Insertion Sequence (IS) Element-Mediated Activating Mutations of the Cryptic Aromatic β-Glucoside Utilization (BglGFB) Operon Are Promoted by the Anti-Terminator Protein (BglG) in Escherichia coli
Abstract
1. Introduction
2. Results
2.1. Overexpression of the BglG Gene Increases the Frequencies of Both IS- and Non-IS-Mediated Bgl+ Mutations

2.2. Appearance of Bgl+ Mutations Depends on the Presence of a β-Glucoside

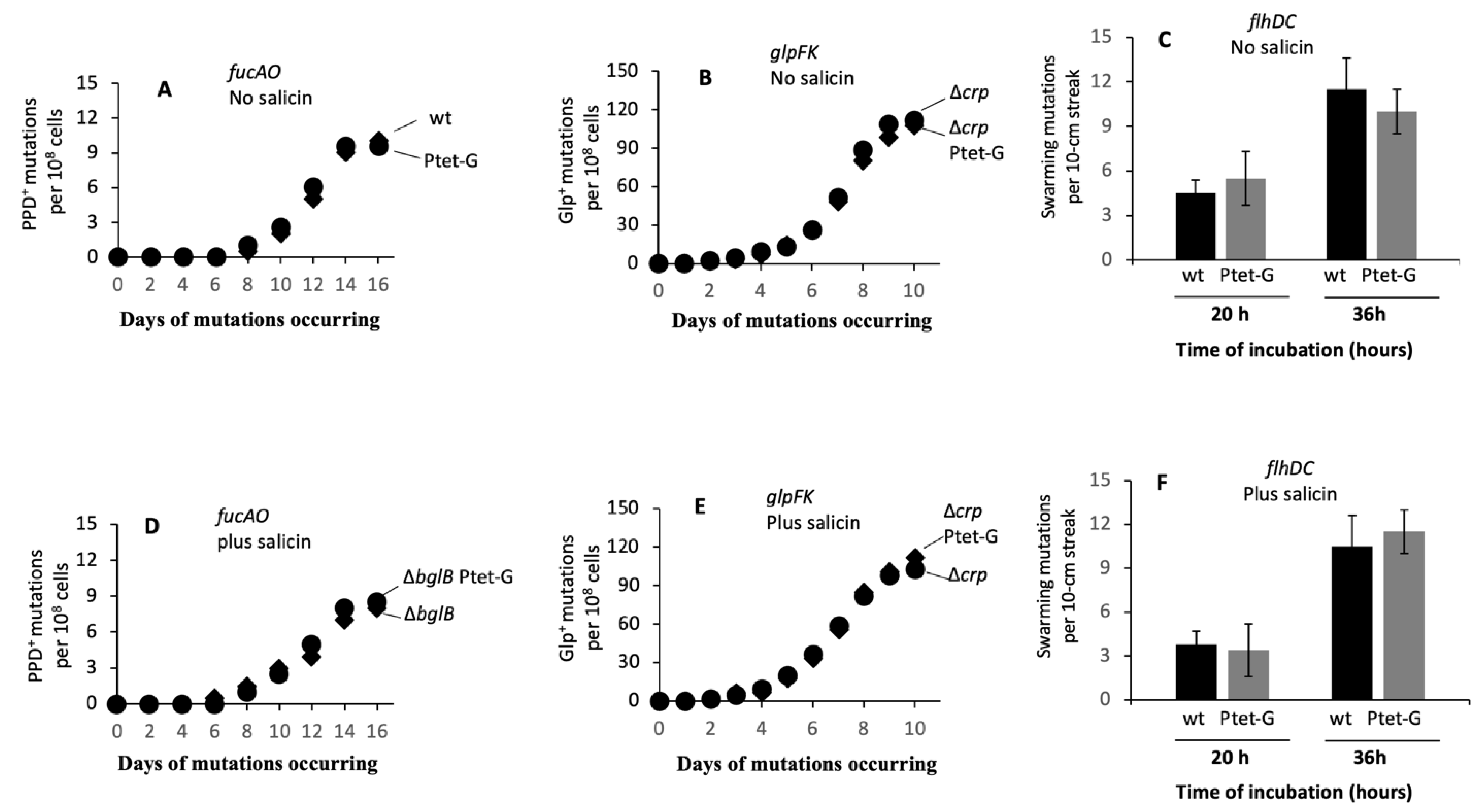
2.3. Increases in the Frequencies of Bgl+ Mutations Due to the Overexpression of the BglG Gene Are Bgl Operon Specific

2.4. The N-Terminal Nucleic Acid Binding Domain of BglG Is Required for Enhancement of Bgl+ Mutation Rates

2.5. Enhancement of the Bgl+ Mutation Rates Depends on BglG Binding to the First Anti-Terminator Site in the Nucleic Acid

2.6. Promoter-Dependent Overexpression of BglG Promotes Residual Bgl Operon Expression
3. Discussion
4. Materials and Methods
4.1. Construction of Ptet Driving BglG and LacIq Driving bglG Expression at the IntS Locus on the Chromosome
4.2. Construction of a BglG Mutant with an Altered N-Terminal Domain and Ptet Driving the Modified BglG on the Chromosome
4.3. Construction of a BglG Binding Site Mutation near the First Terminator, T1
4.4. Construction of the Bgl Operon LacZ Reporter
4.5. Bgl+ Mutation Assays
4.6. Glp+ Mutation Assays
4.7. Swarming Mutation Assays
4.8. Propanediol (PPD) Growth Mutation Assay
4.9. β-Galactosidase Assays
5. Conclusions
Supplementary Materials
Author Contributions
Funding
Institutional Review Board Statement
Informed Consent Statement
Data Availability Statement
Acknowledgments
Conflicts of Interest
References
- Foster, P.L. Adaptive mutation: The uses of adversity. Annu. Rev. Microbiol. 1993, 47, 467–504. [Google Scholar] [CrossRef] [PubMed]
- Foster, P.; Cairns, J. Mechanisms of directed mutation. Genetics 1992, 131, 783–789. [Google Scholar] [CrossRef]
- Hunter, R.G. Stress, Adaptation, and the Deep Genome: Why Transposons Matter. Integr. Comp. Biol. 2020, 60, 1495–1505. [Google Scholar] [CrossRef]
- Cairns, J. Directed Mutation. Science 1993, 260, 1221–1222. [Google Scholar] [CrossRef]
- Foster, P.; Cairns, J. The occurrence of heritable Mu excisions in starving cells of Escherichia coli. EMBO J. 1994, 13, 5240–5244. [Google Scholar] [CrossRef]
- Lenski, R.E.; Sniegowski, P.D. Adaptive Mutation: The Debate Goes on. Science 1995, 269, 285–288. [Google Scholar] [CrossRef]
- Zhang, Z.; Saier, M.H., Jr. A Novel Mechanism of Transposon-Mediated Gene Activation. PLoS Genet. 2009, 5, e1000689. [Google Scholar] [CrossRef]
- Zhang, Z.; Saier, M.H., Jr. A mechanism of transposon-mediated directed mutation. Mol. Microbiol. 2009, 74, 29–43. [Google Scholar] [CrossRef]
- Wang, X.; Wood, T.K. IS5 inserts upstream of the master motility operon flhDC in a quasi-Lamarckian way. ISME J. 2011, 5, 1517–1525. [Google Scholar] [CrossRef]
- Zhang, Z.; Kukita, C.; Humayun, M.Z.; Saier, M.H. Environment-directed activation of the Escherichia coli flhDC operon by transposons. Microbiology 2017, 163, 554–569. [Google Scholar] [CrossRef]
- Vandecraen, J.; Monsieurs, P.; Mergeay, M.; Leys, N.; Aertsen, A.; Van Houdt, R. Zinc-Induced Transposition of Insertion Sequence Elements Contributes to Increased Adaptability of Cupriavidus metallidurans. Front. Microbiol. 2016, 7, 359. [Google Scholar] [CrossRef]
- Hilbert, D.W.; Piggot, P.J. Compartmentalization of Gene Expression during Bacillus subtilis Spore Formation. Microbiol. Mol. Biol. Rev. 2004, 68, 234–262. [Google Scholar] [CrossRef]
- Saier, M.H., Jr.; Kukita, C.; Zhang, Z. Transposon-mediated directed mutation in bacteria and eukaryotes. Front. Biosci. 2017, 22, 1458–1468. [Google Scholar] [CrossRef]
- Zhang, Z.; Yen, M.R.; Saier, M.H., Jr. Precise Excision of IS 5 from the Intergenic Region between the fucPIK and the fucAO Operons and Mutational Control of fucPIK Operon Expression in Escherichia coli. J. Bacteriol. 2010, 192, 2013–2019. [Google Scholar] [CrossRef]
- Whiteway, J.; Koziarz, P.; Veall, J.; Sandhu, N.; Kumar, P.; Hoecher, B.; Lambert, I.B. Oxygen-Insensitive Nitroreductases: Analysis of the Roles of nfsA and nfsB in Development of Resistance to 5-Nitrofuran Derivatives in Escherichia coli. J. Bacteriol. 1998, 180, 5529–5539. [Google Scholar] [CrossRef]
- Humayun, M.Z.; Zhang, Z.; Butcher, A.M.; Moshayedi, A.; Saier, M.H., Jr. Hopping into a hot seat: Role of DNA structural features on IS5-mediated gene activation and inactivation under stress. PLoS ONE 2017, 12, e0180156. [Google Scholar] [CrossRef]
- Tzeng, Y.-L.; Thomas, J.; Stephens, D.S. Regulation of capsule in Neisseria meningitidis. Crit. Rev. Microbiol. 2016, 42, 759–772. [Google Scholar] [CrossRef]
- Hubbard, A.T.M.; Mason, J.; Roberts, P.; Parry, C.M.; Corless, C.; Van Aartsen, J.; Howard, A.; Bulgasim, I.; Fraser, A.J.; Adams, E.R.; et al. Piperacillin/tazobactam resistance in a clinical isolate of Escherichia coli due to IS26-mediated amplification of blaTEM-1B. Nat. Commun. 2020, 11, 4915. [Google Scholar] [CrossRef]
- Elbarbary, R.A.; Lucas, B.A.; Maquat, L.E. Retrotransposons as regulators of gene expression. Science 2016, 351, aac7247. [Google Scholar] [CrossRef]
- Jacobs, J.Z.; Rosado-Lugo, J.D.; Cranz-Mileva, S.; Ciccaglione, K.M.; Tournier, V.; Zaratiegui, M. Arrested replication forks guide retrotransposon integration. Science 2015, 349, 1549–1553. [Google Scholar] [CrossRef]
- Reynolds, A.E.; Mahadevan, S.; LeGrice, S.F.; Wright, A. Enhancement of bacterial gene expression by insertion elements or by mutation in a CAP-cAMP binding site. J. Mol. Biol. 1986, 191, 85–95. [Google Scholar] [CrossRef]
- Reynolds, A.E.; Felton, J.; Wright, A. Insertion of DNA activates the cryptic bgl operon in E. coli K12. Nature 1981, 293, 625–629. [Google Scholar] [CrossRef]
- Ueguchi, C.; Ohta, T.; Seto, C.; Suzuki, T.; Mizuno, T. The leuO Gene Product Has a Latent Ability To Relieve bgl Silencing in Escherichia coli. J. Bacteriol. 1998, 180, 190–193. [Google Scholar] [CrossRef]
- Giel, M.; Desnoyer, M.; Lopilato, J. A Mutation in a New Gene, bglJ Activates the bgl Operon in Escherichia coli K-12. Genetics 1996, 143, 627–635. [Google Scholar] [CrossRef]
- Mukerji, M.; Mahadevan, S. Characterization of the negative elements involved in silencing the bgl operon of Escherichia coli: Possible roles for DNA gyrase, H-NS, and CRP–cAMP in regulation. Mol. Microbiol. 1997, 24, 617–627. [Google Scholar] [CrossRef]
- Schnetz, K.; Wang, J.C. Silencing of the Escherichia coli bgl Promoter: Effects of Template Supercoiling and Cell Extracts on Promoter Activity in vitro. Nucleic Acids Res. 1996, 24, 2422–2428. [Google Scholar] [CrossRef][Green Version]
- DiNardo, S.; Voelkel, K.A.; Sternglanz, R.; Reynolds, A.; Wright, A. Escherichia coli DNA topoisomerase I mutants have compensatory mutations in DNA gyrase genes. Cell 1982, 31, 43–51. [Google Scholar] [CrossRef]
- Defez, R.; De Felice, M. Cryptic operon for β-glucoside metabolism in Escherichia coli k12: Genetic evidence for a regulatory proteiN. Genetics 1981, 97, 11–25. [Google Scholar] [CrossRef]
- Dole, S.; Klingen, Y.; Nagarajavel, V.; Schnetz, K. The Protease Lon and the RNA-Binding Protein Hfq Reduce Silencing of the Escherichia coli bgl Operon by H-NS. J. Bacteriol. 2004, 186, 2708–2716. [Google Scholar] [CrossRef]
- Madhusudan, S.; Paukner, A.; Klingen, Y.; Schnetz, K. Independent regulation of H-NS-mediated silencing of the bgl operon at two levels: Upstream by BglJ and LeuO and downstream by DnaKJ. Microbiology 2005, 151, 3349–3359. [Google Scholar] [CrossRef]
- Cairns, J.; Foster, P. Adaptive reversion of a frameshift mutation in Escherichia coli. Genetics 1991, 128, 695–701. [Google Scholar] [CrossRef] [PubMed]
- Zhang, Z.; Saier, M.H., Jr. Transposon-mediated activation of the Escherichia coli glpFK operon is inhibited by specific DNA-binding proteins: Implications for stress-induced transposition events. Mutat. Res. Mol. Mech. Mutagen. 2016, 793–794, 22–31. [Google Scholar] [CrossRef] [PubMed]
- Boss, A.; Nussbaum-Shochat, A.; Amster-Choder, O. Characterization of the Dimerization Domain in BglG, an RNA-Binding Transcriptional Antiterminator from Escherichia coli. J. Bacteriol. 1999, 181, 1755–1766. [Google Scholar] [CrossRef] [PubMed]
- Aymerich, S.; Steinmetz, M. Specificity determinants and structural features in the RNA target of the bacterial antiterminator proteins of the BglG/SacY family. Proc. Natl. Acad. Sci. USA 1992, 89, 10410–10414. [Google Scholar] [CrossRef] [PubMed]
- Amster-Choder, O.; Wright, A. Modulation of the Dimerization of a Transcriptional Antiterminator Protein by Phosphorylation. Science 1992, 257, 1395–1398. [Google Scholar] [CrossRef] [PubMed]
- Houman, F.; Diaz-Torres, M.R.; Wright, A. Transcriptional antitermination in the bgl operon of E. coli is modulated by a specific RNA binding protein. Cell 1990, 62, 1153–1163. [Google Scholar] [CrossRef]
- Gulati, A.; Mahadevan, S. The Escherichia coli antiterminator protein BglG stabilizes the 5′ region of thebgl mRNA. J. Biosci. 2001, 26, 193–203. [Google Scholar] [CrossRef]
- Görke, B.; Rak, B. Efficient transcriptional antitermination from the Escherichia coli cytoplasmic membrane. J. Mol. Biol. 2001, 308, 131–145. [Google Scholar] [CrossRef]
- Dole, S.; Nagarajavel, V.; Schnetz, K. The histone-like nucleoid structuring protein H-NS represses the Escherichia coli bgl operon downstream of the promoter. Mol. Microbiol. 2004, 52, 589–600. [Google Scholar] [CrossRef]
- Craig, N.L. Target site selection in transposition. Annu. Rev. Biochem. 1997, 66, 437–474. [Google Scholar] [CrossRef]
- Manna, D.; Breier, A.M.; Higgins, N.P. Microarray analysis of transposition targets in Escherichia coli: The impact of transcription. Proc. Natl. Acad. Sci. USA 2004, 101, 9780–9785. [Google Scholar] [CrossRef] [PubMed]
- Siguier, P.; Gourbeyre, E.; Chandler, M. Bacterial insertion sequences: Their genomic impact and diversity. FEMS Microbiol. Rev. 2014, 38, 865–891. [Google Scholar] [CrossRef] [PubMed]
- Kouzine, F.; Wójtowicz, D.; Baranello, L.; Yamane, A.; Nelson, S.; Resch, W.; Kieffer-Kwon, K.-R.; Benham, C.J.; Casellas, R.; Przytycka, T.M.; et al. Permanganate/S1 Nuclease Footprinting Reveals Non-B DNA Structures with Regulatory Potential across a Mammalian Genome. Cell Syst. 2017, 4, 344–356.e7. [Google Scholar] [CrossRef] [PubMed]
- Murat, P.; Balasubramanian, S. Existence and consequences of G-quadruplex structures in DNA. Curr. Opin. Genet. Dev. 2014, 25, 22–29. [Google Scholar] [CrossRef]
- Zhabinskaya, D.; Benham, C.J. Competitive superhelical transitions involving cruciform extrusion. Nucleic Acids Res. 2013, 41, 9610–9621. [Google Scholar] [CrossRef]
- Du, X.; Wojtowicz, D.; Bowers, A.A.; Levens, D.; Benham, C.J.; Przytycka, T.M. The genome-wide distribution of non-B DNA motifs is shaped by operon structure and suggests the transcriptional importance of non-B DNA structures in Escherichia coli. Nucleic Acids Res. 2013, 41, 5965–5977. [Google Scholar] [CrossRef]
- Bacolla, A.; Wells, R.D. Non-B DNA Conformations, Genomic Rearrangements, and Human Disease. J. Biol. Chem. 2004, 279, 47411–47414. [Google Scholar] [CrossRef]
- Benham, C.J. Duplex Destabilization in Superhelical DNA is Predicted to Occur at Specific Transcriptional Regulatory Regions. J. Mol. Biol. 1996, 255, 425–434. [Google Scholar] [CrossRef]
- Benham, C.J. Sites of predicted stress-induced DNA duplex destabilization occur preferentially at regulatory loci. Proc. Natl. Acad. Sci. USA 1993, 90, 2999–3003. [Google Scholar] [CrossRef]
- Hall, B.G. Activation of the bgl operon by adaptive mutation. Mol. Biol. Evol. 1998, 15, 1–5. [Google Scholar] [CrossRef]
- Schnetz, K.; Rak, B. IS5: A mobile enhancer of transcription in Escherichia coli. Proc. Natl. Acad. Sci. USA 1992, 89, 1244–1248. [Google Scholar] [CrossRef] [PubMed]
- Klumpp, S.; Zhang, Z.; Hwa, T. Growth Rate-Dependent Global Effects on Gene Expression in Bacteria. Cell 2009, 139, 1366–1375. [Google Scholar] [CrossRef] [PubMed]
- Datsenko, K.A.; Wanner, B.L. One-step inactivation of chromosomal genes in Escherichia coli K-12 using PCR products. Proc. Natl. Acad. Sci. USA 2000, 97, 6640–6645. [Google Scholar] [CrossRef] [PubMed]
- Lutz, R.; Bujard, H. Independent and tight regulation of transcriptional units in Escherichia coli via the LacR/O, the TetR/O and AraC/I1-I2 regulatory elements. Nucleic Acids Res. 1997, 25, 1203–1210. [Google Scholar] [CrossRef] [PubMed]
- Levine, E.; Zhang, Z.; Kuhlman, T.; Hwa, T. Quantitative Characteristics of Gene Regulation by Small RNA. PLoS Biol. 2007, 5, e229. [Google Scholar] [CrossRef] [PubMed]
- Li, X.-T.; Thomason, L.C.; Sawitzke, J.A.; Costantino, N.; Court, D.L. Positive and negative selection using the tetA-sacB cassette: Recombineering and P1 transduction in Escherichia coli. Nucleic Acids Res. 2013, 41, e204. [Google Scholar] [CrossRef]
- Barker, C.S.; Prüß, B.M.; Matsumura, P. Increased Motility of Escherichia coli by Insertion Sequence Element Integration into the Regulatory Region of the flhD Operon. J. Bacteriol. 2004, 186, 7529–7537. [Google Scholar] [CrossRef]
- Miller, J.H. Experiments in Molecular Genetics, 1st ed.; Cold Sprint Harbor Laboratory: New York, NY, USA, 1972; p. 466. [Google Scholar]




Publisher’s Note: MDPI stays neutral with regard to jurisdictional claims in published maps and institutional affiliations. |
© 2022 by the authors. Licensee MDPI, Basel, Switzerland. This article is an open access article distributed under the terms and conditions of the Creative Commons Attribution (CC BY) license (https://creativecommons.org/licenses/by/4.0/).
Share and Cite
Zhang, Z.; Zhou, K.; Tran, D.; Saier, M. Insertion Sequence (IS) Element-Mediated Activating Mutations of the Cryptic Aromatic β-Glucoside Utilization (BglGFB) Operon Are Promoted by the Anti-Terminator Protein (BglG) in Escherichia coli. Int. J. Mol. Sci. 2022, 23, 1505. https://doi.org/10.3390/ijms23031505
Zhang Z, Zhou K, Tran D, Saier M. Insertion Sequence (IS) Element-Mediated Activating Mutations of the Cryptic Aromatic β-Glucoside Utilization (BglGFB) Operon Are Promoted by the Anti-Terminator Protein (BglG) in Escherichia coli. International Journal of Molecular Sciences. 2022; 23(3):1505. https://doi.org/10.3390/ijms23031505
Chicago/Turabian StyleZhang, Zhongge, Kingswell Zhou, Dennis Tran, and Milton Saier. 2022. "Insertion Sequence (IS) Element-Mediated Activating Mutations of the Cryptic Aromatic β-Glucoside Utilization (BglGFB) Operon Are Promoted by the Anti-Terminator Protein (BglG) in Escherichia coli" International Journal of Molecular Sciences 23, no. 3: 1505. https://doi.org/10.3390/ijms23031505
APA StyleZhang, Z., Zhou, K., Tran, D., & Saier, M. (2022). Insertion Sequence (IS) Element-Mediated Activating Mutations of the Cryptic Aromatic β-Glucoside Utilization (BglGFB) Operon Are Promoted by the Anti-Terminator Protein (BglG) in Escherichia coli. International Journal of Molecular Sciences, 23(3), 1505. https://doi.org/10.3390/ijms23031505
