Growth of GaN Thin Films Using Plasma Enhanced Atomic Layer Deposition: Effect of Ammonia-Containing Plasma Power on Residual Oxygen Capture
Abstract
1. Introduction
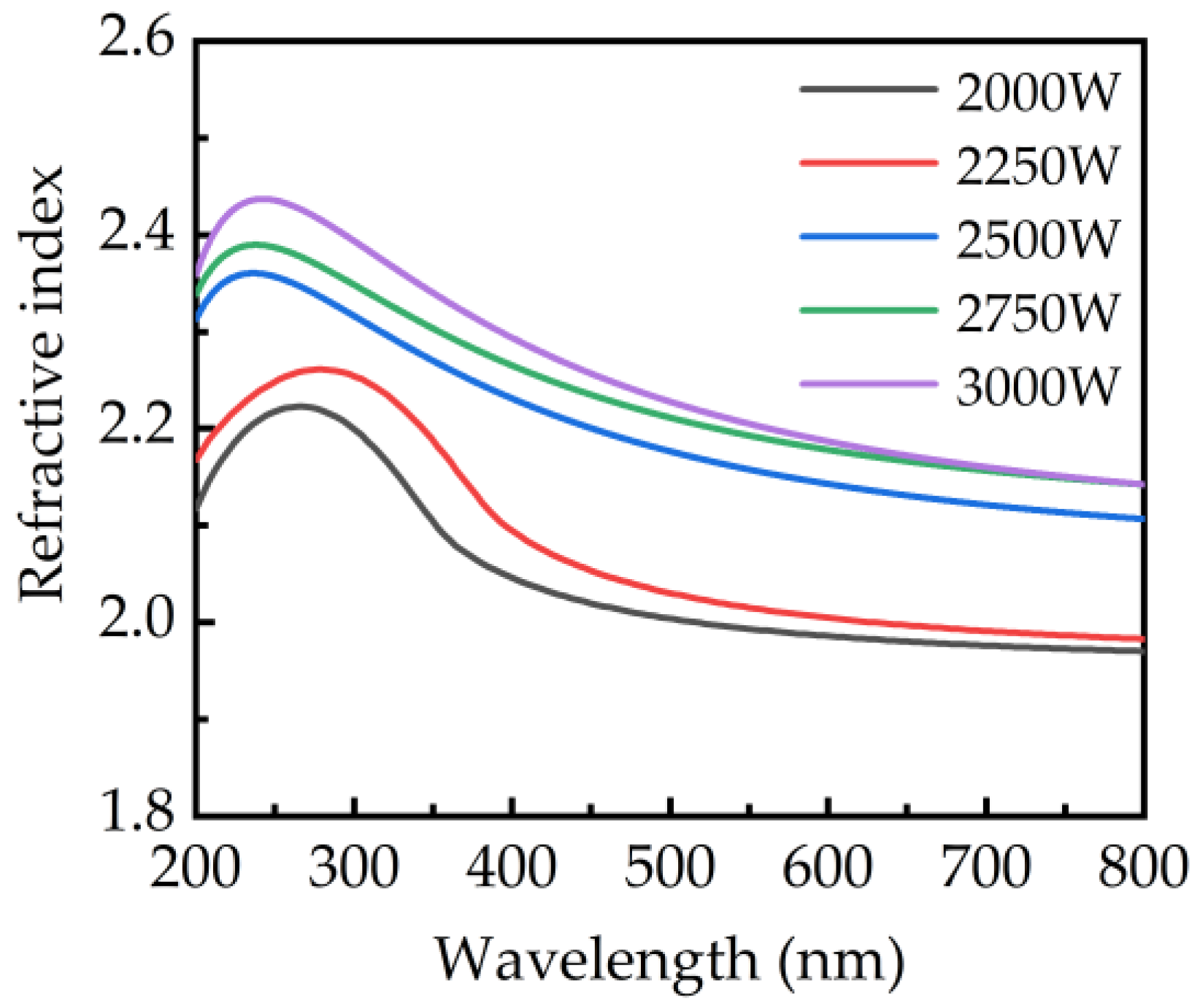
2. Results and Discussion
3. Materials and Methods
4. Conclusions
Author Contributions
Funding
Institutional Review Board Statement
Informed Consent Statement
Data Availability Statement
Conflicts of Interest
References
- Nakamura, S.; Senoh, M.; Nagahama, S.; Iwasa, N.; Yamada, T.; Matsushita, T.; Kiyoku, H.K.H.; Sugimoto, Y.S.Y. InGaN-Based Multi-Quantum-Well-Structure Laser Diodes. Jpn. J. Appl. Phys. 1996, 35, L74. [Google Scholar] [CrossRef]
- Nakamura, S.; Senoh, M.; Nagahama, S.; Iwasa, N.; Yamada, T.; Matsushita, T.; Sugimoto, Y.; Kiyoku, H. Room-temperature Continuous-wave Operation of InGaN Multi-quantum-well Structure Laser Diodes. Appl. Phys. Lett. 1996, 69, 4056–4058. [Google Scholar] [CrossRef]
- Wetzel, C.; Detchprobhm, T. Development of High Power Green Light Emitting Diode Chips. MRS Internet J. Nitride Semicond. Res. 2005, 10, e2. [Google Scholar] [CrossRef][Green Version]
- Iucolano, F.; Boles, T. GaN-on-Si HEMTs for Wireless Base Stations. Mater. Sci. Semicond. Process. 2019, 98, 100–105. [Google Scholar] [CrossRef]
- Mishra, U.K.; Parikh, P.; Wu, Y.-F. AlGaN/GaN HEMTs-an Overview of Device Operation and Applications. Proc. IEEE 2002, 90, 1022–1031. [Google Scholar] [CrossRef]
- Suzuki, M.; Uenoyama, T.; Yanase, A. First-Principles Calculations of Effective-Mass Parameters of AlN and GaN. Phys. Rev. B 1995, 52, 8132–8139. [Google Scholar] [CrossRef]
- Gelmont, B.; Kim, K.; Shur, M. Monte Carlo Simulation of Electron Transport in Gallium Nitride. J. Appl. Phys. 1993, 74, 1818–1821. [Google Scholar] [CrossRef]
- Neufeld, C.J.; Toledo, N.G.; Cruz, S.C.; Iza, M.; DenBaars, S.P.; Mishra, U.K. High Quantum Efficiency InGaN/GaN Solar Cells with 2.95 EV Band Gap. Appl. Phys. Lett. 2008, 93, 143502. [Google Scholar] [CrossRef]
- Matioli, E.; Neufeld, C.; Iza, M.; Cruz, S.C.; Al-Heji, A.A.; Chen, X.; Farrell, R.M.; Keller, S.; DenBaars, S.; Mishra, U.; et al. High Internal and External Quantum Efficiency InGaN/GaN Solar Cells. Appl. Phys. Lett. 2011, 98, 021102. [Google Scholar] [CrossRef]
- Liu, Z.J.; Huang, T.; Ma, J.; Liu, C.; Lau, K.M. Monolithic Integration of AlGaN/GaN HEMT on LED by MOCVD. IEEE Electron Device Lett. 2014, 35, 330–332. [Google Scholar] [CrossRef]
- Hite, J.K.; Anderson, T.J.; Luna, L.E.; Gallagher, J.C.; Mastro, M.A.; Freitas, J.A.; Eddy, C.R. Influence of HVPE Substrates on Homoepitaxy of GaN Grown by MOCVD. J. Cryst. Growth 2018, 498, 352–356. [Google Scholar] [CrossRef]
- Cordier, Y.; Moreno, J.-C.; Baron, N.; Frayssinet, E.; Chauveau, J.-M.; Nemoz, M.; Chenot, S.; Damilano, B.; Semond, F. Growth of GaN Based Structures on Si(110) by Molecular Beam Epitaxy. J. Cryst. Growth 2010, 312, 2683–2688. [Google Scholar] [CrossRef]
- Hughes, W.C. Molecular Beam Epitaxy Growth and Properties of GaN Films on GaN/SiC Substrates. J. Vac. Sci. Technol. B 1995, 13, 1571. [Google Scholar] [CrossRef]
- Wang, W.; Yang, W.; Liu, Z.; Lin, Y.; Zhou, S.; Qian, H.; Gao, F.; Wen, L.; Zhang, S.; Li, G. Achieve 2-Inch-Diameter Homogeneous GaN Films on Sapphire Substrates by Pulsed Laser Deposition. J. Mater. Sci. 2014, 49, 3511–3518. [Google Scholar] [CrossRef]
- Kawwam, M.; Lebbou, K. The Influence of Deposition Parameters on the Structural Quality of PLD-Grown GaN/Sapphire Thin Films. Appl. Surf. Sci. 2014, 292, 906–914. [Google Scholar] [CrossRef]
- Karam, N.H.; Parodos, T.; Colter, P.; McNulty, D.; Rowland, W.; Schetzina, J.; El-Masry, N.; Bedair, S.M. Growth of Device Quality GaN at 550 °C by Atomic Layer Epitaxy. Appl. Phys. Lett. 1995, 67, 94–96. [Google Scholar] [CrossRef]
- Khan, M.A.; Kuznia, J.N.; Olson, D.T.; Van Hove, J.M.; Blasingame, M.; Reitz, L.F. High-responsivity Photoconductive Ultraviolet Sensors Based on Insulating Single-crystal GaN Epilayers. Appl. Phys. Lett. 1992, 60, 2917–2919. [Google Scholar] [CrossRef]
- Ozgit, C.; Donmez, I.; Alevli, M.; Biyikli, N. Atomic Layer Deposition of GaN at Low Temperatures. J. Vac. Sci. Technol. A Vac. Surf. Film. 2012, 30, 01A124. [Google Scholar] [CrossRef]
- Tsuchiya, H.; Akamatsu, M.; Ishida, M.I.M.; Hasegawa, F.H.F. Layer-by-Layer Growth of GaN on GaAs Substrates by Alternate Supply of GaCl3 and NH3. Jpn. J. Appl. Phys. 1996, 35, L748. [Google Scholar] [CrossRef]
- Qiu, P.; Wei, H.; An, Y.; Wu, Q.; Du, W.; Jiang, Z.; Zhou, L.; Gao, C.; Liu, S.; He, Y.; et al. Plasma-Enhanced Atomic Layer Deposition of Gallium Nitride Thin Films on Fluorine-Doped Tin Oxide Glass Substrate for Future Photovoltaic Application. Ceram. Int. 2020, 46, 5765–5772. [Google Scholar] [CrossRef]
- Profijt, H.B.; Potts, S.E.; van de Sanden, M.C.M.; Kessels, W.M.M. Plasma-Assisted Atomic Layer Deposition: Basics, Opportunities, and Challenges. J. Vac. Sci. Technol. A Vac. Surf. Film. 2011, 29, 050801. [Google Scholar] [CrossRef]
- Banerjee, S.; Aarnink, A.A.I.; Gravesteijn, D.J.; Kovalgin, A.Y. Thermal Atomic Layer Deposition of Polycrystalline Gallium Nitride. J. Phys. Chem. C 2019, 123, 23214–23225. [Google Scholar] [CrossRef]
- He, Y.-F.; Li, M.-L.; Liu, S.-J.; Wei, H.-Y.; Ye, H.-Y.; Song, Y.-M.; Qiu, P.; An, Y.-L.; Peng, M.-Z.; Zheng, X.-H. Growth of Gallium Nitride Films on Multilayer Graphene Template Using Plasma-Enhanced Atomic Layer Deposition. Acta Metall. Sin. (Engl. Lett.) 2019, 32, 1530–1536. [Google Scholar] [CrossRef]
- Liu, S.; Zhao, G.; He, Y.; Li, Y.; Wei, H.; Qiu, P.; Wang, X.; Wang, X.; Cheng, J.; Peng, M.; et al. Baking and Plasma Pretreatment of Sapphire Surfaces as a Way to Facilitate the Epitaxial Plasma-Enhanced Atomic Layer Deposition of GaN Thin Films. Appl. Phys. Lett. 2020, 116, 211601. [Google Scholar] [CrossRef]
- Ozgit-Akgun, C.; Donmez, I.; Biyikli, N. (Invited) Plasma-Enhanced Atomic Layer Deposition of III-Nitride Thin Films. ECS Trans. 2013, 58, 289–297. [Google Scholar] [CrossRef]
- Shih, H.-Y.; Lin, M.-C.; Chen, L.-Y.; Chen, M.-J. Uniform GaN Thin Films Grown on (100) Silicon by Remote Plasma Atomic Layer Deposition. Nanotechnology 2015, 26, 014002. [Google Scholar] [CrossRef]
- Motamedi, P.; Dalili, N.; Cadien, K. A Route to Low Temperature Growth of Single Crystal GaN on Sapphire. J. Mater. Chem. C 2015, 3, 7428–7436. [Google Scholar] [CrossRef]
- Musschoot, J.; Xie, Q.; Deduytsche, D.; Van den Berghe, S.; Van Meirhaeghe, R.L.; Detavernier, C. Atomic Layer Deposition of Titanium Nitride from TDMAT Precursor. Microelectron. Eng. 2009, 86, 72–77. [Google Scholar] [CrossRef]
- Langereis, E.; Knoops, H.C.M.; Mackus, A.J.M.; Roozeboom, F.; van de Sanden, M.C.M.; Kessels, W.M.M. Synthesis and in Situ Characterization of Low-Resistivity TaNx Films by Remote Plasma Atomic Layer Deposition. J. Appl. Phys. 2007, 102, 083517. [Google Scholar] [CrossRef]
- Krylov, I.; Xu, X.; Weinfeld, K.; Korchnoy, V.; Ritter, D.; Eizenberg, M. Properties of Conductive Nitride Films Prepared by Plasma Enhanced Atomic Layer Deposition Using Quartz and Sapphire Plasma Sources. J. Vac. Sci. Technol. A 2019, 37, 010906. [Google Scholar] [CrossRef]
- Karwal, S.; Karasulu, B.; Knoops, H.C.M.; Vandalon, V.; Kessels, W.M.M.; Creatore, M. Atomic Insights into the Oxygen Incorporation in Atomic Layer Deposited Conductive Nitrides and Its Mitigation by Energetic Ions. Nanoscale 2021, 13, 10092–10099. [Google Scholar] [CrossRef]
- Vedeneyev, V.I.; Gurvich, L.V.; Kondrat’yev, V.N.; Medvedev, V.A.; Ye, L. Frankevich Bond Energies, Ionization Potentials, and Electron Affinities; St. Martin’s Press: New York, NY, USA, 1966. [Google Scholar]
- Liu, W.K.; Mokler, S.M.; Ohtani, N.; Roberts, C.; Joyce, B.A. A RHEED Study of the Surface Reconstructions of Si(001) during Gas Source MBE Using Disilane. Surf. Sci. 1992, 264, 301–311. [Google Scholar] [CrossRef]
- Nayak, S.; Savage, D.E.; Chu, H.-N.; Lagally, M.G.; Kuech, T.F. In Situ RHEED and AFM Investigation of Growth Front Morphology Evolution of Si(001) Grown by UHV-CVD. J. Cryst. Growth 1995, 157, 168–171. [Google Scholar] [CrossRef]
- Pansila, P.; Kanomata, K.; Miura, M.; Ahmmad, B.; Kubota, S.; Hirose, F. Growth Kinetics for Temperature-Controlled Atomic Layer Deposition of GaN Using Trimethylgallium and Remote-Plasma-Excited NH3. Appl. Surf. Sci. 2015, 357, 1920–1927. [Google Scholar] [CrossRef]
- Wen-Hui, T.; Bang-Wu, L.; Bo-Cheng, Z.; Min, L.; Yang, X. Low temperature depositions of GaN thin films by plasma-enhanced atomic layer deposition. Acta Phys. Sin. 2017, 66, 098101. [Google Scholar] [CrossRef]
- Mahmoodinezhad, A.; Janowitz, C.; Naumann, F.; Plate, P.; Gargouri, H.; Henkel, K.; Schmeißer, D.; Flege, J.I. Low-Temperature Growth of Gallium Oxide Thin Films by Plasma-Enhanced Atomic Layer Deposition. J. Vac. Sci. Technol. A 2020, 38, 022404. [Google Scholar] [CrossRef]
- Idriss, H. On the Wrong Assignment of the XPS O1s Signal at 531–532 EV Attributed to Oxygen Vacancies in Photo- and Electro-Catalysts for Water Splitting and Other Materials Applications. Surf. Sci. 2021, 712, 121894. [Google Scholar] [CrossRef]
- Kumar, P.; Kumar, M.; Govind; Mehta, B.R.; Shivaprasad, S.M. XPS Investigation of Ion Beam Induced Conversion of GaAs(001) Surface into GaN Overlayer. Appl. Surf. Sci. 2009, 256, 517–520. [Google Scholar] [CrossRef]
- Matolín, V.; Fabík, S.; Glosík, J.; Bideux, L.; Ould-Metidji, Y.; Gruzza, B. Experimental System for GaN Thin Films Growth and in Situ Characterisation by Electron Spectroscopic Methods. Vacuum 2004, 76, 471–476. [Google Scholar] [CrossRef]
- Kizir, S.; Haider, A.; Biyikli, N. Substrate Impact on the Low-Temperature Growth of GaN Thin Films by Plasma-Assisted Atomic Layer Deposition. J. Vac. Sci. Technol. A Vac. Surf. Film. 2016, 34, 041511. [Google Scholar] [CrossRef]
- Alevli, M.; Haider, A.; Kizir, S.; Leghari, S.A.; Biyikli, N. Comparison of Trimethylgallium and Triethylgallium as “Ga” Source Materials for the Growth of Ultrathin GaN Films on Si (100) Substrates via Hollow-Cathode Plasma-Assisted Atomic Layer Deposition. J. Vac. Sci. Technol. A 2016, 34, 01A137. [Google Scholar] [CrossRef]
- Gungor, N.; Alevli, M. Role of Film Thickness on the Structural and Optical Properties of GaN on Si (100) Grown by Hollow-Cathode Plasma-Assisted Atomic Layer Deposition. J. Vac. Sci. Technol. A 2018, 36, 021514. [Google Scholar] [CrossRef]
- Alevli, M.; Gungor, N.; Haider, A.; Kizir, S.; Leghari, S.A.; Biyikli, N. Substrate Temperature Influence on the Properties of GaN Thin Films Grown by Hollow-Cathode Plasma-Assisted Atomic Layer Deposition. J. Vac. Sci. Technol. A 2016, 34, 01A125. [Google Scholar] [CrossRef]
- Alevli, M.; Gungor, N. Influence of N-2/H-2 and N-2 Plasma on Binary III-Nitride Films Prepared by Hollow-Cathode Plasma-Assisted Atomic Layer Deposition. J. Vac. Sci. Technol. A 2018, 36, 01A110. [Google Scholar] [CrossRef]
- Bhaumik, I.; Bhatt, R.; Ganesamoorthy, S.; Saxena, A.; Karnal, A.K.; Gupta, P.K.; Sinha, A.K.; Deb, S.K. Temperature-Dependent Index of Refraction of Monoclinic Ga_2O_3 Single Crystal. Appl. Opt. 2011, 50, 6006. [Google Scholar] [CrossRef]
- Barker, A.S.; Ilegems, M. Infrared Lattice Vibrations and Free-Electron Dispersion in GaN. Phys. Rev. B 1973, 7, 743–750. [Google Scholar] [CrossRef]
- Motamedi, P.; Cadien, K. Structure-Property Relationship and Interfacial Phenomena in GaN Grown on C-Plane Sapphire via Plasma-Enhanced Atomic Layer Deposition. RSC Adv. 2015, 5, 57865–57874. [Google Scholar] [CrossRef]
- Tauc, J. Optical Properties and Electronic Structure of Amorphous Ge and Si. Mater. Res. Bull. 1968, 3, 37–46. [Google Scholar] [CrossRef]
- Lee, M.; Lee, D.; Baik, H.; Kim, H.; Jeong, Y.; Yang, M.; Lee, H.U.; Hahm, M.G.; Kim, J. Highly Efficient Excitonic Recombination of Non-Polar (1120) GaN Nanocrystals for Visible Light Emitter by Hydride Vapour Phase Epitaxy. Sci. Rep. 2020, 10, 2076. [Google Scholar] [CrossRef]
- Paskova, T.; Arnaudov, B.; Paskov, P.P.; Goldys, E.M.; Hautakangas, S.; Saarinen, K.; Södervall, U.; Monemar, B. Donor-Acceptor Pair Emission Enhancement in Mass-Transport-Grown GaN. J. Appl. Phys. 2005, 98, 033508. [Google Scholar] [CrossRef]
- Reshchikov, M.A.; Morkoç, H. Luminescence Properties of Defects in GaN. J. Appl. Phys. 2005, 97, 061301. [Google Scholar] [CrossRef]
- Reshchikov, M.A.; Huang, D.; Yun, F.; Visconti, P.; He, L.; Morkoç, H.; Jasinski, J.; Liliental-Weber, Z.; Molnar, R.J.; Park, S.S.; et al. Unusual Luminescence Lines in GaN. J. Appl. Phys. 2003, 94, 5623–5632. [Google Scholar] [CrossRef]











| Precursor | Gas | Power | Pressure (Torr) | O Content (at.%) | Ref. |
|---|---|---|---|---|---|
| TEGa | N2/H2 | HCP | 0.15 | 3 | [41] |
| TMGa | N2/H2 | HCP | - | 3.18 | [42] |
| TEGa | N2/H2 | HCP | - | 3.25 | [43] |
| TEGa | N2/H2 | HCP | - | 1.71 | [44] |
| TMGa | N2 | HCP | - | 11 | [45] |
| TEGa | N2/H2/Ar | ICP | 0.16 | 11.61 | [23] |
| TEGa | N2/H2/Ar | ICP | 0.4 | 9 | [24] |
| TMGa | NH3/Ar | ICP | 0.15 | 21.46 | [25] |
| TEGa | N2/H2/Ar | ICP | 0.15 | 20 | [20] |
| TEGa | NH3/H2/Ar | ICP | 0.4 | 13 | [26] |
| TEGa | N2/H2 | ICP | - | 2.5 | [27] |
| TMGa | NH3/Ar | ICP | 0.75 | 3.89 | This work |
| Parameters | Values |
|---|---|
| Bubbler temperature (°C) | 0 |
| Substrate temperature (°C) | 350 |
| TMGa pulse time (s) | 0.1 |
| N2 carry rate for TMGa enters (sccm) | 120 |
| N2 purge time after TMGa (s) | 4 |
| NH3/Ar plasma treatment (s) | 13 |
| N2 purge time after NH3/Ar plasma (s) | 6 |
| Ar flow rate (sccm) | 160 |
| NH3 flow rate (sccm) | 30 |
| NH3/Ar plasma power (W) | 1500–3000 |
Publisher’s Note: MDPI stays neutral with regard to jurisdictional claims in published maps and institutional affiliations. |
© 2022 by the authors. Licensee MDPI, Basel, Switzerland. This article is an open access article distributed under the terms and conditions of the Creative Commons Attribution (CC BY) license (https://creativecommons.org/licenses/by/4.0/).
Share and Cite
Jiang, S.; Wu, W.-Y.; Ren, F.; Hsu, C.-H.; Zhang, X.; Gao, P.; Wuu, D.-S.; Huang, C.-J.; Lien, S.-Y.; Zhu, W. Growth of GaN Thin Films Using Plasma Enhanced Atomic Layer Deposition: Effect of Ammonia-Containing Plasma Power on Residual Oxygen Capture. Int. J. Mol. Sci. 2022, 23, 16204. https://doi.org/10.3390/ijms232416204
Jiang S, Wu W-Y, Ren F, Hsu C-H, Zhang X, Gao P, Wuu D-S, Huang C-J, Lien S-Y, Zhu W. Growth of GaN Thin Films Using Plasma Enhanced Atomic Layer Deposition: Effect of Ammonia-Containing Plasma Power on Residual Oxygen Capture. International Journal of Molecular Sciences. 2022; 23(24):16204. https://doi.org/10.3390/ijms232416204
Chicago/Turabian StyleJiang, Shicong, Wan-Yu Wu, Fangbin Ren, Chia-Hsun Hsu, Xiaoying Zhang, Peng Gao, Dong-Sing Wuu, Chien-Jung Huang, Shui-Yang Lien, and Wenzhang Zhu. 2022. "Growth of GaN Thin Films Using Plasma Enhanced Atomic Layer Deposition: Effect of Ammonia-Containing Plasma Power on Residual Oxygen Capture" International Journal of Molecular Sciences 23, no. 24: 16204. https://doi.org/10.3390/ijms232416204
APA StyleJiang, S., Wu, W.-Y., Ren, F., Hsu, C.-H., Zhang, X., Gao, P., Wuu, D.-S., Huang, C.-J., Lien, S.-Y., & Zhu, W. (2022). Growth of GaN Thin Films Using Plasma Enhanced Atomic Layer Deposition: Effect of Ammonia-Containing Plasma Power on Residual Oxygen Capture. International Journal of Molecular Sciences, 23(24), 16204. https://doi.org/10.3390/ijms232416204

