Dependence of Structural, Morphological and Magnetic Properties of Manganese Ferrite on Ni-Mn Substitution
Abstract
:1. Introduction
2. Results and Discussion
2.1. X-ray Diffraction
2.2. Fourier-Transform Infrared Spectroscopy
2.3. Atomic Force Microscopy
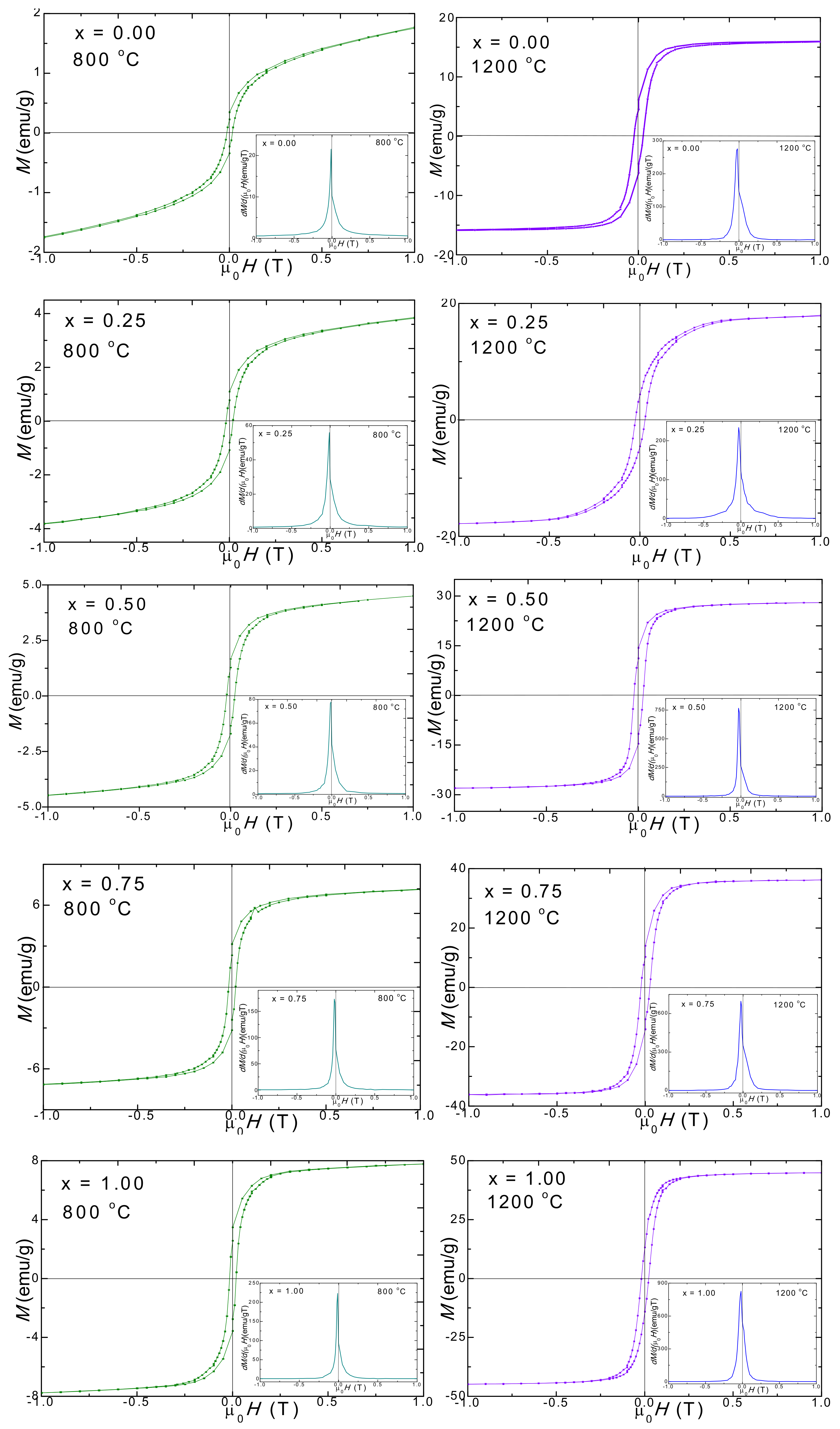
2.4. Magnetic Properties
2.5. Potential Applications
3. Materials and Methods
3.1. Synthesis of NCs
3.2. Characterization of NCs
4. Conclusions
Author Contributions
Funding
Acknowledgments
Conflicts of Interest
References
- Suresh, J.; Trinadh, B.; Babu, B.V.; Reddy, P.V.S.S.S.N.; Mohan, B.S.; Krishna, A.R.; Samatha, K. Evaluation of micro-structural and magnetic properties of nickel nano-ferrite and Mn2+ substituted nickel nano-ferrite. Phys. B Condens. Matter 2021, 620, 413264. [Google Scholar] [CrossRef]
- Airimioaei, M.; Ciomaga, C.E.; Apostolescu, A.; Leonite, L.; Iordan, A.R.; Mitoseriu, L.; Palamaru, M.N. Synthesis and functional properties of the Ni1−xMnxFe2O4 ferrites. J. Alloys Compd. 2011, 509, 8065–8072. [Google Scholar] [CrossRef]
- Bonanni, B.; Cannistraro, S. Gold nanoparticles on modified glass surface as height calibration standard for atomic force microscopy operating in contact and tapping mode. J. Nanotechnol. 2005, 1, 1–14. [Google Scholar]
- Mohamed, W.S.; Hadia, N.M.A.; Al Bakheet, B.; Alzaid, M.; Abu-Dief, A.M. Impact of Cu2+ cations substitution on structural, morphological, optical and magnetic properties of Co1-xCuxFe2O4 nanoparticles synthesized by a facile hydrothermal approach. Solid State Sci. 2022, 125, 106841. [Google Scholar] [CrossRef]
- Abu-Dief, A.M.; Essawy, A.A.; Diab, A.K.; Mohamed, W.S. Facile synthesis and characterization of novel Gd2O3–CdO binary mixed oxide nanocomposites of highly photocatalytic activity for wastewater remediation under solar illumination. J. Phys. Chem. Solids 2021, 148, 109666. [Google Scholar] [CrossRef]
- Salaheldeen, M.; Abu-Dief, A.M.; Martinez-Goyeneche, L.; Alzahrani, S.O.; Alkhatib, F.; Alvarez-Alonso, P.; Blanco, J.A. Dependence of the magnetization process on the thickness of Fe70Pd30 nanostructured thin film. Materials 2020, 13, 5788. [Google Scholar] [CrossRef] [PubMed]
- Mathubala, G.; Manikandan, A.; Arul Antony, S.; Ramar, P. Photocatalytic degradation of methylene blue dye and magnetooptical studies of magnetically recyclable spinel NixMn1-xFe2O4 (x = 0.0-1.0) nanoparticles. J. Mol. Struct. 2016, 113, 79–87. [Google Scholar] [CrossRef]
- Köseoğlu, Y. Structural, magnetic, electrical and dielectric properties of MnxNi1-xFe2O4 spinel nanoferrites prepared by PEG assisted hydrothermal method. Ceram. Int. 2013, 39, 4221–4230. [Google Scholar] [CrossRef]
- Marinca, T.F.; Chicinaș, I.; Isnard, O.; Neamțu, B.V. Nanocrystalline/nanosized manganese substituted nickel ferrites—Ni1-xMnxFe2O4 obtained by ceramic-mechanical milling route. Ceram. Int. 2016, 42, 4754–4763. [Google Scholar] [CrossRef]
- Shobana, M.K.; Sankar, S. Structural, thermal and magnetic properties of Ni1-xMnxFe2O4 nanoferrites. J. Magn. Magn. Mater. 2009, 321, 2125–2128. [Google Scholar] [CrossRef]
- Abdallah, H.M.I.; Moyo, T. Superparamagnetic behavior of MnxNi1-xFe2O4 spinel nanoferrites. J. Magn. Magn. Mater. 2014, 361, 170–174. [Google Scholar] [CrossRef]
- Maaz, K.; Duan, J.L.; Karim, S.; Chen, Y.H.; Zhai, P.F.; Xu, L.J.; Yao, H.J.; Liu, J. Fabrication and size dependent magnetic studies of NixMn1-xFe2O4 (x = 02) cubic nanoplates. J. Alloys Compd. 2016, 684, 656–662. [Google Scholar] [CrossRef]
- Mohamed, W.S.; Abu-Dief, A.M. Impact of rare earth europium (RE-Eu3+) ions substitution on microstructural, optical and magnetic properties of CoFe2−xEuxO4 nanosystems. Ceram. Int. 2020, 46, 16196–16209. [Google Scholar] [CrossRef]
- Mohamed, W.S.; Alzaid, M.; Abdelbaky, S.M.; Amghouz, Z.; Garcia-Granda, S.; Abu-Dief, A.M. Impact of Co2+ substitution on microstructure and magnetic properties of CoxZn1-xFe2O4 nanoparticles. Nanomaterials 2019, 9, 1602. [Google Scholar] [CrossRef] [Green Version]
- Sudakshina, B.; Suneesh, M.V.; Arun, B.; Chandrasekhar, K.; Vasundhara, M. Effects of Cr, Co, Ni substitution at Mn-site on structural, magnetic properties and critical behaviour in Nd0.67Ba0.33MnO3 mixed-valent manganite. J. Magn. Magn. Mater. 2022, 548, 168980. [Google Scholar] [CrossRef]
- Siakavelas, G.I.; Charisiou, N.D.; AlKhoori, A.; Sebastian, V.; Hinder, S.J.; Baker, M.A.; Yentekakis, I.V.; Polychronopoulou, K.; Goula, M.A. Cerium oxide catalysts for oxidative coupling of methane reaction: Effect of lithium, samarium and lanthanum dopants. J. Environ. Chem. Eng. 2022, 10, 107259. [Google Scholar] [CrossRef]
- Yang, Y.; Li, J.; Zhang, H.; Li, J.; Xu, F.; Wang, G.; Gao, F.; Su, H. Nb5+ ion substitution assisted the magnetic and gyromagnetic properties of NiCuZn ferrite for high frequency LTCC devices. Ceram. Int. 2022, in press. [Google Scholar] [CrossRef]
- Junaid, M.; Oazafi, I.A.; Khan, M.A.; Gulbadan, S.; Ilyas, S.Z.; Somaily, H.H.; Attia, M.S.; Amin, M.A.; Noor, H.M.; Asghar, H.M.N.H.K. The influence of Zr and Ni co-substitution on structural, dielectric and magnetic traits of lithium spinel ferrites. Ceram. Int. 2022, in press. [Google Scholar] [CrossRef]
- Dippong, T.; Levei, E.A.; Cadar, O. Recent advances in synthesis and applications of MFe2O4 (M= Co, Cu, Mn, Ni, Zn) nanoparticles. Nanomaterials 2021, 11, 1560. [Google Scholar] [CrossRef] [PubMed]
- Barvinschi, P.; Stefanescu, O.; Dippong, T.; Sorescu, S.; Stefanescu, M. CoFe2O4/SiO2 nanocomposites by thermal decomposition of some complex combinations embedded in hybrid silica gels. J. Therm. Anal. Calorim. 2013, 112, 447–453. [Google Scholar] [CrossRef]
- Joint Committee on Powder Diffraction Standards. Powder Diffraction File; International Center for Diffraction Data: Swarthmore, PA, USA, 1999. [Google Scholar]
- Jesudoss, S.K.; Judith Vijaya, J.; John Kennedy, L.; Iyyappa Rajana, P.; Al-Lohedan, A.H.; Jothi Ramalingam, R.; Kaviyarasu, K.; Bououdina, M. Studies on the efficient dual performance of Mn1–xNixFe2O4 spinel nanoparticles in photodegradation and antibacterial activity. J. Photochem. Photobiol. B Biol. 2016, 165, 121–132. [Google Scholar] [CrossRef]
- Nizam, M.M.N.; Khan, S. Structural, electrical and optical properties of sol-gel synthesized cobalt substituted MnFe2O4 nanoparticles. Phys. B 2017, 520, 21–27. [Google Scholar]
- Aparna, M.L.; Nirmala Grace, A.; Sathyanarayanan, P.; Sahu, N.K. A comparative study on the supercapacitive behaviour of solvothermally prepared metal ferrite (MFe2O4, M=Fe, Co, Ni, Mn, Cu, Zn) nanoassemblies. J. Alloys Compd. 2018, 745, 385–395. [Google Scholar] [CrossRef]
- El Mendili, Y.; Bardeau, J.F.; Randrianantoandro, N.; Greneche, J.M.; Grasset, F. Structural behavior of laser-irradiated γ-Fe2O3 nanocrystals dispersed in porous silica matrix: γ-Fe2O3 to α-Fe2O3 phase transition and formation of ε-Fe2O3. Sci. Technol. Adv. Mater. 2016, 17, 597–609. [Google Scholar] [CrossRef] [PubMed] [Green Version]
- Hussain, A.; Abbas, T.; Niazi, S.B. Preparation of Ni1-xMnxFe2O4 ferrites by sol–gel method and study of their cation distribution. Ceram. Int. 2013, 39, 1221–1225. [Google Scholar] [CrossRef]
- Dippong, T.; Deac, I.G.; Cadar, O.; Levei, E.A.; Petean, I. Impact of Cu2+ substitution by Co2+ on the structural and magnetic properties of CuFe2O4 synthesized by sol-gel route. Mater. Charact. 2020, 163, 110248. [Google Scholar] [CrossRef]
- Fanga, P.P.; Buriez, O.; Labbé, E.; Tian, Z.Q.; Amatore, C. Electrochemistry at gold nanoparticles deposited on dendrimers assemblies adsorbed onto gold and platinum surfaces. J. Electroanal. Chem. 2011, 659, 76–82. [Google Scholar] [CrossRef]
- Ur. Rahman Awana, F.; Keshavarz, A.; Azhar, M.R.; Akhondzadeh, H.; Ali, M.; Al-Yaseri, A.; Abid, H.R.; Iglauer, S. Adsorption of nanoparticles on glass bead surface for enhancing proppant performance: A systematic experimental study. J. Mol. Liq. 2021, 328, 115398. [Google Scholar] [CrossRef]
- Fokin, N.; Grothe, T.; Mamun, A.; Trabelsi, M.; Klöcker, M.; Sabantina, L.; Döpke, C.; Blachowicz, T.; Hütten, A.; Ehrmann, A. Magnetic properties of electrospun magnetic nanofiber mats after stabilization and carbonization. Materials 2020, 13, 1552. [Google Scholar] [CrossRef] [Green Version]
- Anchieta, C.G.; Cancelier, A.; Mazutti, M.A.; Jahn, S.L.; Kuhn, R.C.; Gündel, A.; Chiavone-Filho, O.; Foletto, E.L. Effects of solvent diols on the synthesis of ZnFe2O4 particles and their use as heterogeneous photo-fenton catalysts. Materials 2014, 7, 6281–6290. [Google Scholar] [CrossRef] [PubMed]
- Januskevicius, J.; Stankeviciute, Z.; Baltrunas, D.; Mažeika, K.; Beganskiene, A.; Kareiva, A. Aqueous sol-gel synthesis of different iron ferrites: From 3D to 2D. Materials 2021, 14, 1554. [Google Scholar] [CrossRef]
- Van Cutsem, E.; Verheul, H.M.W.; Flamen, P.; Rougier, P.; Beets-Tan, R.; Glynne-Jones, R.; Seufferlein, T. Imaging in colorectal cancer: Progress and challenges for the clinicians. Cancers 2016, 31, 81. [Google Scholar] [CrossRef] [Green Version]
- Enuka, E.; Monne, M.A.; Lan, X.; Gambin, V.; Koltun, R.; Chen, M.Y. 3D inkjet printing of ferrite nanomaterial thin films for magneto-optical devices. In Quantum Sensing and Nano Electronics and Photonics XVII; International Society for Optics and Photonics: Bellingham, WA, USA, 2020. [Google Scholar] [CrossRef]
- Díez-Villares, S.; Ramos-Docampo, M.A.; da Silva-Candal, A.; Hervella, P.; Vázquez-Ríos, A.J.; Dávila-Ibáñez, A.B.; López-López, R.; Iglesias-Rey, V.; Salgueiriño, M.; Manganese, M. Ferrite nanoparticles encapsulated into vitamin e/sphingomyelin nanoemulsions as contrast agents for high-sensitive magnetic resonance imaging. Adv. Healthc. Mater. 2021, 10, 2101019. [Google Scholar] [CrossRef] [PubMed]
- Yang, L.; Ma, L.; Xin, J.; Li, A.; Sun, C.; Wei, R.; Ren, B.W.; Chen, Z.; Lin, H.; Gao, J. Composition tunable manganese ferrite nanoparticles for optimized T2 contrast ability. Chem. Mater. 2017, 29, 3038–3047. [Google Scholar] [CrossRef]
- Tong, S.-K.; Chi, P.-W.; Kung, S.H.; Wei, D.H. Tuning bandgap and surface wettability of NiFe2O4 driven by phase transition. Sci. Rep. 2018, 8, 1338. [Google Scholar] [CrossRef] [Green Version]
- Ashiq, N.M.; Ehsan, M.F.; Iqbal, M.J.; Gul, I.H. Synthesis, structural and electrical characterization of Sb3+ substituted spinel nickel ferrite (NiSbxFe2−xO4) nanoparticles by reverse micelle technique. J. Alloys Compd. 2011, 509, 5119–5126. [Google Scholar] [CrossRef]
- Hu, J.; Qin, H.; Wang, Y.; Wang, Z.; Zhang, S. Magnetic properties and magnetoresistance effect of Ni1−xMnxFe2O4 sintered ferrites. Solid State Commun. 2000, 115, 233–235. [Google Scholar] [CrossRef]
- Sánchez, J.; Cortés-Hernández, D.A.; Escobedo-Bocardo, J.C.; Jasso-Terán, R.A.; Zugasti-Cruz, A. Bioactive magnetic nanopar-ticles of Fe–Ga synthesized by sol–gel for their potential use in hyperthermia treatment. J. Mater. Sci. Mater. Med. 2014, 25, 2237–2242. [Google Scholar] [CrossRef] [PubMed]
- Al-Qubaisi, M.S.; Rasedee, A.; Flaifel, M.H.; Ahmad, S.H.; Hussein-Al-Ali, S.; Hussein, M.Z.; Eid, E.E.; Zainal, Z.; Saeed, M.; Ilowefah, M.; et al. Cytotoxicity of nickel zinc ferrite nanoparticles on cancer cells of epithelial origin. Int. J. Nanomed. 2013, 8, 2497–2508. [Google Scholar] [CrossRef] [PubMed] [Green Version]
- Pazik, R.; Zachanowicz, E.; Pozniak, B.; Małecka, M.; Ziecina, A.; Marciniak, L. Non-contact Mn1-xNixFe2O4 ferrite nano-heaters for biological applications–heat energy generated by NIR irradiation. RSC Adv. 2017, 7, 18162. [Google Scholar] [CrossRef] [Green Version]
- Pu, Y.; Tao, X.; Zeng, X.; Le, Y.; Chen, J.F. Synthesis of Co–Cu–Zn doped Fe3O4 nanoparticles with tunable morphology and magnetic properties. J. Magn. Magn. Mater. 2020, 322, 1985–1990. [Google Scholar] [CrossRef]
- Bacon, B.R.; Stark, D.D.; Park, C.H.; Saini, S.; Groman, E.V.; Hahn, P.F.; Compton, C.C.; Ferrucci, J.T., Jr. Ferrite particles: A new magnetic resonance imaging contrast agent. Lack of acute or chronic hepatotoxicity after intravenous administration. J. Lab. Clin. Med. 1987, 110, 164–171. [Google Scholar]
- Ravichandran, M.; Velumani, S. Manganese ferrite nanocubes as an MRI contrast agent. Mater. Res. Express 2020, 7, 016107. [Google Scholar] [CrossRef] [Green Version]





| NC | Temperature, °C | Crystallite Size, nm | Lattice Parameter, Å | Volume, Å3 | X-ray Density, g·cm−3 | Hopping Length in A, Å | Hopping Length in B, Å |
|---|---|---|---|---|---|---|---|
| x = 0.00 | 400 | 6 | 8.465 | 606.6 | 5.050 | 3.665 | 2.993 |
| 800 | 10 | 8.472 | 608.1 | 5.037 | 3.668 | 2.995 | |
| 1200 | 23 | 8.485 | 610.9 | 5.014 | 3.674 | 2.999 | |
| x = 0.25 | 400 | 8 | 8.441 | 601.4 | 5.114 | 3.655 | 2.984 |
| 800 | 13 | 8.448 | 602.9 | 5.101 | 3.658 | 2.987 | |
| 1200 | 27 | 8.459 | 605.3 | 5.081 | 3.663 | 2.991 | |
| x = 0.50 | 400 | 10 | 8.432 | 599.5 | 5.151 | 3.651 | 2.981 |
| 800 | 17 | 8.437 | 600.6 | 5.142 | 3.653 | 2.983 | |
| 1200 | 30 | 8.443 | 601.9 | 5.131 | 3.656 | 2.985 | |
| x = 0.75 | 400 | 12 | 8.416 | 596.1 | 5.202 | 3.644 | 2.976 |
| 800 | 21 | 8.423 | 597.6 | 5.189 | 3.647 | 2.978 | |
| 1200 | 37 | 8.427 | 598.4 | 5.182 | 3.649 | 2.979 | |
| x = 1.00 | 400 | 14 | 8.402 | 593.1 | 5.249 | 3.638 | 2.971 |
| 800 | 26 | 8.409 | 594.6 | 5.236 | 3.641 | 2.973 | |
| 1200 | 46 | 8.412 | 595.2 | 5.230 | 3.643 | 2.974 |
| NC’s | Temperature, °C | Height, nm | Rq Roughness, nm | Average Particle Size, nm |
|---|---|---|---|---|
| x = 0.00 | 400 | 19 | 1.15 | 18 |
| 800 | 16 | 1.44 | 24 | |
| 1200 | 9 | 0.87 | 30 | |
| x = 0.25 | 400 | 16 | 1.16 | 16 |
| 800 | 18 | 1.19 | 20 | |
| 1200 | 15 | 1.24 | 35 | |
| x = 0.50 | 400 | 14 | 1.08 | 18 |
| 800 | 12 | 0.93 | 25 | |
| 1200 | 39 | 4.17 | 40 | |
| x = 0.75 | 400 | 12 | 1.05 | 20 |
| 800 | 12 | 1.09 | 30 | |
| 1200 | 19 | 1.97 | 60 | |
| x = 1.00 | 400 | 11 | 1.08 | 22 |
| 800 | 16 | 1.07 | 30 | |
| 1200 | 9 | 0.92 | 58 |
| NC | Temperature, °C | MS, emu/g | MR, emu/g | HC, Oe | S | nB | K, erg/dm3 |
|---|---|---|---|---|---|---|---|
| x = 0.00 | 800 | 4.7 | 0.3 | 200 | 0.064 | 0.194 | 0.590 |
| 1200 | 16.4 | 4.2 | 260 | 0.246 | 0.677 | 2.678 | |
| x = 0.25 | 800 | 6.8 | 1.1 | 190 | 0.162 | 0.282 | 0.811 |
| 1200 | 22.4 | 5.8 | 250 | 0.259 | 0.929 | 3.517 | |
| x = 0.50 | 800 | 7.8 | 1.7 | 183 | 0.218 | 0.325 | 0.896 |
| 1200 | 29.6 | 13.5 | 240 | 0.456 | 1.232 | 4.461 | |
| x = 0.75 | 800 | 9.1 | 2.8 | 175 | 0.308 | 0.380 | 1.000 |
| 1200 | 37.5 | 14.6 | 220 | 0.389 | 1.567 | 5.181 | |
| x = 1.00 | 800 | 10.2 | 3.4 | 166 | 0.333 | 0.428 | 1.063 |
| 1200 | 45.7 | 16.1 | 185 | 0.357 | 1.918 | 5.310 |
Publisher’s Note: MDPI stays neutral with regard to jurisdictional claims in published maps and institutional affiliations. |
© 2022 by the authors. Licensee MDPI, Basel, Switzerland. This article is an open access article distributed under the terms and conditions of the Creative Commons Attribution (CC BY) license (https://creativecommons.org/licenses/by/4.0/).
Share and Cite
Dippong, T.; Levei, E.A.; Deac, I.G.; Petean, I.; Cadar, O. Dependence of Structural, Morphological and Magnetic Properties of Manganese Ferrite on Ni-Mn Substitution. Int. J. Mol. Sci. 2022, 23, 3097. https://doi.org/10.3390/ijms23063097
Dippong T, Levei EA, Deac IG, Petean I, Cadar O. Dependence of Structural, Morphological and Magnetic Properties of Manganese Ferrite on Ni-Mn Substitution. International Journal of Molecular Sciences. 2022; 23(6):3097. https://doi.org/10.3390/ijms23063097
Chicago/Turabian StyleDippong, Thomas, Erika Andrea Levei, Iosif Grigore Deac, Ioan Petean, and Oana Cadar. 2022. "Dependence of Structural, Morphological and Magnetic Properties of Manganese Ferrite on Ni-Mn Substitution" International Journal of Molecular Sciences 23, no. 6: 3097. https://doi.org/10.3390/ijms23063097
APA StyleDippong, T., Levei, E. A., Deac, I. G., Petean, I., & Cadar, O. (2022). Dependence of Structural, Morphological and Magnetic Properties of Manganese Ferrite on Ni-Mn Substitution. International Journal of Molecular Sciences, 23(6), 3097. https://doi.org/10.3390/ijms23063097

