Time- and Spectrally-Resolved Photoluminescence Study of Alloyed CdxZn1−xSeyS1−y/ZnS Quantum Dots and Their Nanocomposites with SPIONs in Living Cells
Abstract
1. Introduction
2. Materials and Methods
2.1. Synthesis of Alloyed Quantum Dots
2.2. Synthesis of Magnetic Nanoparticles and Analysis of Samples Size
2.3. Spectral and Luminescent Properties of QDs and Their Nanocomposites
2.4. Cell Cultures and Compartment Identification
2.5. Identification of SPION Localization by Microscopy
2.6. Confocal Microscopy of the Cells
2.7. Analysis of the Viability of Cell Population by Flow Cytometry
2.8. Statistical and Colocalization Analysis
3. Results and Discussion
3.1. Optical Properties of As-Prepared QDs and QD-SPION Composites in Dimethyl Sulfoxide
3.2. Behavior and Properties of QDs and QD-SPIONs during Interaction with Cells
3.2.1. Analysis of the Interaction of QD with Cultured Cells
3.2.2. Analysis of QD Association Dynamics with the Cells
3.2.3. Interaction of QD-SPION Nanocomposites with Cells
3.2.4. Cytotoxicity of QDs and QD-SPION Nanocomposites
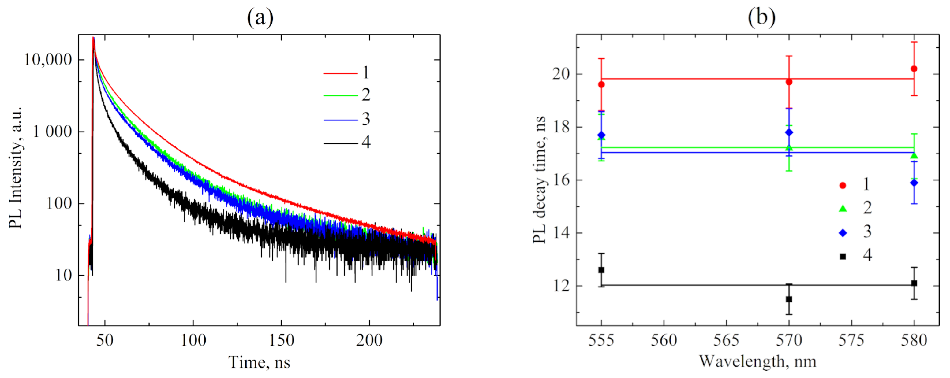
3.3. Analysis of PL Kinetics of QDs and QD-SPIONs Using Spectrally Selected Single-Photon Counting
4. Conclusions
Supplementary Materials
Author Contributions
Funding
Institutional Review Board Statement
Informed Consent Statement
Data Availability Statement
Conflicts of Interest
Abbreviations
| QDs | Quantum dots |
| SPIONs | Superparamagnetic iron oxide nanoparticles |
| PL | Photoluminescence |
| DMEM | Dulbecco’s modified Eagle medium |
References
- Kim, B.Y.S.; Rutka, J.T.; Chan, W.C.W. Nanomedicine. N. Engl. J. Med. 2010, 363, 2434–2443. [Google Scholar] [CrossRef] [PubMed]
- Kelkar, S.S.; Reineke, T.M.; Chan, W.C.W. Theranostics: Combining Imaging and Therapy. Bioconjug. Chem. 2011, 22, 1879–1903. [Google Scholar] [CrossRef] [PubMed]
- Jeyamogan, S.; Khan, N.A.; Siddiqui, R. Application and Importance of Theranostics in the Diagnosis and Treatment of Cancer. Arch. Med. Res. 2021, 52, 131–142. [Google Scholar] [CrossRef] [PubMed]
- Tandale, P.; Choudhary, N.; Singh, J.; Sharma, A.; Shukla, A.; Sriram, P.; Soni, U.; Singla, N.; Barnwal, R.P.; Singh, G.; et al. Fluorescent quantum dots: An insight on synthesis and potential biological application as drug carrier in cancer. Biochem. Biophys. Rep. 2021, 26, 100962. [Google Scholar] [CrossRef] [PubMed]
- Liao, B.-Y.; Chang, C.-J.; Wang, C.-F.; Lu, C.-H.; Chen, J.-K. Controlled antibody orientation on Fe3O4 nanoparticles and CdTe quantum dots enhanced sensitivity of a sandwich-structured electrogenerated chemiluminescence immunosensor for the determination of human serum albumin. Sensors Actuators B Chem. 2021, 336, 129710. [Google Scholar] [CrossRef]
- Rasekholghol, A.; Fazaeli, Y.; Moradi Dehaghi, S.; Ashtari, P.; Kardan, M.; Feizi, S.; Samiee Matin, M. CdTe quantum dots on gold-198 nano particles: Introducing a novel theranostic agent. Radiochim. Acta 2021, 109, 55–60. [Google Scholar] [CrossRef]
- Dulińska-Litewka, J.; Łazarczyk, A.; Hałubiec, P.; Szafrański, O.; Karnas, K.; Karewicz, A. Superparamagnetic Iron Oxide Nanoparticles—Current and Prospective Medical Applications. Materials 2019, 12, 617. [Google Scholar] [CrossRef]
- Lu, Z.; Gao, C.; Zhang, Q.; Chi, M.; Howe, J.Y.; Yin, Y. Direct Assembly of Hydrophobic Nanoparticles to Multifunctional Structures. Nano Lett. 2011, 11, 3404–3412. [Google Scholar] [CrossRef]
- Kim, H.M.; Lee, H.; Hong, K.S.; Cho, M.Y.; Sung, M.-H.; Poo, H.; Lim, Y.T. Synthesis and High Performance of Magnetofluorescent Polyelectrolyte Nanocomposites as MR/Near-Infrared Multimodal Cellular Imaging Nanoprobes. ACS Nano 2011, 5, 8230–8240. [Google Scholar] [CrossRef]
- Villa, C.; Campione, M.; Santiago-González, B.; Alessandrini, F.; Erratico, S.; Zucca, I.; Bruzzone, M.G.; Forzenigo, L.; Malatesta, P.; Mauri, M.; et al. Self-Assembled pH-Sensitive Fluoromagnetic Nanotubes as Archetype System for Multimodal Imaging of Brain Cancer. Adv. Funct. Mater. 2019, 28, 1707582. [Google Scholar] [CrossRef]
- Cornell, R.M.; Schwertmann, U. The Iron Oxides: Structure, Properties, Reactions, Occurrences and Uses; John Wiley & Sons: Hoboken, NJ, USA, 2003. [Google Scholar]
- Tietze, R.; Lyer, S.; Dürr, S.; Struffert, T.; Engelhorn, T.; Schwarz, M.; Eckert, E.; Göen, T.; Vasylyev, S.; Peukert, W.; et al. Efficient drug-delivery using magnetic nanoparticles—Biodistribution and therapeutic effects in tumour bearing rabbits. Nanomed. Nanotechnol. Biol. Med. 2013, 9, 961–971. [Google Scholar] [CrossRef] [PubMed]
- Yoo, D.; Jeong, H.; Preihs, C.; Choi, J.; Shin, T.-H.; Sessler, J.L.; Cheon, J. Double-Effector Nanoparticles: A Synergistic Approach to Apoptotic Hyperthermia. Angew. Chem. 2012, 124, 12650–12653. [Google Scholar] [CrossRef]
- Kandasamy, G.; Sudame, A.; Luthra, T.; Saini, K.; Maity, D. Functionalized Hydrophilic Superparamagnetic Iron Oxide Nanoparticles for Magnetic Fluid Hyperthermia Application in Liver Cancer Treatment. ACS Omega 2018, 3, 3991–4005. [Google Scholar] [CrossRef] [PubMed]
- Kossatz, S.; Grandke, J.; Couleaud, P.; Latorre, A.; Aires, A.; Crosbie-Staunton, K.; Ludwig, R.; Dähring, H.; Ettelt, V.; Lazaro-Carrillo, A.; et al. Efficient treatment of breast cancer xenografts with multifunctionalized iron oxide nanoparticles combining magnetic hyperthermia and anti-cancer drug delivery. Breast Cancer Res. 2015, 17, 66. [Google Scholar] [CrossRef]
- Bañobre-López, M.; Teijeiro, A.; Rivas, J. Magnetic nanoparticle-based hyperthermia for cancer treatment. Rep. Pract. Oncol. Radiother. 2013, 18, 397–400. [Google Scholar] [CrossRef]
- Tutkun, L.; Gunaydin, E.; Turk, M.; Kutsal, T. Anti-Epidermal Growth Factor Receptor Aptamer and Antibody Conjugated SPIONs Targeted to Breast Cancer Cells: A Comparative Approach. J. Nanosci. Nanotechnol. 2017, 17, 1681–1697. [Google Scholar] [CrossRef]
- Kirui, D.K.; Rey, D.A.; Batt, C.A. Gold hybrid nanoparticles for targeted phototherapy and cancer imaging. Nanotechnology 2010, 21, 105105. [Google Scholar] [CrossRef]
- Liu, F.; Le, W.; Mei, T.; Wang, T.; Chen, L.; Lei, Y.; Cui, S.; Chen, B.; Cui, Z.; Shao, C. In vitro and in vivo targeting imaging of pancreatic cancer using a Fe3O4@SiO nanoprobe modified with anti-mesothelin antibody. Int. J. Nanomed. 2016, 11, 2195. [Google Scholar]
- Salova, A.V.; Belyaeva, T.N.; Leontieva, E.A.; Zlobina, M.V.; Kharchenko, M.V.; Kornilova, E.S. Quantum dots implementation as a label for analysis of early stages of EGF receptor endocytosis: A comparative study on cultured cells. Oncotarget 2016, 7, 6029–6047. [Google Scholar] [CrossRef][Green Version]
- Salova, A.V.; Belyaeva, T.N.; Leontieva, E.A.; Kornilova, E.S. EGF receptor lysosomal degradation is delayed in the cells stimulated with EGF-Quantum dot bioconjugate but earlier key events of endocytic degradative pathway are similar to that of native EGF. Oncotarget 2017, 8, 44335–44350. [Google Scholar] [CrossRef][Green Version]
- Rosenthal, S.J.; Chang, J.C.; Kovtun, O.; McBride, J.R.; Tomlinson, I.D. Biocompatible Quantum Dots for Biological Applications. Chem. Biol. 2011, 18, 10–24. [Google Scholar] [CrossRef] [PubMed]
- Belyaeva, T.N.; Kornilova, E.S.; Krolenko, S.A.; Leontieva, E.A.; Mozhenok, T.P.; Salova, A.V. Interaction of quantum dots with cells. Ciftja O Ed. Quantum Dots Appl. Synth. Charact. N. Y. Nov. Sci. Publ. 2012, 1, 137–155. [Google Scholar]
- Bentzen, E.L.; Tomlinson, I.D.; Mason, J.; Gresch, P.; Warnement, M.R.; Wright, D.; Sanders-Bush, E.; Blakely, R.; Rosenthal, S.J. Surface Modification To Reduce Nonspecific Binding of Quantum Dots in Live Cell Assays. Bioconjug. Chem. 2005, 16, 1488–1494. [Google Scholar] [CrossRef] [PubMed]
- Uyeda, H.T.; Medintz, I.L.; Jaiswal, J.K.; Simon, S.M.; Mattoussi, H. Synthesis of Compact Multidentate Ligands to Prepare Stable Hydrophilic Quantum Dot Fluorophores. J. Am. Chem. Soc. 2005, 127, 3870–3878. [Google Scholar] [CrossRef]
- Bae, W.; Mehra, R.K. Cysteine-capped ZnS nanocrystallites: Preparation and characterization. J. Inorg. Biochem. 1998, 70, 125–135. [Google Scholar] [CrossRef]
- Drbohlavova, J.; Adam, V.; Kizek, R.; Hubalek, J. Quantum Dots—Characterization, Preparation and Usage in Biological Systems. Int. J. Mol. Sci. 2009, 10, 656–673. [Google Scholar] [CrossRef]
- Matea, C.; Mocan, T.; Tabaran, F.; Pop, T.; Mosteanu, O.; Puia, C.; Iancu, C.; Mocan, L. Quantum dots in imaging, drug delivery and sensor applications. Int. J. Nanomed. 2017, 12, 5421–5431. [Google Scholar] [CrossRef]
- Zhou, Y.; Lv, Y.; He, C.; Lin, X.; Li, C.; Xu, W.; Duan, N.; Wu, S.; Wang, Z. Application of PEG-CdSe@ZnS quantum dots for ROS imaging and evaluation of deoxynivalenol-mediated oxidative stress in living cells. Food Chem. Toxicol. 2020, 146, 111834. [Google Scholar] [CrossRef]
- Zhang, Z.-Q.; Yao, W.-J.; Qiao, L.-L.; Yang, X.; Shi, J.; Zhao, M.-X. A Lysosome-Targetable Fluorescence Probe Based on L-Cysteine-Polyamine-Morpholine-Modified Quantum Dots for Imaging in Living Cells. Int. J. Nanomed. 2020, 15, 1611–1622. [Google Scholar] [CrossRef]
- Meijerink, A. Exciton dynamics and energy transfer processes in semiconductor nanocrystals. In Semiconductor Nanocrystal Quantum Dots; Rogach, A.L., Ed.; Verl. Wien: Wien, Austria, 2008; pp. 277–310. [Google Scholar]
- Yuan, G.; Gómez, D.E.; Kirkwood, N.; Boldt, K.; Mulvaney, P. Two Mechanisms Determine Quantum Dot Blinking. ACS Nano. 2018, 12, 3397–3405. [Google Scholar] [CrossRef]
- Corr, S.A.; Rakovich, Y.P.; Gun’ko, Y.K. Multifunctional Magnetic-fluorescent Nanocomposites for Biomedical Applications. Nanoscale Res. Lett. 2008, 3, 87. [Google Scholar] [CrossRef]
- Ruan, G.; Vieira, G.; Henighan, T.; Chen, A.; Thakur, D.; Sooryakumar, R.; Winter, J.O. Simultaneous Magnetic Manipulation and Fluorescent Tracking of Multiple Individual Hybrid Nanostructures. Nano Lett. 2010, 10, 2220–2224. [Google Scholar] [CrossRef] [PubMed]
- Yen, S.K.; Padmanabhan, P.; Selvan, S.T. Multifunctional Iron Oxide Nanoparticles for Diagnostics, Therapy and Macromolecule Delivery. Theranostics 2013, 3, 986–1003. [Google Scholar] [CrossRef] [PubMed]
- Serrano García, R.; Stafford, S.; Gun’ko, Y.K. Recent Progress in Synthesis and Functionalization of Multimodal Fluorescent-Magnetic Nanoparticles for Biological Applications. Appl. Sci. 2018, 8, 172. [Google Scholar] [CrossRef]
- Tufani, A.; Qureshi, A.; Niazi, J.H. Iron oxide nanoparticles based magnetic luminescent quantum dots (MQDs) synthesis and biomedical/biological applications: A review. Mater. Sci. Eng. C. 2021, 118, 111545. [Google Scholar] [CrossRef]
- Adam, M.; Erdem, T.; Stachowski, G.M.; Soran-Erdem, Z.; Lox, J.F.L.; Bauer, C.; Poppe, J.; Demir, H.V.; Gaponik, N.; Eychmüller, A. Implementation of High-Quality Warm-White Light-Emitting Diodes by a Model-Experimental Feedback Approach Using Quantum Dot—Salt Mixed Crystals. ACS Appl. Mater. Interfaces 2015, 7, 23364–23371. [Google Scholar] [CrossRef]
- Huang, Z.; Wu, K.; Yu, Q.-H.; Wang, Y.-Y.; Xing, J.; Xia, T.-L. Facile synthesis of size tunable Fe3O4 nanoparticles in bisolvent system. Chem. Phys. Lett. 2016, 664, 219–225. [Google Scholar] [CrossRef]
- Cai, W.; Wan, J. Facile synthesis of superparamagnetic magnetite nanoparticles in liquid polyols. J. Colloid Interface Sci. 2007, 305, 366–370. [Google Scholar] [CrossRef]
- Wan, J.; Cai, W.; Meng, X.; Liu, E. Monodisperse water-soluble magnetite nanoparticles prepared by polyol process for high-performance magnetic resonance imaging. Chem. Commun. 2007, 47, 5004. [Google Scholar] [CrossRef]
- Hachani, R.; Lowdell, M.; Birchall, M.; Hervault, A.; Mertz, D.; Begin-Colin, S.; Thanh, N.T.K. Polyol synthesis, functionalisation, and biocompatibility studies of superparamagnetic iron oxide nanoparticles as potential MRI contrast agents. Nanoscale 2016, 8, 3278–3287. [Google Scholar] [CrossRef]
- Yeoh-Ellerton, S.; Stacey, M.C. Iron and 8-Isoprostane Levels in Acute and Chronic Wounds. J. Invest. Dermatol. 2003, 121, 918–925. [Google Scholar] [CrossRef] [PubMed]
- Wang, C.-Y.; Knutson, M.D. Hepatocyte divalent metal-ion transporter-1 is dispensable for hepatic iron accumulation and non-transferrin-bound iron uptake in mice. Hepatology 2013, 58, 788–798. [Google Scholar] [CrossRef] [PubMed]
- Yu, W.W.; Qu, L.; Guo, W.; Peng, X. Experimental Determination of the Extinction Coefficient of CdTe, CdSe, and CdS Nanocrystals. Chem. Mater. 2003, 15, 2854–2860. [Google Scholar] [CrossRef]
- Wuister, S.F.; de Mello Donegá, C.; Meijerink, A. Influence of Thiol Capping on the Exciton Luminescence and Decay Kinetics of CdTe and CdSe Quantum Dots. J. Phys. Chem. B 2004, 108, 17393–17397. [Google Scholar] [CrossRef]
- Fu, J.; Li, S.; Wang, Y.; Liu, X.; Lu, L. Computational and electrochemical studies on the inhibition of corrosion of mild steel by l-Cysteine and its derivatives. J. Mater. Sci. 2011, 46, 3550–3559. [Google Scholar] [CrossRef]
- Orlova, A.O.; Maslov, V.G.; Baranov, A.V.; Gounko, I.; Byrne, S. Spectral-luminescence study of the formation of QD-sulfophthalocyanine molecule complexes in an aqueous solution. Opt. Spectrosc. 2008, 105, 726–731. [Google Scholar] [CrossRef]
- Kang, T.; Um, K.; Park, J.; Chang, H.; Lee, D.C.; Kim, C.-K.; Lee, K. Minimizing the fluorescence quenching caused by uncontrolled aggregation of CdSe/CdS core/shell quantum dots for biosensor applications. Sensors Actuators B Chem. 2016, 222, 871–878. [Google Scholar] [CrossRef]
- Brokmann, X.; Coolen, L.; Dahan, M.; Hermier, J.P. Measurement of the Radiative and Nonradiative Decay Rates of Single CdSe Nanocrystals through a Controlled Modification of their Spontaneous Emission. Phys. Rev. Lett. 2004, 93, 107403. [Google Scholar] [CrossRef]
- Rabouw, F.T.; Kamp, M.; van Dijk-Moes, R.J.A.; Gamelin, D.R.; Koenderink, A.F.; Meijerink, A.; Vanmaekelbergh, D. Delayed Exciton Emission and Its Relation to Blinking in CdSe Quantum Dots. Nano Lett. 2015, 15, 7718–7725. [Google Scholar] [CrossRef]
- Lakowicz, E.; Joseph, R. Principles of Fluorescence Spectroscopy; Springer Science + Business Media: Boston, MA, USA, 2013. [Google Scholar]
- Parker, C.A. Photoluminescence of Solutions: With Applications to Photochemistry and Analytical Chemistry; Elsevier Publishing Co.: Parker, CA, USA, 1968. [Google Scholar]
- Kolesova, E.; Maslov, V.; Safin, F.; Purcell-Milton, F.; Cleary, O.; Volkov, Y.; Gun’ko, Y.K.; Orlova, A. Photoinduced Charge Transfer in Hybrid Structures Based on Titanium Dioxide NPs with Multicomponent QD Exciton Luminescence Decay. J. Phys. Chem. C 2019, 123, 14790–14796. [Google Scholar] [CrossRef]
- Liu, H.; Di Valentin, C. Band Gap in Magnetite above Verwey Temperature Induced by Symmetry Breaking. J. Phys. Chem. C 2017, 121, 25736–25742. [Google Scholar] [CrossRef] [PubMed]
- Reznik, I.; Zlatov, A.; Baranov, M.; Zakoldaev, R.; Veniaminov, A.; Moshkalev, S.; Orlova, A. Photophysical Properties of Multilayer Graphene—Quantum Dots Hybrid Structures. Nanomaterials 2020, 10, 714. [Google Scholar] [CrossRef] [PubMed]
- Peveler, W.J.; Jia, H.; Jeen, T.; Rees, K.; Macdonald, T.J.; Xia, Z.; Chio, W.-I.K.; Moorthy, S.; Parkin, I.P.; Carmalt, C.J.; et al. Cucurbituril-mediated quantum dot aggregates formed by aqueous self-assembly for sensing applications. Chem. Commun. 2019, 55, 5495–5498. [Google Scholar] [CrossRef] [PubMed]
- Reitinger, N.; Hohenau, A.; Köstler, S.; Krenn, J.R.; Leitner, A. Radiationless energy transfer in CdSe/ZnS quantum dot aggregates embedded in PMMA. Phys. Status Solidi 2011, 208, 710–714. [Google Scholar] [CrossRef]
- Silverstein, S.C.; Steinman, R.M.; Cohn, Z.A. Endocytosis. Annu. Rev. Biochem. 1977, 46, 669–722. [Google Scholar] [CrossRef]
- Karabanovas, V.; Zitkus, Z.; Kuciauskas, D.; Rotomskis, R.; Valius, M. Surface Properties of Quantum Dots Define Their Cellular Endocytic Routes, Mitogenic Stimulation and Suppression of Cell Migration. J. Biomed. Nanotechnol. 2014, 10, 775–786. [Google Scholar] [CrossRef]
- Mensch, A.C.; Melby, E.S.; Laudadio, E.D.; Foreman-Ortiz, I.U.; Zhang, Y.; Dohnalkova, A.; Hu, D.; Pedersen, J.A.; Hamers, R.J.; Orr, G. Preferential interactions of primary amine-terminated quantum dots with membrane domain boundaries and lipid rafts revealed with nanometer resolution. Environ. Sci. Nano. 2020, 7, 149–161. [Google Scholar] [CrossRef]
- Bergeland, T.; Haugen, L.; Landsverk, O.J.B.; Stenmark, H.; Bakke, O. Cell-cycle-dependent binding kinetics for the early endosomal tethering factor EEA1. EMBO Rep. 2008, 9, 171–178. [Google Scholar] [CrossRef]
- Litvinov, I.K.; Belyaeva, T.N.; Salova, A.V.; Aksenov, N.D.; Leontieva, E.A.; Orlova, A.O.; Kornilova, E.S. Quantum Dots based on Indium Phosphide (InP): The Effect of Chemical Modifications of the Organic Shell on Interaction with Cultured Cells of Various Origins. Cell Tissue Biol. 2018, 12, 135–145. [Google Scholar] [CrossRef]
- Litvinov, I.K.; Belyaeva, T.N.; Bazhenova, A.S.; Leontieva, E.A.; Orlova, A.O.; Kornilova, E.S. The research of photophysical properties of luminescent semiconductor quantum dots of various structures during the imaging of cells in culture. Neurosci. Behav. Physiol. 2018, 104, 676–682. (In Russian) [Google Scholar]










| Molar Concentration Ratio () | 0 | 0.2 | 0.5 | 1 |
|---|---|---|---|---|
| , ns | 3.2 ± 0.2 | 2.4 ± 0.1 | 2.0 ± 0.1 | 1.4 ± 0.1 |
| ,% | 41 ± 2 | 49 ± 3 | 51 ± 3 | 61 ± 3 |
| , ns | 13.9 ± 0.7 | 11.7 ± 0.6 | 10.6 ± 0.5 | 7.0 ± 0.4 |
| ,% | 51 ± 3 | 42 ± 2 | 40 ± 2 | 33 ± 2 |
| , ns | 44 ± 2 | 34 ± 2 | 31 ± 2 | 24 ± 1 |
| ,% | 8 ± 1 | 9 ± 1 | 9 ± 1 | 6 ± 1 |
| <>, ns (2) | 21 ± 1 | 17.9 ± 0.9 | 16.7 ± 0.8 | 11.7 ± 0.6 |
| ,% (3) | 12.8 ± 0.6 | 9.6 ± 0.5 | 8.0 ± 0.4 | 5.6 ± 0.3 |
| , % (3) | 56 ± 3 | 47 ± 2 | 42 ± 2 | 28 ± 1 |
| <>, % | 49 ± 2 | 40 ± 2 | 36 ± 2 | 22 ± 1 |
| , (4) | 27 ± 1 | |||
| , (4) | 3.2 ± 0.2 | |||
| (6) | - | 10.4 ± 0.5 | 18.8 ± 0.9 | 40 ± 2 |
| (6) | - | 1.4 ± 0.1 | 2.2 ± 0.1 | 7.1 ± 0.4 |
| - | 9.5 ± 0.5 | 17.4 ± 0.9 | 37 ± 2 | |
| , % (7) | - | 25 ± 1 | 38 ± 2 | 56 ± 3 |
| , % (7) | - | 16 ± 1 | 24 ± 1 | 50 ± 3 |
| , % (8) | - | 22 ± 1 | 33 ± 2 | 54 ± 3 |
| Incubation Time, h | Nanostructures Type | , ns | , ns | , ns | , % (9) | , nm (11) | R, nm (10) | (12) |
|---|---|---|---|---|---|---|---|---|
| 4 | QDs | 3.0 ± 0.2 | 3.2 ± 0.2 | 3.6 ± 0.2 | 18 ± 1 | 4.6 ± 0.2 | 5.9 ± 0.3 | 6.2 ± 0.3 |
| 4 | QD-SPIONs | 2.4 ± 0.2 | 2.8 ± 0.5 | 3.3 ± 0.8 | 28 ± 2 | 5.4 ± 0.3 | 11.9 ± 0.6 | |
| 24 | QDs | 5.0 ± 0.8 | 6.2 ± 1.0 | 7.6 ± 0.9 | 34 ± 2 | 5.1 ± 0.3 | 6.7 ± 0.3 | |
| 24 | QD-SPIONs | 3.4 ± 0.6 | 4.2 ± 0.8 | 4.9 ± 0.9 | 30 ± 2 | 5.3 ± 0.3 | 8.9 ± 0.4 | |
| 48 | QDs | 5.1 ± 0.7 | 6.0 ± 0.1 | 7.7 ± 0.3 | 34 ± 2 | 5.1 ± 0.3 | 6.7 ± 0.3 | |
| 48 | QD-SPIONs | 3.4 ± 0.3 | 4.5 ± 0.4 | 5.1 ± 0.4 | 32 ± 2 | 5.2 ± 0.3 | 9.5 ± 0.5 |
Publisher’s Note: MDPI stays neutral with regard to jurisdictional claims in published maps and institutional affiliations. |
© 2022 by the authors. Licensee MDPI, Basel, Switzerland. This article is an open access article distributed under the terms and conditions of the Creative Commons Attribution (CC BY) license (https://creativecommons.org/licenses/by/4.0/).
Share and Cite
Matiushkina, A.; Litvinov, I.; Bazhenova, A.; Belyaeva, T.; Dubavik, A.; Veniaminov, A.; Maslov, V.; Kornilova, E.; Orlova, A. Time- and Spectrally-Resolved Photoluminescence Study of Alloyed CdxZn1−xSeyS1−y/ZnS Quantum Dots and Their Nanocomposites with SPIONs in Living Cells. Int. J. Mol. Sci. 2022, 23, 4061. https://doi.org/10.3390/ijms23074061
Matiushkina A, Litvinov I, Bazhenova A, Belyaeva T, Dubavik A, Veniaminov A, Maslov V, Kornilova E, Orlova A. Time- and Spectrally-Resolved Photoluminescence Study of Alloyed CdxZn1−xSeyS1−y/ZnS Quantum Dots and Their Nanocomposites with SPIONs in Living Cells. International Journal of Molecular Sciences. 2022; 23(7):4061. https://doi.org/10.3390/ijms23074061
Chicago/Turabian StyleMatiushkina, Anna, Ilia Litvinov, Anastasia Bazhenova, Tatiana Belyaeva, Aliaksei Dubavik, Andrei Veniaminov, Vladimir Maslov, Elena Kornilova, and Anna Orlova. 2022. "Time- and Spectrally-Resolved Photoluminescence Study of Alloyed CdxZn1−xSeyS1−y/ZnS Quantum Dots and Their Nanocomposites with SPIONs in Living Cells" International Journal of Molecular Sciences 23, no. 7: 4061. https://doi.org/10.3390/ijms23074061
APA StyleMatiushkina, A., Litvinov, I., Bazhenova, A., Belyaeva, T., Dubavik, A., Veniaminov, A., Maslov, V., Kornilova, E., & Orlova, A. (2022). Time- and Spectrally-Resolved Photoluminescence Study of Alloyed CdxZn1−xSeyS1−y/ZnS Quantum Dots and Their Nanocomposites with SPIONs in Living Cells. International Journal of Molecular Sciences, 23(7), 4061. https://doi.org/10.3390/ijms23074061

