Peptide Antibody Reactivity to Homologous Regions in Glutamate Decarboxylase Isoforms and Coxsackievirus B4 P2C
Abstract
1. Introduction
2. Results
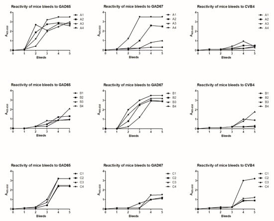
2.1. Test of Mouse Bleeds in Enzyme-Linked Immunosorbent Assay
2.2. Antibody Reactivity to Coxsackievirus and Glutamic Acid Decarboxylase Peptides
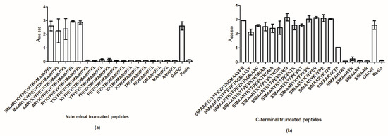
2.3. Epitope Characterization of SSI-HYB 387-01
2.4. Characterization of Epitopes to SSI-HYB 386-01, 386-02, 387-01, 389-01, and 389-02
2.5. Reactivity of Human Sera to Glutamic Acid Decarboxylase and Coxsackievirus Peptides
3. Discussion
4. Materials and Methods
4.1. Reagents
4.2. Peptides
4.3. Solid-Phase Peptide Synthesis of Free Peptides
4.4. Microwave-Assisted Solid-Phase Peptide Synthesis
4.5. Generation of Mouse GAD Antibodies
4.6. Testing of Antibody Reactivity to Biotinylated Peptides by Enzyme-Linked Immunosorbent Assay
4.7. Testing of Antibody Reactivity to Resin-Bound Peptides by Modified Enzyme-Linked Immunosorbent Assay
4.8. Competitive Inhibition Assay for Final Epitope Identification of SSI-HYB 387-01
4.9. Competitive Inhibition Assay Determination of Antibody Reactivity
4.10. SDS-PAGE and Western Blotting
4.11. Data Analysis
Supplementary Materials
Author Contributions
Funding
Informed Consent Statement
Data Availability Statement
Conflicts of Interest
References
- Katsarou, A.; Gudbjörnsdottir, S.; Rawshani, A.; Dabelea, D.; Bonifacio, E.; Anderson, B.J.; Jacobsen, L.M.; Schatz, L.M.; Lernmark, Å. Type 1 diabetes mellitus. Nat. Rev. Dis. Primers 2017, 3, 17016. [Google Scholar] [CrossRef] [PubMed]
- Simmons, K.M.; Michels, A.W. Type 1 diabetes: A predictable disease. World J. Diabetes 2015, 6, 380–390. [Google Scholar] [CrossRef] [PubMed]
- Patterson, C.C.; Dahlquist, G.G.; Gyürüs, E.; Green, A.; Soltész, G.; ERODIAB study group. Incidence trends for childhood type 1 diabetes in Europe during 1989–2003 and predicted new cases 2005-20: A multiocentre prospoective registration study. Lancet 2009, 373, 2027–2033. [Google Scholar] [CrossRef]
- Redonda, M.J.; Eisenbarth, G.S. Genetic control of autoimmunity in type 1 diabetes and associated disorders. Diabetologia 2002, 45, 605–622. [Google Scholar] [CrossRef] [PubMed]
- Streisand, R.; Monaghan, M. Young children with type 1 diabetes: Challenges, research, and future directions. Curr. Diab. Rep. 2014, 14, 520. [Google Scholar] [CrossRef] [PubMed]
- Atkinson, M.A.; Eisenbarth, G.S.; Michels, A.W. Type 1 diabetes. Lancet 2014, 383, 69–82. [Google Scholar] [CrossRef]
- Eisirik, D.L.; Colli, M.L.; Ortis, F. The role of inflammation in insulitis and beta-cell loss in type 1 diabetes. Nat. Rev. Endocrinol. 2009, 5, 219–226. [Google Scholar] [CrossRef]
- American Diabetes Association. Diagnosis and classification of diabetes mellitus. Diabetes Care 2009, 32, S62–S67. [Google Scholar] [CrossRef]
- Watkins, R.A.; Evans-Molina, C.; Blums, J.S.; DiMeglio, L.A. Established and emerging biomarkers for the prediction of type 1 diabetes: A systematic review. Transl. Res. 2014, 164, 110–121. [Google Scholar] [CrossRef]
- Bu, D.F.; Erlander, M.G.; Hitz, B.C.; Tillakaratne, N.J.; Kaufman, D.L.; Wagner-McPherson, C.B.; Evans, G.A.; Tobin, A.J. Two human glutamate decarboxylases, 65-kda gad and 67-kda gad, are each encoded by 605 a single gene. Proc. Natl. Acad. Sci. USA 1992, 89, 2115–2119. [Google Scholar] [CrossRef]
- Fenalti, G.; Law, R.H.; Buckle, A.M.; Langendorf, C.; Tuck, K.; Rosado, C.J.; Faux, N.G.; Mahmood, K.; Hampe, C.S.; Banga, J.P.; et al. Gaba production by glutamic acid decarboxylase is regulated by a dynamic 608 catalytic loop. Nat. Struct. Mol. Biol. 2007, 14, 280–286. [Google Scholar] [CrossRef] [PubMed]
- Towns, R.; Pietropaolo, M. Gad65 autoantibodies and its role as biomarker of type 1 diabetes and latent 610 autoimmune diabetes in adults (lada). Drugs Future 2011, 36, 847. [Google Scholar] [CrossRef] [PubMed]
- Agca, S.; Houen, G.; Trier, N.H. Characterization of continuous B-cell epitopes in the N-terminus of glutamate decarboxylase67 using monoclonal antibodies. J. Pept. Sci. 2014, 20, 928–934. [Google Scholar] [CrossRef] [PubMed]
- Ali, F.; Rowley, M.; Jayakrishnan, B.; Teuber, S.; Gershwin, M.E.; Mackay, I.R. Stiffperson syndrome (SPS) and anti-GAD-related CNS degenerations: Protean additions to the autoimmune central neuropathies. J. Autoimmun. 2011, 37, 79–87. [Google Scholar] [CrossRef]
- Burbelo, P.D.; Groot, S.; Dalakas, M.C.; Iadarola, M.J. High Definition Profiling of Autoantibodies to Glutamic Acid Decarboxylases GAD65/GAD67 in Stiff-Person Syndrome. Biochem. Biophys. Res. Commun. 2008, 366, 1–7. [Google Scholar] [CrossRef] [PubMed]
- Sarva, H.; Deik, A.; Ullah, A.; Severt, W.L. Clinical Spectrum of Stiff Person Syndrome: A Review of Recent Reports. Tremor Other Hyperkinetic Mov. 2016, 6, 340. [Google Scholar] [CrossRef]
- Espay, A.J.; Chen, R. Rigidity and spasms from autoimmune encephalomyelopathies: Stiff-person syndrome. Muscle Nerve 2006, 34, 677–690. [Google Scholar] [CrossRef]
- Jayakrishnan, B.; Hoke, D.E.; Langendorf, C.G.; Buckle, A.M.; Rowley, M.J. An anaysis of the cross-reactivity of autoantibodies to GAD65 and GAD67 in diabetes. PLoS ONE 2011, 6, e18411. [Google Scholar] [CrossRef]
- Luo, D.; Gilliam, L.K.; Greenbaum, C.; Bekris, L.; Hampe, C.S.; Daniels, T.; Richter, W.; Marcovina, S.M.; Rolandsson, O.; Landin-Olsson, M.; et al. Conformation-dependent GAD65 autoantibodies in diabetes. Diabetologia 2004, 47, 1581–1591. [Google Scholar] [CrossRef][Green Version]
- Ziegler, B.; Schlosser, M.; Lühder, F.; Strebelow, M.; Augstein, P.; Northemann, W.; Powers, A.C.; Ziegler, M. Murine monoclonal glutamic acid deparboxylase (GAD)65 antibodies recognize autoimmuneassociated GAD epitope regions targeted in patients with type 1 diabetes mellitus and stiff-man syndrome. Acta Diabetol. 1996, 33, 225–231. [Google Scholar] [CrossRef]
- Lühder, F.; Schlosser, M.; Mauch, L.; Haubruck, H.; Rjasanowski, I.; Michaelis, D.; Kohnert, K.D.; Ziegler, M. Autoantibodies against GAD65 rather than GAD67 precede the onset of type 1 diabetes. Autoimmunity 1994, 19, 71–80. [Google Scholar] [CrossRef] [PubMed]
- Lönnrot, M.; Hyöty, H.; Knip, M.; Roivainen, M.; Kulmala, P.; Leinikki, P.; Akerblom, H.K. Antibody cross-reactivity induced by the homologous regions in glutamic acid decarboxylase (GAD65) and 2C protein of CoxsackieVirus B4. Childhood Diabetes in Finland Study Group. Clin. Exp. Immunol. 1996, 104, 398–405. [Google Scholar] [CrossRef] [PubMed]
- Gillespie, K.M. Type 1 diabetes: Pathogenesis and prevention. CMAJ 2006, 175, 165–170. [Google Scholar] [CrossRef] [PubMed]
- Filippi, C.M.; von Herrath, M.G. Viral Trigger for Type 1 Diabetes: Pros and Cons. Diabetes 2008, 57, 2863–2871. [Google Scholar] [CrossRef] [PubMed]
- Rodriguez-Calvo, T.; Sabouri, S.; Anquetil, F.; von Herrath, M.G. The viral paradigm in type 1 diabetes: Who are the main suspects? Autoimmun. Rev. 2016, 15, 964–969. [Google Scholar] [CrossRef]
- Coppieters, K.T.; Boettler, T.; Von Herrath, M. Virus Infections in Type 1 Diabetes. Cold Spring Harb. Perspect. Med. 2012, 2, a007682. [Google Scholar] [CrossRef]
- Rodriguez-Calvo, T. Enterovirus infection and type 1 diabetes: Unraveling the crime scene. Clin. Exp. Immunol. 2019, 195, 15–24. [Google Scholar] [CrossRef]
- Bergamin, C.S.; Dib, S.A. Enterovirus and type 1 diabetes: What is the matter? World J. Diabetes 2015, 6, 828–839. [Google Scholar] [CrossRef]
- Coppieters, K.T.; Wiberg, A.; Von Herrath, M.G. Viral infections and molecular mimicry in type 1 diabetes. APMIS 2012, 120, 941–949. [Google Scholar] [CrossRef]
- Vreugdenhil, G.R.; Geluk, A.; Ottenhoff, T.H.M.; Melchers, W.J.G.; Roep, B.O.; Galama, J.M.D. Molecular mimicry in diabetes mellitus: The homologous domain in coxsackie B virus protein 2C and islet autoantigen GAD65 is highly conserved in the coxsackie B-like enteroviruses and binds to the diabetes associated HLA-DR3 molecule. Diabetologia 1998, 41, 40–46. [Google Scholar] [CrossRef]
- Oikarinen, S.; Tauriainen, S.; Hober, D.; Lucas, B.; Vazeou, A.; Sioofy-Khojine, A.; Bozas, E.; Muir, P.; Honkanen, H.; Ilonen, J.; et al. VirDiab Study Group. Virus antibody survey in different European populations indicates risk association between CoxsackieVirus B1 and type 1 diabetes. Diabetes 2014, 63, 655–662. [Google Scholar] [CrossRef] [PubMed]
- Laitinen, O.H.; Honkanen, H.; Pakkanen, O.; Oikarinen, S.; Hankaniemi, M.M.; Huhtala, H.; Ruokoranta, T.; Lecouturier, V.; André, P.; Harju, R.; et al. CoxsackieVirus B1 is associated with induction of β-cell autoimmunity that portends type 1 diabetes. Diabetes 2014, 63, 446–455. [Google Scholar] [CrossRef] [PubMed]
- Tong, J.C.; Myers, M.A.; Mackay, I.R.; Zimmet, P.Z.; Rowley, M.J. The PEVKEK region of the pyridoxal phosphate binding domain of GAD65 expresses a dominant B-cell epitope for type 1 diabetes sera. Ann. N. Y. Acad. Sci. 2002, 958, 182–189. [Google Scholar] [CrossRef] [PubMed]
- Rojas, M.; Restrepo-Jiménez, P.; Monsalve, D.M.; Pacheco, Y.; Acosta-Ampudia, Y.; Ramírez-Santana, C.; Leung, P.S.C.; Ansari, A.A.; Gershwin, M.E.; Anaya, J.M. Molecular mimicry and autoimmunity. J. Autoimmun. 2018, 95, 100–123. [Google Scholar] [CrossRef]
- Trier, N.H.; Hansen, P.R.; Houen, G. Production and characterization of peptide antibodies. Methods 2012, 56, 136–144. [Google Scholar] [CrossRef]
- Trier, N.H.; Mortensen, A.; Schiolborg, A.; Friis, T. Production and screening of monoclonal peptide antibodies. Methods Mol. Biol. 2015, 1348, 109–126. [Google Scholar]
- Trier, N.; Hansen, P.; Houen, G. Peptides, Antibodies, Peptide Antibodies and More. Int. J. Mol. Sci. 2019, 20, 6289. [Google Scholar] [CrossRef]
- Amrutkar, S.D.; Trier, N.H.; Hansen, P.R.; Houen, G. Fine mapping of a monoclonal antibody to the N-methyl D-aspartate receptors reveals a short linear epitope. Biopolymers 2012, 98, 567–575. [Google Scholar] [CrossRef]
- Trier, N.H.; Dam, C.E.; Olsen, D.T.; Hansen, P.R.; Houen, G. Contribution of Peptide Backbone to Anti-Citrullinated Peptide Antibody Reactivity. PLoS ONE 2015, 10, e0144707. [Google Scholar] [CrossRef]
- Murdaca, G.; Colombo, B.M.; Pupp, F. The role of Th17 lymphocytes in the autoimmune and chronic inflammatory diseases. Intern. Emerg. Med. 2011, 6, 487–495. [Google Scholar] [CrossRef]
- Mäde, V.; Els-Heindl, S.; Beck-Sickinger, A.G. Automated solid-phase peptide synthesis to obtain therapeutic peptides. Beilstein. J. Org. Chem. 2014, 10, 1197–1212. [Google Scholar] [CrossRef] [PubMed]
- Fini, A.; Breccia, A. Chemistry by microwaves. Pure Appl. Chem. 1999, 71, 573–579. [Google Scholar] [CrossRef]
- Trier, N.H.; Hansen, P.R.; Vedeler, C.A.; Somnier, F.E.; Houen, G. Identification of continuous epitopes of HuD antibodies related to paraneoplastic diseases/small cell lung cancer. J. Neuroimmunol. 2012, 243, 25–33. [Google Scholar] [CrossRef] [PubMed]












| Name | Immunogen | Clone Number | Subclass |
|---|---|---|---|
| SSI-HYB 386-01 | GAD65 | SSI-8F8 | IgG2b/kappa |
| SSI-HYB 386-02 | GAD67 | SSI-13G5 | IgG1/kappa |
| SSI-HYB 387-01 | GAD67 | SSI-15D9 | IgG2a/kappa |
| SSI-HYB 387-02 | GAD67 | SSI-8D2 | IgG1/kappa |
| SSI-HYB 389-01 | GAD65 | SSI-13B6-Y | IgG1/kappa |
| SSI-HYB 389-02 | GAD65 | SSI-1G9-A | IgG1/Kappa |
Publisher’s Note: MDPI stays neutral with regard to jurisdictional claims in published maps and institutional affiliations. |
© 2022 by the authors. Licensee MDPI, Basel, Switzerland. This article is an open access article distributed under the terms and conditions of the Creative Commons Attribution (CC BY) license (https://creativecommons.org/licenses/by/4.0/).
Share and Cite
Trier, N.H.; Valdarnini, N.; Fanelli, I.; Rovero, P.; Hansen, P.R.; Schafer-Nielsen, C.; Ciplys, E.; Slibinskas, R.; Pociot, F.; Friis, T.; et al. Peptide Antibody Reactivity to Homologous Regions in Glutamate Decarboxylase Isoforms and Coxsackievirus B4 P2C. Int. J. Mol. Sci. 2022, 23, 4424. https://doi.org/10.3390/ijms23084424
Trier NH, Valdarnini N, Fanelli I, Rovero P, Hansen PR, Schafer-Nielsen C, Ciplys E, Slibinskas R, Pociot F, Friis T, et al. Peptide Antibody Reactivity to Homologous Regions in Glutamate Decarboxylase Isoforms and Coxsackievirus B4 P2C. International Journal of Molecular Sciences. 2022; 23(8):4424. https://doi.org/10.3390/ijms23084424
Chicago/Turabian StyleTrier, Nicole Hartwig, Niccolo Valdarnini, Ilaria Fanelli, Paolo Rovero, Paul Robert Hansen, Claus Schafer-Nielsen, Evaldas Ciplys, Rimantas Slibinskas, Flemming Pociot, Tina Friis, and et al. 2022. "Peptide Antibody Reactivity to Homologous Regions in Glutamate Decarboxylase Isoforms and Coxsackievirus B4 P2C" International Journal of Molecular Sciences 23, no. 8: 4424. https://doi.org/10.3390/ijms23084424
APA StyleTrier, N. H., Valdarnini, N., Fanelli, I., Rovero, P., Hansen, P. R., Schafer-Nielsen, C., Ciplys, E., Slibinskas, R., Pociot, F., Friis, T., & Houen, G. (2022). Peptide Antibody Reactivity to Homologous Regions in Glutamate Decarboxylase Isoforms and Coxsackievirus B4 P2C. International Journal of Molecular Sciences, 23(8), 4424. https://doi.org/10.3390/ijms23084424

