Overexpression of miR-375 and L-type Amino Acid Transporter 1 in Pheochromocytoma and Their Molecular and Functional Implications
Abstract
1. Introduction
2. Results
2.1. L-Type Amino Acid Transporter Expression, Secretory Profile and 18F-DOPA-PET
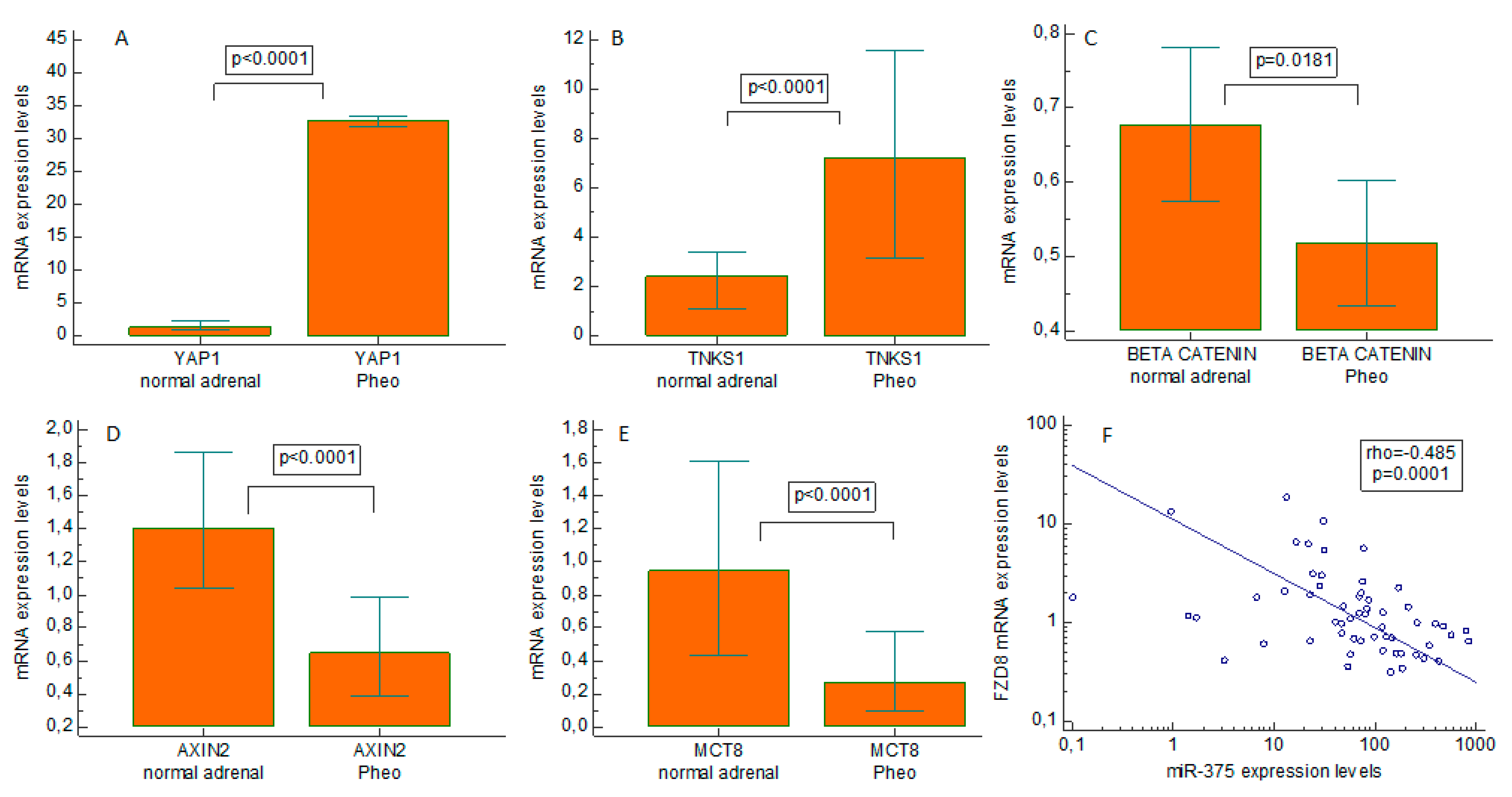
2.2. MiR-375 and Downstream Gene Targets
3. Discussion
4. Materials and Methods
4.1. Patients
4.2. 18F-DOPA-PET/CT Imaging Protocol
4.3. Germinal Mutation Screening by Direct Sequencing
4.4. RNA Extraction
4.5. miRNA Quantitative Real-Time Polymerase Chain Reaction
4.6. qRT-PCR
4.7. Statistical Analysis
Author Contributions
Funding
Informed Consent Statement
Data Availability Statement
Acknowledgments
Conflicts of Interest
References
- Lenders, J.W.M.; Duh, Q.-Y.; Eisenhofer, G.; Gimenez-Roqueplo, A.-P.; Grebe, S.K.G.; Murad, M.H.; Naruse, M.; Pacak, K.; Young, W.F., Jr. Pheochromocytoma and Paraganglioma: An Endocrine Society Clinical Practice Guideline. J. Clin. Endocrinol. Metab. 2014, 99, 1915–1942. [Google Scholar] [CrossRef] [PubMed]
- Buffet, A.; Venisse, A.; Nau, V.; Roncellin, I.; Boccio, V.; Le Pottier, N.; Boussion, M.; Travers, C.; Simian, C.; Burnichon, N.; et al. A Decade (2001–2010) of Genetic Testing for Pheochromocytoma and Paraganglioma. Horm. Metab. Res. 2012, 44, 359–366. [Google Scholar] [CrossRef] [PubMed]
- Lenders, J.W.M.; Pacak, K.; Walther, M.M.; Linehan, W.M.; Mannelli, M.; Friberg, P.; Keiser, H.R.; Goldstein, D.S.; Eisenhofer, G. Biochemical Diagnosis of Pheochromocytoma. JAMA 2002, 287, 1427–1434. [Google Scholar] [CrossRef] [PubMed]
- Perry, C.G.; Sawka, A.M.; Singh, R.; Thabane, L.; Bajnarek, J.; Young, W.F. The diagnostic efficacy of urinary fractionated metanephrines measured by tandem mass spectrometry in detection of pheochromocytoma. Clin. Endocrinol. 2007, 66, 703–708. [Google Scholar] [CrossRef] [PubMed]
- Santhanam, P.; Taïeb, D. Role of18F-FDOPA PET/CT imaging in endocrinology. Clin. Endocrinol. 2014, 81, 789–798. [Google Scholar] [CrossRef] [PubMed]
- Han, S.; Suh, C.H.; Woo, S.; Kim, Y.J.; Lee, J.J. Performance of 68Ga-DOTA–Conjugated Somatostatin Receptor–Targeting Peptide PET in Detection of Pheochromocytoma and Paraganglioma: A Systematic Review and Metaanalysis. J. Nucl. Med. 2018, 60, 369–376. [Google Scholar] [CrossRef]
- Amodru, V.; Guerin, C.; Delcourt, S.; Romanet, P.; Loundou, A.; Viana, B.; Brue, T.; Castinetti, F.; Sebag, F.; Pacak, K.; et al. Quantitative 18F-DOPA PET/CT in pheochromocytoma: The relationship between tumor secretion and its biochemical phenotype. Eur. J. Pediatr. 2017, 45, 278–282. [Google Scholar] [CrossRef] [PubMed]
- Pearse, A.G.E. The cytochemistry and ultrastructure of polypeptide hormone-producing cells of the apud series and the embryologic, physiologic and pathologic implications of the concept. J. Histochem. Cytochem. 1969, 17, 303–313. [Google Scholar] [CrossRef] [PubMed]
- Luxen, A.; Guillaume, M.; Melega, W.; Pike, V.; Solin, O.; Wagner, R. Production of 6-[18F]fluoro-l-DOPA and its metabolism in vivo—A critical review. Int. J. Radiat. Appl. Instrumentation. Part B Nucl. Med. Biol. 1992, 19, 149–158. [Google Scholar] [CrossRef]
- Barollo, S.; Bertazza, L.; Fernando, S.W.; Censi, S.; Cavedon, E.; Galuppini, F.; Pennelli, G.; Fassina, A.; Citton, M.; Rubin, B.; et al. Overexpression of L-Type Amino Acid Transporter 1 (LAT1) and 2 (LAT2): Novel Markers of Neuroendocrine Tumors. PLoS ONE 2016, 11, e0156044. [Google Scholar] [CrossRef] [PubMed][Green Version]
- Fiebrich, H.-B.; Brouwers, A.H.; Kerstens, M.N.; Pijl, M.E.J.; Kema, I.P.; De Jong, J.R.; Jager, P.L.; Elsinga, P.H.; Dierckx, R.A.J.O.; Van Der Wal, J.E.; et al. 6-[F-18]Fluoro-l-Dihydroxyphenylalanine Positron Emission Tomography Is Superior to Conventional Imaging with 123I-Metaiodobenzylguanidine Scintigraphy, Computer Tomography, and Magnetic Resonance Imaging in Localizing Tumors Causing Catecholamine Excess. J. Clin. Endocrinol. Metab. 2009, 94, 3922–3930. [Google Scholar] [CrossRef] [PubMed]
- Peschansky, V.; Wahlestedt, C. Non-coding RNAs as direct and indirect modulators of epigenetic regulation. Epigenetics 2013, 9, 3–12. [Google Scholar] [CrossRef] [PubMed]
- Croce, C.M. Causes and consequences of microRNA dysregulation in cancer. Nat. Rev. Genet. 2009, 10, 704–714. [Google Scholar] [CrossRef]
- Pallante, P.; Visone, R.; Croce, C.M.; Fusco, A. Deregulation of microRNA expression in follicular cell-derived human thyroid carcinomas. Endocr.-Relat. Cancer 2010, 17, F91–F104. [Google Scholar] [CrossRef] [PubMed]
- Meyer-Rochow, G.Y.; Jackson, N.E.; Conaglen, J.V.; Whittle, D.E.; Kunnimalaiyaan, M.; Chen, H.; Westin, G.; Sandgren, J.; Stålberg, P.; Khanafshar, E.; et al. MicroRNA profiling of benign and malignant pheochromocytomas identifies novel diagnostic and therapeutic targets. Endocr.-Relat. Cancer 2010, 17, 835–846. [Google Scholar] [CrossRef] [PubMed]
- Patterson, E.; Webb, R.; Weisbrod, A.; Bian, B.; He, M.; Zhang, L.; Holloway, A.K.; Krishna, R.; Nilubol, N.; Pacak, K.; et al. The microRNA expression changes associated with malignancy and SDHB mutation in pheochromocytoma. Endocr.-Relat. Cancer 2012, 19, 157–166. [Google Scholar] [CrossRef]
- Tömböl, Z.; Éder, K.; Kovács, A.; Szabó, P.M.; Kulka, J.; Likó, I.; Zalatnai, A.; Rácz, G.; Tóth, M.; Patócs, A.; et al. MicroRNA expression profiling in benign (sporadic and hereditary) and recurring adrenal pheochromocytomas. Mod. Pathol. 2010, 23, 1583–1595. [Google Scholar] [CrossRef] [PubMed]
- de Cubas, A.A.; Leandro-Garcia, L.J.; Schiavi, F.; Mancikova, V.; Comino-Mendez, I.; Inglada-Perez, L.; Perez-Martinez, M.; Ibarz, N.; Ximenez-Embun, P.; Lopez-Jimenez, E.; et al. Integrative analysis of miRNA and mRNA expression profiles in pheochromocytoma and paraganglioma identifies genotype-specific markers and potentially regulated pathways. Endocr.-Relat. Cancer 2013, 20, 477–493. [Google Scholar] [CrossRef] [PubMed]
- Hudson, J.; Duncavage, E.; Tamburrino, A.; Salerno, P.; Xi, L.; Raffeld, M.; Moley, J.; Chernock, R.D. Overexpression of miR-10a and miR-375 and downregulation of YAP1 in medullary thyroid carcinoma. Exp. Mol. Pathol. 2013, 95, 62–67. [Google Scholar] [CrossRef] [PubMed]
- Galuppini, F.; Bertazza, L.; Barollo, S.; Cavedon, E.; Rugge, M.; Guzzardo, V.; Sacchi, D.; Watutantrige-Fernando, S.; Vianello, F.; Mian, C.; et al. MiR-375 and YAP1 expression profiling in medullary thyroid carcinoma and their correlation with clinical–pathological features and outcome. Virchows Arch. 2017, 471, 651–658. [Google Scholar] [CrossRef]
- Censi, S.; Bertazza, L.; Piva, I.; Manso, J.; Benna, C.; Iacobone, M.; Mondin, A.; Plebani, M.; Faggian, D.; Galuppini, F.; et al. Serum miR-375 for Diagnostic and Prognostic Purposes in Medullary Thyroid Carcinoma. Front. Endocrinol. 2021, 12. [Google Scholar] [CrossRef]
- He, J.; Cao, Y.; Su, T.; Jiang, Y.; Jiang, L.; Zhou, W.; Zhang, C.; Wang, W.; Ning, G. Downregulation of miR-375 in aldosterone-producing adenomas promotes tumour cell growth via MTDH. Clin. Endocrinol. 2015, 83, 581–589. [Google Scholar] [CrossRef]
- Feral, C.; Tissot, F.; Tosello, L.; Fakhry, N.; Sebag, F.; Pacak, K.; Taïeb, D. 18F-fluorodihydroxyphenylalanine PET/CT in pheochromocytoma and paraganglioma: Relation to genotype and amino acid transport system L. Eur. J. Pediatr. 2016, 44, 812–821. [Google Scholar] [CrossRef] [PubMed]
- Goldstein, M.; Fuxe, K.; Hökfelt, T. Characterization and tissue localization of catecholamine synthesizing enzymes. Pharmacol. Rev. 1972, 24, 293–309. [Google Scholar] [PubMed]
- Fishbein, L.; Wilkerson, M.D. Chromaffin cell biology: Inferences from The Cancer Genome Atlas. Cell Tissue Res. 2018, 372, 339–346. [Google Scholar] [CrossRef]
- Eisenhofer, G.; Lenders, J.W.; Goldstein, D.S.; Mannelli, M.; Csako, G.; Walther, M.M.; Brouwers, F.M.; Pacak, K. Pheochromocytoma Catecholamine Phenotypes and Prediction of Tumor Size and Location by Use of Plasma Free Metanephrines. Clin. Chem. 2005, 51, 735–744. [Google Scholar] [CrossRef] [PubMed]
- Tsang, V.H.M.; Dwight, T.; Benn, D.E.; Meyer-Rochow, G.Y.; Gill, A.J.; Sywak, M.; Sidhu, S.; Veivers, D.; Sue, C.M.; Robinson, B.G.; et al. Overexpression of miR-210 is associated with SDH-related pheochromocytomas, paragangliomas, and gastrointestinal stromal tumours. Endocr.-Relat. Cancer 2014, 21, 415–426. [Google Scholar] [CrossRef]
- Fishbein, L.; Leshchiner, I.; Walter, V.; Danilova, L.; Robertson, A.G.; Johnson, A.R.; Lichtenberg, T.M.; Murray, B.A.; Ghayee, H.K.; Else, T.; et al. Comprehensive Molecular Characterization of Pheochromocytoma and Paraganglioma. Cancer Cell 2017, 31, 181–193. [Google Scholar] [CrossRef]
- Miao, C.-G.; Shi, W.-J.; Xiong, Y.-Y.; Yu, H.; Zhang, X.-L.; Qin, M.-S.; Du, C.-L.; Song, T.-W.; Li, J. miR-375 regulates the canonical Wnt pathway through FZD8 silencing in arthritis synovial fibroblasts. Immunol. Lett. 2015, 164, 1–10. [Google Scholar] [CrossRef] [PubMed]
- Yang, Q.; Wang, Y.; Pan, X.; Ye, J.; Gan, S.; Qu, F.; Chen, L.; Chu, C.; Gao, Y.; Cui, X. Frizzled 8 promotes the cell proliferation and metastasis of renal cell carcinoma. Oncotarget 2017, 8, 78989–79002. [Google Scholar] [CrossRef] [PubMed]
- Park, H.-B.; Kim, J.-W.; Baek, K.-H. Regulation of Wnt Signaling through Ubiquitination and Deubiquitination in Cancers. Int. J. Mol. Sci. 2020, 21, 3904. [Google Scholar] [CrossRef]
- Tu, B.; Yao, J.; Ferri-Borgogno, S.; Zhao, J.; Chen, S.; Wang, Q.; Yan, L.; Zhou, X.; Zhu, C.; Bang, S.; et al. YAP1 oncogene is a context-specific driver for pancreatic ductal adenocarcinoma. JCI Insight 2019, 4, e130811. [Google Scholar] [CrossRef]
- Nishikawa, E.; Osada, H.; Okazaki, Y.; Arima, C.; Tomida, S.; Tatematsu, Y.; Taguchi, A.; Shimada, Y.; Yanagisawa, K.; Yatabe, Y.; et al. miR-375 Is Activated by ASH1 and Inhibits YAP1 in a Lineage-Dependent Manner in Lung Cancer. Cancer Res. 2011, 71, 6165–6173. [Google Scholar] [CrossRef]
- Wang, H.; Lu, B.; Castillo, J.; Zhang, Y.; Yang, Z.; McAllister, G.; Lindeman, A.; Reece-Hoyes, J.; Tallarico, J.; Russ, C.; et al. Tankyrase Inhibitor Sensitizes Lung Cancer Cells to Endothelial Growth Factor Receptor (EGFR) Inhibition via Stabilizing Angiomotins and Inhibiting YAP Signaling. J. Biol. Chem. 2016, 291, 15256–15266. [Google Scholar] [CrossRef]
- Wang, W.; Huang, J.; Chen, J. Angiomotin-like Proteins Associate with and Negatively Regulate YAP1. J. Biol. Chem. 2011, 286, 4364–4370. [Google Scholar] [CrossRef] [PubMed]
- Wang, W.; Li, N.; Li, X.; Tran, M.K.; Han, X.; Chen, J. Tankyrase Inhibitors Target YAP by Stabilizing Angiomotin Family Proteins. Cell Rep. 2015, 13, 524–532. [Google Scholar] [CrossRef] [PubMed]
- Perra, A.; Plateroti, M.; Columbano, A. T3/TRs axis in hepatocellular carcinoma: New concepts for an old pair. Endocr.-Relat. Cancer 2016, 23, R353–R369. [Google Scholar] [CrossRef][Green Version]
- Aranda, A.; Martínez-Iglesias, O.; Ruiz, L.; García-Carpizo, V.; Zambrano, A. Thyroid receptor: Roles in cancer. Trends Endocrinol. Metab. 2009, 20, 318–324. [Google Scholar] [CrossRef]
- Sancho, J.M.G. Thyroid hormone receptors/THR genes in human cancer. Cancer Lett. 2003, 192, 121–132. [Google Scholar] [CrossRef]
- Martinez-Iglesias, O.; Garcia-Silva, S.; Regadera, J.; Aranda, A. Hypothyroidism Enhances Tumor Invasiveness and Metastasis Development. PLoS ONE 2009, 4, e6428. [Google Scholar] [CrossRef]
- Romeo, P.; Colombo, C.; Granata, R.; Calareso, G.; Gualeni, A.V.; Dugo, M.; de Cecco, L.; Rizzetti, M.G.; Zanframundo, A.; Aiello, A.; et al. Circulating miR-375 as a novel prognostic marker for metastatic medullary thyroid cancer patients. Endocr.-Relat. Cancer 2018, 25, 217–231. [Google Scholar] [CrossRef] [PubMed]
- Mian, C.; Barollo, S.; Pennelli, G.; Pavan, N.; Rugge, M.; Pelizzo, M.R.; Mazzarotto, R.; Casara, D.; Nacamulli, D.; Mantero, F.; et al. Molecular characteristics in papillary thyroid cancers (PTCs) with no131I uptake. Clin. Endocrinol. 2007, 68, 108–116. [Google Scholar] [CrossRef] [PubMed]





| Descriptive Characteristics of Patients with Pheochromocytoma | ||
|---|---|---|
| N = 58 | % | |
| Age at diagnosis (mean ± SD) | 54 years old ± 13 | |
| Sex | ||
| M | 21 | 36 |
| F | 37 | 64 |
| Median follow-up (median; [IQR]) | 45 months (23–80) | |
| Tumor size (median; [IQR]) | 40 mm (32–52) | |
| Biological behavior | ||
| Benign | 55 | 95 |
| Malignant | 3 | 5 |
| Histological capsular infiltration | ||
| Present | 9 | 16 |
| Histological vascular invasion | ||
| Present | 8 | 14 |
| Biochemical characterization | ||
| 24-h urinary epinephrine (median; [IQR]) | 119 nmol (35–279) | |
| 24-h urinary norepinephrine (median; [IQR]) | 981 nmol (367–2777) | |
| 24-h urinary metanephrine (median; [IQR]) | 1.46 umol (0.36–4.37) | |
| 24-h urinary normetanephrine (median; [IQR]) | 4.12 umol (1.46–7.78) | |
| 24-h urinary normetanephrine/metanephrine ratio (median; [IQR]) | 2.0 (0.6–19] | |
| Genetic background | ||
| Sporadic | 43 | 74 |
| Familial | 15 | 26 |
| Positive germline mutation | ||
| RET | 7 | 12 |
| NF-1 | 2 | 3 |
| SDHB | 1 | 2 |
| SDHC | 1 | 2 |
| SDHD | 2 | 3 |
| VHL | 1 | 2 |
| 18F-DOPA-PETSUV max. (median; [IQR]) | 13 (8–23) * | 12 |
| 18F-DOPA-PET SUV mean (median; [IQR]) | 8 (6–13) * | 3 |
| Outcome at last follow-up | ||
| Remission | 56 | 97 |
| Cancer-related death | 2 | 3 |
Publisher’s Note: MDPI stays neutral with regard to jurisdictional claims in published maps and institutional affiliations. |
© 2022 by the authors. Licensee MDPI, Basel, Switzerland. This article is an open access article distributed under the terms and conditions of the Creative Commons Attribution (CC BY) license (https://creativecommons.org/licenses/by/4.0/).
Share and Cite
Manso, J.; Bertazza, L.; Barollo, S.; Mondin, A.; Censi, S.; Carducci, S.; Ferrara, A.M.; Boschin, I.M.; Zovato, S.; Schiavi, F.; et al. Overexpression of miR-375 and L-type Amino Acid Transporter 1 in Pheochromocytoma and Their Molecular and Functional Implications. Int. J. Mol. Sci. 2022, 23, 2413. https://doi.org/10.3390/ijms23052413
Manso J, Bertazza L, Barollo S, Mondin A, Censi S, Carducci S, Ferrara AM, Boschin IM, Zovato S, Schiavi F, et al. Overexpression of miR-375 and L-type Amino Acid Transporter 1 in Pheochromocytoma and Their Molecular and Functional Implications. International Journal of Molecular Sciences. 2022; 23(5):2413. https://doi.org/10.3390/ijms23052413
Chicago/Turabian StyleManso, Jacopo, Loris Bertazza, Susi Barollo, Alberto Mondin, Simona Censi, Sofia Carducci, Alfonso Massimiliano Ferrara, Isabella Merante Boschin, Stefania Zovato, Francesca Schiavi, and et al. 2022. "Overexpression of miR-375 and L-type Amino Acid Transporter 1 in Pheochromocytoma and Their Molecular and Functional Implications" International Journal of Molecular Sciences 23, no. 5: 2413. https://doi.org/10.3390/ijms23052413
APA StyleManso, J., Bertazza, L., Barollo, S., Mondin, A., Censi, S., Carducci, S., Ferrara, A. M., Boschin, I. M., Zovato, S., Schiavi, F., Gregianin, M., Pennelli, G., Iacobone, M., & Mian, C. (2022). Overexpression of miR-375 and L-type Amino Acid Transporter 1 in Pheochromocytoma and Their Molecular and Functional Implications. International Journal of Molecular Sciences, 23(5), 2413. https://doi.org/10.3390/ijms23052413

