Influence of Umbelliferone on the Anticonvulsant and Neuroprotective Activity of Selected Antiepileptic Drugs: An In Vivo and In Vitro Study
Abstract
:1. Introduction
2. Results
2.1. Influence of UMB on the Anticonvulsant Activity of Various ASMs in the 6-Hz Corneal-Stimulation-Induced Seizure Model in Mice
2.2. Effects of UMB in Combination with the Studied ASMs on Motor Performance, Muscular Strength and Long-Term Memory in Mice
2.3. Effect of UMB on Total Brain Antiepileptic Drug Concentrations
2.4. The UMB Influence on Neuron Viability
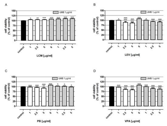
2.5. Influence of Various ASMs and Their Combination with UMB on the Viability of Neurons
2.6. Influence of UMB on the Neuroprotective Effect of Various ASMs under Trophic Stress Conditions
2.7. Influence of UMB on the Neuroprotective Effect of Various ASMs in Excitotoxicity Model of Neurodegeneration
3. Discussion
4. Materials and Methods
4.1. In Vivo Study
4.1.1. Animals and Experimental Conditions
4.1.2. Drugs
4.1.3. 6-Hz Corneal-Stimulation-Induced Seizures
4.1.4. Chimney Test
4.1.5. Grip-Strength Test
4.1.6. Passive Avoidance Task
4.1.7. Measurement of Total Brain Antiepileptic Drug Concentrations
4.2. In Vitro Study
4.2.1. Reagents
4.2.2. Cell Line
4.2.3. Cell Viability Assessment—MTT Assay
4.3. Statistical Analyses
5. Conclusions
Author Contributions
Funding
Institutional Review Board Statement
Informed Consent Statement
Data Availability Statement
Conflicts of Interest
References
- Fisher, R.S.; van Emde Boas, W.; Blume, W.; Elger, C.; Genton, P.; Lee, P.; Engel, J., Jr. Epileptic seizures and epilepsy: Definitions proposed by the International League Against Epilepsy (ILAE) and the International Bureau for Epilepsy (IBE). Epilepsia 2005, 46, 470–472. [Google Scholar] [CrossRef] [PubMed]
- Perucca, P.; Gilliam, F.G. Adverse effects of antiepileptic drugs. Lancet Neurol. 2012, 11, 792–802. [Google Scholar] [CrossRef]
- Bittigau, P.; Sifringer, M.; Genz, K.; Reith, E.; Pospischil, D.; Govindarajalu, S.; Dzietko, M.; Pesditschek, S.; Mai, I.; Dikranian, K.; et al. Antiepileptic drugs and apoptotic neurodegeneration in the developing brain. Proc. Natl. Acad. Sci. USA 2002, 99, 15089–15094. [Google Scholar] [CrossRef] [PubMed] [Green Version]
- Rekling, J.C. Neuroprotective effects of anticonvulsants in rat hippocampal slice cultures exposed to oxygen/glucose deprivation. Neurosci. Lett. 2003, 335, 167–170. [Google Scholar] [CrossRef]
- Pitkänen, A.; Kubova, H. Antiepileptic drugs in neuroprotection. Expert Opin. Pharmacother. 2004, 5, 777–798. [Google Scholar] [CrossRef]
- Czuczwar, S.; Ferenc, R.; Błaszczyk, B.; Borowicz, K.K. Neuroprotective effects of some newer and potential antiepileptic drugs. J. Pre-Clin. Clin. Res. 2007, 1, 1–5. [Google Scholar]
- Łuszczki, J.J.; Glowniak, K.; Czuczwar, S.J. Imperatorin enhances the protective activity of conventional antiepileptic drugs against maximal electroshock-induced seizures in mice. Eur. J. Pharmacol. 2007, 574, 133–139. [Google Scholar] [CrossRef]
- Łuszczki, J.J.; Wojda, E.; Raszewski, G.; Głowniak, K.; Czuczwar, S.J. Influence of imperatorin on the anticonvulsant activity and acute adverse-effect profile of lamotrigine in maximal electroshock-induced seizures and chimney test in mice. Pharmacol. Rep. 2008, 60, 566–573. [Google Scholar]
- Łuszczki, J.J.; Rękas, A.; Mazurkiewicz, L.P.; Gleńsk, M.; Ossowska, G. Effect of osthole on the protective activity of carbamazepine and phenobarbital against maximal electroshock-induced seizures in mice. Ann. UMCS 2010, 23, 145–156. [Google Scholar]
- Łuszczki, J.J.; Marczewski, T.; Mazurkiewicz, L.; Karwan, S.; Teresińska, M.; Florek-Łuszczki, M.; Gleńsk, M. Influence of osthole on the anticonvulsant activity of phenytoin and valproate in the maximal electroshock-induced seizures in mice. Ann. UMCS 2011, 24, 33–44. [Google Scholar]
- Skalicka-Woźniak, K.; Zagaja, M.; Głowniak, K.; Łuszczki, J.J. Purification and anticonvulsant activity of xanthotoxin (8-methoxypsoralen). Cent. Eur. J. Biol. 2014, 9, 431–436. [Google Scholar] [CrossRef] [Green Version]
- Zagaja, M.; Andres-Mach, M.; Skalicka-Woźniak, K.; Rękas, A.R.; Kondrat-Wróbel, M.W.; Gleńsk, M.; Łuszczki, J.J. Assessment of the combined treatment with umbelliferone and four classical antiepileptic drugs against maximal electroshock-induced seizures in mice. Pharmacology 2015, 96, 175–180. [Google Scholar] [CrossRef] [PubMed]
- Zagaja, M.; Andres-Mach, M.; Patrzylas, P.; Pyrka, D.; Szpringer, M.; Florek-Łuszczki, M.; Żółkowska, D.; Skalicka-Woźniak, K.; Łuszczki, J.J. Influence of xanthotoxin (8-methoxypsoralen) on the anticonvulsant activity of various novel antiepileptic drugs against maximal electroshock-induced seizures in mice. Fitoterapia 2016, 115, 86–91. [Google Scholar] [CrossRef] [PubMed]
- Zagaja, M.; Pyrka, D.; Skalicka-Woźniak, K.; Glowniak, K.; Florek-Luszczki, M.; Gleńsk, M.; Łuszczki, J.J. Effect of xanthotoxin (8-methoxypsoralen) on the anticonvulsant activity of classical antiepileptic drugs against maximal electroshock-induced seizures in mice. Fitoterapia 2015, 105, 1–6. [Google Scholar] [CrossRef] [PubMed]
- Zagaja, M.; Bryda, J.; Szewczyk, A.; Szala-Rycaj, J.; Łuszczki, J.J.; Walczak, M.; Kuś, K.; Andres-Mach, M. Xanthotoxin enhances the anticonvulsant potency of levetiracetam and valproate in the 6-Hz corneal stimulation model in mice. Fundam. Clin. Pharmacol. 2022, 36, 133–142. [Google Scholar] [CrossRef]
- Venugopala, K.N.; Rashmi, V.; Odhav, B. Review on natural coumarin lead compounds for their pharmacological activity. BioMed. Res. Int. 2013, 2013, 963248. [Google Scholar] [CrossRef] [PubMed] [Green Version]
- Asif, M. Pharmacological activities and phytochemistry of various plant containing coumarin derivatives. Curr. Sci. Perspect. 2015, 1, 77–90. [Google Scholar]
- Skalicka-Woźniak, K.; Orhan, I.E.; Cordell, G.A.; Nabavi, S.M.; Budzyńska, B. Implication of coumarins towards central nervous system disorders. Pharmacol. Res. 2016, 103, 188–203. [Google Scholar] [CrossRef]
- Ishita, I.J.; Islam, M.N.; Kim, Y.S.; Choi, R.J.; Sohn, H.S.; Jung, H.A.; Choi, J.S. Coumarins from Angelica decursiva inhibit lipopolysaccharide-induced nitrite oxide production in RAW 264.7 cells. Arch. Pharmacol. Res. 2016, 39, 115–126. [Google Scholar] [CrossRef]
- Ramesh, B.; Pugalendi, K. Impact of umbelliferone (7-hydroxycoumarin) on hepatic marker enzymes in streptozotocin diabetic rats. Indian J. Pharmacol. 2006, 38, 209. [Google Scholar]
- Ramu, R.S.; Shirahatti, P.; Zameer, F.; Lakkappa Dhananjaya, B.; Nagendra Prasad, M.N. Correction: Assessment of in vivo antidiabetic properties of umbelliferone and lupeol constituents of banana (musa sp. var. nanjangud rasa bale) flower in hyperglycaemic rodent model. PLoS ONE 2016, 11, e0160048. [Google Scholar] [CrossRef] [PubMed] [Green Version]
- Kielbus, M.; Skalicka-Wozniak, K.; Grabarska, A.; Jeleniewicz, W.; Dmoszynska-Graniczka, M.; Marston, A.; Polberg, K.; Gawda, P.; Klatka, J.; Stepulak, A. 7-substituted coumarins inhibit proliferation and migration of laryngeal cancer cells in vitro. Anticancer Res. 2013, 33, 4347–4356. [Google Scholar] [PubMed]
- Muthu, R.; Selvaraj, N.; Vaiyapuri, M. Anti-inflammatory and proapoptotic effects of umbelliferone in colon carcinogenesis. Hum. Exp. Toxicol. 2016, 35, 1041–1054. [Google Scholar] [CrossRef] [PubMed]
- Yu, S.M.; Hu, D.H.; Zhang, J.J. Umbelliferone exhibits anticancer activity via the induction of apoptosis and cell cycle arrest in HepG2 hepatocellular carcinoma cells. Mol. Med. Rep. 2015, 12, 3869–3873. [Google Scholar] [CrossRef] [Green Version]
- Sana, E.; Zeeshan, M.; Ain, Q.U.; Khan, A.U.; Hussain, I.; Khan, S.; Lepeltier, E.; Ali, H. Topical delivery of curcumin-loaded transfersomes gel ameliorated rheumatoid arthritis by inhibiting NF-κβ pathway. Nanomedicine 2021, 16, 819–837. [Google Scholar] [CrossRef]
- Germoush, M.O.; Othman, S.I.; Al-Qaraawi, M.A.; Al-Harbi, H.M.; Hussein, O.E.; Al-Basher, G.; Alotaibi, M.F.; Elgebaly, H.A.; Sandhu, M.A.; Allam, A.A.; et al. Umbelliferone prevents oxidative stress, inflammation and hematological alterations, and modulates glutamate-nitric oxide-cGMP signaling in hyperammonemic rats. Biomed. Pharmacother. 2018, 102, 392–402. [Google Scholar] [CrossRef]
- Vasconcelos, J.F.; Teixeira, M.M.; Barbosa-Filho, J.M.; Agra, M.F.; Nunes, X.P.; Giulietti, A.M.; Ribeiro-dos-Santos, R.; Soares, M.B. Effects of umbelliferone in a murine model of allergic airway inflammation. Eur. J. Pharmacol. 2009, 609, 126–131. [Google Scholar] [CrossRef]
- Younas; Khan, A.; Shehzad, O.; Seo, E.K.; Onder, A.; Khan, S. Anti-allergic activities of Umbelliferone against histamine- and Picryl chloride-induced ear edema by targeting Nrf2/iNOS signaling in mice. BMC Complement. Med. Ther. 2021, 21, 215. [Google Scholar] [CrossRef]
- Barros, T.A.; de Freitas, L.A.; Filho, J.M.; Nunes, X.P.; Giulietti, A.M.; de Souza, G.E.; dos Santos, R.R.; Soares, M.B.; Villarreal, C.F. Antinociceptive and anti-inflammatory properties of 7-hydroxycoumarin in experimental animal models: Potential therapeutic for the control of inflammatory chronic pain. J. Pharm. Pharmacol. 2010, 62, 205–213. [Google Scholar] [CrossRef]
- De Lima, F.O.; Nonato, F.R.; Couto, R.D.; Barbosa Filho, J.M.; Nunes, X.P.; Ribeiro dos Santos, R.; Soares, M.B.P.; Villarreal, C.F. Mechanisms involved in the antinociceptive effects of 7-hydroxycoumarin. J. Nat. Prod. 2011, 74, 596–602. [Google Scholar] [CrossRef]
- Qin, T.; Fang, F.; Song, M.; Li, R.; Ma, Z.; Ma, S. Umbelliferone reverses depression-like behavior in chronic unpredictable mild stressinduced rats by attenuating neuronal apoptosis via regulating ROCK/-Akt pathway. Behav. Brain Res. 2017, 317, 147–156. [Google Scholar] [CrossRef] [PubMed]
- Wang, X.; Li, R.; Wang, X.; Fu, Q.; Ma, S. Umbelliferone ameliorates cerebral ischemia-reperfusion injury via upregulating the PPAR gamma expression and suppressing TXNIP/NLRP3 inflammasome. Neurosci. Lett. 2015, 600, 182–187. [Google Scholar] [CrossRef] [PubMed]
- Subramaniam, S.R.; Ellis, E.M. Neuroprotective effects of umbelliferone and esculetin in a mouse model of Parkinson’s disease. J. Neurosci. Res. 2013, 91, 453–461. [Google Scholar] [CrossRef] [PubMed]
- Hindam, M.O.; Sayed, R.H.; Skalicka-Woźniak, K.; Budzyńska, B.; El Sayed, N.S. Xanthotoxin and umbelliferone attenuate cognitive dysfunction in a strep-tozotocin-induced rat model of sporadic Alzheimer’s disease: The role of JAK2/STAT3 and Nrf2/HO-1 signalling pathway modulation. Phytother. Res. 2020, 34, 2351–2365. [Google Scholar] [CrossRef]
- Boulebd, H. Are thymol, rosefuran, terpinolene and umbelliferone good scavengers of peroxyl radicals? Phytochemistry 2021, 184, 112670. [Google Scholar] [CrossRef]
- Demirkaya, A.K.; Gündoğdu, G.; Karakaya, S.; Yılmaz Taşcı, Ş.; Nalcı, K.A.; Hacimüftüoğlu, A. Does umbelliferone protect primary cortical neuron cells against glutamate excitotoxicity? Kafkas Univ. Vet. Fak. Derg. 2021, 27, 339–346. [Google Scholar]
- Barber, S.C.; Higginbottomm, A.; Meadm, R.J.; Barber, S.; Shaw, P.J. An in vitro screening cascade to identify neuroprotective antioxidants in ALS. Free Radic. Biol. Med. 2009, 46, 1127–1138. [Google Scholar] [CrossRef] [Green Version]
- Mazimba, O. Umbelliferone: Sources, chemistry and bioactivities review. Bull. Fac. Pharm. Cairo Univ. 2017, 55, 223–232. [Google Scholar] [CrossRef]
- Barton, M.E.; Klein, B.D.; Wolf, H.H.; White, H.S. Pharmacological characterization of the 6 Hz psychomotor seizure model of partial epilepsy. Epilepsy Res. 2001, 47, 217–227. [Google Scholar] [CrossRef]
- Metcalf, C.S.; West, P.J.; Thomson, K.E.; Edwards, S.F.; Smith, M.D.; White, H.S.; Wilcox, K.S. Development and pharmacologic characterization of the rat 6 Hz model of partial seizures. Epilepsia 2017, 58, 1073–1084. [Google Scholar] [CrossRef] [Green Version]
- Luszczki, J.J.; Glowniak, K.; Czuczwar, S.J. Time-course and dose-response relationships of imperatorin in the mouse maximal electroshock seizure threshold model. Neurosci. Res. 2007, 59, 18–22. [Google Scholar] [CrossRef] [PubMed]
- Łuszczki, J.J.; Andres-Mach, M.; Cisowski, W.; Mazol, I.; Glowniak, K.; Czuczwar, S.J. Osthole suppresses seizures in the mouse maximal electroshock seizure model. Eur. J. Pharmacol. 2009, 607, 107–109. [Google Scholar] [CrossRef]
- Yasiry, Z.; Shorvon, S.D. How phenobarbital revolutionized epilepsy therapy: The story of phenobarbital therapy in epilepsy in the last 100 years. Epilepsia 2012, 53 (Suppl. S8), 26–39. [Google Scholar] [CrossRef] [PubMed]
- Laxmi, K. Chemsketch study of phenobarbital: An antiepileptic drug. Int. J. Comput. Theor. Chem. 2017, 5, 25–29. [Google Scholar] [CrossRef] [Green Version]
- Löscher, W.; Rogawski, M.A. How theories evolved concerning the mechanism of action of barbiturates. Epilepsia 2012, 53 (Suppl. S8), 12–25. [Google Scholar] [CrossRef]
- ffrench-Mullen, J.M.; Barker, J.L.; Rogawski, M.A. Calcium current block by (−)-pentobarbital, phenobarbital, and CHEB but not (+)-pentobarbital in acutely isolated hippocampal CA1 neurons: Comparison with effects on GABA-activated Cl− current. J. Neurosci. 1993, 13, 3211–3221. [Google Scholar] [CrossRef] [Green Version]
- Löscher, W. Basic pharmacology of valproate: A review after 35 years of clinical use for the treatment of epilepsy. CNS Drugs 2002, 16, 669–694. [Google Scholar] [CrossRef]
- Johannessen, C.U. Mechanisms of action of valproate: A commentatory. Neurochem. Int. 2000, 37, 103–110. [Google Scholar] [CrossRef]
- Dekermendjian, K.; Ai, J.; Nielsen, M.; Sterner, O.; Shan, R.; Witt, M.R. Characterization of the furanocoumarin phellopterin as a rat brainbenzodiazepine receptor partial agonist in vitro. Neurosci. Lett. 1996, 219, 151–154. [Google Scholar] [CrossRef]
- Choi, S.Y.; Ahn, E.M.; Song, M.C.; Kimm, D.W.; Kangm, J.H.; Kwonm, O.S.; Kang, T.C.; Baekm, N.I. In vitro GABA-transaminase inhibitory compounds from the root of Angelica dahurica. Phytother. Res. 2005, 19, 839–845. [Google Scholar] [CrossRef]
- Singhuber, J.; Baburin, I.; Ecker, G.F.; Kopp, B.; Hering, S. Insights into structure-activity relationship of GABAA receptor modulating coumarins and furanocoumarins. Eur. J. Pharmacol. 2011, 668, 57–64. [Google Scholar] [CrossRef] [PubMed] [Green Version]
- Kovalevich, J.; Langford, D. Considerations for the use of SH-SY5Y neuroblastoma cells in neurobiology. Methods Mol. Biol. 2013, 1078, 9–21. [Google Scholar] [PubMed] [Green Version]
- Cheung, Y.T.; Lau, W.K.W.; Yu, M.S.; Lai, C.S.W.; Yeung, S.C.; So, K.F.; Chang, R.C.C. Effects of all-trans-retinoic acid on human SH-SY5Y neuroblastoma as in vitro model in neurotoxicity research. Neurotoxicology 2009, 30, 127–135. [Google Scholar] [CrossRef] [PubMed]
- Encinas, M.; Iglesias, M.; Liu, Y.; Wang, H.; Muhaisen, A.; Ceña, V.; Gallego, C.; Comella, J.X. Sequential treatment of SH-SY5Y cells with retinoic acid and brain-derived neurotrophic factor gives rise to fully differentiated, neurotrophic factor-dependent, human neuron-like cells. J. Neurochem. 2000, 75, 991–1003. [Google Scholar] [CrossRef]
- Shipley, M.M.; Mangold, C.A.; Szpara, M.L. Differentiation of the SH-SY5Y human neuroblastoma cell line. J. Vis. Exp. 2016, 108, 53193. [Google Scholar] [CrossRef]
- Schubert, D.; Piasecki, D. Oxidative glutamate toxicity can be a component of the excitotoxicity cascade. J. Neurosci. 2001, 21, 7455–7462. [Google Scholar] [CrossRef] [Green Version]
- Kritis, A.A.; Stamoula, E.G.; Paniskaki, K.A.; Vavilis, T.D. Researching glutamate-induced cytotoxicity in different cell lines: A comparative/collective analysis/study. Front. Cell. Neurosci. 2015, 9, 91. [Google Scholar] [CrossRef] [Green Version]
- Sundt, T.M., Jr.; Anderson, R.E. Umbelliferone as an intracellular pHsensitive fluorescent indicator and blood–brain barrier probe: Instrumentation, calibration, and analysis. J. Neurophysiol. 1980, 44, 60–75. [Google Scholar] [CrossRef]
- Paya, M.; Halliwell, B.; Hoult, J.R. Peroxyl radical scavenging by a series of coumarins. Free Radic. Res. Commun. 1992, 17, 293–298. [Google Scholar] [CrossRef]
- Von Sonntag, C. Free-Radical-Induced DNA Damage and its Repair. In A Chemical Perspective; Springer: Berlin/Heidelberg, Germany, 2006; pp. 159–194. [Google Scholar]
- Wang, D.; Wang, X.; Tong, W.; Cui, Y.; Li, X.; Sun, H. Umbelliferone Alleviates Lipopolysaccharide-Induced Inflammatory Responses in Acute Lung Injury by Down-Regulating TLR4/MyD88/NF-κB Signaling. Inflammation 2019, 42, 440–448. [Google Scholar] [CrossRef]
- Kurach, Ł.; Kulczycka-Mamona, S.; Kowalczyk, J.; Skalicka-Woźniak, K.; Boguszewska-Czubara, A.; El Sayed, N.; Osmani, M.; Iwaniak, K.; Budzyńska, B. Mechanisms of the Procognitive Effects of Xanthotoxin and Umbelliferone on LPS-Induced Amnesia in Mice. Int. J. Mol. Sci. 2021, 22, 1779. [Google Scholar] [CrossRef] [PubMed]
- Ahn, J.Y.; Yan, B.C.; Park, J.H.; Ahn, J.H.; Lee, D.H.; Kim, I.H.; Cho, J.H.; Chen, B.H.; Lee, J.C.; Cho, Y.S.; et al. Novel antiepileptic drug lacosamide exerts neuroprotective effects by decreasing glial activation in the hippocampus of a gerbil model of ischemic stroke. Exp. Ther. Med. 2015, 10, 2007–2014. [Google Scholar] [CrossRef] [PubMed] [Green Version]
- Mazzocchetti, P.; Tantucci, M.; Bastioli, G.; Calabrese, V.; Di Filippo, M.; Tozzi, A.; Calabresi, P.; Costa, C. Lacosamide protects striatal and hippocampal neurons from in vitro ischemia without altering physiological synaptic plasticity. Neuropharmacology 2018, 135, 424–430. [Google Scholar] [CrossRef] [PubMed]
- Nirwan, N.; Siraj, F.; Vohora, D. Inverted-U response of lacosamide on pilocarpine-induced status epilepticus and oxidative stress in C57BL/6 mice is independent of hippocampal collapsin response mediator protein-2. Epilepsy Res. 2018, 145, 93–101. [Google Scholar] [CrossRef]
- Sendrowski, K.; Boćkowski, L.; Sobaniec, W.; Iłendo, E.; Jaworowska, B.; Smigielska-Kuzia, J. Levetiracetam protects hippocampal neurons in culture against hypoxia-induced injury. Folia Histochem. Cytobiol. 2011, 49, 148–152. [Google Scholar] [CrossRef] [Green Version]
- Oliveira, A.A.; Almeida, J.P.C.; Freitas, R.M.; Nascimento, V.S.; Aguiar, L.M.V.; Júnior, H.V.N.; Fonseca, F.N.; Viana, G.S.B.; Sousa, F.C.F.; Fonteles, M.M.F. Effects of levetiracetam in lipid peroxidation level, nitrite-nitrate formation and antioxidant enzymatic activity in mice brain after pilocarpine-induced seizures. Cell. Mol. Neurobiol. 2007, 27, 395–406. [Google Scholar] [CrossRef]
- Santana-Gómez, C.E.; Valle-Dorado, M.G.; Domínguez-Valentín, A.E.; Hernández-Moreno, A.; Orozco-Suárez, S.; Rocha, L. Neuroprotective effects of levetiracetam, both alone and combined with propylparaben, in the long-term consequences induced by lithium-pilocarpine status epilepticus. Neurochem. Int. 2018, 120, 224–232. [Google Scholar] [CrossRef]
- Vizuete, M.L.; Merino, M.; Cano, J.; Machado, A. In vivo protection of striatal dopaminergic system against 1-methyl-4-phenylpyridinium neurotoxicity by phenobarbital. J. Neurosci. Res. 1997, 49, 301–308. [Google Scholar] [CrossRef]
- Sutula, T.; Cavazos, J.; Golarai, G. Alteration of longlasting structural and functional effects of kainic acid in the hippocampus by brief treatment with phenobarbital. J. Neurosci. 1992, 12, 4173–4187. [Google Scholar] [CrossRef] [Green Version]
- Fishman, R.H.; Ornoy, A.; Yanai, J. Ultrastructural evidence of long lasting cerebellar degeneration after early exposure to phenobarbital in mice. Exp. Neurol. 1983, 79, 212–222. [Google Scholar] [CrossRef]
- TerzioğluBebitoğlu, B.; Oğuz, E.; Gökçe, A. Effect of valproic acid on oxidative stress parameters of glutamate-induced excitotoxicity in SH-SY5Y cells. Exp. Ther. Med. 2020, 20, 1321–1328. [Google Scholar] [CrossRef] [PubMed]
- Sinn, D.I.; Kim, S.J.; Chu, K. Valproic acid-mediated neuroprotection in intracerebral hemorrhage via histone deacetylase inhibition and transcriptional activation. Neurobiol. Dis. 2007, 26, 464–472. [Google Scholar] [CrossRef] [PubMed]
- Kim, H.J.; Rowe, M.; Ren, M.; Hong, J.S.; Chen, P.S.; Chuang, D.M. Histone deacetylase inhibitors exhibit anti-inflammatory and neuroprotective effects in a rat permanent ischemic model of stroke: Multiple mechanisms of action. J. Pharmacol. Exp. Ther. 2007, 321, 892–901. [Google Scholar] [CrossRef] [PubMed]
- Huang, E.J.; Reichardt, L.F. Neurotrophins: Roles in neuronal development and function. Annu. Rev. Neurosci. 2001, 24, 677–736. [Google Scholar] [CrossRef] [Green Version]
- Venters, H.D.; Dantzer, R.; Kelley, K.W. A new concept in neurodegeneration: TNF alpha is a silencer of survival signals. Trends Neurosci. 2000, 23, 175–180. [Google Scholar] [CrossRef]
- Fitzi-Rathgen, J. The 3Rs and replacement methods—better research, less animal harm. ALTEX-Altern. Anim. Exp. 2019, 36, 671–673. [Google Scholar] [CrossRef]
- Florek-Łuszczki, M.; Wlaź, A.; Zagaja, M.; Andres-Mach, M.; Kondrat-Wrobel, M.W.; Łuszczki, J.J. Effects of WIN 55,212-2 (a synthetic cannabinoid CB1 and CB2 receptor agonist) on the anticonvulsant activity of various novel antiepileptic drugs against 6 Hz-induced psychomotor seizures in mice. Pharmacol. Biochem. Behav. 2015, 130, 53–58. [Google Scholar] [CrossRef]
- Łuszczki, J.J.; Panasiuk, A.; Zagaja, M.; Bojar, H.; Plewa, Z.; Florek-Łuszczki, M. Polygonogram and isobolographic analysis of interactions between various novel antiepileptic drugs in the 6-Hz corneal stimulation-induced seizure model in mice. PLoS ONE 2020, 15, e0234070. [Google Scholar] [CrossRef]
- Luszczki, J.J.; Patrzylas, P.; Zagaja, M.; Andres-Mach, M.; Zaluska, K.; Kondrat-Wrobel, M.W.; Szpringer, M.; Chmielewski, J.; Florek-Luszczki, M. Effects of arachidonyl-2′-chloroethylamide (ACEA) on the protective action of various antiepileptic drugs in the 6-Hz corneal stimulation model in mice. PLoS ONE 2017, 12, e0183873. [Google Scholar] [CrossRef] [Green Version]
- Łukawski, K.; Raszewski, G.; Czuczwar, S.J. Interactions of aliskiren, a direct renin inhibitor, with antiepileptic drugs in the test of maximal electroshock in mice. Eur. J. Pharmacol. 2018, 819, 108–113. [Google Scholar] [CrossRef]
- Litchfield, J.T., Jr.; Wilcoxon, F. A simplified method of evaluating dose-effect experiments. J. Pharmacol. Exp. Ther. 1949, 96, 99–113. [Google Scholar] [PubMed]
- Luszczki, J.J.; Antkiewicz-Michaluk, L.; Czuczwar, S.J. Isobolographic analysis of interactions between 1-methyl-1,2,3,4-tetrahydroisoquinoline and four conventional antiepileptic drugs in the mouse maximal electroshock-induced seizure model. Eur. J. Pharmacol. 2009, 602, 298–305. [Google Scholar] [CrossRef] [PubMed]






| Drug [mg/kg] | Retention Time (s) | Grip Strength (gf) | Motor Coordination Impairment (%) |
|---|---|---|---|
| Vehicle | 180 (115; 180) | 125.8 ± 4.99 | 0 |
| LCM (3.6) | 180 (71; 180) | 120.0 ± 1.25 | 0 |
| LCM (3.6) + UMB (100) | 142 (81; 180) | 112.6 ± 3.86 | 25 |
| LEV (11.9) | 180 (66; 180) | 114.7 ± 4.55 | 0 |
| LEV (11.9) + UMB (100) | 180 (55; 180) | 108.4 ± 7.43 | 25 |
| PB (3.3) | 180 (59; 180) | 122.9 ± 1.87 | 0 |
| PB (3.3) + UMB (100) | 129 (68; 180) | 121.1 ± 3.69 | 0 |
| VPA (74.6) | 171 (49; 180) | 118.0 ± 2.58 | 0 |
| VPA (74.6) + UMB (100) | 180 (51; 180) | 115.1 ± 5.69 | 0 |
Publisher’s Note: MDPI stays neutral with regard to jurisdictional claims in published maps and institutional affiliations. |
© 2022 by the authors. Licensee MDPI, Basel, Switzerland. This article is an open access article distributed under the terms and conditions of the Creative Commons Attribution (CC BY) license (https://creativecommons.org/licenses/by/4.0/).
Share and Cite
Zagaja, M.; Zagaja, A.; Szala-Rycaj, J.; Szewczyk, A.; Lemieszek, M.K.; Raszewski, G.; Andres-Mach, M. Influence of Umbelliferone on the Anticonvulsant and Neuroprotective Activity of Selected Antiepileptic Drugs: An In Vivo and In Vitro Study. Int. J. Mol. Sci. 2022, 23, 3492. https://doi.org/10.3390/ijms23073492
Zagaja M, Zagaja A, Szala-Rycaj J, Szewczyk A, Lemieszek MK, Raszewski G, Andres-Mach M. Influence of Umbelliferone on the Anticonvulsant and Neuroprotective Activity of Selected Antiepileptic Drugs: An In Vivo and In Vitro Study. International Journal of Molecular Sciences. 2022; 23(7):3492. https://doi.org/10.3390/ijms23073492
Chicago/Turabian StyleZagaja, Mirosław, Anna Zagaja, Joanna Szala-Rycaj, Aleksandra Szewczyk, Marta Kinga Lemieszek, Grzegorz Raszewski, and Marta Andres-Mach. 2022. "Influence of Umbelliferone on the Anticonvulsant and Neuroprotective Activity of Selected Antiepileptic Drugs: An In Vivo and In Vitro Study" International Journal of Molecular Sciences 23, no. 7: 3492. https://doi.org/10.3390/ijms23073492
APA StyleZagaja, M., Zagaja, A., Szala-Rycaj, J., Szewczyk, A., Lemieszek, M. K., Raszewski, G., & Andres-Mach, M. (2022). Influence of Umbelliferone on the Anticonvulsant and Neuroprotective Activity of Selected Antiepileptic Drugs: An In Vivo and In Vitro Study. International Journal of Molecular Sciences, 23(7), 3492. https://doi.org/10.3390/ijms23073492

