Tracking Changes in the Spring Barley Gene Pool in Poland during 120 Years of Breeding
Abstract
1. Introduction
2. Results
2.1. Data Quality Analysis
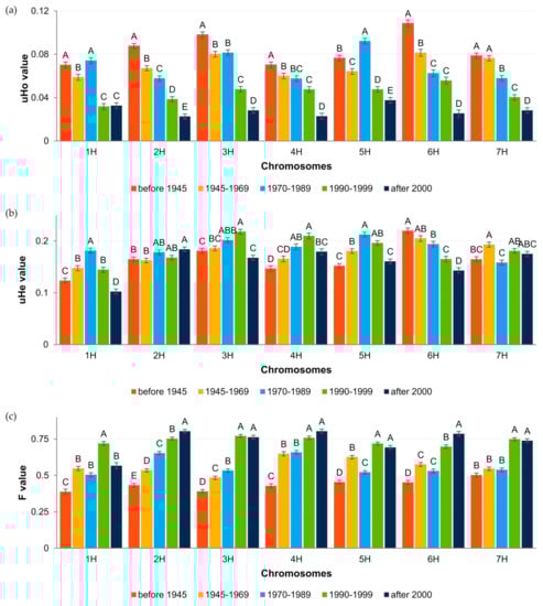
2.2. Genetic Diversity
2.3. Unique Alleles
2.4. Genetic Distance and Principal Coordinate Analysis
2.5. Population Structure
2.6. Traces of Targeted Selection
2.7. Identification and Verification of Duplicates
2.8. Core Collection
3. Discussion
3.1. SNP Abundance and Analysis of Base Changes
3.2. Genetic Diversity
3.3. Evidence of Targeted Selection
3.4. Improving the Management of the Germplasm Collection
4. Materials and Methods
4.1. Plant Material
| No. | Accession Number | Cultivar Name | BREEDING SITE | Country | Year/Period of Registration | Year/Period of Deregistration | Core Collection |
|---|---|---|---|---|---|---|---|
| 1 | PL41572 | Antoniński Browarny | Antoniny | POL | 1930 | 1939 | yes |
| 2 | PL41323 | Cesarski Stieglera | Sobótka | POL | after 1918 | 1929 | yes |
| 3 | PL42125 | Danubia Ciołkowski (Danubia Ciślikowski) | Ciołkowo | POL | 1930 | 1940 | yes |
| 4 | PL40306 | Elka Hilderanda | Kleszczewo | POL | 1930 | 1939 | no |
| 5 | PL41691 | Hanna Borzymowicki | Borzymie | POL | 1930 | 1939 | yes |
| 6 | PL41692 | Hanna Gambrinus; Hanna Gambrvnus | Sielce | POL | 1918–1939 | 1957 | yes |
| 7 | PL41695 | Hanna Skrzeszowicki | Polanowice | POL | 1918–1939 | 1971 | yes |
| 8 | PL43217 | Kujawski | Rusewko | POL | after 1918 | 1929 | yes |
| 9 | PL41475 | Kutnowski | Kutno | POL | 1900 | 1918–1939 | yes |
| 10 | PL42060 | Puławski Browarny | Puławy | POL | 1918–1939 | 1939 | yes |
| 11 | PL41905 | Przeworski | Dolne | POL | 1918–1939 | 1939 | yes |
| 12 | PL42129 | Putza | Rusewko | POL | 1930 | 1940 | yes |
| 13 | PL40460 | Teresa | Rusewko | POL | 1930 | 1940 | yes |
| 14 | PL41570 | Antałek | Tulce | POL | 1956 | 1971 | yes |
| 15 | PL42034 | Boryna | Szelejewo | POL | 1955 | 1958 | yes |
| 16 | PL42042 | Browarny PZHR | Strzelce | POL | 1946 | 1969 | no |
| 17 | PL42124 | Damazy | Polanowice | POL | 1969 | 1975 | yes |
| 18 | PL43614 | Damazy | Polanowice | POL | 1969 | 1975 | no |
| 19 | PL40940 | Jarek | Bąków | POL | 1963 | 1970 | no |
| 20 | PL42363 | Jarek | Bąków | POL | 1963 | 1970 | no |
| 21 | PL41740 | Kazimierski | Brzezie | POL | 1955 | 1967 | yes |
| 22 | PL44075 | Kos | Leszno | POL | 1946 | 1958 | yes |
| 23 | PL42127 | Mazowiecki | Młochów, Dłużew | POL | 1946 | 1959 | yes |
| 24 | PL41916 | Refleks | Sobótka | POL | 1955 | 1960 | yes |
| 25 | PL41924 | Sandomierski | Jasice | POL | 1955 | 1960 | no |
| 26 | PL41940 | Skrzeszowicki | Polanowice | POL | 1955 | 1972 | no |
| 27 | PL41233 | Wanda | Celbowo | POL | 1965 | 1970 | no |
| 28 | PL41419 | Ars | Gorzów Wlkp. | POL | 1983 | 1996 | yes |
| 29 | PL43646 | Ars | Gorzów Wlkp. | POL | 1983 | 1996 | no |
| 30 | PL43423 | Bielik | Modzurów | POL | 1984 | 1994 | no |
| 31 | PL41415 | Bielik | Modzurów | POL | 1984 | 1994 | yes |
| 32 | PL43033 | Dema | Łagiewniki | POL | 1987 | 1998 | no |
| 33 | PL43416 | Dema | Łagiewniki | POL | 1987 | 1998 | no |
| 34 | PL41328 | Gryf | Gorzów Wlkp. | POL | 1971 | 1980 | no |
| 35 | PL43086 | Klimek | Strzelce | POL | 1989 | 1996 | no |
| 36 | PL43414 | Klimek | Strzelce | POL | 1989 | 1996 | yes |
| 37 | PL41329 | Kosmos | Bąków | POL | 1974 | 1978 | yes |
| 38 | PL43032 | Lot | Małyszyn, Gorzów Wlkp. | POL | 1987 | 2007 | yes |
| 39 | PL43421 | Lot | Małyszyn, Gorzów Wlkp. | POL | 1987 | 2007 | no |
| 40 | PL41769 | Lubuski | Strzelce, Borów | POL | 1970 | 1975 | no |
| 41 | PL41418 | Mago | na | POL | na | na | no |
| 42 | PL41886 | Piast | Polanowice | POL | na | 1970 | no |
| 43 | PL40556 | Polon | Małyszyn | POL | 1977 | 1989 | yes |
| 44 | PL43056 | Rudzik | Modzurów | POL | 1987 | 2008 | yes |
| 45 | PL43423 | Rudzik | Modzurów | POL | 1987 | 2008 | no |
| 46 | PL44045 | Atol | Strzelce | POL | 1997 | 2007 | no |
| 47 | PL44030 | Bies | Modzurów | POL | 1996 | 2010 | yes |
| 48 | PL43637 | Boss | Bąków | POL | 1994 | 2020 | yes |
| 49 | PL44031 | Gwarek | Polanowice | POL | 1999 | 2011 | no |
| 50 | PL43424 | Mobek | Modzurów | POL | 1993 | 2001 | yes |
| 51 | PL43335 | Orlik | Bąków | POL | 1990 | 2000 | yes |
| 52 | PL43417 | Orlik | Bąków | POL | 1990 | 2000 | no |
| 53 | PL43368 | Polo | Strzelce | POL | 1992 | 2003 | yes |
| 54 | PL43411 | Polo | Strzelce | POL | 1992 | 2003 | yes |
| 55 | PL43867 | Rastik | Radzików | POL | 1999 | 2010 | yes |
| 56 | PL43749 | Rodion | Radzików | POL | 1996 | 2021 | no |
| 57 | PL35393 | Start | Polanowice | POL | 1995 | 2010 | yes |
| 58 | PL43868 | Stratus | Strzelce | POL | 1999 | 2020 | yes |
| 59 | PL500074 | Bryl | Bąków | POL | 1998 | 2021 | no |
| 60 | PL43949 | Bryl | Bąków | POL | 1998 | 2021 | yes |
| 61 | PL43812 | Bryl | Bąków | POL | 1998 | 2021 | no |
| 62 | PL500070 | Edgar | Bąków | POL | 1992 | 2004 | no |
| 63 | PL500666 | Edgar | Bąków | POL | 1992 | 2004 | no |
| 64 | PL43419 | Nagrad | Nagradowice | POL | 1990 | na | no |
| 65 | PL43379 | Nagrad | Nagradowice | POL | 1990 | na | yes |
| 66 | PL43750 | Rabel | Radzików | POL | 1996 | 2010 | yes |
| 67 | PL500667 | Rambo | Radzików | POL | 1993 | 2003 | yes |
| 68 | PL43747 | Rambo | Radzików | POL | 1993 | 2003 | no |
| 69 | PL43748 | Rataj | Radzików | POL | 1996 | 2010 | yes |
| 70 | PL43369 | Rodos | Strzelce | POL | 1992 | 2010 | yes |
| 71 | PL43412 | Rodos | Strzelce | POL | 1992 | 2010 | yes |
| 72 | PL503817 | Granal | Nagradowice | POL | 2001 | 2021 | no |
| 73 | PL503818 | Nadek | Nagradowice | POL | 2004 | 2014 | yes |
| 74 | PL44032 | Sezam | Szelejewo, Modzurów | POL | 2000 | 2010 | no |
| 75 | ni | Runner | na | GER | 2018 | up now | no |
| 76 | ni | Atico | Kraków | POL | 2009 | up now | yes |
| 77 | ni | Podarek | Strzelce | POL | 2014 | up now | yes |
| 78 | ni | Allianz | na | FRA | 2016 | up now | no |
| 79 | ni | Rubaszek | Smolice | POL | 2014 | up now | yes |
| 80 | ni | Soldo | na | GER | 2013 | up now | yes |
| 81 | ni | Ella | na | FRA | 2012 | up now | yes |
| 82 | ni | Rezus | Smolice | POL | 2018 | up now | yes |
| 83 | ni | RGT Planet | na | FRA | 2016 | up now | yes |
4.2. DArTseq Genotyping
4.3. Data Analysis
5. Conclusions
Supplementary Materials
Author Contributions
Funding
Institutional Review Board Statement
Informed Consent Statement
Data Availability Statement
Conflicts of Interest
References
- FAO. International Treaty on Plant Genetic Resources for Food and Agriculture; FAO: Rome, Italy, 2009. [Google Scholar]
- Murphy, D.J. People, Plants & Genes: The Story of Crops and Humanity; Oxford University Press: Cambridge, UK, 2007. [Google Scholar]
- Dudley, J.W.; Frey, K. Plant breeding-a vital part of improvement in crop yields, quality and production efficiency. In Historical Perspectives in Plant Sciences; Iowa State University Press: Ames, IA, USA, 1994; pp. 163–177. [Google Scholar]
- Evenson, R.E.; Gollin, D. Assessing the impact of the Green Revolution, 1960 to 2000. Science 2003, 300, 758–762. [Google Scholar] [CrossRef] [PubMed]
- Gepts, P. Plant genetic resources conservation and utilization: The accomplishments and future of a societal insurance policy. Crop Sci. 2006, 46, 2278–2292. [Google Scholar] [CrossRef]
- Plucknett, D.L.; Smith, N.J. Gene Banks and the World’s Food; Princeton University Press: Princeton, NJ, USA, 2014. [Google Scholar]
- El-Hashash, E.F.; El-Absy, K.M. Barley (Hordeum vulgare L.) breeding. In Advances in Plant Breeding Strategies: Cereals; Springer: Berlin/Heidelberg, Germany, 2019; pp. 1–45. [Google Scholar]
- Verstegen, H.; Köneke, O.; Korzun, V.; Broock, R.V. The world importance of barley and challenges to further improvements. In Biotechnological Approaches to Barley Improvement; Springer: Berlin/Heidelberg, Germany, 2014; pp. 3–19. [Google Scholar]
- Newman, R.K.; Newman, C.W. Barley for Food and Health: Science, Technology, and Products; John Wiley & Sons: Hoboken, NJ, USA, 2008. [Google Scholar]
- Arseniuk, E.; Krzymuski, J.; Martyniak, J.; Oleksiak, T. Historia Hodowli i Nasiennictwa na Ziemiach Polskich w XX Wieku (the History of Breeding and Seed Production on Polish Territory in the XX Century); Wydawnictwo Prodruk: Poznań, Poland, 2003. [Google Scholar]
- Sempołowski, A. Hodowla i Uszlachetnianie Roślin Gospodarskich [Breeding and Improvement of Crops]; Skład Główny w Księgarni E. Wende i S-ka: Warsaw, Poland, 1902. [Google Scholar]
- Czajkowski, K.; Czembor, H.; Gawda, J.; Gierat, K.; Góski, T.; Kowalska, M.; Kozera, W.; Król, M.; Nalepa, S.; Ralski, E.; et al. Jęczmień [Barley]; Państwowe Wydawnictwo Rolnicze i Leśne: Warsaw, Poland, 1973. [Google Scholar]
- Tomka, M.; Gálová, Z.; Urminská, D. The differences between the old and new barley varieties on the basis of hordein polymorphism with respect to qualitative parameters. J. Microbiol. Biotechnol. Food Sci. 2021, 2021, 108–110. [Google Scholar] [CrossRef]
- Sowa, S.; Paczos-Grzęda, E. A study of crown rust resistance in historical and modern oat cultivars representing 120 years of Polish oat breeding. Euphytica 2020, 216, 12. [Google Scholar] [CrossRef]
- Li, G.; Xu, X.; Bai, G.; Carver, B.F.; Hunger, R.; Bonman, J.M. Identification of novel powdery mildew resistance sources in wheat. Crop Sci. 2016, 56, 1817–1830. [Google Scholar] [CrossRef]
- Tóth, M.; Kása, K.; Szani, Z.; Balikó, E. Traditional old apple cultivars as new gene sources for apple breeding. In Proceedings of the XI Eucarpia Symposium on Fruit Breeding and Genetics, Angers, France, 1–5 September 2003; pp. 609–612. [Google Scholar]
- Hoisington, D.; Khairallah, M.; Reeves, T.; Ribaut, J.-M.; Skovmand, B.; Taba, S.; Warburton, M. Plant genetic resources: What can they contribute toward increased crop productivity? Proc. Natl. Acad. Sci. USA 1999, 96, 5937–5943. [Google Scholar] [CrossRef]
- Lammerts van Bueren, E.; Verhoog, H.; Tiemens-Hulscher, M.; Struik, P.; Haring, M. Organic agriculture requires process rather than product evaluation of novel breeding techniques. NJAS Wagening J. Life Sci. 2007, 54, 401–412. [Google Scholar] [CrossRef]
- Kumar, A.; Verma, R.P.S.; Singh, A.; Sharma, H.K.; Devi, G. Barley landraces: Ecological heritage for edaphic stress adaptations and sustainable production. Environ. Sustain. Indic. 2020, 6, 100035. [Google Scholar] [CrossRef]
- Dreiseitl, A. Genes for resistance to powdery mildew in European barley cultivars registered in the Czech Republic from 2011 to 2015. Plant Breed. 2017, 136, 351–356. [Google Scholar] [CrossRef]
- Mascher, M.; Gundlach, H.; Himmelbach, A.; Beier, S.; Twardziok, S.O.; Wicker, T.; Radchuk, V.; Dockter, C.; Hedley, P.E.; Russell, J. A chromosome conformation capture ordered sequence of the barley genome. Nature 2017, 544, 427–433. [Google Scholar] [CrossRef]
- Peakall, R.; Smouse, P.E. GenAlEx 6.5: Genetic analysis in Excel. Population genetic software for teaching and research—An update. Bioinformatics 2012, 28, 2537–2539. [Google Scholar] [CrossRef]
- Evanno, G.; Regnaut, S.; Goudet, J. Detecting the number of clusters of individuals using the software STRUCTURE: A simulation study. Mol. Ecol. 2005, 14, 2611–2620. [Google Scholar] [CrossRef]
- Jakobsson, M.; Rosenberg, N.A. CLUMPP: A cluster matching and permutation program for dealing with label switching and multimodality in analysis of population structure. Bioinformatics 2007, 23, 1801–1806. [Google Scholar] [CrossRef]
- Dziurdziak, J.; Gryziak, G.; Groszyk, J.; Podyma, W.; Boczkowska, M. DArTseq Genotypic and Phenotypic Diversity of Barley Landraces Originating from Different Countries. Agronomy 2021, 11, 2330. [Google Scholar] [CrossRef]
- Dziurdziak, J.; Bolc, P.; Wlodarczyk, S.; Puchta, M.; Gryziak, G.; Podyma, W.; Boczkowska, M. Multifaceted Analysis of Barley Landraces Collected during Gene Bank Expeditions in Poland at the End of the 20th Century. Agronomy 2020, 10, 1958. [Google Scholar] [CrossRef]
- Brbaklić, L.; Trkulja, D.; Mikić, S.; Mirosavljević, M.; Momčilović, V.; Dudić, B.; Procházková, L.; Aćin, V. Genetic diversity and population structure of serbian barley (Hordeum vulgare L.) collection during a 40-year long breeding period. Agronomy 2021, 11, 118. [Google Scholar] [CrossRef]
- Almerekova, S.; Genievskaya, Y.; Abugalieva, S.; Sato, K.; Turuspekov, Y. Population structure and genetic diversity of two-rowed barley accessions from Kazakhstan based on snp genotyping data. Plants 2021, 10, 2025. [Google Scholar] [CrossRef]
- Gadissa, F.; Abebe, M.; Bekele, T. Agro-morphological traits-based genetic diversity assessment in Ethiopian barley (Hordeum vulgare L.) landrace collections from Bale highlands, Southeast Ethiopia. Agric. Food Secur. 2021, 10, 1–14. [Google Scholar] [CrossRef]
- Larsson, M.N.; Leino, M.W.; Hagenblad, J. Genetic Diversity in 19th Century Barley (Hordeum vulgare) Reflects Differing Agricultural Practices and Seed Trade in Jämtland, Sweden. Diversity 2021, 13, 315. [Google Scholar] [CrossRef]
- Dido, A.A.; Krishna, M.; Assefa, E.; Degefu, D.T.; Singh, B.; Tesfaye, K. Genetic diversity, population structure and relationship of Ethiopian barley (Hordeum vulgare L.) landraces as revealed by SSR markers. J. Genet. 2022, 101, 1–20. [Google Scholar] [CrossRef]
- Iannucci, A.; Suriano, S.; Codianni, P. Genetic Diversity for Agronomic Traits and Phytochemical Compounds in Coloured Naked Barley Lines. Plants 2021, 10, 1575. [Google Scholar] [CrossRef] [PubMed]
- Nyiraguhirwa, S.; Grana, Z.; Henkrar, F.; Ouabbou, H.; Mohammed, I.; Udupa, S.M. Genetic diversity and structure of a barley collection predominatly from North African region. Cereal Res. Commun. 2021, 1–8. [Google Scholar] [CrossRef]
- Al Lawati, A.H.; Nadaf, S.K.; AlSaady, N.A.; Al Hinai, S.A.; Almamari, A.R.; Al Maawali, A.A. Genetic diversity of Omani barley (Hordeum vulgare L.) germplasm. Open Agric. 2021, 6, 628–639. [Google Scholar] [CrossRef]
- Verma, S.; Yashveer, S.; Rehman, S.; Gyawali, S.; Kumar, Y.; Chao, S.; Sarker, A.; Verma, R.P.S. Genetic and Agro-morphological diversity in global barley (Hordeum vulgare L.) collection at ICARDA. Genet. Resour. Crop Evol. 2021, 68, 1315–1330. [Google Scholar] [CrossRef]
- Alipour, H.; Bai, G.; Zhang, G.; Bihamta, M.R.; Mohammadi, V.; Peyghambari, S.A. Imputation accuracy of wheat genotyping-by-sequencing (GBS) data using barley and wheat genome references. PLoS ONE 2019, 14, e0208614. [Google Scholar] [CrossRef]
- Ávila, C.M.; Requena-Ramírez, M.D.; Rodríguez-Suárez, C.; Flores, F.; Sillero, J.C.; Atienza, S.G. Genome-Wide Association Analysis for Stem Cross Section Properties, Height and Heading Date in a Collection of Spanish Durum Wheat Landraces. Plants 2021, 10, 1123. [Google Scholar] [CrossRef]
- Hahn, V.; Würschum, T. Molecular genetic characterization of Central European soybean breeding germplasm. Plant Breed. 2014, 133, 748–755. [Google Scholar] [CrossRef]
- Künzel, G.; Korzun, L.; Meister, A. Cytologically integrated physical restriction fragment length polymorphism maps for the barley genome based on translocation breakpoints. Genetics 2000, 154, 397–412. [Google Scholar] [CrossRef]
- Künzel, G.; Waugh, R. Integration of microsatellite markers into the translocation-based physical RFLP map of barley chromosome 3H. Theor. Appl. Genet. 2002, 105, 660–665. [Google Scholar] [CrossRef]
- Russell, J.; Mascher, M.; Dawson, I.K.; Kyriakidis, S.; Calixto, C.; Freund, F.; Bayer, M.; Milne, I.; Marshall-Griffiths, T.; Heinen, S. Exome sequencing of geographically diverse barley landraces and wild relatives gives insights into environmental adaptation. Nat. Genet. 2016, 48, 1024–1030. [Google Scholar] [CrossRef]
- Dreissig, S.; Mascher, M.; Heckmann, S. Variation in recombination rate is shaped by domestication and environmental conditions in barley. Mol. Biol. Evol. 2019, 36, 2029–2039. [Google Scholar] [CrossRef]
- Ketema, S.; Tesfaye, B.; Keneni, G.; Amsalu Fenta, B.; Assefa, E.; Greliche, N.; Machuka, E.; Yao, N. DArTSeq SNP-based markers revealed high genetic diversity and structured population in Ethiopian cowpea [Vigna unguiculata (L.) Walp] germplasms. PLoS ONE 2020, 15, e0239122. [Google Scholar] [CrossRef]
- Vasumathy, S.K.; Peringottillam, M.; Sundaram, K.T.; Kumar, S.; Alagu, M. Genome-wide structural and functional variant discovery of rice landraces using genotyping by sequencing. Mol. Biol. Rep. 2020, 47, 7391–7402. [Google Scholar] [CrossRef]
- Delfini, J.; Moda-Cirino, V.; dos Santos Neto, J.; Ruas, P.M.; Sant’Ana, G.C.; Gepts, P.; Gonçalves, L.S.A. Population structure, genetic diversity and genomic selection signatures among a Brazilian common bean germplasm. Sci. Rep. 2021, 11, 1–12. [Google Scholar] [CrossRef]
- Wakeley, J. The excess of transitions among nucleotide substitutions: New methods of estimating transition bias underscore its significance. Trends Ecol. Evol. 1996, 11, 158–162. [Google Scholar] [CrossRef]
- Duran, C.; Appleby, N.; Vardy, M.; Imelfort, M.; Edwards, D.; Batley, J. Single nucleotide polymorphism discovery in barley using autoSNPdb. Plant Biotechnol. J. 2009, 7, 326–333. [Google Scholar] [CrossRef]
- Lai, K.; Duran, C.; Berkman, P.J.; Lorenc, M.T.; Stiller, J.; Manoli, S.; Hayden, M.J.; Forrest, K.L.; Fleury, D.; Baumann, U. Single nucleotide polymorphism discovery from wheat next-generation sequence data. Plant Biotechnol. J. 2012, 10, 743–749. [Google Scholar] [CrossRef]
- Dawson, J.C.; Goldringer, I. Breeding for genetically diverse populations: Variety mixtures and evolutionary populations. In Organic Crop Breeding; van Bueren, E.T.L., Myers, J.R., Eds.; Wiley: New Dheli, India, 2012; pp. 77–98. [Google Scholar]
- Jarvis, D.I.; Brown, A.H.; Cuong, P.H.; Collado-Panduro, L.; Latournerie-Moreno, L.; Gyawali, S.; Tanto, T.; Sawadogo, M.; Mar, I.; Sadiki, M. A global perspective of the richness and evenness of traditional crop-variety diversity maintained by farming communities. Proc. Natl. Acad. Sci. USA 2008, 105, 5326–5331. [Google Scholar] [CrossRef]
- Saccomanno, B.; Wallace, M.; O’Sullivan, D.M.; Cockram, J. Use of genetic markers for the detection of off-types for DUS phenotypic traits in the inbreeding crop, barley. Mol. Breed. 2020, 40, 1–10. [Google Scholar] [CrossRef]
- Boczkowska, M.; Harasimiuk, M.; Onyśk, A. Studies on genetic variation within old Polish cultivars of common oat. Cereal Res. Commun. 2015, 43, 12–21. [Google Scholar] [CrossRef][Green Version]
- Boczkowska, M.; Onyśk, A. Unused genetic resources: A case study of Polish common oat germplasm. Ann. Appl. Biol. 2016, 169, 155–165. [Google Scholar] [CrossRef]
- Bayer, M.M.; Rapazote-Flores, P.; Ganal, M.; Hedley, P.E.; Macaulay, M.; Plieske, J.; Ramsay, L.; Russell, J.; Shaw, P.D.; Thomas, W. Development and evaluation of a barley 50k iSelect SNP array. Front. Plant Sci. 2017, 8, 1792. [Google Scholar] [CrossRef]
- Van de Wouw, M.; van Hintum, T.; Kik, C.; van Treuren, R.; Visser, B. Genetic diversity trends in twentieth century crop cultivars: A meta analysis. Theor. Appl. Genet. 2010, 120, 1241–1252. [Google Scholar] [CrossRef]
- Koebner, R.; Donini, P.; Reeves, J.; Cooke, R.; Law, J. Temporal flux in the morphological and molecular diversity of UK barley. Theor. Appl. Genet. 2003, 106, 550–558. [Google Scholar] [CrossRef]
- Ovesná, J.; Kučera, L.; Vaculová, K.; Milotová, J.; Snape, J.; Wenzl, P.; Huttner, E.; Kilian, A.; Martelli, G.; Milella, L. Analysis of the genetic structure of a barley collection using DNA diversity array technology (DArT). Plant Mol. Biol. Rep. 2013, 31, 280–288. [Google Scholar] [CrossRef]
- Tondelli, A.; Xu, X.; Moragues, M.; Sharma, R.; Schnaithmann, F.; Ingvardsen, C.; Manninen, O.; Comadran, J.; Russell, J.; Waugh, R. Structural and temporal variation in genetic diversity of European spring two-row barley cultivars and association mapping of quantitative traits. Plant Genome 2013, 6, plantgenome2013-03. [Google Scholar] [CrossRef]
- Close, T.J.; Bhat, P.R.; Lonardi, S.; Wu, Y.; Rostoks, N.; Ramsay, L.; Druka, A.; Stein, N.; Svensson, J.T.; Wanamaker, S. Development and implementation of high-throughput SNP genotyping in barley. BMC Genom. 2009, 10, 582. [Google Scholar] [CrossRef]
- Islamovic, E.; Bregitzer, P.; Friesen, T.L. Barley 4H QTL confers NFNB resistance to a global set of P. teres f. teres isolates. Mol. Breed. 2017, 37, 29. [Google Scholar] [CrossRef]
- Cuesta-Marcos, A.; Casas, A.M.; Hayes, P.M.; Gracia, M.P.; Lasa, J.M.; Ciudad, F.; Codesal, P.; Molina-Cano, J.L.; Igartua, E. Yield QTL affected by heading date in Mediterranean grown barley. Plant Breed. 2009, 128, 46–53. [Google Scholar] [CrossRef]
- Hayes, P.; Liu, B.; Knapp, S.; Chen, F.; Jones, B.; Blake, T.; Franckowiak, J.; Rasmusson, D.; Sorrells, M.; Ullrich, S. Quantitative trait locus effects and environmental interaction in a sample of North American barley germ plasm. Theor. Appl. Genet. 1993, 87, 392–401. [Google Scholar] [CrossRef] [PubMed]
- Laurie, D.; Pratchett, N.; Snape, J.; Bezant, J. RFLP mapping of five major genes and eight quantitative trait loci controlling flowering time in a winter× spring barley (Hordeum vulgare L.) cross. Genome 1995, 38, 575–585. [Google Scholar] [CrossRef] [PubMed]
- De la Pena, R.; Smith, K.; Capettini, F.; Muehlbauer, G.; Gallo-Meagher, M.; Dill-Macky, R.; Somers, D.; Rasmusson, D. Quantitative trait loci associated with resistance to Fusarium head blight and kernel discoloration in barley. Theor. Appl. Genet. 1999, 99, 561–569. [Google Scholar] [CrossRef]
- Marquez-Cedillo, L.; Hayes, P.; Kleinhofs, A.; Legge, W.; Rossnagel, B.; Sato, K.; Ullrich, S.; Wesenberg, D. QTL analysis of agronomic traits in barley based on the doubled haploid progeny of two elite North American varieties representing different germplasm groups. Theor. Appl. Genet. 2001, 103, 625–637. [Google Scholar] [CrossRef]
- Jefferies, S.; Barr, A.; Karakousis, A.; Kretschmer, J.; Manning, S.; Chalmers, K.; Nelson, J.; Islam, A.; Langridge, P. Mapping of chromosome regions conferring boron toxicity tolerance in barley (Hordeum vulgare L.). Theor. Appl. Genet. 1999, 98, 1293–1303. [Google Scholar] [CrossRef]
- Borovkova, I.; Steffenson, B.; Jin, Y.; Kilian, A.; Kleinhofs, A.; Blake, T. Identification and mapping of a leaf rust resistance gene in barley line Q21861. Genome 1997, 40, 236–241. [Google Scholar] [CrossRef] [PubMed]
- Deng, W.; Casao, M.C.; Wang, P.; Sato, K.; Hayes, P.M.; Finnegan, E.J.; Trevaskis, B. Direct links between the vernalization response and other key traits of cereal crops. Nat. Commun. 2015, 6, 5882. [Google Scholar] [CrossRef]
- Trevaskis, B.; Hemming, M.N.; Peacock, W.J.; Dennis, E.S. HvVRN2 responds to daylength, whereas HvVRN1 is regulated by vernalization and developmental status. Plant Physiol. 2006, 140, 1397–1405. [Google Scholar] [CrossRef] [PubMed]
- Fu, D.; Szűcs, P.; Yan, L.; Helguera, M.; Skinner, J.S.; Von Zitzewitz, J.; Hayes, P.M.; Dubcovsky, J. Large deletions within the first intron in VRN-1 are associated with spring growth habit in barley and wheat. Mol. Genet. Genom. 2005, 273, 54–65. [Google Scholar] [CrossRef]
- Milner, S.G.; Jost, M.; Taketa, S.; Mazón, E.R.; Himmelbach, A.; Oppermann, M.; Weise, S.; Knüpffer, H.; Basterrechea, M.; König, P. Genebank genomics highlights the diversity of a global barley collection. Nat. Genet. 2019, 51, 319–326. [Google Scholar] [CrossRef]
- Voss-Fels, K.P.; Robinson, H.; Mudge, S.R.; Richard, C.; Newman, S.; Wittkop, B.; Stahl, A.; Friedt, W.; Frisch, M.; Gabur, I. VERNALIZATION1 modulates root system architecture in wheat and barley. Mol. Plant 2018, 11, 226–229. [Google Scholar] [CrossRef]
- Rollins, J.A.; Drosse, B.; Mulki, M.; Grando, S.; Baum, M.; Singh, M.; Ceccarelli, S.; Von Korff, M. Variation at the vernalisation genes Vrn-H1 and Vrn-H2 determines growth and yield stability in barley (Hordeum vulgare) grown under dryland conditions in Syria. Theor. Appl. Genet. 2013, 126, 2803–2824. [Google Scholar] [CrossRef]
- Saade, S.; Brien, C.; Pailles, Y.; Berger, B.; Shahid, M.; Russell, J.; Waugh, R.; Negrão, S.; Tester, M. Dissecting new genetic components of salinity tolerance in two-row spring barley at the vegetative and reproductive stages. PLoS ONE 2020, 15, e0236037. [Google Scholar] [CrossRef]
- Malosetti, M.; van Eeuwijk, F.A.; Boer, M.P.; Casas, A.M.; Elía, M.; Moralejo, M.; Bhat, P.R.; Ramsay, L.; Molina-Cano, J.-L. Gene and QTL detection in a three-way barley cross under selection by a mixed model with kinship information using SNPs. Theor. Appl. Genet. 2011, 122, 1605–1616. [Google Scholar] [CrossRef]
- Pasam, R.K.; Sharma, R.; Malosetti, M.; van Eeuwijk, F.A.; Haseneyer, G.; Kilian, B.; Graner, A. Genome-wide association studies for agronomical traits in a world wide spring barley collection. BMC Plant Biol. 2012, 12, 16. [Google Scholar] [CrossRef]
- Lundqvist, U. New and revised descriptions of barley genes. Barley Genet. Newslett. 1997, 26, 22–516. [Google Scholar]
- Li, H.; Chen, G.; Yan, W. Molecular characterization of barley 3H semi-dwarf genes. PLoS ONE 2015, 10, e0120558. [Google Scholar] [CrossRef]
- Knüpffer, H.; Frese, L.; Jongen, M. Using central crop databases: Searching for duplicates and gaps. In Proceedings of the Central Crop Databases: Tools for Plant Genetic Resources Management, Report of a Workshop, Budapest, Hungary, 13–16 October 1996; pp. 67–77. [Google Scholar]
- Frankel, O. Genetic perspectives of germplasm conservation. Genet. Manip. Impact Man Soc. 1984, 161, 170. [Google Scholar]
- Doyle, J.J.; Doyle, J.L. Isolation ofplant DNA from fresh tissue. Focus 1990, 12, 39–40. [Google Scholar]
- Edwards, K.; Johnstone, C.; Thompson, C. A simple and rapid method for the preparation of plant genomic DNA for PCR analysis. Nucleic Acids Res. 1991, 19, 1349. [Google Scholar] [CrossRef]
- Kalinowski, S.T. Hp-rare 1.0: A computer program for performing rarefaction on measures of allelic richness. Mol. Ecol. Notes 2005, 5, 187–189. [Google Scholar]
- Chang, C.C.; Chow, C.C.; Tellier, L.C.; Vattikuti, S.; Purcell, S.M.; Lee, J.J. Second-generation PLINK: Rising to the challenge of larger and richer datasets. Gigascience 2015, 4, 7. [Google Scholar] [CrossRef] [PubMed]
- Hubisz, M.J.; Falush, D.; Stephens, M.; Pritchard, J.K. Inferring weak population structure with the assistance of sample group information. Mol. Ecol. Resour. 2009, 9, 1322–1332. [Google Scholar] [CrossRef] [PubMed]
- Kim, K.-W.; Chung, H.-K.; Cho, G.-T.; Ma, K.-H.; Chandrabalan, D.; Gwag, J.-G.; Kim, T.-S.; Cho, E.-G.; Park, Y.-J. PowerCore: A program applying the advanced M strategy with a heuristic search for establishing core sets. Bioinformatics 2007, 23, 2155–2162. [Google Scholar] [CrossRef] [PubMed]
- Csardi, G.; Nepusz, T. The igraph software package for complex network research. InterJournal Complex Syst. 2006, 1695, 1–9. [Google Scholar]
- Gu, Z.; Gu, L.; Eils, R.; Schlesner, M.; Brors, B. Circlize implements and enhances circular visualization in R. Bioinformatics 2014, 30, 2811–2812. [Google Scholar] [CrossRef] [PubMed]












| Chromosome | Length (Mbp) | Number of Loci | Mean Distance (Mbp) | Percentage of Loci | Percentage of Homozygous Loci/Chromosome |
|---|---|---|---|---|---|
| 1H | 558.54 | 1150 | 0.49 | 10% | 25% |
| 2H | 768.08 | 1695 | 0.45 | 15% | 32% |
| 3H | 699.71 | 1541 | 0.45 | 13% | 19% |
| 4H | 647.06 | 1109 | 0.58 | 10% | 30% |
| 5H | 670.03 | 1574 | 0.43 | 14% | 15% |
| 6H | 583.38 | 1158 | 0.50 | 10% | 20% |
| 7H | 657.22 | 1571 | 0.42 | 13% | 23% |
| Unknown | na | 1857 | na | 16% | 22% |
| Total | Abundance on Chromosomes | Unknown | |||||||||
|---|---|---|---|---|---|---|---|---|---|---|---|
| 1H | 2H | 3H | 4H | 5H | 6H | 7H | |||||
| Transitions (Ts) | Purines | A > G | 1910 | 186 | 263 | 235 | 206 | 278 | 183 | 245 | 314 |
| G > A | 1752 | 178 | 254 | 211 | 168 | 249 | 193 | 228 | 271 | ||
| Pyrimidines | C > T | 1754 | 184 | 248 | 252 | 165 | 240 | 169 | 243 | 253 | |
| T > C | 1604 | 160 | 222 | 244 | 145 | 207 | 151 | 237 | 238 | ||
| Transversion (Tv) | Purines > Pyrimidines | A > C | 522 | 33 | 70 | 75 | 47 | 70 | 56 | 70 | 101 |
| A > T | 292 | 37 | 44 | 24 | 34 | 45 | 33 | 32 | 43 | ||
| G > C | 890 | 101 | 119 | 107 | 90 | 116 | 80 | 125 | 152 | ||
| G > T | 525 | 56 | 95 | 65 | 45 | 72 | 52 | 72 | 68 | ||
| Pyrimidines > Purines | C > A | 533 | 45 | 79 | 67 | 44 | 72 | 47 | 91 | 88 | |
| C > G | 1027 | 89 | 170 | 146 | 86 | 118 | 103 | 128 | 187 | ||
| T > A | 291 | 28 | 45 | 39 | 23 | 48 | 32 | 36 | 40 | ||
| T > G | 555 | 53 | 86 | 76 | 56 | 59 | 59 | 64 | 102 | ||
| % Ts | 60.2% | 61.6% | 58.2% | 61.1% | 61.7% | 61.9% | 60.1% | 60.7% | 57.9% | ||
| % Tv | 39.8% | 38.4% | 41.8% | 38.9% | 38.3% | 38.1% | 39.9% | 39.3% | 42.1% | ||
| Ts/Tv ratio | 1.51 | 1.60 | 1.39 | 1.57 | 1.61 | 1.62 | 1.51 | 1.54 | 1.38 | ||
| Groups | |||||||||
|---|---|---|---|---|---|---|---|---|---|
| Before 1945 vs. 1945–1969 | 1945–1969 vs. 1970–1989 | 1970–1989 vs. 1990–1999 | 1990–1999 vs. After 2000 | ||||||
| Chromosomes | 1H | 0 | 1 | 3 | 21 | 3 | 0 | 23 | 26 |
| 2H | 36 | 2 | 10 | 23 | 2 | 4 | 21 | 68 | |
| 3H | 12 | 18 | 25 | 16 | 2 | 0 | 33 | 3 | |
| 4H | 1 | 24 | 9 | 6 | 2 | 24 | 55 | 9 | |
| 5H | 3 | 43 | 30 | 32 | 33 | 9 | 59 | 54 | |
| 6H | 13 | 2 | 44 | 2 | 0 | 3 | 13 | 3 | |
| 7H | 6 | 18 | 8 | 8 | 2 | 8 | 13 | 59 | |
| Unknown | 7 | 17 | 24 | 17 | 10 | 7 | 35 | 54 | |
| Minimum | Maximum | |||
|---|---|---|---|---|
| Genetic Distance | Cultivars | Genetic Distance | Cultivars | |
| Before 1945 | 0.162 | Danubia Ciołkowski–Hanna Borzymowski | 0.462 | Cesarski Stieglera–Puławski Browarny |
| 1945–1969 | 0.015 | Jarek–Jarek | 0.667 | Kos–Mazowiecki |
| 1970–1989 | 0.014 | Klimek–Klimek | 0.632 | Klimek(36)–Polon |
| 1990–1999 | 0.021 | Rambo–Rambo | 0.649 | Start–Bryl(59) |
| after 2000 | 0.249 | Granal–Sezam | 0.450 | Atico–Ella |
| total | 0.014 | Klimek–Klimek | 0.677 | Mazowiecki–Stratus |
| No. | Accession Number | Cultivar Name | Passport Data | Genetic Distance | Population Structure | Identity by Descent |
|---|---|---|---|---|---|---|
| 17 | PL42124 | Damazy | yes | yes | yes | yes |
| 18 | PL43614 | Damazy | ||||
| 19 | PL40940 | Jarek | yes | yes | yes | yes |
| 20 | PL42363 | Jarek | ||||
| 28 | PL41419 | Ars | yes | no | yes | yes |
| 29 | PL43646 | Ars | ||||
| 41 | PL41418 | Mago | no | |||
| 30 | PL43423 | Bielik | yes | yes | yes | yes |
| 31 | PL41415 | Bielik | ||||
| 32 | PL43033 | Dema | yes | no | no | no |
| 33 | PL43416 | Dema | ||||
| 35 | PL43086 | Klimek | yes | yes | yes | yes |
| 36 | PL43414 | Klimek | ||||
| 38 | PL43032 | Lot | yes | no | no | no |
| 39 | PL43421 | Lot | ||||
| 44 | PL43056 | Rudzik | yes | yes | yes | yes |
| 45 | PL43423 | Rudzik | ||||
| 51 | PL43335 | Orlik | yes | yes | yes | yes |
| 52 | PL43417 | Orlik | ||||
| 53 | PL43368 | Polo | yes | no | no | no |
| 54 | PL43411 | Polo | ||||
| 59 | PL500074 | Bryl | yes | yes | yes | yes |
| 60 | PL43949 | Bryl | ||||
| 61 | PL43812 | Bryl | no | no | no | |
| 62 | PL500070 | Edgar | yes | yes | yes | yes |
| 63 | PL500666 | Edgar | ||||
| 64 | PL43419 | Nagrad | yes | yes | yes | yes |
| 65 | PL43379 | Nagrad | ||||
| 67 | PL500667 | Rambo | yes | yes | yes | yes |
| 68 | PL43747 | Rambo | ||||
| 70 | PL43369 | Rodos | yes | no | no | no |
| 71 | PL43412 | Rodos |
Publisher’s Note: MDPI stays neutral with regard to jurisdictional claims in published maps and institutional affiliations. |
© 2022 by the authors. Licensee MDPI, Basel, Switzerland. This article is an open access article distributed under the terms and conditions of the Creative Commons Attribution (CC BY) license (https://creativecommons.org/licenses/by/4.0/).
Share and Cite
Dziurdziak, J.; Podyma, W.; Bujak, H.; Boczkowska, M. Tracking Changes in the Spring Barley Gene Pool in Poland during 120 Years of Breeding. Int. J. Mol. Sci. 2022, 23, 4553. https://doi.org/10.3390/ijms23094553
Dziurdziak J, Podyma W, Bujak H, Boczkowska M. Tracking Changes in the Spring Barley Gene Pool in Poland during 120 Years of Breeding. International Journal of Molecular Sciences. 2022; 23(9):4553. https://doi.org/10.3390/ijms23094553
Chicago/Turabian StyleDziurdziak, Joanna, Wiesław Podyma, Henryk Bujak, and Maja Boczkowska. 2022. "Tracking Changes in the Spring Barley Gene Pool in Poland during 120 Years of Breeding" International Journal of Molecular Sciences 23, no. 9: 4553. https://doi.org/10.3390/ijms23094553
APA StyleDziurdziak, J., Podyma, W., Bujak, H., & Boczkowska, M. (2022). Tracking Changes in the Spring Barley Gene Pool in Poland during 120 Years of Breeding. International Journal of Molecular Sciences, 23(9), 4553. https://doi.org/10.3390/ijms23094553

