ijms23094800

